Abstract
Heptanuclear {GdIII7} (complex 1) and tetradecanuclear {GdIII14} (complex 2) were synthesized using the rhodamine 6G ligand HL (rhodamine 6G salicylaldehyde hydrazone) and characterized. Complex 1 has a rare disc-shaped structure, where the central Gd ion is connected to the six peripheral GdIII ions via CH3O−/μ3-OH− bridges. Complex 2 has an unexpected three-layer double sandwich structure with a rare μ6-O2− ion in the center of the cluster. Magnetic studies revealed that complex 1 exhibits a magnetic entropy change of 17.4 J kg−1 K−1 at 3 K and 5 T. On the other hand, complex 2 shows a higher magnetic entropy change of 22.3 J kg−1 K−1 at 2 K and 5 T.
1. Introduction
The exploration of new compounds in the field of coordination chemistry reveals many fascinating structures and properties. Among them, rare earth ions play an important role in the assembly of polynuclear clusters [1,2,3]. Due to their large ion radius and inherent ability to participate in various coordination environments, rare earth ions can promote the formation of polymetallic clusters [4,5,6,7,8,9,10,11,12,13,14,15,16,17,18,19,20,21,22]. Multinuclear rare earth clusters with different structural types, such as {Ln18} [23], {Ln28} [24], {Ln34} [25], {Ln36} [26], {Ln37} [27], {Ln48} [28], {Ln60} [29], {Ln72} [30], {Ln104} [31], {Ln140} [32], etc., were synthesized, and the largest even has a {Nd288} structure [33]. These polynuclear clusters usually exhibit fascinating properties, such as single-molecule magnetism [8,12,14,15,19,30], luminescence [23,24], magneto-optical properties [34] and proton-conductive properties [35].
The formation of lanthanide hydroxide clusters involves the hydrolysis of lanthanide ions in the presence of ligands. The hydrolysis process leads to the formation of small lanthanide hydroxide units, which then assemble to form larger clusters. The size and structure of the clusters can be controlled by adjusting the hydrolysis conditions and the choice of ligands. The hydrolysis-induced assembly mechanism of lanthanide hydroxide clusters is still not fully understood due to the elusive coordination configurations of lanthanide ions and the limited characterization methods available. However, recent studies have made progress in determining the intermediate species and the pathways of cluster formation [22]. The formation of high-nuclearity lanthanide clusters is believed to involve the assembly of low-nuclearity subunits, which are formed according to initial hydrolysis. These small units are then connected to form the final cluster structure. Understanding the formation mechanism of lanthanide hydroxide clusters is important for the development of new functional materials and their applications in various fields. In addition, the interactions between the rare earth centers can affect the physical properties of the clusters. The ligand framework around these ions also plays an important role in determining the geometry, stability and functionality of the obtained clusters. By adjusting the ligand, scientists can strategically guide the self-assembly process, thus generating the required multi-core architecture.
Certain gadolinium compounds have shown excellent magnetocaloric properties [36,37,38], such as Gd(HCOO)3 [39], Gd(OH)3 [40], Gd2O(OH)4(H2O)2 [40], GdPO4 [41], Gd(OH)CO3 [42], GdF3 [43], Gd(OH)F2 [44] and Ba2Gd(BO3)2X (X = F, Cl) [45]. The magnetocaloric effect (MCE) in Gd is particularly strong, making it an ideal material for use in extremely low-temperature magnetic refrigeration systems. Magnetic refrigeration is a technology that uses a magnetic field to cool objects. Magnetic refrigeration materials play an increasingly important role in the future of social development, particularly in the area of energy efficiency and sustainability. In addition, molecular clusters with diverse structures also exhibit enormous magnetic cooling potential and exhibit many physical properties, such as chirality, spin crossover, fluorescence, etc.
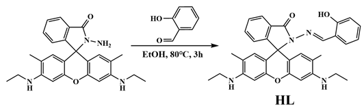
Rhodamine-derived ligands show ring-opened or ring-closed structures and can form rare earth [46,47,48,49] or transition metal [50,51] complexes. They are mostly mononuclear or low-nuclearity complexes. We are interested in forming high-nuclearity clusters based on rhodamine ligands using the hydrolysis approach. In this work, we used the rhodamine 6G salicylaldehyde hydrazone ligand (Figure 1) to synthesize two different metal complexes, hexagonal heptanuclear {GdIII7} [Gd7(L)6(μ2-CH3O)4(μ3-CH3O)4(μ3-OH)4(NO3)2]NO3·10CH3CN·10CH3OH·2H2O (complex 1) and tetradecanuclear {GdIII14} Gd14(H0.5L)8(μ6-O)(μ4-O)2(μ3-OH)16(NO3)16·9.5CH3CN·2CH3OH·11H2O (complex 2), with an unexpected three-layer double sandwich structure. These two complexes have an excellent magnetic refrigeration performance, and their magnetic entropy changes are 17.4 J kg−1 K−1 at 3 K and 5 T and 22.3 J kg−1 K−1 at 2 K and 5 T, respectively.
Figure 1.
Transformation of ring-opened and ring-closed form of rhodamine-6G-type ligands and their reactions.
2. Results and Discussion
2.1. Synthesis and Characterization
Rhodamine 6G-type ligands have attracted significant attention in the realm of fluorescent sensors. Previous studies have primarily focused on the synthesis of mononuclear rare earth or transition metal complexes [46,47,48,49,50,51,52]. However, these ligands have yet to be fully unearthed. We speculate that the reaction between LnIII and the rhodamine 6G ligands might lead to high-nuclearity lanthanide complexes under high pH values. Using the hydrolysis strategy, we have successfully synthesized two new GdIII clusters, 1 and 2 (Figure 1). Additionally, our research has unveiled the influential factors that impact the synthesis process, including the ratio of central ions to ligands, solvents, alkalines and reaction temperature.
The synthetic procedure for the two clusters is similar, with the exception of the molar ratio of Gd:L, i.e., an excess amount of gadolinium nitrate was used in the synthesis of {Gd14}. Both complexes were prepared using the reaction of the ligand HL with gadolinium nitrate in a mixed solution of methanol and acetonitrile. A quantity of triethylamine was used to induce the ring closure of the HL and hydrolysis, which was characterized using the UV-Vis spectra of the reactant mixtures (Figure 2). The absorption at 535 nm due to the ring-opened xanthene disappeared after the addition of four times the amount of Et3N, revealing that the HL ligands were ring-closed [46,47,48]. The peak at 400 nm is most likely due to the conjugated salicylaldehyde hydrazone group, corresponding to the yellow color of the final products. The resulting mixture was left undisturbed at room temperature for one week, facilitating the formation of yellow plate-like single crystals for {Gd7}. The reactant mixture was heated at 60 °C in an oven for three days, resulting in the formation of yellow cubic-shaped samples of {Gd14}. These two complexes tend to lose solvents in the air. When the crystals are taken out of the solution, they turn from yellow to red at room temperature, and they lose their crystallinity. The powder XRD pattern for Gd7 illustrates that the main strong peaks show disagreement with those simulated, indicating the desolvation of the crystals (Figure S1). Thermogravimetric analysis (TGA) shows that the crystals lose all their crystallization solvent molecules to give a desolvated solid (Figure S2). The peaks at low 2θ angles in the PXRD data for Gd14 are approximately consistent with those simulated, and the TGA data show a weight loss of 8.5% in the temperature range 41–112 °C, which is in agreement with the calculated data of 7.7%. The infrared spectra of complexes 1 and 2 (Figure S3) show peaks at 1363 cm−1 and 1380 cm−1, respectively, as is characteristic of nitrate anions. The disappearance of the peak at 1680 cm−1 for HL illustrates the coordination of aryl oxygen toward GdIII. The strong peak at 1620 cm−1 is most likely due to the C=N stretching vibration for the Schiff base ligand L−. The UV-Vis and fluorescent spectra (Figure 2) for the reactant solutions of HL and Gd(NO3)3 with different amounts of Et3N were measured in the methanolic solution ([HL] = [Gd3+] = 10 μM, λex = 354 nm). The colorless ligand shows no absorption in the visible region; however, after the addition of GdIII, the ligand becomes ring-opened owing to the coordination and has a strong typical absorption at 533 nm. With the addition of Et3N, the absorption gradually decreases owing to the ring-closure of HL in alkaline conditions. The free ligand HL in MeOH has an emission at 555 nm, which is due to the presence of small quantities of the ring-opened ligand. After the addition of GdIII, the ligand HL becomes ring-opened, and emits yellow light with a wavelength of 580 nm. When three times the amount of Et3N was added, the emission nearly disappeared, indicating that almost all the HL ligands were in the ring-closed form. The complexes are slightly soluble in MeOH, and the solutions (10 μM) show an intense absorption at 398 nm, corresponding to the yellow color of the complex with ring-closed L− ligands (Figure S4a). The emissions at 546 nm for Gd7 and 550 nm for Gd14 (λex = 354 nm) potentially come from the ring-opened xanthene in the complexes, and although the ring-opened dissociation is scant, the emission is strong. The weak emission at 484 for Gd7 and 489 nm for Gd14 is most likely due to the Schiff base part of the ligand L− (Figure S4b).
Figure 2.
UV-Vis (a) and fluorescent spectra (λex = 354 nm) (b) for the ligand HL and the reaction mixture containing HL and Gd(NO3)3 with different amounts of Et3N in MeOH.
2.2. Structure
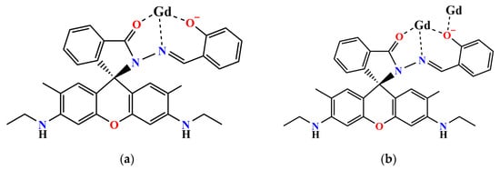
A yellow single crystal of complex 1 was selected for single crystal X-ray diffraction at 100 K. Complex 1 crystallizes in the monoclinic system with the P21/n space group. The volume of the unit cell is very large with a monoclinic system, and therefore the diffraction data are not optimal. The command MASK was used during the structural refinement, and 452 electrons were masked per formula unit, which account for the missing NO3− anion and 10 acetonitrile, 10 methanol and 2 H2O molecules, with their total electrons being 451. The crystallographic data and selected bond distances and angles are given in Tables S1 and S2. The asymmetric unit cell contains three crystallographically independent {GdIII7} moieties. Because they have similar molecular structures, only one of them is described in detail as a representative. The coordination number of each GdIII ion in {Gd7} (Figure 3) is between 7 and 9. Their coordination patterns are shown in Figures S5 and S6. Using the SHAPE software (version 2.1) for calculation, their coordination patterns were obtained, as shown in Tables S3–S5. The central Gd1 ions are coordinated by eight oxygen atoms and have a square antiprism structure D4d. Among the eight oxygen atoms, four are μ3-OH− and another four are μ3-CH3O−. The Gd–Ohydroxy bond distances are in the range of 2.316(9)–2.358(9) Å, slightly shorter than that of the Gd–Omethoxy bonds (2.362(9)–2.404(6) Å). The remaining six GdIII ions are evenly distributed around the central GdIII ion, forming a saddle-shaped structure, which is relatively rare in rare earth complexes [53] (Figure S7). Each peripheral GdIII ion is chelated by one ring-closed ligand L−, and is bridged to the adjacent peripheral GdIII ions by μ2-CH3O− or phenoxy oxygen atoms (Figure 4). The Gd–Omethoxy bond distances are in the range of 2.261(10)–2.298(10) Å, comparable to that of the Gd–Ophenoxy bonds (2.189(10)–2.433(9) Å). The central GdIII ion is connected to the six peripheral GdIII ions via the μ3-OH− and μ3-CH3O− bridges, giving rise to a Gd7 core, as shown in Figure 3b. The bridging Gd–O–Gd bond angles are in the range of 92.9(3)–110.6(4)° for μ3-OH−, 92.9(3)–99.2(3)° for μ3-CH3O−, 110.4(4)–112.8(4)° for μ2-CH3O− and 98.2(3)–98.4(3)° for μ2-Ophenoxy, respectively, with intramolecular Gd–Gd separations of 3.5064(11)–3.808(11) Å. The neighboring Gd7 molecules are connected via weak intermolecular forces and no obvious intermolecular hydrogen bonds are found based on the squeezed model of the crystal data.
Figure 3.
(a) The structure of the {GdIII7} cation for complex 1. Hydrogen atoms and solvents have been omitted for clarity. (b) The core skeleton graph of complex 1. Color code: GdIII green; O red; N blue; C gray.
Figure 4.
Schematic diagram of two different coordination modes of ring-closed rhodamine ligands L−. (a) Tridentate chelating mode; (b) phenolic oxygen bridging mode.
As for complex 2, a yellow cube-shaped single crystal was selected for single crystal X-ray diffraction at 173 K. A solvent mask was used, and 183.4 electrons were found at a volume of 3448.9 Å3 in nine voids per unit cell, which is consistent with the presence of 2 CH3OH, 2 H2O and 1.5 CH3CN molecules per formula unit with 178 electrons. The crystallographic data and selected bond distances and angles are given in Tables S1 and S6. Complex 2 crystallizes in the tetragonal system with a space group of P4/n and has a D4h symmetry. The asymmetric unit contains 1/4 of the tetradecanuclear molecule and there are five different kinds of nine-coordinated GdIII ions (Gd1-Gd5, Figure 5b). They have three different coordination modes (Table S7) and their coordination patterns are shown in Figures S8 and S9. The tetradecanuclear cluster core is neutral and has a highly symmetrical three-layer double sandwich structure (Figure 5b). In the structure, four nine-coordinated GdIII ions form a square plane layer, and a nine-coordinated GdIII ion is located between the layers. The distance between the two layers is 5.792 Å. The center of the middle layer is six-coordinated μ6-O2−, while the outer layers on both sides are μ4-O2−. The sandwiched GdIII ions and the square-shaped layer are connected by μ3-OH− ions. The Gd ions are linked together by hydroxo bridges, forming a [Gd14(μ6-O)(μ4-O)2(μ3-OH)16] core. This core contains one octahedral [Gd6(μ6-O)(μ3-OH)8] unit that shares two apexes with two [Gd5(μ4-O)(μ3-OH)4] square pyramid moieties. The cluster core is surrounded by eight ring-closed L− ligands. Additionally, the GdIII of the middle layer is coordinated with two nitrate ions, and the GdIII of outer layers on both sides is coordinated with a nitrate ion and a tridentate ring-closed L− ligand. The square plane layers are bridged by phenolic oxygen on the ligand, as shown in Figure 4b. Unlike in complex 1, all the ligands L− are involved in the bridging, and none of the coordination modes shown in Figure 4a are present in complex 2.
Figure 5.
(a) The structure of complex 2. Hydrogen atoms and solvents have been omitted for clarity. (b) The core skeleton of complex 2. Color code: GdIII green; O red; N blue; C gray.
As for the coordination environment of the Gd14 ions, three different types can be divided into Gd1 and Gd5 and their equivalences; Gd2 and Gd4; Gd3 and its equivalences. The Gd1 or Gd5 ion is surrounded by two μ3-OH−, two μ2-phenoxy, one μ4-O2− and one L− ligand, with Gd–O/N bond distances of 2.320(7)–2.587(19) Å for Gd1 and 2.292(8)–2.601(11) Å for Gd5. The Gd2 or Gd4 ion is coordinated by eight μ3-OH− and one μ6-O2−, with Gd–O bond distances of 2.434(9)–2.617(13) Å for Gd2 and 2.454(8)–2.716(13) Å for Gd4. The Gd3 ion is coordinated by one μ6-O2−, four μ3-OH− and two nitrate anions, with Gd–O bond distances of 2.335(8)–2.555(9) Å. The rare μ6-O2−-bridged Gd6 core has an elongated octahedral symmetry, with equatorial Gd–O bond distances of 2.4822(8) Å and axial Gd–O bond distances of 2.617(13)/2.716(13) Å. The intermetallic Gd–Gd separations within the Gd14 core are similar and are in the range of 3.5099(11)–3.882(1) Å. The Gd–O–Gd bond angles via the μ3-OH− bridges are in the range of 95.9(3)–107.8(4)°, and those via the phenoxy bridges are similar (97.5(3) and 97.8(3)°). The acetonitrile molecules are hydrogen-bonded to the HN groups of L−. No intermolecular π–π contact is observed. The nearest intermolecular Gd–Gd separation is 13.73 Å.
Although there are many reports on tetranuclear clusters of planar quadrilateral [54,55] and nona-nuclear molecules of the double-layer sandwich type [56,57], a rare earth molecular structure in the form of a three-layer double sandwich is uncommon. Similar molecules have been reported before, as shown in Figures S10–S12. Tetradecanuclear hydroxo–lanthanide acetylacetonato complexes, formulated as Ln14(μ4-OH)2(μ3-OH)16(μ-η2-acac)8(η2-acac)16 (Ln = Tb and Eu, acac− = acetylacetonato) [58], and chiral tetradecanuclear hydroxo-lanthanide clusters, as Ln14(μ4-OH)2(μ3-OH)16(μ-η2-acac)8(η2-acac)16·6H2O (Ln = Dy and Tb) [59], have been reported. The ligands used in these two works are both based on acetylacetonato, but the present tetradecanuclear {GdIII14} is a completely different ligand, i.e., ring-closed rhodamine L−. The use of ortho-nitrophenolate exhibited the tetradecanuclear H18[Ln14(μ-η2-o-O2N-C6H4O)8(η2-o-O2N-C6H4O)16(μ4-O)2(μ3-O)16] (Ln = Dy and Tm; o-O2N-C6H4O− = o-nitrophenolate) [60]. Despite the above similar Ln14 complexes, the μ6-O2− in 2 is unique among them.
It is worth mentioning that similar hexadecanuclear molecules [EuIII16(tfac)20(CH3OH)8(μ3-OH)24(μ6-O)2] have also been reported based on trifluoroacetylacetone (tfac−) [22]. In addition to the tetradecanuclear {Eu14} core, there are another two Eu ions on the opposite sides (Figure S13). This study provides insights into the formation, evolution and assembly of lanthanide hydroxide clusters. The formation of {Gd7} and {Gd14} in this work further verifies that hydrolysis under high pH values is an effective way of constructing high-nuclearity LnIII species.
2.3. Magnetic Measurements
The temperature dependence of the magnetic susceptibility of complexes 1 and 2 is measured under a 1000 Oe magnetic field in the range of 2–300 K (Figure 6). At room temperature, the χMT values of 54.1 cm3 K mol−1 for {Gd7} and 109.0 cm3 K mol−1 for {Gd14} are close to the theoretical values of 55.09 cm3 K mol−1 for heptanuclear and 110.18 cm3 K mol−1 for tetradecanuclear uncoupled GdIII (S = 7/2, g = 2, C = 7.87 cm3 K mol−1 per Gd), respectively. For 1, upon lowering the temperature, the χMT value slightly decreases to 49.76 cm3 K mol−1 at 20 K and then rapidly falls to 30.22 cm3 K mol−1 at 2 K. Complex 2 exhibits a similar behavior: when lowering the temperature, the χMT value slightly decreases to 95.4 cm3 K mol−1 at 30 K, and then rapidly falls to 33.0 cm3 K mol−1 at 2 K. These changes indicate the presence of dominant antiferromagnetic interactions between the GdIII ions in the clusters. The data can be perfectly fitted to the Curie–Weiss law, giving C = 54.44 cm3 K mol−1 and θ = −1.71 K for {Gd7} and C = 110.50 cm3 K mol−1 and θ = −4.63 K for {Gd14} (Figure S14). The larger absolute θ value in {Gd14} suggests that the antiferromagnetic interaction is stronger than that for {Gd7}.
Figure 6.
Temperature dependence of χMT for {Gd7} and {Gd14} under a 1000 Oe magnetic field in the range of 2–300 K.
The field dependence of the magnetizations (M) for complexes 1 and 2 was measured in the temperature range of 2–10 K (Figure S15). It can be seen that the magnetization has not reached saturation at 5 T and 2 K. At 2 K, the experimental maximum magnetization values of 47.03 Nβ for 1 and 89.35 Nβ for 2 are lower than the theoretical saturation value of GdIII (49 Nβ for 1 and 98 Nβ for 2, respectively), which may owe to the antiferromagnetic coupling, and a higher magnetic field is needed to suppress the magnetic coupling effect. For complexes 1 and 2, the experimental M–H curves at 2–10 K lie below the calculated Brillouin curve for non-interacting SGd spins (Figures S16 and S17), also suggesting the presence of overall intermetallic antiferromagnetic coupling. The difference between the experimental and calculated values for Gd14 is obviously larger than that for Gd7, indicating that the former shows stronger antiferromagnetic coupling than that of the latter. The presence of μ6-O2−-bridged Gd6O moiety may be responsible for this.
The half-filled 4f electronic configuration in GdIII ions makes them magnetically isotropic. This makes gadolinium a valuable material in various applications, especially magnetic refrigeration. Thus, the magnetocaloric effect (MCE) of complexes 1 and 2 was studied using the Maxwell equation:
At 3 K and ∆H = 5 T, the value of −∆Sm is 17.44 J kg−1 K−1 for 1 (Figure 7a), which is slightly lower than the expected value of 14.56R (25.25 J kg−1 K−1) calculated for seven uncorrelated GdIII ions using the equation −∆Sm = nRln(2S + 1) (R≈8.314 J mol−1 K−1). The value of −∆Sm for 2 is 22.30 J kg−1 K−1 at 2 K and ∆H = 5 T (Figure 7b), which is close to the expected value of 29.11R (28.72 J kg−1 K−1) calculated for 14 uncorrelated GdIII ions. To improve the magnetic refrigeration effect of the gadolinium clusters [37], several approaches can be considered. Firstly, the experimental conditions can be optimized. For instance, the temperature and magnetic field can be carefully controlled to ensure the most efficient operation of the gadolinium clusters. The thermal conductivity of the environment and the pressure during the refrigeration cycle can also be adjusted to minimize the energy loss. Secondly, the chemical composition of the clusters can be varied. Gadolinium can be alloyed with other metals to create compounds with different magnetic properties. Thirdly, the size of the clusters can be optimized. The optimal size will depend on the specific setup and application, but generally smaller clusters have a higher surface-to-volume ratio, which leads to more efficient heat exchange and therefore a stronger refrigeration effect. However, too-small clusters may also suffer from higher energy barriers between spin states, which can decrease the magnetic entropy change. Overall, a combination of these strategies can be used to improve the magnetic refrigeration effect of gadolinium clusters for various applications, such as cryogenic cooling of scientific instruments, temperature control in electronics and energy-efficient refrigeration in households and industries.
Figure 7.
Experimental −ΔSm values of 1 (a) and 2 (b) for multiple temperatures and magnetic fields calculated from magnetization data.
3. Materials and Methods
3.1. Synthesis and Preparations
All of the reagents we used were commercially available and used without further purification. The ligand HL we used was synthesized according to the method in the literature [46,47,48,49].
3.1.1. Synthesis of the Ligand HL
Step 1: Synthesis of Rhodamine 6G hydrazide. Solid rhodamine 6G (10 mmol, 4.5 g) was dissolved in ethanol (100 mL). During stirring, 80% hydrazine hydrate solution (10 mL) was slowly added, and then the mixture was heated at 80 °C. After refluxing for 3 h, the reaction solution was cooled to room temperature. A light-colored precipitate was generated from the orange solution, which was collected using filtration, and washed with deionized water and ethanol until the color of the product turned white. Yield: about 4 g.
Caution: As hydrazine hydrate is a highly toxic reagent, the operations should be performed in a fume hood with care.

Step 2: Synthesis of HL. Rhodamine 6G hydrazide (5 mmol, 2.22 g) was suspended in 100 mL ethanol under stirring and heating at 80 °C, to which salicylaldehyde (10 mmol, 1 mL) was slowly added. The reaction continued at 80 °C for 3 h, and then the mixture was cooled to room temperature to give a light-colored solid. Filtering and washing with deionized water and ethanol generated a white solid powder of HL (about 2 g). The solid was used without further purification.

3.1.2. Synthesis of [Gd7(L)6(μ2-CH3O)4(μ3-CH3O)4(μ3-OH)4(NO3)2]NO3·10CH3CN·10CH3OH·2H2O (1)
The ligand HL (0.2 mmol, 106 mg) was suspended in a mixed solution of MeOH (10 mL) and MeCN (10 mL), to which Gd(NO3)3·6H2O (0.25 mmol, 108 mg) was added, generating a red solution. The solution was heated and stirred for a few minutes and then triethylamine (300 µL, 2.16 mmol) was added to give a yellow solution. The mixture was filtered and the filtrate was placed undisturbed at room temperature. Yellow crystals suitable for X-ray diffraction analysis were collected after about 7 days. Yield: about 20%. Desolvated samples were used for the elemental analysis and physical measurements. Elemental analysis calcd. (%) for C206H214N27O39Gd7 (4793.23): C, 51.62; H, 4.50; N, 7.89. Found: C, 51.79; H, 4.91; N, 7.92.
3.1.3. Synthesis of Gd14(H0.5L)8(μ6-O)(μ4-O)2(μ3-OH)16(NO3)16·9.5CH3CN·2CH3OH·11H2O (2)
The ligand HL (0.2 mmol, 106 mg) was suspended in the mixed solution of MeOH (10 mL) and MeCN (10 mL). Gd(NO3)3·6H2O (0.35 mmol, 150 mg) was added to generate a red solution. After heating and stirring for a few minutes, triethylamine (150 µL, 1.08 mmol) was added, giving rise to a yellow solution. The solution was filtered and the filtrate was heated in an oven at 60 °C. Yellow crystals suitable for X-ray diffraction analysis were obtained after about 2 days and collected. Yield: about 30%. Elemental analysis calcd. (%) for C285H330.5N57.5O104Gd14 (8427.05): C, 39.62; H, 3.95; N, 9.56. Found: C, 39.27; H, 4.10; N, 9.25.
3.2. Physical Measurements
The elemental analyses (C, H and N) were performed using an Elementar Vario Cario Erballo analyzer. The powder X-ray diffraction (PXRD) measurements were recorded on a Bruker D8 ADVANCE X-ray diffractometer using CuKα radiation (λ = 1.54184 Å) at room temperature from 5° to 50° with a sweeping speed of 10°/min. The single-crystal X-ray data were collected using a Rigaku SuperNova, Dual, Cu at zero, AtlasS2. The structure was solved using the program Olex2 1.3 and refined using a full-matrix least-squares method based on F2 using the SHELXL-2018/3 method. Hydrogen atoms were added geometrically and refined using a riding model. The temperature- and field-dependent magnetic susceptibility measurements were carried out using a Quantum Design MPMS XL5 SQUID magnetometer. The IR spectra (KBr tablet) were recorded on the WQF 510A FTIR equipment in the range of 400−4000 cm−1 with a sweeping interval of 2 cm−1. The UV-Vis absorption spectra were measured using a TU-1901 spectrophotometer in the range of 280−600 nm with a sweeping interval of 0.5 nm. The photoluminescence spectra were measured using a Lengguang F98 fluorescence spectrophotometer. The sweeping speed was 1000 nm/min with a sweeping interval of 1 nm.
4. Conclusions
In conclusion, novel high-nuclearity clusters have been obtained using the hydrolysis strategy: saddle-shaped {Gd7} and a three-layer double sandwich {Gd14}. Both complexes exhibit good magnetocaloric properties with magnetic entropy changes of 17.4 J kg−1 K−1 for Gd7 at 3 K and 5 T and 22.3 J kg−1 K−1 for Gd14 at 2 K and 5 T, respectively. Further work on the new clusters {LnIII7} and {LnIII14} (Ln = Dy, Tb, Eu and Ho) are in progress in our laboratory, which possibly behave as SMMs or fluorescent materials. The combination of rare earth ions and new ligands paves the way for the discovery of new polynuclear clusters with unprecedented structures and functionalities.
Supplementary Materials
The following supporting information can be downloaded at https://www.mdpi.com/article/10.3390/molecules29020389/s1. Table S1. Crystal data and refinement parameters for complexes 1 and 2; Table S2. Selected bond distances (Å) and bond angles (°) for complex 1; Table S3. The results of coordination geometric configurations evaluated by SHAPE software for seven-coordinated Gd of complex 1; Table S4. The results of coordination geometric configurations evaluated by SHAPE software for eight-coordinated Gd of complex 1; Table S5. The results of coordination geometric configurations evaluated by SHAPE software for nine-coordinated Gd of complex 1; Table S6. Selected bond distances (Å) and bond angles (°) for complex 2; Table S7. The results of coordination geometric configurations evaluated by SHAPE software for nine-coordinated Gd of complex 2; Figure S1. Powder diffraction pattern of complexes 1 and 2; Figure S2. Thermogravimetric analysis of complexes 1 and 2; Figure S3. IR spectra of HL, complexes 1 and 2; Figure S4. UV-vis (a) and fluorescence spectra (λex = 354 nm, b) for complexes Gd7 (1) and Gd14 (2) in MeOH (10 μM); Figure S5. Top and side view of the heptanuclear surrounding polyhedral structures for complex 1; Figure S6. The coordinate lanthanide GdIII surrounding polyhedral structures for complex 1; Figure S7. Structure of [Gd7(OH)6(thmeH2)5(thmeH)(tpa)6(MeCN)2]2+ (Gd (purple), O (yellow), N (blue), C (skeletal), H atoms are not shown); Figure S8. Drawings of the tetradecanuclear surrounding polyhedral structures for complex 2; Figure S9. Drawings of the coordinate lanthanide GdIII surrounding polyhedral structures for complex 2; Figure S10. The molecular structure of Ln14(μ4-OH)2(μ3-OH)16(μ-η2-acac)8(η2-acac)16 (Ln = Tb and Eu, acac− = acetylacetonato); Figure S11. Polyhedral representation of the structure of Ln14(μ4-OH)2(μ3-OH)16(μ-η2-acac)8(η2-acac)16·6H2O (Ln = Dy and Tb) cluster core; Figure S12. Solid-state structure of H18[Ln14(μ-η2-o-O2N-C6H4-O)8(η2-o-O2N-C6H4-O)16(μ4-O)2(μ3-O)16] (Ln = Dy, Er, Tm, Yb; o-O2N-C6H4-O = o-nitrophenolate) showing the atom labeling scheme, omitting hydrogen atoms; Figure S13. Polyhedron view of the [Eu16(tfac)20(CH3OH)8(μ3-OH)24(μ6-O)2] cluster where ligands have been removed for clarity; Figure S14. Temperature dependence of χMT for 1 (up) and 2 (bottom) under a 1000-Oe magnetic field in the range of 2–300 K. The solid curves represent the Curie-Weiss fit results; Figure S15. Field-dependence of the magnetization for 1 (up) and 2 (bottom) in the range of 2–10 K at 0–5 T. The solid curves represent the calculated Brillouin values for non-interacting SGd spins at 2 K; Figure S16. Field-dependence of the magnetization for 1 (Gd7) in the range of 3–10 K. The solid curves represent the calculated Brillouin values for non-interacting SGd spins in the range of 3–10 K, respectively; Figure S17. Field-dependence of the magnetization for 2 (Gd14) in the range of 3–10 K at 0 - 5 T. The solid curves represent the calculated Brillouin values for non-interacting SGd spins in the range of 3–10 K, respectively.
Author Contributions
Conceptualization and formal analysis, L.M.; writing—original draft preparation, L.M.; writing—review and editing, supervision, project administration and funding acquisition, H.-Z.K. and C.-M.L. All authors have read and agreed to the published version of the manuscript.
Funding
This research was funded by the National Natural Science Foundation of China, grant numbers 22271171 and 21971142.
Institutional Review Board Statement
Not applicable.
Informed Consent Statement
Not applicable.
Data Availability Statement
The data supporting the reported results are available from the corresponding author.
Conflicts of Interest
The authors declare no conflict of interest.
References
- Calvez, G.; Le Natur, F.; Daiguebonne, C.; Bernot, K.; Suffren, Y.; Guillou, O. Lanthanide-based hexa-nuclear complexes and their use as molecular precursors. Coord. Chem. Rev. 2017, 340, 134–153. [Google Scholar] [CrossRef]
- Yang, X.P.; Jones, R.A.; Huang, S.M. Luminescent 4f and d-4f polynuclear complexes and coordination polymers with flexible salen-type ligands. Coord. Chem. Rev. 2014, 273, 63–75. [Google Scholar] [CrossRef]
- Ferrando-Soria, J.; Vallejo, J.; Castellano, M.; Martínez-Lillo, J.; Pardo, E.; Cano, J.; Castro, I.; Lloret, F.; Ruiz-García, R.; Julve, M. Molecular magnetism, quo vadis? A historical perspective from a coordination chemist viewpoint. Coord. Chem. Rev. 2017, 339, 17–103. [Google Scholar] [CrossRef]
- Georgopoulou, A.N.; Pissas, M.; Psycharis, V.; Sanakis, Y.; Raptopoulou, C.P. Trinuclear NiII-LnIII-NiII Complexes with Schiff Base Ligands: Synthesis, Structure, and Magnetic Properties. Molecules 2020, 25, 2280. [Google Scholar] [CrossRef] [PubMed]
- Sheikh, J.A.; Jena, H.S.; Konar, S. Co3Gd4 Cage as Magnetic Refrigerant and Co3Dy4 Cage Showing Slow Relaxation of Magnetisation. Molecules 2022, 27, 1130. [Google Scholar] [CrossRef] [PubMed]
- Chen, W.-P.; Liao, P.-Q.; Yu, Y.; Zheng, Z.; Chen, X.-M.; Zheng, Y.-Z. A mixed-ligand approach for a gigantic and hollow heterometallic cage {Ni64RE96} for gas separation and magnetic cooling applications. Angew. Chem. Int. Ed. 2016, 55, 9375–9379. [Google Scholar] [CrossRef]
- Li, N.F.; Luo, X.M.; Wang, J.; Wang, J.L.; Mei, H.; Song, Y.; Xu, Y. Largest 3d-4f 196-nuclear Gd158Co38 clusters with excellent magnetic cooling. Sci. China Chem. 2022, 65, 1577–1583. [Google Scholar] [CrossRef]
- Miao, L.; Liu, M.J.; Zeng, M.; Kou, H.Z. Chiral Zn3Ln3 Hexanuclear Clusters of an Achiral Flexible Ligand. Inorg. Chem. 2023, 62, 12814–12821. [Google Scholar] [CrossRef]
- Zeng, M.; Hu, K.Q.; Liu, C.M.; Kou, H.Z. Heterotrimetallic Ni2Ln2Fe3 chain complexes based on [Fe(1-CH3im)(CN)5]2-. Dalton Trans. 2021, 50, 6427–6431. [Google Scholar] [CrossRef]
- Jin, Y.S.; Wang, X.; Zhang, N.; Liu, C.M.; Kou, H.Z. Assembly of Hydrazine-Bridged Cyclic FeIII4LnIII4 Octanuclear Complexes. Cryst. Growth Des. 2022, 22, 1263–1269. [Google Scholar] [CrossRef]
- Tian, H.Q.; Bao, S.S.; Zheng, L.M. Cyclic Single-Molecule Magnets: From Even-Numbered Hexanuclear to Odd-Numbered Heptanuclear Dysprosium Clusters. Eur. J. Inorg. Chem. 2016, 19, 3184–3190. [Google Scholar] [CrossRef]
- Tian, H.Q.; Bao, S.S.; Zheng, L.M. Cyclic single-molecule magnets: From the odd-numbered heptanuclear to a dimer of heptanuclear dysprosium clusters. Chem. Commun. 2016, 52, 2314–2317. [Google Scholar] [CrossRef]
- Goura, J.; Walsh, J.P.S.; Tuna, F.; Chandrasekhar, V. Synthesis, structure, and magnetism of non-planar heptanuclear lanthanide(III) complexes. Dalton Trans. 2015, 44, 1142–1149. [Google Scholar] [CrossRef] [PubMed]
- Mazarakioti, E.C.; Cunha-Silva, L.; Bekiari, V.; Escuer, A.; Stamatatos, T.C. New structural topologies in 4f-metal cluster chemistry from vertex-sharing butterfly units: {LnIII7} complexes exhibiting slow magnetization relaxation and ligand-centred emissions. RSC Adv. 2015, 5, 92526–92530. [Google Scholar] [CrossRef]
- Pantelis, K.N.; Perlepe, P.S.; Grammatikopoulos, S.; Lampropoulos, C.; Tang, J.K.; Stamatatos, T.C. 4f-Metal Clusters Exhibiting Slow Relaxation of Magnetization: A {Dy7} Complex with An Hourglass-like Metal Topology. Molecules 2020, 25, 2191. [Google Scholar] [CrossRef]
- Peng, J.M.; Wang, H.L.; Zhu, Z.H.; Bai, J.; Liang, F.P.; Zou, H.H. Series of the Largest Dish-Shaped Dysprosium Nanoclusters Formed by in situ Reactions. Inorg. Chem. 2022, 61, 6094–6100. [Google Scholar] [CrossRef]
- Lu, T.Q.; Yin, J.J.; Chen, C.; Shi, H.Y.; Zheng, J.; Liu, Z.J.; Fang, X.L.; Zheng, X.Y. Two pairs of chiral lanthanide-oxo clusters Ln14 induced by amino acid derivatives. CrystEngComm 2021, 23, 6923–6929. [Google Scholar] [CrossRef]
- Zhu, Z.H.; Peng, J.M.; Wang, H.L.; Zou, H.H.; Liang, F.P. Assembly Mechanism and Heavy Metal Ion Sensing of Cage-Shaped Lanthanide Nanoclusters. Cell Rep. Phys. Sci. 2020, 1, 100165. [Google Scholar] [CrossRef]
- Zhang, M.-B.; Zhang, J.; Zheng, S.-T.; Yang, G.-Y. A 3D Coordination Framework Based on Linkages of Nanosized Hydroxo Lanthanide Clusters and Copper Centers by Isonicotinate Ligands. Angew. Chem. Int. Ed. 2005, 44, 1385–1388. [Google Scholar] [CrossRef]
- Chesman, A.S.R.; Turner, D.R.; Moubaraki, B.; Murray, K.S.; Deacon, G.B.; Batten, S.R. Tetradecanuclear polycarbonatolanthanoid clusters: Diverse coordination modes of carbonate providing access to novel core geometries. Dalton Trans. 2012, 41, 10903–10909. [Google Scholar] [CrossRef]
- Sun, P.-F.; Zhang, X.-N.; Fan, C.-H.; Chen, W.-P.; Zheng, Y.-Z. Tricine-supported polyoxo(alkoxo)lanthanide cluster {Ln15} (Ln = Eu, Gd, Tb) with magnetic refrigerant and fluorescent properties. Polyoxometalates 2023, 2, 9140026. [Google Scholar] [CrossRef]
- Du, M.H.; Chen, L.Q.; Jiang, L.P.; Liu, W.D.; Long, L.S.; Zheng, L.S.; Kong, X.J. Counterintuitive Lanthanide Hydrolysis-Induced Assembly Mechanism. J. Am. Chem. Soc. 2022, 144, 5653–5660. [Google Scholar] [CrossRef] [PubMed]
- Wang, Q.; Yu, Y.T.; Wang, J.L.; Li, J.N.; Li, N.F.; Fan, X.R.; Xu, Y. Two Windmill-Shaped Ln18 Nanoclusters Exhibiting High Magnetocaloric Effect and Luminescence. Inorg. Chem. 2023, 62, 3162–3169. [Google Scholar] [CrossRef] [PubMed]
- Wang, Q.; Lu, S.H.; Xu, L.X.; Wang, J.L.; Yu, Y.T.; Bai, X.; Mei, H.; Xu, Y. C2O42--templated cage-shaped Ln28(Ln = Gd, Eu) nanoclusters with magnetocaloric effect and luminescence. Inorg. Chem. Front. 2023, 10, 4109–4116. [Google Scholar] [CrossRef]
- Li, Y.L.; Wang, H.L.; Zhu, Z.H.; Liang, F.P.; Zou, H.H. Giant Crown-Shaped Dy34 Nanocluster with High Acid–Base Stability Assembled by an out-to-in Growth Mechanism. Inorg. Chem. 2022, 61, 10101–10107. [Google Scholar] [CrossRef]
- Wu, M.; Jiang, F.; Kong, X.; Yuan, D.; Long, L.; Al-Thabaiti, S.A.; Hong, M. Two polymeric 36-metal pure lanthanide nanosize clusters. Chem. Sci. 2013, 4, 3104–3108. [Google Scholar] [CrossRef]
- Zhou, Y.; Zheng, X.Y.; Cai, J.; Hong, Z.F.; Yan, Z.H.; Kong, X.J.; Ren, Y.P.; Long, L.S.; Zheng, L.S. Three Giant Lanthanide Clusters Ln37 (Ln = Gd, Tb, and Eu) Featuring A Double-Cage Structure. Inorg. Chem. 2017, 56, 2037–2041. [Google Scholar] [CrossRef]
- Guo, F.S.; Chen, Y.C.; Mao, L.L.; Lin, W.Q.; Leng, J.D.; Tarasenko, R.; Orendac, M.; Prokleska, J.; Sechovsky, V.; Tong, M.L. Anion-Templated Assembly and Magnetocaloric Properties of a Nanoscale {Gd38} Cage versus a {Gd48} Barrel. Chem.—Eur. J. 2013, 19, 14876–14885. [Google Scholar] [CrossRef]
- Luo, X.M.; Hu, Z.B.; Lin, Q.F.; Cheng, W.; Cao, J.P.; Cui, C.H.; Mei, H.; Song, Y.; Xu, Y. Exploring the Performance Improvement of Magnetocaloric Effect Based Gd-Exclusive Cluster Gd60. J. Am. Chem. Soc. 2018, 140, 11219–11222. [Google Scholar] [CrossRef]
- Qin, L.; Yu, Y.-Z.; Liao, P.-Q.; Xue, W.; Zheng, Z.; Chen, X.-M.; Zheng, Y.-Z. A “Molecular Water Pipe”: A Giant Tubular Cluster {Dy72} Exhibits Fast Proton Transport and Slow Magnetic Relaxation. Adv. Mater. 2016, 28, 10772–10779. [Google Scholar] [CrossRef]
- Peng, J.B.; Kong, X.J.; Zhang, Q.C.; Orendac, M.; Prokleska, J.; Ren, Y.P.; Long, L.S.; Zheng, Z.; Zheng, L.S. Beauty, symmetry, and magnetocaloric effect-four-shell keplerates with 104 lanthanide atoms. J. Am. Chem. Soc. 2014, 136, 17938–17941. [Google Scholar] [CrossRef] [PubMed]
- Zheng, X.-Y.; Jiang, Y.-H.; Zhuang, G.-L.; Liu, D.-P.; Liao, H.-G.; Kong, X.-J.; Long, L.-S.; Zheng, L.-S. A gigantic molecular wheel of {Gd140}: A new member of the molecular wheel family. J. Am. Chem. Soc. 2017, 139, 18178–18181. [Google Scholar] [CrossRef]
- Wu, Y.-L.; Li, X.-X.; Qi, Y.-J.; Yu, H.; Jin, L.; Zheng, S.-T. {Nb288O768(OH)48(CO3)12}: A macromolecular polyoxometalate with close to 300 niobium atoms. Angew. Chem. Int. Ed. 2018, 57, 8572–8576. [Google Scholar] [CrossRef] [PubMed]
- Liu, C.-M.; Sun, R.; Hao, X.; Wang, B.-W. Two Pairs of Homochiral Parallelogram-like Dy4 Cluster Complexes with Strong Magneto-Optical Properties. Inorg. Chem. 2023, 62, 20184–20193. [Google Scholar] [CrossRef]
- Hao, J.; Geng, L.; Zheng, J.Y.; Wei, J.H.; Zhang, L.L.; Feng, R.; Zhao, J.X.; Li, Q.W.; Pang, J.D.; Bu, X.H. Ligand Induced Double-Chair Conformation Ln12 Nanoclusters Showing Multifunctional Magnetic and Proton Conductive Properties. Inorg. Chem. 2022, 61, 3690–3696. [Google Scholar] [CrossRef] [PubMed]
- Gschneidner, K.A.; Pecharsky, V.K. Thirty years of near room temperature magnetic cooling: Where we are today and future prospects. Int. J. Refrig. 2008, 31, 945–961. [Google Scholar] [CrossRef]
- Evangelisti, M.; Brechin, E.K. Recipes for enhanced molecular cooling. Dalton Trans. 2010, 39, 4672–4676. [Google Scholar] [CrossRef]
- Koskelo, E.C.; Liu, C.; Mukherjee, P.; Kelly, N.D.; Dutton, S.E. Free-Spin Dominated Magnetocaloric Effect in Dense Gd3+ Double Perovskites. Chem. Mater. 2022, 34, 3440–3450. [Google Scholar] [CrossRef]
- Lorusso, G.; Sharples, J.W.; Palacios, E.; Roubeau, O.; Brechin, E.K.; Sessoli, R.; Rossin, A.; Tuna, F.; McInnes, E.J.L.; Collison, D.; et al. A Dense Metal-Organic Framework for Enhanced Magnetic Refrigeration. Adv. Mater. 2013, 25, 4653–4656. [Google Scholar] [CrossRef]
- Yang, Y.; Zhang, Q.-C.; Pan, Y.-Y.; Long, L.-S.; Zheng, L.-S. Magnetocaloric effect and thermal conductivity of Gd(OH)3 and Gd2O(OH)4(H2O)2. Chem. Commun. 2015, 51, 7317–7320. [Google Scholar] [CrossRef]
- Palacios, E.; Rodríguez-Velamazán, J.A.; Evangelisti, M.; McIntyre, G.J.; Lorusso, G.; Visser, D.; de Jongh, L.J.; Boatner, L.A. Magnetic structure and magnetocalorics of GdPO4. Phys. Rev. B Condens. Matter Mater. Phys. 2014, 90, 214423. [Google Scholar] [CrossRef]
- Chen, Y.-C.; Qin, L.; Meng, Z.-S.; Yang, D.-F.; Wu, C.; Fu, Z.; Zheng, Y.-Z.; Liu, J.-L.; Tarasenko, R.; Orendáč, M.; et al. Study of a magnetic-cooling material Gd(OH)CO3. J. Mater. Chem. A 2014, 2, 9851–9858. [Google Scholar] [CrossRef]
- Chen, Y.-C.; Prokleška, J.; Xu, W.-J.; Liu, J.-L.; Liu, J.; Zhang, W.-X.; Jia, J.-H.; Sechovský, V.; Tong, M.-L. A brilliant cryogenic magnetic coolant: Magnetic and magnetocaloric study of ferromagnetically coupled GdF3. J. Mater. Chem. C 2015, 3, 12206–12211. [Google Scholar] [CrossRef]
- Xu, Q.F.; Liu, B.L.; Ye, M.Y.; Zhuang, G.L.; Long, L.S.; Zheng, L.S. Gd(OH)F2: A Promising Cryogenic Magnetic Refrigerant. J. Am. Chem. Soc. 2022, 144, 13787–13793. [Google Scholar] [CrossRef]
- Chen, Y.W.; Gong, P.F.; Guo, R.X.; Fan, F.D.; Shen, J.; Zhang, G.C.; Tu, H. Improvement on Magnetocaloric Effect through Structural Evolution in Gadolinium Borate Halides Ba2Gd(BO3)2X (X = F, Cl). Inorg. Chem. 2023, 62, 15584–15592. [Google Scholar] [CrossRef] [PubMed]
- Liu, M.-J.; Yuan, J.; Tao, J.; Zhang, Y.-Q.; Liu, C.-M.; Kou, H.-Z. Rhodamine Salicylaldehyde Hydrazone Dy(III) Complexes: Fluorescence and Magnetism. Inorg. Chem. 2018, 57, 4061–4069. [Google Scholar] [CrossRef] [PubMed]
- Liu, M.-J.; Wu, S.-Q.; Li, J.-X.; Zhang, Y.-Q.; Sato, O.; Kou, H.-Z. Structural Modulation of Fluorescent Rhodamine-Based Dysprosium(III) Single-Molecule Magnets. Inorg. Chem. 2020, 59, 2308–2315. [Google Scholar] [CrossRef] [PubMed]
- Liu, M.-J.; Fu, Z.-Y.; Sun, R.; Yuan, J.; Liu, C.-M.; Zou, B.; Wang, B.-W.; Kou, H.-Z. Mechanochromic and Single-Molecule Magnetic Properties of a Rhodamine 6G Dy(III) Complex. ACS Appl. Electron. Mater. 2021, 3, 1368–1374. [Google Scholar] [CrossRef]
- Miao, L.; Liu, M.J.; Ding, M.M.; Zhang, Y.Q.; Kou, H.Z. A Dy(III) Fluorescent Single-Molecule Magnet Based on a Rhodamine 6G Ligand. Inorganics 2021, 9, 51. [Google Scholar] [CrossRef]
- Yuan, J.; Wu, S.Q.; Liu, M.J.; Sato, O.; Kou, H.Z. Rhodamine 6G-Labeled Pyridyl Aroylhydrazone Fe(II) Complex Exhibiting Synergetic Spin Crossover and Fluorescence. J. Am. Chem. Soc. 2018, 140, 9426–9433. [Google Scholar] [CrossRef]
- Yuan, J.; Liu, M.-J.; Wu, S.-Q.; Zhu, X.; Zhang, N.; Sato, O.; Kou, H.-Z. Substituent effects on the fluorescent spin-crossover Fe(ii) complexes of rhodamine 6G hydrazones. Inorg. Chem. Front. 2019, 6, 1170–1176. [Google Scholar] [CrossRef]
- Huang, W.; Wu, D.; Guo, D.; Zhu, X.; He, C.; Meng, Q.; Duan, C. Efficient near-infrared emission of a Ytterbium(III) compound with a green light rhodamine donor. Dalton Trans. 2009, 12, 2081–2084. [Google Scholar] [CrossRef] [PubMed]
- Sharples, J.W.; Zheng, Y.Z.; Tuna, F.; McInnes, E.J.L.; Collison, D. Lanthanide discs chill well and relax slowly. Chem. Commun. 2011, 47, 7650–7652. [Google Scholar] [CrossRef] [PubMed]
- Xu, C.Y.; Wu, Z.L.; Fan, C.J.; Yan, L.L.; Wang, W.M.; Ji, B.M. Synthesis of two lanthanide clusters LnIII4 (Gd4 and Dy4) with [2 x 2] square grid shape: Magnetocaloric effect and slow magnetic relaxation behaviors. J. Rare Earths 2021, 39, 1082–1088. [Google Scholar] [CrossRef]
- Wang, W.M.; Li, X.Z.; Zhang, L.; Chen, J.L.; Wang, J.H.; Wu, Z.L.; Cui, J.Z. A series of [2 × 2] square grid LnIII4 clusters: A large magnetocaloric effect and single-molecule-magnet behavior. New J. Chem. 2019, 43, 7419–7426. [Google Scholar] [CrossRef]
- Baril-Robert, F.; Petit, S.; Pilet, G.; Chastanet, G.; Reber, C.; Luneau, D. Site-Selective Lanthanide Doping in a Nonanuclear Yttrium(III) Cluster Revealed by Crystal Structures and Luminescence Spectra. Inorg. Chem. 2010, 49, 10970–10976. [Google Scholar] [CrossRef]
- Petit, S.; Baril-Robert, F.; Pilet, G.; Reber, C.; Luneau, D. Luminescence spectroscopy of europium(III) and terbium(III) penta-, octa- and nonanuclear clusters with β-diketonate ligands. Dalton Trans. 2009, 34, 6809–6815. [Google Scholar] [CrossRef]
- Wang, R.; Song, D.; Wang, S. Toward constructing nanoscale hydroxo–lanthanide clusters: Syntheses and characterizations of novel tetradecanuclear hydroxo–lanthanide clusters. Chem. Commun. 2002, 4, 368–369. [Google Scholar] [CrossRef]
- Li, X.-L.; He, L.-F.; Feng, X.-L.; Song, Y.; Hu, M.; Han, L.-F.; Zheng, X.-J.; Zhang, Z.-H.; Fang, S.-M. Two chiral tetradecanuclear hydroxo-lanthanide clusters with luminescent and magnetic properties. CrystEngComm 2011, 13, 3643–3645. [Google Scholar] [CrossRef]
- Bürgstein, M.R.; Gamer, M.T.; Roesky, P.W. Nitrophenolate as a building block for lanthanide chains, layers, and clusters. J. Am. Chem. Soc. 2004, 126, 5213–5218. [Google Scholar] [CrossRef]
Disclaimer/Publisher’s Note: The statements, opinions and data contained in all publications are solely those of the individual author(s) and contributor(s) and not of MDPI and/or the editor(s). MDPI and/or the editor(s) disclaim responsibility for any injury to people or property resulting from any ideas, methods, instructions or products referred to in the content. |
© 2024 by the authors. Licensee MDPI, Basel, Switzerland. This article is an open access article distributed under the terms and conditions of the Creative Commons Attribution (CC BY) license (https://creativecommons.org/licenses/by/4.0/).






