UV Laser-Induced Photodecomposition of Matrix-Isolated Salicylhydroxamic Acid: Identification of New Isocyanate Complexes
Abstract
1. Introduction
2. Results and Discussion
2.1. Identification of Photoproducts
2.1.1. Formation of the C6H4(OH)NCO-H2O Complex
2.1.2. Formation of the C6H4(OH)C(O)N-H2O Complex
2.1.3. Formation of the C6H4(OH)2-HNCO Complex
2.1.4. Formation of the C6H4(OH)NHOH-CO Complex
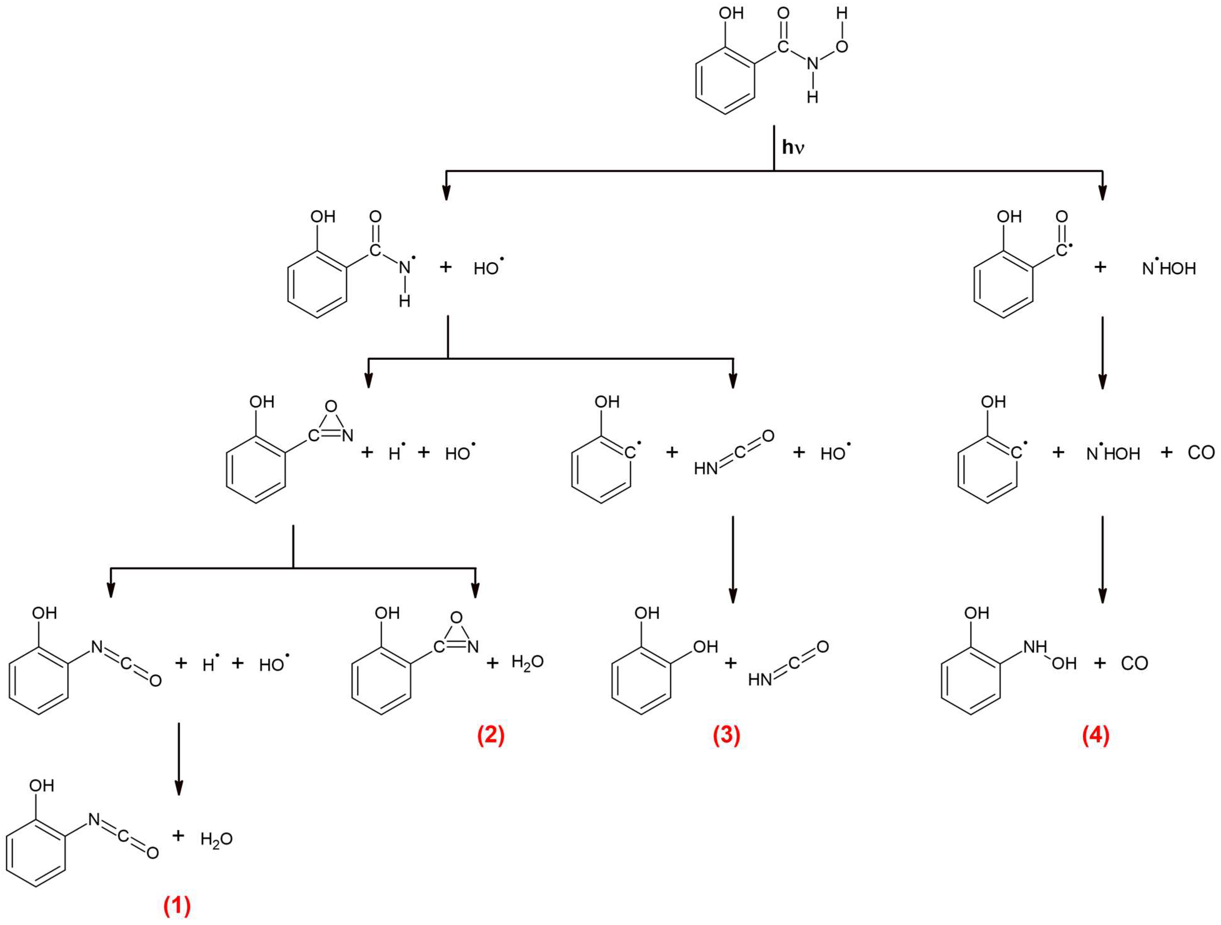
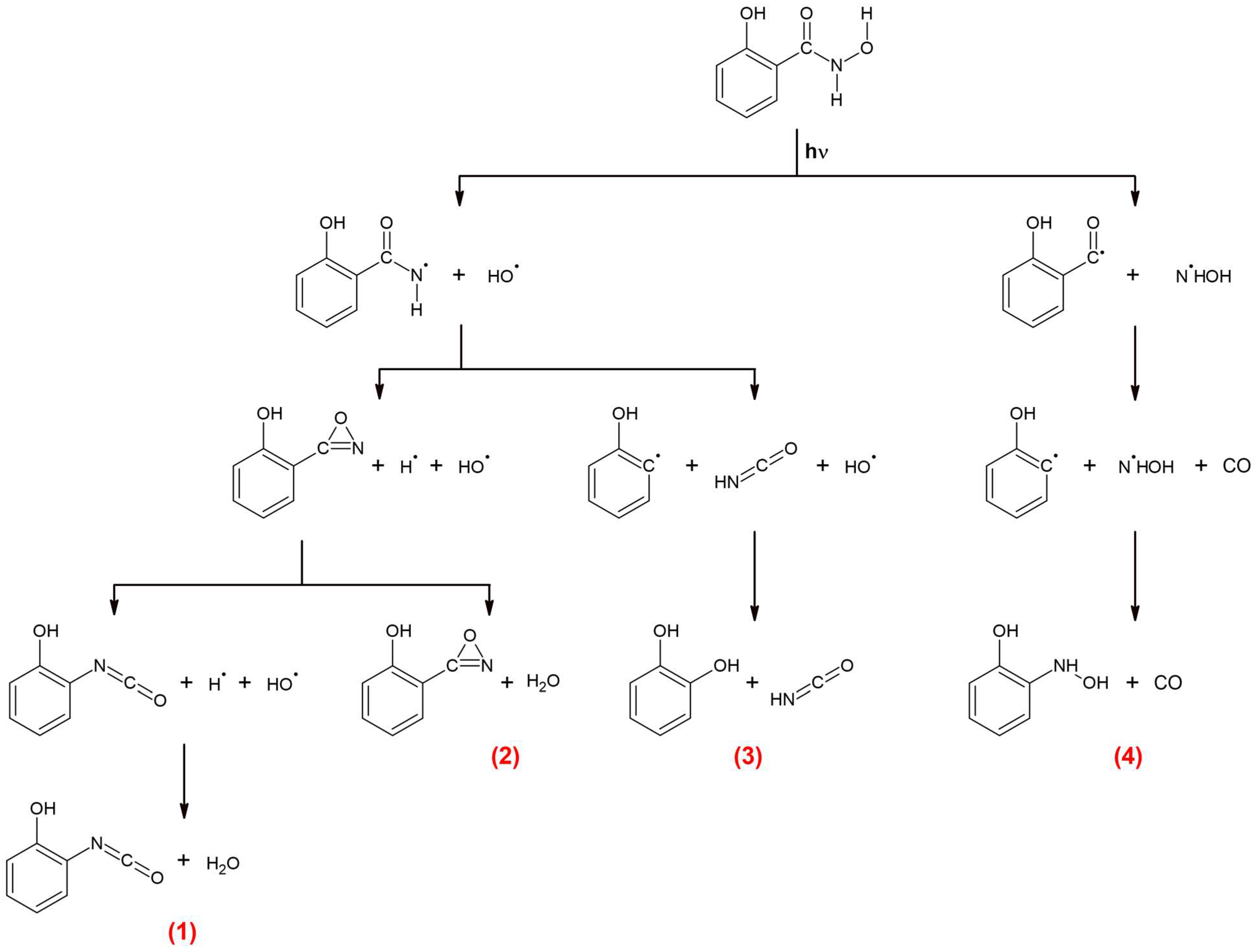
2.2. The Possible Mechanism of Photodecomposition of SHA
2.3. Other Photolysis Products
3. Materials and Methods
4. Conclusions
Supplementary Materials
Author Contributions
Funding
Institutional Review Board Statement
Informed Consent Statement
Data Availability Statement
Acknowledgments
Conflicts of Interest
References
- Gupta, S.P. QSAR Studies on Hydroxamic Acids: A Fascinating Family of Chemicals with a Wide Spectrum of Activities. Chem. Rev. 2015, 115, 6427–6490. [Google Scholar] [CrossRef]
- Codd, R. Traversing the coordination chemistry and chemical biology of hydroxamic acids. Coord. Chem. Rev. 2008, 252, 1387–1408. [Google Scholar] [CrossRef]
- Miller, M.J. Syntheses and Therapeutic Potential of Hydroxamic Acid Based Siderophores and Analogues. Chem. Rev. 1989, 89, 1563–1579. [Google Scholar] [CrossRef]
- Marmion, C.J.; Griffith, D.; Nolan, K.B. Hydroxamic Acids—An Intriguing Family of Enzyme Inhibitors and Biomedical Ligands. Eur. J. Inorg. Chem. 2004, 2004, 3003–3016. [Google Scholar] [CrossRef]
- Khalil, M.M. Complexation Equilibria and Determination of Stability Constants of Binary and Ternary Complexes with Ribonucleotides (AMP, ADP, and ATP) and Salicylhydroxamic Acid as Ligands. J. Chem. Eng. Data 2000, 45, 70–74. [Google Scholar] [CrossRef]
- Khalil, M.M.; Fazary, A. Potentiometric Studies on Binary and Ternary Complexes of Di- and Trivalent Metal Ions Involving Some Hydroxamic Acids, Amino Acids, and Nucleic Acid Components. Monatshefte Chem./Chem. Mon. 2004, 135, 1455–1474. [Google Scholar] [CrossRef]
- Cardona, P.-J. (Ed.) Tuberculosis: Deciphering the Secret Life of the Bacilli; Intech: Vienna, Austria, 2012. [Google Scholar]
- Syed, Z.; Sonu, K.; Dongre, A.; Sharma, G.; Sogani, M. A review on Hydroxamic Acids: Widespectrum Chemotherapeutic Agents. Int. J. Biol. Biomed. Eng. 2020, 14, 75–88. [Google Scholar] [CrossRef]
- Kehl, H. (Ed.) Chemistry and Biology of Hydroxamic Acids; S. Karger AG: Basel, Switzerland, 1982. [Google Scholar]
- Kakkar, R. Theoretical studies on hydroxamic acids. In Hydroxamic Acids: A Unique Family of Chemicals with Multiple Biological Activities; Gupta, S.P., Ed.; Springer: Heidelberg, Germany, 2013. [Google Scholar]
- Sałdyka, M.; Mielke, Z. Infrared Matrix Isolation Studies and Ab Initio Calculations of Formhydroxamic Acid. J. Phys. Chem. A 2002, 106, 3714–3721. [Google Scholar] [CrossRef]
- Sałdyka, M.; Mielke, Z. Infrared Matrix Isolation Studies and Ab Initio Calculations of Acetohydroxamic Acid. Pol. J. Chem. 2003, 77, 1587–1598. [Google Scholar]
- Sałdyka, M. Isomerical and structural determination of N-hydroxyurea: A matrix isolation and theoretical study. Phys. Chem. Chem. Phys. 2010, 12, 15111–15118. [Google Scholar] [CrossRef]
- Sałdyka, M.; Coussan, S. Infrared spectra and photodecomposition of benzohydroxamic acid isolated in argon matrices. J. Mol. Struct. 2020, 1219, 128506. [Google Scholar] [CrossRef]
- Larsen, I.K. Salicylohydroxamic acid. Acta Crystallogr. Sect. B 1978, 34, 962–964. [Google Scholar] [CrossRef]
- Garcia, B.; Secco, F.; Ibeas, S.; Muñoz, A.; Hoyuelos, F.J.; Leal, J.M.; Senent, M.L.; Venturini, M. Structural NMR and ab Initio Study of Salicylhydroxamic and p-Hydroxybenzohydroxamic Acids: Evidence for an Extended Aggregation. J. Org. Chem. 2007, 72, 7832–7840. [Google Scholar] [CrossRef] [PubMed]
- Kaczor, A.; Proniewicz, L.M. NMR spectra of salicylohydroxamic acid in DMSO-d6 solution: A DFT study. J. Mol. Struct. 2003, 640, 133–141. [Google Scholar] [CrossRef]
- Kaczor, A.; Szczepanski, J.; Vala, M.; Proniewicz, L.M. Matrix-isolation and computational study of salicylhydroxamic acid and its photochemical degradation. Phys. Chem. Chem. Phys. 2005, 7, 1960–1965. [Google Scholar] [CrossRef] [PubMed]
- Lipczynska-Kochany, E. Photochemistry of hydroxamic acids and derivatives. Chem. Rev. 1991, 91, 477–491. [Google Scholar] [CrossRef]
- Lipczynska-Kochany, E.; Kochany, J. Chemistry of hydroxamic acids XV: Photochemistry of some naphthalenecarbohydroxamic acids. J. Photochem. Photobiol. A 1988, 44, 317–333. [Google Scholar] [CrossRef]
- Sałdyka, M.; Mielke, Z. Photodecomposition of formohydroxamic acid. Matrix isolation FTIR and DFT studies. Phys. Chem. Chem. Phys. 2003, 5, 4790–4797. [Google Scholar] [CrossRef]
- Sałdyka, M.; Mielke, Z. Photochemistry of Acetohydroxamic Acid in Solid Argon. FTIR and Theoretical Studies. J. Phys. Chem. A 2018, 122, 60–71. [Google Scholar] [CrossRef] [PubMed]
- Sałdyka, M. Photodecomposition of N-hydroxyurea in argon matrices. FTIR and theoretical studies. RSC Adv. 2013, 3, 1922–1932. [Google Scholar] [CrossRef]
- Dunkin, I.R. (Ed.) Matrix-Isolation Techniques: A Practical Approach; Oxford University Press: New York, NY, USA, 1998. [Google Scholar]
- Andrews, L.S.; Moskovits, M. (Eds.) Chemistry and Physics of Matrix Isolated Species; North Holland: Amsterdam, The Netherlands, 1989. [Google Scholar]
- Teles, J.H.; Maier, G.; Hess, B.A., Jr.; Schaad, L.J.; Winnewisser, M.; Winnewiser, B.P. The CHNO Isomers. Chem. Ber. 1989, 122, 753. [Google Scholar] [CrossRef]
- Krupa, J.; Wierzejewska, M.; Lundell, J. Matrix Isolation FTIR and Theoretical Study of Weakly Bound Complexes of Isocyanic Acid with Nitrogen. Molecules 2022, 27, 495. [Google Scholar] [CrossRef]
- Abe, H.; Takeo, H.; Yamada, K.M.T. Infrared spectroscopy of CO trapped in an argon matrix revisited. Chem. Phys. Lett. 1999, 311, 153–158. [Google Scholar] [CrossRef]
- Schriver, A.; Schriver-Mazzuoli, L.; Chaquin, P.; Bahou, M. Infrared Spectra of Matrix-Isolated [OC···X2] and [CO···X2] Complexes (X = Cl, Br) and ab Initio Calculations. J. Phys. Chem. A 1999, 103, 2624–2631. [Google Scholar] [CrossRef]
- Ayers, G.P.; Pullin, A.D.E. The i.r. spectra of matrix isolated water species—III. Infrared spectra and assignments of 18O containing monomer and dimer water species in argon matrices. Spectrochim. Acta Part A 1976, 32, 1629–1639. [Google Scholar] [CrossRef]
- Gomez-Zavaglia, A.; Reva, I.D.; Frija, L.; Cristiano, M.L.; Fausto, R. Photochemistry of 1-phenyl-tetrazolone isolated in solid argon. J. Photochem. Photobiol. A 2006, 179, 243–255. [Google Scholar] [CrossRef]
- Pieretti, A.; Ramondo, F.; Bencivenni, L.; Spoliti, M. Complexes of dihydroxybenzenes with carbon monoxide by DFT calculations and FT-IR matrix spectroscopy. J. Mol. Struct. 2001, 560, 315–326. [Google Scholar] [CrossRef]
- Barnes, A.J.; Mielke, Z. Matrix effects on hydrogen-bonded complexes trapped in low-temperature matrices. J. Mol. Struct. 2012, 1023, 216–221. [Google Scholar] [CrossRef]
- Heikkilä, A.; Pettersson, M.; Lundell, J.; Khriachtchev, L.; Räsänen, M. Matrix Isolation and ab Initio Studies of 1:1 Hydrogen-Bonded Complexes HCN−H2O and HNC−H2O Produced by Photolysis of Formaldoxime. J. Phys. Chem. A 1999, 103, 2945–2951. [Google Scholar] [CrossRef]
- Duvernay, F.; Chatron-Michaud, P.; Borget, F.; Birney, D.M.; Chiavassa, T. Photochemical dehydration of acetamide in a cryogenic matrix. Phys. Chem. Chem. Phys. 2007, 9, 1099–1106. [Google Scholar] [CrossRef]
- Wentrup, C.; Bornemann, H. The Curtius rearrangement of acyl azides revisited—Formation of cyanante (R-O-CN). Eur. J. Org. Chem. 2005, 2005, 4521–4524. [Google Scholar] [CrossRef]
- Lundell, J.; Krajewska, M.; Räsänen, M. Matrix Isolation Fourier Transform Infrared and Ab Initio Studies of the 193-nm-Induced Photodecomposition of Formamide. J. Phys. Chem. A 1998, 102, 6643–6650. [Google Scholar] [CrossRef]
- Forde, N.R.; Butler, L.; Abrash, S.A.J. Electronic accessibility of dissociation channels in an amide: N,N-dimethylformamide photodissociation at 193 nm. J. Chem. Phys. 1999, 110, 8954–8968. [Google Scholar] [CrossRef]
- Chen, X.-B.; Fang, W.-H.; Fang, D.-C. An ab Initio Study toward Understanding the Mechanistic Photochemistry of Acetamide. J. Am. Chem. Soc. 2003, 125, 9689–9698. [Google Scholar] [CrossRef]
- Chen, X.-B.; Fang, W.-H. Insights into Photodissociation Dynamics of Benzamide and Formanilide from ab Initio Calculations. J. Am. Chem. Soc. 2004, 126, 8976–8980. [Google Scholar] [CrossRef]
- Ruzi, M.; Anderson, D.T. Photodissociation of N-methylformamide isolated in solid parahydrogen. J. Chem. Phys. 2012, 137, 194313. [Google Scholar] [CrossRef] [PubMed]
- Crespo-Otero, R.; Mardyukov, A.; Sanchez-Garcia, E.; Barbatti, M.; Sander, W. Photochemistry of N-Methylformamide: Matrix Isolation and Nonadiabatic Dynamics. Chem. Phys. Chem. 2013, 14, 827–836. [Google Scholar] [CrossRef]
- Milesevic, D.; Popat, D.; Robertson, P.; Vallance, C. Photodissociation dynamics of N,N-dimethylformamide at 225 nm and 245 nm. Phys. Chem. Chem. Phys. 2022, 24, 28343–2835211. [Google Scholar] [CrossRef] [PubMed]
- Lapinski, L.; Rostkowska, H.; Reva, I.; Fausto, R.; Nowak, M.J. Positive identification of UV-generated, non-hydrogen-bonded isomers of o-hydroxybenzaldehyde and o-hydroxyacetophenone. J. Phys Chem A 2010, 114, 5588–5595. [Google Scholar] [CrossRef] [PubMed]
- Orton, E.; Morgan, M.A.; Pimentel, G.C. Photorotamerization of methyl salicylate and related compounds in cryogenic matrixes. J. Phys. Chem. 1990, 94, 7936–7943. [Google Scholar] [CrossRef]
- Badr, M.Z.A.; Fahmy, A.M.; Mahgoub, S.A.; Aly, M.M. Molecular Rearrangements. XXVIII. Thermolysis and Photolysis of Some Hydroxamic Acid Derivatives. Bull. Chem. Soc. Jpn. 1988, 61, 2629–2634. [Google Scholar] [CrossRef]
- Abe, H.; Yamada, M.T.K. Infrared spectra of the CO–H2O 1–1 cluster trapped in an argon matrix. J. Chem. Phys. 2001, 114, 6134–6141. [Google Scholar] [CrossRef]
- Miyagawa, M.; Akai, N.; Nakata, M. UV-induced photoreaction pathways of salicylic acid: Identification of the fourth stable conformer and ketoketene–water complex. Chem. Phys. Lett. 2014, 602, 52–57. [Google Scholar] [CrossRef]
- Frisch, M.J.; Trucks, G.W.; Schlegel, H.B.; Scuseria, G.E.; Robb, M.A.; Cheeseman, J.R.; Scalmani, G.; Barone, V.; Petersson, G.A.; Nakatsuji, H.; et al. Gaussian 16; Revision C.01; Gaussian, Inc.: Wallingford, CT, USA, 2016. [Google Scholar]
- Grimme, S.; Antony, J.; Ehrlich, S.; Krieg, H. A consistent and accurate ab initio parametrization of density functional dispersion correction (DFT-D) for the 94 elements H-Pu. J. Chem. Phys. 2010, 132, 154104. [Google Scholar] [CrossRef]
- Grimme, S.; Ehrlich, S.; Goerigk, L. Effect of the damping function in dispersion corrected density functional theory. J. Comput. Chem. 2011, 32, 1456–1465. [Google Scholar] [CrossRef]
- Mardirossian, N.; Head-Gordon, M. Thirty years of density functional theory in computational chemistry: An overview and extensive assessment of 200 density functionals. Mol. Phys. 2017, 115, 2315–2372. [Google Scholar] [CrossRef]
- Pracht, P.; Grant, D.F.; Grimme, S. Comprehensive assessment of GFN tight-binding and composite density functional theory for calculating gas-phase infrared spectra. J. Chem. Theory Comput. 2020, 16, 7044–7060. [Google Scholar] [CrossRef] [PubMed]
- Bursch, M.; Mewes, J.M.; Hansen, A.; Grimme, S. Best-practice DFT protocols for basic molecular computational chemistry. Angew. Chem. Int. Ed. 2022, 61, e202205735. [Google Scholar] [CrossRef] [PubMed]
- Boys, S.F.; Bernardi, F. The calculation of small molecular interactions by the differences of separate total energies. Some procedures with reduced errors. Mol. Phys. 1970, 19, 553–566. [Google Scholar] [CrossRef]
- Bauernschmitt, R.; Ahlrichs, R. Treatment of electronic excitations within the adiabatic approximation of time dependent density functional theory. Chem. Phys. Let. 1996, 256, 454–464. [Google Scholar] [CrossRef]
- Stratmann, R.E.; Scuseria, G.E.; Frisch, M.J. An efficient implementation of time-dependent density-functional theory for the calculation of excitation energies of large molecules. J. Chem. Phys. 1998, 109, 8218–8224. [Google Scholar] [CrossRef]








| Experimental | Calculated | Assignment | ||||||||
|---|---|---|---|---|---|---|---|---|---|---|
| Monomer | 1a | 1b | 1c | 1a | 1b | 1c | ||||
| ν | ν | Δνexp | ν | Δνexp | ν | Δνexp | Δνcal | Δνcal | Δνcal | |
| 3734.0 b [3727.0] | 3728.0 [3720.0] | −8 | 3719.0 [3715.0] | −15 | 3724.0 | −10 | −8 (81) | −25 (131) | −13 (94) | νasOH (ν3 H2O) |
| 3638.0 b [3634.0] | - | - | 3567 br [3564] | −71 | 3624 | −14 | −7 (10) | −66 (244) | −17 (18) | νsOH (ν1 H2O) |
| 3582 | 3365.5 3352.0 3345.0 [3364 3349] | −227 | 3574 [3575] | −8 | - | - | −194 (736) | −2 (65) | 6 (72) | νOH |
| 2289 b | 2285.0 [2283.0] | −4 | 2280.0 [2283.0] | −9 | 2289.0 | 0 | 1 (1577) | −2 (1684) | 4 (1660) | νasNCO |
| 1589.0 b [1597.0] | 1588.0 | −1 | 1599.0 | 10 | 1593.0 | 4 | −2 (98) | 15 (44) | 2 (132) | δOH (ν2 H2O) |
| 1589 | 1584.5 [1584 sh] | −4.5 | 1591.0 [1591 sh] | 2 | 1589.0 | 0 | −4 (66) | 3 (56) | 1 (55) | νC=C |
| 1516 | 1526.0 [1529] | 10 | 1526.0 [1529] | 10 | 1526.0 | 10 | 0 (123) | 3 (124) | 1 (105) | δCH |
| 1345 | 1344 [1344] | 1 | - | - | - | - | 7 (70) | 0 (24) | 3 (30) | δCH |
| 1294 | 1306.5 1304.0 [1304] | 12.5 | 1299.0 [1296] | 5 | 1295.0 | 1 | 10 (82) | 4 (35) | 0 (42) | νC=C |
| 1249 | 1255.5 [1255] | 6.5 | 1247.0 [1244] | −2 | 1254 sh | 5 | 5 (52) | −8 (86) | 7 (59) | νC-O |
| 1200 | 1203.0 [1200] | 3 | 1203.0 [1200] | 3 | 1202 sh | 2 | 12 (183) | 9 (173) | 0 (170) | δOH |
| 750 | 750.0 749.0 [752] | 0 | 753.0 [756] | 3 | 759.0 | 9 | 1 (34) | 5 (81) | 9 (68) | γCH |
| 417 | 698 [697] | 281 | - | - | - | - | 274 (134) | 5 (86) | 18 (94) | γOH |
| Experimental | Calculated | Assignment | ||||
|---|---|---|---|---|---|---|
| Monomer | 2a | 2a | 2b | 2c | ||
| ν | ν | Δνexp | Δνcal | Δνcal | Δνcal | |
| 3734.0 b [3727.0] | 3703 | −31 | −41 (113) | −25 (72) | −21 (138) | νasOH (ν3 H2O) |
| 3638.0 b [3634.0] | 3537 [3535] | −101 | −151 (294) | −13 (21) | −52 (147) | νsOH (ν1 H2O) |
| 3513 | 3208 br [3218 br] | −310 | −323 (1027) | −13 (139) | −18 (159) | νOH |
| 1737 | 1793 1789 [1790] | 56 | 5 (290) | −23 (373) | 0 (310) | νasCCN |
| 1589.0 b [1597.0] | 1587 | −2 | −3 (147) | 12 (30) | 9 (107) | δOH (ν2 H2O) |
| 1485 | 1481 [1480] | −4 | −1 (118) | 3 (75) | 8 (84) | δCH |
| 1225 | 1218 [1217] | −7 | −2 (117) | 2 (34) | −10 (22) | νC-O |
| Experimental | Calculated | Assignment | ||||||
|---|---|---|---|---|---|---|---|---|
| Monomer | 3b | 3c | 3a | 3b | 3c | |||
| ν | ν | Δνexp | ν | Δνexp | Δνcal | Δνcal | Δνcal | |
| 3649 b | 3643.0 | −6 | 3463 br 3455.0 [3460 br] | −186 | −64 (111) | −1 (90) | −183 (765) | νOH |
| 3596 b | 3585.0 | −11 | 3589.0 | −7 | −37 (109) | −10 (107) | −8 (92) | νOH |
| 3517 b [3510] | 3429.0 3425.5 3412.0 3389.0 3382.0 | −105 | 3497 br [3492 br] | −20 | −87 (215) | −185 (1175) | −41 (162) | νNH |
| 2259 b [2265] | 2258.0 | −1 | 2252.0 [2255.0] | −7 | −12 (538) | 0 (931) | −2 (925) | νasNCO |
| 1545 | 1547.0 | 2 | 1547.0 [1548.0] | 2 | −5 (117) | 2 (108) | 3 (100) | δCH |
| 1264 | 1263.0 | −1 | 1260.0 [1259.0] | −4 | −1 (147) | 0 (113) | −1 (144) | νC-O |
| 1239 | 1237 br | −2 | 1242.0 [1240.0] | 3 | 20 (74) | −4 (215) | 10 (110) | νC-O |
| 1194 b | - | - | 1210.0 [1211.0] | 16 | 13 (85) | 4 (25) | 10 (93) | δOH |
| 1149 b | 1150.0 | 1 | 1160.0 [1159.0] | 11 | 22 (94) | 2 (67) | 19 (90) | δOH |
| 770 b [770] | 836.0 | 66 | 850.0 [850.0] | 80 | 35 (223) | 62 (275) | 96 (278) | δNH |
| 752 | 753.0 | 1 | 755.0 [756.0] | 3 | 20 (58) | 6 (69) | 3 (76) | γCH |
| Experimental | Calculated | Assignment | ||||
|---|---|---|---|---|---|---|
| Monomer | 4a | 4a | 4b | 4c | ||
| ν | ν | Δνexp | Δνcal | Δνcal | Δνcal | |
| 3629 | - | - | 0 (70) | −68 (410) | 0 (70) | νOH |
| 3661 | 3635.0 3631.0 [3630 br] | −30 | −70 (145) | 1 (70) | 0 (75) | ν(N)OH |
| 2138 b [2140] | 2144.0 [2146] | 6 | 6 (88) | 22 (95) | −6 (59) | νC≡O |
| 1500 | 1498.0 [1500] | −2 | 0 (71) | 2 (67) | 1 (70) | δCH |
| 1343 | 1364.0 | 21 | 27 (97) | 1 (80) | 2 (90) | δNOH |
| 1329 | - | - | 3 (30) | 6 (63) | 2 (36) | δOH |
| 1249 | 1255 [1255 sh] | 6 | 1 (100) | 2 (92) | 2 (94) | νC-O |
| 877 | 871.0 | −6 | −9 (70) | 2 (90) | 1 (98) | γNH |
Disclaimer/Publisher’s Note: The statements, opinions and data contained in all publications are solely those of the individual author(s) and contributor(s) and not of MDPI and/or the editor(s). MDPI and/or the editor(s) disclaim responsibility for any injury to people or property resulting from any ideas, methods, instructions or products referred to in the content. |
© 2024 by the authors. Licensee MDPI, Basel, Switzerland. This article is an open access article distributed under the terms and conditions of the Creative Commons Attribution (CC BY) license (https://creativecommons.org/licenses/by/4.0/).
Share and Cite
Sałdyka, M.; Mielke, Z. UV Laser-Induced Photodecomposition of Matrix-Isolated Salicylhydroxamic Acid: Identification of New Isocyanate Complexes. Molecules 2024, 29, 862. https://doi.org/10.3390/molecules29040862
Sałdyka M, Mielke Z. UV Laser-Induced Photodecomposition of Matrix-Isolated Salicylhydroxamic Acid: Identification of New Isocyanate Complexes. Molecules. 2024; 29(4):862. https://doi.org/10.3390/molecules29040862
Chicago/Turabian StyleSałdyka, Magdalena, and Zofia Mielke. 2024. "UV Laser-Induced Photodecomposition of Matrix-Isolated Salicylhydroxamic Acid: Identification of New Isocyanate Complexes" Molecules 29, no. 4: 862. https://doi.org/10.3390/molecules29040862
APA StyleSałdyka, M., & Mielke, Z. (2024). UV Laser-Induced Photodecomposition of Matrix-Isolated Salicylhydroxamic Acid: Identification of New Isocyanate Complexes. Molecules, 29(4), 862. https://doi.org/10.3390/molecules29040862

