Monoterpene Hydroxy Lactones Isolated from Thalassiosira sp. Microalga and Their Antibacterial and Antioxidant Activities
Abstract
1. Introduction
2. Results and Discussion
3. Materials and Methods
3.1. General Experimental Procedures
3.2. Extract Preparation from Microalgae
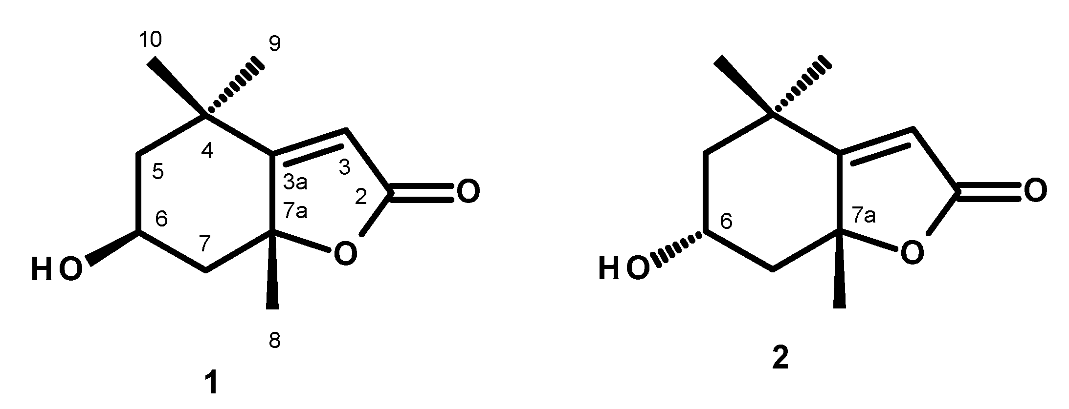
3.2.1. Loliolide (1)
3.2.2. epi-Loliolide (2)
3.3. Antibacterial Activity Bioassays
3.3.1. Bacterial Strains and Testing Conditions
3.3.2. Antimicrobial Susceptibility Testing
3.3.3. Antibiotic Synergy Testing
3.3.4. Biofilm Formation Inhibition Assay
3.4. Antioxidant Activity Assays
3.4.1. The ABTS Method
3.4.2. The DPPH Method
3.4.3. The Oxygen Radical Absorbance Capacity Method (ORAC)
4. Conclusions
Supplementary Materials
Author Contributions
Funding
Institutional Review Board Statement
Informed Consent Statement
Data Availability Statement
Acknowledgments
Conflicts of Interest
References
- Sathasivam, R.; Radhakrishnan, R.; Hashem, A.; Abd Allah, E.F. Microalgae metabolites: A rich source for food and medicine. Saudi J. Biol. Sci. 2019, 26, 709–722. [Google Scholar] [CrossRef] [PubMed]
- Barkia, I.; Saari, N.; Manning, S.R. Microalgae for high-value products towards human health and nutrition. Mar. Drugs 2019, 17, 304. [Google Scholar] [CrossRef] [PubMed]
- Cezare-Gomes, E.A.; Mejia-da-Silva, L.D.C.; Perez-Mora, L.S.; Matsudo, M.C.; Ferreira-Camargo, L.S.; Singh, A.K.; de Carvalho, J.C.M. Potential of microalgae carotenoids for industrial application. Appl. Biochem. Biotechnol. 2019, 188, 602–634. [Google Scholar] [CrossRef] [PubMed]
- Bule, M.H.; Ishtiaq, A.; Maqbool, F.; Bilal, M.; Iqbal, H.M.N. Microalgae as a source of high-value bioactive compounds. Front. Biosci. 2018, 10, 197–216. [Google Scholar]
- Sathasivam, R.; Ki, J.S. A Review of the Biological Activities of Microalgal Carotenoids and Their Potential Use in Healthcare and Cosmetic Industries. Mar. Drugs. 2018, 16, 26. [Google Scholar] [CrossRef]
- Zanella, L.; Alam, M.A. Extracts and bioactives from microalgae (sensu stricto): Opportunities and challenges for a new generation of cosmetics. In Microalgae Biotechnology for Food, Health and High Value Products; Springer Nature: Singapore, 2020; pp. 295–349. [Google Scholar]
- Huskens, D.; Schols, D. Algal lectins as potential HIV microbicide candidates. Mar. Drugs 2012, 10, 1476–1497. [Google Scholar] [CrossRef]
- Adrien, A.; Bonnet, A.; Dufour, D.; Baudouin, S.; Maugard, T.; Bridiau, N. Anticoagulant Activity of Sulfated Ulvan Isolated from the Green Macroalga Ulva rigida. Mar. Drugs 2019, 17, 291. [Google Scholar] [CrossRef]
- Samarakoon, K.W.; Ko, J.Y.; Shah, M.M.R.; Lee, J.H.; Kang, M.C.; O-Nam, K. In vitro studies of anti-inflammatory and anticancer activities of organic solvent extracts from cultured marine microalgae. Algae 2013, 28, 111–119. [Google Scholar] [CrossRef]
- Wang, S.; Said, I.H.; Thorstenson, C.; Thomsen, C.; Ullrich, M.S.; Kuhnert, N.; Thomsen, L. Pilotscale production of antibacterial substances by the marine diatom Phaeodactylum tricornutum Bohlin. Algal Res. 2018, 32, 113–120. [Google Scholar] [CrossRef]
- Sansone, C.; Braca, A.; Ercolesi, E.; Romano, G.; Palumbo, A.; Casotti, R. Diatom-derived polyunsaturated aldehydes activate cell death in human cancer cell lines but not normal cells. PLoS ONE 2014, 9, e101220. [Google Scholar] [CrossRef]
- Martínez, A.K.A.; Lauritano, C.; Romano, G.; Ianora, A. Marine Microalgae with Anti-Cancer Properties. Mar. Drugs 2018, 16, 165. [Google Scholar] [CrossRef] [PubMed]
- Ugoala, E.; Ndukwe, G.; Ayo, R. Isolation and Characterisation of Some Microalgae Bioactive Molecules. Alger. J. Nat. Prod. 2016, 4, 323–347. [Google Scholar]
- Kusmayadi, A.; Leong, Y.K.; Yen, H.W.; Huang, C.Y.; Chang, J.S. Microalgae as sustainable food and feed sources for animals and humans–biotechnological and environmental aspects. Chemosphere 2021, 271, 129800. [Google Scholar] [CrossRef]
- Li, Y.; Zhao, Q.; Lü, S. The genus Thalassiosira off the Guangdong coast, South China Sea. Bot. Mar. 2013, 56, 83–110. [Google Scholar] [CrossRef]
- Cong, N.; Vien, D.T.; Hong, D. Fatty Acid Profile and Nutrition Values of The Microalga (Thalassiosira pseudonana) used in White Shrimp Culture. Vietnam J. Sci. Technol. 2018, 56, 138–145. [Google Scholar]
- Hodges, R.; Porte, A.L. The structure of loliolide: A terpene from Lolium perenne. Tetrahedron 1964, 20, 1463–1467. [Google Scholar] [CrossRef]
- Silva, J.; Alves, C.; Martins, A.; Susano, P.; Simões, M.; Guedes, M.; Rehfeldt, S.; Pinteus, S.; Gaspar, H.; Rodrigues, A.; et al. Loliolide, a new therapeutic option for neurological diseases? In vitro neuroprotective and anti-inflammatory activities of a monoterpenoid lactone isolated from Codium tomentosum. Int. J. Mol. Sci. 2021, 22, 1888. [Google Scholar] [CrossRef]
- Park, S.H.; Choi, E.; Kim, S.; Kim, D.S.; Kim, J.H.; Chang, S.; Choi, J.S.; Park, K.J.; Roh, K.B.; Lee, J.; et al. Oxidative stress-protective and anti-melanogenic effects of loliolide and ethanol extract from freshwater green algae, Prasiola japonica. Int. J. Mol. Sci. 2018, 19, 2825. [Google Scholar] [CrossRef]
- Cho, D.H.; Yun, J.H.; Heo, J.; Lee, I.K.; Lee, Y.J.; Bae, S.; Yun, B.S.; Kim, H.S. Identification of Loliolide with anti-aging properties from Scenedesmus deserticola JD052. J. Microbiol. Biotech. 2023, 33, 1250. [Google Scholar] [CrossRef]
- Neergaard, J.S.; Rasmussen, H.B.; Stafford, G.I.; Van Staden, J.; Jäger, A.K. Serotonin transporter affinity of (−)-loliolide, a monoterpene lactone from Mondia Whitei. S. Afr. J. Bot. 2010, 76, 593–596. [Google Scholar] [CrossRef][Green Version]
- Gangadhar, K.N.; Rodrigues, M.J.; Pereira, H.; Gaspar, H.; Malcata, F.X.; Barreira, L.; Varela, J. Anti-Hepatocellular Carcinoma (HepG2) Activities of Monoterpene Hydroxy Lactones Isolated from the Marine Microalga Tisochrysis lutea. Mar. Drugs 2020, 18, 567. [Google Scholar] [CrossRef] [PubMed]
- Chi, H.; Qi, X.; Wang, X.; Wang, Y.; Han, X.; Wang, J.; Wang, H. Preparative separation and purification of loliolide and epiloliolide from Ascophyllum nodosum using amine-based microporous organic polymer for solid phase extraction coupled with macroporous resin and prep-HPLC. Anal. Methods 2021, 13, 1939–1944. [Google Scholar] [CrossRef]
- Lu, H.; Xie, H.; Gong, Y.; Wang, Q.; Yang, Y. Secondary metabolites from the seaweed Gracilaria lemaneiformis and their allelopathic effects on Skeletonema costatum. Biochem. Syst. Ecol. 2011, 39, 397–400. [Google Scholar] [CrossRef]
- Kimura, J.; Maki, N. New loliolide derivatives from the brown alga Undaria pinnatifida. J. Nat. Prod. 2002, 65, 57–58. [Google Scholar] [CrossRef] [PubMed]
- Yang, X.; Kang, M.; Lee, K.; Kang, S.; Lee, W.; Jeon, Y. Antioxidant activity and cell protective effect of loliolide isolated from Sargassum ringgoldianum subsp. coreanum. Algae 2011, 26, 201–208. [Google Scholar] [CrossRef]
- Valdés, L.J. Loliolide from Salvia divinorum. J. Nat. Prod. 1986, 49, 171. [Google Scholar] [CrossRef]
- Okada, N.; Shirata, K.; Niwano, M.; Koshino, H.; Uramoto, M. Immuno-suppressive activity of a monoterpene from Eucommia ulmoides. Phytochemistry 1994, 37, 281–282. [Google Scholar] [CrossRef]
- Machida, K.; Kikuchi, M. Norisoprenoids from Viburnum dilatatum. Phytochemistry 1996, 41, 1333–1336. [Google Scholar] [CrossRef]
- Yamada, K.; Subeki, N.K.; Yamasaki, M.; Katakura, K.; Matsuura, H. Isolation of antibabesial compounds from Brucea javanica, Curcuma xanthorrhiza, and Excoecaria cochinchinensis. Biosci. Biotechnol. Biochem. 2009, 73, 776–780. [Google Scholar] [CrossRef]
- Park, K.E.; Kim, Y.A.; Jung, H.A.; Lee, H.J.; Ahn, J.W.; Lee, B.J.; Seo, Y.W. Three norisoprenoids from the brown alga Sargassum thunbergii. J. Korean Chem. Soc. 2004, 48, 394–398. [Google Scholar] [CrossRef]
- Peng, Y.; Huang, R.M.; Lin, X.P.; Liu, Y.H. Norisoprenoids from the Brown Alga Sargassum naozhouense Tseng et Lu. Molecules 2018, 23, 348. [Google Scholar] [CrossRef] [PubMed]
- Barras, B.J.; Ling, T.; Rivas, F. Recent Advances in Chemistry and Antioxidant/Anticancer Biology of Monoterpene and Meroterpenoid Natural Product. Molecules 2024, 29, 279. [Google Scholar] [CrossRef] [PubMed]
- Urban-Chmiel, R.; Marek, A.; Stępień-Pyśniak, D.; Wieczorek, K.; Dec, M.; Nowaczek, A.; Osek, J. Antibiotic resistance in bacteria—A review. Antibiotics 2022, 11, 1079. [Google Scholar] [CrossRef] [PubMed]
- Nikaido, H. Molecular basis of bacterial outer membrane permeability revisited. Microbiol. Mol. Biol. Rev. 2003, 67, 593–656. [Google Scholar] [CrossRef]
- Lipinski, C.A.; Lombardo, F.; Dominy, B.W.; Feeney, P.J. Experimental and computational approaches to estimate solubility and permeability in drug discovery and development settings. Adv. Drug Deliv. Rev. 2001, 46, 3–26. [Google Scholar] [CrossRef]
- Kim, H.S.; Wang, L.; Fernando, I.P.S.; Je, J.G.; Ko, S.C.; Kang, M.C.; Lee, J.M.; Yim, M.J.; Jeon, Y.J.; Lee, D.S. Antioxidant efficacy of (−)-loliolide isolated from Sargassum horneri against AAPH-induced oxidative damage in Vero cells and zebrafish models in vivo. J. Appl. Phycol. 2020, 32, 3341–3348. [Google Scholar] [CrossRef]
- Rouzer, C.A.; Marnett, L.J. Structural and chemical biology of the interaction of cyclooxygenase with substrates and non-steroidal anti-inflammatory drugs. Chem. Rev. 2020, 120, 7592–7641. [Google Scholar] [CrossRef]
- Zielińska-Błajet, M.; Feder-Kubis, J. Monoterpenes and their derivatives—Recent development in biological and medical applications. Int. J. Mol. Sci. 2020, 21, 7078. [Google Scholar] [CrossRef]
- Sudarikov, D.V.; Nikitina, L.E.; Rollin, P.; Izmest’ev, E.S.; Rubtsova, S.A. Monoterpene Thiols: Synthesis and Modifications for Obtaining Biologically Active Substances. Int. J. Mol. Sci. 2023, 24, 15884. [Google Scholar] [CrossRef]
- Le, T.M.; Huynh, T.; Endre, G.; Szekeres, A.; Fülöp, F.; Szakonyi, Z. Stereoselective synthesis and application of isopulegol-based bi-and trifunctional chiral compounds. RSC Adv. 2020, 10, 38468–38477. [Google Scholar] [CrossRef]
- Charlton, N.C.; Mastyugin, M.; Török, B.; Török, M. Structural features of small molecule antioxidants and strategic modifications to improve potential bioactivity. Molecules 2023, 28, 1057. [Google Scholar] [CrossRef] [PubMed]
- Simões, R.R.; Aires-de-Sousa, M.; Conceição, T.; Antunes, F.; da Costa, P.M.; de Lencastre, H. High prevalence of EMRSA-15 in Portuguese public buses: A worrisome finding. PLoS ONE 2011, 6, e17630. [Google Scholar] [CrossRef] [PubMed]
- Bessa, L.J.; Barbosa-Vasconcelos, A.; Mendes, Â.; Vaz-Pires, P.; Da Costa, P.M. High prevalence of multidrug-resistant Escherichia coli and Enterococcus spp. in river water, upstream and downstream of a wastewater treatment plant. J. Water Health 2014, 12, 426–435. [Google Scholar] [CrossRef] [PubMed]
- Clinical and Laboratory Standards Institute (CLSI). Performance Standards for Antimicrobial Susceptibility Testing, 27th ed.; CLSI: Wayne, PA, USA, 2017. [Google Scholar]
- Clinical and Laboratory Standards Institute (CLSI). Performance Standards for Antimicrobial Disk Susceptibility Tests, 11th ed.; CLSI: Wayne, PA, USA, 2012. [Google Scholar]
- Clinical and Laboratory Standards Institute (CLSI). Methods for Dilution Antimicrobial Susceptibility Tests for Bacteria That Grow Aerobically, 10th ed.; CLSI: Wayne, PA, USA, 2015. [Google Scholar]
- Clinical and Laboratory Standards Institute (CLSI). Methods for Determining Bactericidal Activity of Antimicrobial Agents; Approved Guideline; CLSI: Wayne, PA, USA, 1999. [Google Scholar]
- Kumla, D.; Dethoup, T.; Gales, L.; Pereira, J.A.; Freitas-Silva, J.; Costa, P.M.; Silva, A.M.S.; Pinto, M.M.M.; Kijjoa, A. Erubescensoic Acid, a New Polyketide and a Xanthonopyrone SPF-3059-26 from the Culture of the Marine Sponge-Associated Fungus Penicillium erubescens KUFA 0220 and Antibacterial Activity Evaluation of Some of Its Constituents. Molecules 2019, 24, 208. [Google Scholar] [CrossRef]
- Gomes, N.M.; Bessa, L.J.; Buttachon, S.; Costa, P.M.; Buaruang, J.; Dethoup, T.; Silva, A.M.S.; Kijjoa, A. Antibacterial and antibiofilm activities of tryptoquivalines and meroditerpenes isolated from the marine-derived fungi Neosartorya paulistensis, N. laciniosa, N. tsunodae, and the soil fungi N. fischeri and N. siamensis. Mar. Drugs 2014, 12, 822–839. [Google Scholar] [CrossRef]
- Odds, F.C. Synergy, antagonism, and what the chequerboard puts between them. J. Antimicrob. Chemother 2003, 52, 1. [Google Scholar] [CrossRef]
- Stepanović, S.; Vuković, D.; Hola, V.; Di Bonaventura, G.; Djukić, S.; Ćirković, I.; Ruzicka, F. Quantification of biofilm in microtiter plates: Overview of testing conditions and practical recommendations for assessment of biofilm production by staphylococci. Apmis 2007, 115, 891–899. [Google Scholar] [CrossRef]
- Gião, M.S.; González-Sanjosé, M.L.; Rivero-Pérez, M.D.; Pereira, C.I.; Pintado, M.E.; Malcata, F.X. Infusions of Portuguese Medicinal Plants: Dependence of Final Antioxidant Capacity and Phenol Content on Extraction Features. J. Sci. Food Agric. 2007, 87, 2638–2647. [Google Scholar] [CrossRef]
- Vilas-Boas, A.A.; Oliveira, A.; Ribeiro, T.B.; Ribeiro, S.; Nunes, C.; Gómez-García, R.; Nunes, J.; Pintado, M. Impact of Extraction Process in Non-Compliant ‘Bravo de Esmolfe’ Apples towards the Development of Natural Antioxidant Extracts. Appl. Sci. 2021, 11, 5916. [Google Scholar] [CrossRef]
- Alexandre, E.M.C.; Silva, S.; Santos, S.A.O.; Silvestre, A.J.D.; Duarte, M.F.; Saraiva, J.A.; Pintado, M. Antimicrobial Activity of Pomegranate Peel Extracts Performed by High Pressure and Enzymatic Assisted Extraction. Food Res. Int. 2019, 115, 167–176. [Google Scholar] [CrossRef]
- Dávalos, A.; Gómez-Cordovés, C.; Bartolomé, B. Extending Applicability of the Oxygen Radical Absorbance Capacity (ORAC-Fluorescein) Assay. J. Agric. Food Chem. 2004, 52, 48–54. [Google Scholar] [CrossRef] [PubMed]


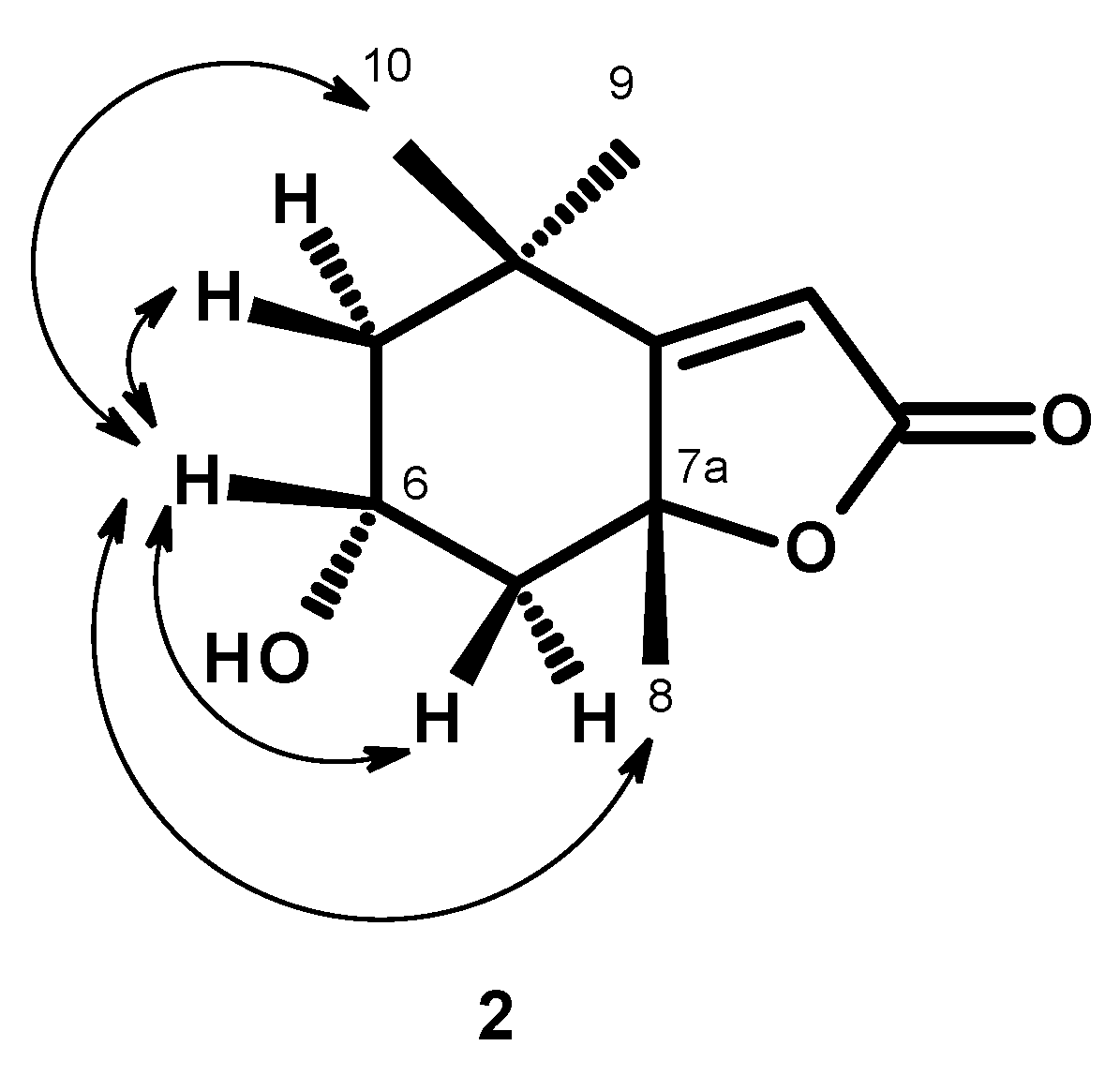
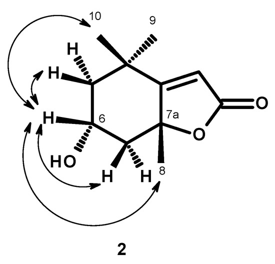
) correlations in compound 2.
| Position | δC, Type | δH, (J in Hz) | COSY | HMBC |
|---|---|---|---|---|
| 1 | - | |||
| 2 | 172.2 C | |||
| 3 | 112.8 CH | 5.69, s | C-2, 3a, 4 | |
| 3a | 182.8 C | |||
| 4 | 36.0 C | |||
| 5α | 47.2 CH2 | 2.00, ddd (14.5, 2.7, 2.7) | H-5β, 6 | C-3a, 6, 7, 10 |
| β | 1.53, dd (14.5, 3.7) | C-4, 9 | ||
| 6 | 66.7 CH | 4.34, m | H-5α, 5β, 7α, 7β, | |
| 7α | 45.6 CH2 | 2.48, ddd (14.0, 2.5, 2.5) | H-6 | C-3a, 5, 6, 7a |
| β | 1.77, dd (14.0, 4.0) | C-3a, 6, 8 | ||
| 7a | 87.0 C | |||
| 8 | 27.0 CH3 | 1.79, s | C-3a, 7, 7a | |
| 9 | 30.7 CH3 | 1.27, s | C-3a, 4, 5, 6, 10 | |
| 10 | 26.5 CH3 | 1.48, s | H-9 | C-3a, 4, 5, 9 |
| Position | δC, Type | δH, (J in Hz) | COSY | HMBC | NOESY |
|---|---|---|---|---|---|
| 1 | |||||
| 2 | 171.9, CO | ||||
| 3 | 113.0, CH | 5.68, s | C-2, 3a, 4, 7a | ||
| 3a | 181.3, C | ||||
| 4 | 35.1, C | ||||
| 5α | 49.7 CH2 | 2.02, ddd (12.8, 4.3, 2.3) | H-5β, | C-3a, 4, 6, 7 | |
| β | 1.31, dd (12.2, 12.2) | C-4, 6, 7a, 10 | H-5α | ||
| 6 | 64.8, CH | 4.10, m | H-5α, 5β, 7α, 7β, | H-5α, 7α, 7β, 8, 10 | |
| 7α | 47.8 CH2 | 2.51, ddd (11.8, 4.0, 2.3) | H-6, 7β | C-3a, 5, 6, 7a | |
| β | 1.48, dd (11.8, 11.8) | C-5, 6, 7a, 8 | |||
| 7a | 86.8 C | ||||
| 8 | 25.5, CH3 | 1.56, s | H-7β | C-3a, 7, 7a | H-6 |
| 9 | 29.9, CH3 | 1.29, s | C-3a, 4, 5, 10 | ||
| 10 | 25.0, CH3 | 1.24, s | C-3a, 4, 5, 9 |
| Compound | E. faecalis ATCC 29212 | E. faecalis B3/101 (VRE) | S. aureus ATCC 29213 | S. aureus 66/1 (MRSA) |
|---|---|---|---|---|
| 1 | >325 | >325 | >325 | >325 |
| 2 | >325 | >325 | >325 | >325 |
| Compound | ABTS | DPPH | ORAC |
|---|---|---|---|
| (µmol TE/100 mg) | |||
| 1 | 0.476 ± 0.062 b | 0.302 ± 0.019 b | 2.786 ± 0.070 b |
| 2 | n.d. | n.d. | 2.520 ± 0.319 b |
| BHT | 65.661 ± 2.993 a | 6.482 ± 0.570 a | 55.985 ± 3.582 a |
Disclaimer/Publisher’s Note: The statements, opinions and data contained in all publications are solely those of the individual author(s) and contributor(s) and not of MDPI and/or the editor(s). MDPI and/or the editor(s) disclaim responsibility for any injury to people or property resulting from any ideas, methods, instructions or products referred to in the content. |
© 2024 by the authors. Licensee MDPI, Basel, Switzerland. This article is an open access article distributed under the terms and conditions of the Creative Commons Attribution (CC BY) license (https://creativecommons.org/licenses/by/4.0/).
Share and Cite
Morais, A.M.M.B.; Kumla, D.; Martins, V.F.R.; Alves, A.; Gales, L.; Silva, A.M.S.; Costa, P.M.; Mistry, S.; Kijjoa, A.; Morais, R.M.S.C. Monoterpene Hydroxy Lactones Isolated from Thalassiosira sp. Microalga and Their Antibacterial and Antioxidant Activities. Molecules 2024, 29, 5175. https://doi.org/10.3390/molecules29215175
Morais AMMB, Kumla D, Martins VFR, Alves A, Gales L, Silva AMS, Costa PM, Mistry S, Kijjoa A, Morais RMSC. Monoterpene Hydroxy Lactones Isolated from Thalassiosira sp. Microalga and Their Antibacterial and Antioxidant Activities. Molecules. 2024; 29(21):5175. https://doi.org/10.3390/molecules29215175
Chicago/Turabian StyleMorais, Alcina M. M. B., Decha Kumla, Valter F. R. Martins, Ana Alves, Luis Gales, Artur M. S. Silva, Paulo M. Costa, Sharad Mistry, Anake Kijjoa, and Rui M. S. C. Morais. 2024. "Monoterpene Hydroxy Lactones Isolated from Thalassiosira sp. Microalga and Their Antibacterial and Antioxidant Activities" Molecules 29, no. 21: 5175. https://doi.org/10.3390/molecules29215175
APA StyleMorais, A. M. M. B., Kumla, D., Martins, V. F. R., Alves, A., Gales, L., Silva, A. M. S., Costa, P. M., Mistry, S., Kijjoa, A., & Morais, R. M. S. C. (2024). Monoterpene Hydroxy Lactones Isolated from Thalassiosira sp. Microalga and Their Antibacterial and Antioxidant Activities. Molecules, 29(21), 5175. https://doi.org/10.3390/molecules29215175

