Aggregation Behavior and Application Properties of Novel Glycosylamide Quaternary Ammonium Salts in Aqueous Solution
Abstract
1. Introduction
2. Results and Discussion
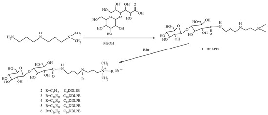
2.1. Structure Identification
2.2. Electrospray Mass Spectrometry (EMS)
2.3. Surface Tension
2.4. Dynamic Surface Tension
2.5. Aggregation Behavior in Aqueous Solutions
2.6. Wetting Ability
2.7. Emulsifying Ability
2.8. Foam Properties
2.9. Antistatic Performance
2.10. Salt-Resistant Performance
2.11. Antibacterial Performance
3. Experimental
3.1. Materials and Instruments
3.2. Synthesis of the Intermediate N-(3′-dimethylaminopropyl)-lactamido-3-aminop-ropane (DDLPD)
3.3. Synthesis of N-[N’[3-(lactosyl amide)]propyl-N’-alkyl]propyl-N,N-dimethyl-N-alkylammonium Bromide (CnDDLPB)
3.4. Characterization of CnDDLPB
3.5. Surface Tension
3.6. Dynamic Surface Tension (DST)
3.7. Cryogenic Transmission Electron Microscopy (Cryo-TEM)
3.8. Dynamic Light Scattering (DLS)
3.9. Wettability Study
3.10. Emulsifying Performance
3.11. Foam Morphology Characterization
3.12. Antistatic Performance
3.13. Salt-Resistant Performance
3.14. Antibacterial Performance
4. Conclusions
Supplementary Materials
Author Contributions
Funding
Institutional Review Board Statement
Informed Consent Statement
Data Availability Statement
Conflicts of Interest
References
- Du, Q.; Li, Z.; Du, M.; Yang, T. Tianle. Government venture capital and innovation performance in alternative energy production: The moderating role of environmental regulation and capital market activity. Energy Econ. 2024, 129, 107196. [Google Scholar] [CrossRef]
- Yang, T.; Fang, S.; Du, A.; Du, Q. Navigating the nexus: Geopolitical risk, fossil energy prices, and European utility stock returns—Implications for environmental management and energy security in a conflict-ridden global landscape. J. Environ. Manag. 2024, 352, 120086. [Google Scholar]
- Yang, T.; Dong, Q.; Du, Q.; Du, Q.; Du, M. Carbon dioxide emissions and Chinese OFDI: From the perspective of carbon neutrality targets and environmental management of home country. J. Environ. Manag. 2021, 295, 113120. [Google Scholar] [CrossRef] [PubMed]
- Tong, S.; Hu, Y.; Yu, J. Research Progress on Bio-based Vitrimer Materials. Biomass Chem. Eng. 2023, 57, 37–46. [Google Scholar]
- Xue, X.; Wang, S.; Yang, T.; He, M.; Tang, X. Preparation and photocatalytic performance of Cu/cellulose-based TiO2 composite. New Chem. Mater. 2022, 50, 195–200. [Google Scholar]
- Gericke, M.; Amaral, A.J.R.; Budtova, T.; Tatiana, B.; Pieter, D.; Thomas, G.; Thomas, H.; Herman, H.; Anton, H.; Olli, I.; et al. The European Polysaccharide Network of Excellence (EPNOE) research roadmap 2040: Advanced strategies for exploiting the vast potential of polysaccharides as renewable bioresources. Carbohydr. Polym. 2024, 326, 121633. [Google Scholar] [CrossRef] [PubMed]
- Martínez, A.; Magallanes, L.; Tarditto, L.; María C, P.; María F, G. María. Fatty acids methyl esters from soybean oil for biobased surfactants industry: Obtention C16 C18 concentrate for use as feedstock. Ind. Crops Prod. 2022, 190, 115892. [Google Scholar] [CrossRef]
- Reid, A.G.; Eswara Rao, C.A.; Abhay, A.; Taylor, U.; Ravikumar R, G.; Avantika, S.; Jason S, D.; Gregg T, B.; Eugene, C. Bio-based lactone acrylic plastics with performance and recyclability advantages. Cell Rep. Phys. Sci. 2024, 5, 101938. [Google Scholar]
- Thuy, T.H.N.; Wahyu, S.P.; Jun-Chul, C.; Norihisa, F.; Satoshi, T.; Takehiro, Y.; Nobuo, H.; Sho, K. Design and Evaluation of Bio-Based Industrial Symbiosis System Producing Energy and Chemicals Using Regionally Available Crop Residue. Resour. Conserv. Recycl. 2024, 204, 107509. [Google Scholar]
- Lu, H.; Pezron, I.; Gaudin, T.; Audrey, D. Non-equilibrium micelles formed by sugar-based surfactants under their Krafft temperature. Colloids Surf. A Physicochem. Eng. Asp. 2018, 540, 167–176. [Google Scholar] [CrossRef]
- Syguda, A.; Ławniczak, Ł.; Wróbel, P.; Filip, W.; Grzegorz, F.; Anna, P.; Marta, W.; Michał, N.; Aleksandra, G.; Łukasz, C. Biodegradable amidequats, derivatives of caprylic and pelargonic acids as cationic surfactants for agricultural applications. J. Mol. Liq. 2023, 391, 123221. [Google Scholar] [CrossRef]
- Siddiqui, U.; Aslam, J.; Ansari, W.; Din, K. Micellization and aggregation behavior of a series of cationic gemini surfactants (m-s-m type) on their interaction with a biodegradable sugar-based surfactant (octyl-β-D-glucopyranoside). Colloids Surf. A Physicochem. Eng. Asp. 2013, 421, 164–172. [Google Scholar] [CrossRef]
- Lee, S.; Lee, J.; Yu, H.; JongChoo, L. Synthesis of environment friendly nonionic surfactants from sugar base and characterization of interfacial properties for detergent application. J. Ind. Eng. Chem. 2016, 38, 157–166. [Google Scholar] [CrossRef]
- Guido, V.; Pierluigi, Q.; Claudia, B.; Savarino, P.; Barni, E.; Fisicaro, E. Synthesis and Surface and Antimicrobial Properties of Novel Cationic Surfactants. J. Org. Chem. 2000, 65, 8197–8203. [Google Scholar]
- Wojciech, S.; Natalia, B.; Michal, H. Evaluation of surface active and antimicrobial properties of alkyl D-lyxosides and alkyl L-rhamnosides as green surfactants. Chemosphere 2021, 271, 129818. [Google Scholar]
- Zhi, L.; Zhang, E.; Shi, X. Research progress of glycosyl cationic surfactants. Huaxue Tongbao 2022, 85, 790–801. [Google Scholar]
- Lu, B.; Vayssade, M.; Miao, Y.; Vincen, C.; Eric, G.; Anne, W.; Denis, P.; Audrey, D.; Christophe, E.; Isabelle, P. Physico-chemical properties and cytotoxic effects of sugar-based surfactants: Impact of structural variations. Colloids Surf. B Biointerfaces 2016, 145, 79–86. [Google Scholar] [CrossRef] [PubMed]
- Cheng, W.; Yu, L.; Cheng, G. Synthesis characterization and application of Bola silicone quaternary ammonium salt. CIESC J. 2021, 72, 2837–2848. [Google Scholar]
- Vargas-Ruiz, S.; Soltwedel, O.; Micciulla, S. Sugar Surfactant Based Microemulsions at Solid Surfaces: Influence of the Oil Type and Surface Polarity. Langmuir ACS J. Surf. Colloids 2016, 32, 11928–11938. [Google Scholar] [CrossRef]
- Salomé, V.; Jana, L.; Regine, V.; Thomas, H.; Stefan, W. Wetting of planar solid surfaces by bicontinuous sugar surfactant-based microemulsions. Colloid Polym. Sci. 2017, 295, 2183–2190. [Google Scholar]
- Wang, X.; Hao, J. Ionogels of Sugar Surfactant in Ethylammonium Nitrate: Phase Transition from Closely Packed Bilayers to Right-Handed Twisted Ribbons. J. Phys. Chem. B 2015, 119, 13321–13329. [Google Scholar] [CrossRef] [PubMed]
- Wen, P.; Sun, Y.; Sun, J. Properties of ethoxylated tris-ester-based quaternary ammonium salts. Deterg. Cosmet. 2014, 37, 69–71. [Google Scholar]
- Dufour, A.; Thiébaut, D.; Ligiero, L.; Matthieu, L.; Vial, J. Chromatographic behavior and characterization of polydisperse surfactants using Ultra-High-Performance Liquid Chromatography hyphenated to High-Resolution Mass Spectrometry. J. Chromatogr. A 2020, 1614, 460731. [Google Scholar] [CrossRef] [PubMed]
- Rosen, M.J.; Kunjappu, J.T. Surfactants and Interfacial Phenomena, 4th ed.; Wiley: Hoboken, NJ, USA, 2012; pp. 336–367. [Google Scholar]
- Fainerman, V.B.; Miller, R.; Aksenenko, E.V.; Makievski, A.V. 3. Equilibrium adsorption properties of single and mixed surfactant solutions. Stud. Interface Sci. 2001, 13, 189–285. [Google Scholar]
- Wang, T.; Xu, P.; Ma, A. Effect of hydrophobic chain length on surface activity of gemini betaine. Chem. Res. Appl. 2021, 33, 2210–2216. [Google Scholar]
- Aratono, M.; Onimaru, N.; Yoshikai, Y.; Makiko, S.; Ikuyo, K.; Kanda, W.; Akio, O.; Takanori, T.; Belkoura, L.; Reinhard, S.; et al. Spontaneous vesicle formation of single chain and double chain cationic surfactant mixtures. J. Phys. Chem. B 2007, 111, 107–115. [Google Scholar] [CrossRef]
- Johnsson, M.; Wagenaar, A.; Engberts, J.B. Sugar-based gemini surfactant with a vesicle-to-micelle transition at acidic pH and a reversible vesicle flocculation near neutral pH. J. Am. Chem. Soc. 2003, 125, 757–760. [Google Scholar] [CrossRef]
- Yun, Y.; Xiong, W.; Li, X.; Lu, T.; Huang, G.; Li, Z.; Fu, H. Molecular Packing Parameter in Bolaamphiphile Solutions: Adjustment of Aggregate Morphology by Modifying the Solution Conditions. J. Phys. Chem. B 2007, 111, 2225–2230. [Google Scholar] [CrossRef]
- Gong, J.; Song, Y.; Sun, Y.; Sun, Q.; Liu, C.; Tan, J.; Zhao, L.; Xu, B. Vesicle-to-micelle transition in a double chain quaternary ammonium surfactant system: Interfacial behavior and molecular insights. J. Mol. Liq. 2024, 394, 123714. [Google Scholar] [CrossRef]
- Xia, Y.; Goldmints, I.; Johnson, P.; Alan, T.; Arijit, B. Temporal Evolution of Microstructures in Aqueous CTAB/SOS and CTAB/HDBS Solutions. Langmuir ACS J. Surf. Colloids 2002, 18, 3822–3828. [Google Scholar] [CrossRef]
- Hsieh, A.; Franses, E.; Corti, D. Formation of gem-like dispersions of soft crystallites in water by vesicles of a cationic surfactant. Colloids Surf. A Physicochem. Eng. Asp. 2022, 652, 129822. [Google Scholar] [CrossRef]
- Surajit, G.; Chiranjib, G.; Chiranjib, B.; Sarthak, M.; Jagannath, K.; Nilmoni, S. Spontaneous Transition of Micelle–Vesicle–Micelle in a Mixture of Cationic Surfactant and Anionic Surfactant-like Ionic Liquid: A Pure Nonlipid Small Unilamellar Vesicular Template Used for Solvent and Rotational Relaxation Study. Langmuir ACS J. Surf. Colloids 2013, 29, 10066–10076. [Google Scholar]
- Akihisa, S.; Alan, H. Model for Formation and Growth of Vesicles in Mixed Anionic/Cationic (SOS/CTAB) Surfactant Systems. Langmuir ACS J. Surf. Colloids 2002, 18, 7341–7348. [Google Scholar]
- Zhang, B.; Yao, X.; Li, P.; Guo, C.; Ren, X.; Li, J. Preparation of chitosan sulfate and vesicle formation with a conventional cationic surfactant. Carbohydr. Polym. 2018, 183, 240–245. [Google Scholar] [CrossRef] [PubMed]
- Li, Z.; Zhao, K.; Wang, Y.; Zheng, Z.; Zhang, C.; Gao, Y.; Du, F. Droplet splash and spread on superhydrophobic lotus leaves: Direct regulation by tuning the chain length of surfactant. Colloids Surf. A Physicochem. Eng. Asp. 2022, 648, 129178. [Google Scholar] [CrossRef]
- Katarzyna, M.; Katarzyna, S.; Daniela, G.; Daria, W. Synthesis, Surface and Antimicrobial Activity of New Lactose-Based Surfactants. Molecules 2019, 24, 4010. [Google Scholar]
- Zhi, L. Synthesis and Properties of Novel Gluconamide-Type Surfactants; ShanXi University: Taiyuan, China, 2014. [Google Scholar]
- Jiang, J.; Zou, Y.; Sun, Q. Copolymers functionalized with quaternary ammonium compounds under template chain exhibit simultaneously efficient bactericidal and flocculation properties: Characterization, performance and mechanism. J. Hazard. Mater. 2024, 465, 133476. [Google Scholar] [CrossRef] [PubMed]
- Wang, J.; Yang, X.; Chen, Y.; Zou, W. Bactericidal activity of sugar-based cationic gemini surfactants. China Surfactant Deterg. Cosmet. 2019, 49, 83–86. [Google Scholar]
- Dou, J.; Liu, J.; Wang, G. Surface Activity, Wetting, and Aggregation of a Perfluoropolyether Quaternary Ammonium Salt Surfactant with a Hydroxyethyl Group. Molecules 2023, 28, 7151. [Google Scholar] [CrossRef]
- Ram-On, M.; Cohen, Y.; Talmon, Y. Effect of Polyelectrolyte Stiffness and Solution pH on the Nanostructure of Complexes Formed by Cationic Amphiphiles and Negatively Charged Polyelectrolytes. J. Phys. Chem. B 2016, 120, 5907–5915. [Google Scholar] [CrossRef]
- Matthew, L.L.; Tom, K.; Michael, R.W. Anticipating colloidal instabilities in cationic vesicle dispersions by measuring collective motions with dynamic light scattering. J. Colloid Interface Sci. 2006, 296, 599–607. [Google Scholar]
- Milad, E.; Karin, S.; Stoyan, I.; Nikolay, G.; Kerstin, E. Oppositely charged surfactants and nanoparticles at the air-water interface: Influence of surfactant to nanoparticle ratio. J. Colloid Interface Sci. 2024, 653, 1388–1401. [Google Scholar]
- Shi, X.; Zeng, M.; Xu, X.; Liu, Y.; Kou, J.; Bian, Q.; Song, H.; Zhang, J.; Wang, Q. Promotion of droplet deposition, diffusion-wetting and retention on hydrophobic surfaces by nonionic star-shaped oligomeric surfactants. J. Mol. Liq. 2023, 386, 122521. [Google Scholar] [CrossRef]
- Cao, Y.; Yang, W.; Jiang, Y. Synthesis and properties of a zwitterionic Gemini surfactant. Fine Chem. 2021, 38, 335–340. [Google Scholar]
- Ning, B.; Zhang, M.; Bai, Y.; Wang, W.; Wang, G. Comparison of the properties of perfluoroalkyl polyoxyethylene ether and alkyl polyoxyethylene ether. Colloid Polym. Sci. 2020, 298, 1389–1399. [Google Scholar] [CrossRef]
- Hu, Y.; Xu, Z.; Li, Y. Synthesis and application performance of branched chain alcohol ether sodium sulfate based on SO3 sulfonation. Text. Aux. 2022, 39, 37–40. [Google Scholar]










| Surfactant | CMC (mmol/L) | Γcmc (mN/m) | pC20 | CMC/C20 | Гmax (mol·cm−2) | Amin (Å2) | ΔG0mic (KJ·mol−1) | ΔG0ads (KJ·mol−1) |
|---|---|---|---|---|---|---|---|---|
| C8DDLPB | 0.333 | 27.82 | 4.585 | 12.808 | 1.890 × 10−10 | 87.857 | −59.96 | −64.85 |
| C10DDLPB | 0.136 | 30.27 | 5.046 | 15.111 | 1.675 × 10−10 | 99.15 | −62.75 | −67.05 |
| C12DDLPB | 0.12 | 36.11 | 4.971 | 11.215 | 1.275 × 10−10 | 130.266 | −64.66 | −67.74 |
| C14DDLPB | 0.106 | 43.1 | 4.343 | 2.335 | 1.198 × 10−10 | 138.603 | −65.33 | −67.12 |
| C16DDLPB | 0.103 | 59.09 | 2.356 | 0.023 | 8.365 × 10−11 | 198.509 | −65.28 | −66.81 |
| Sample Name | Concentration (g/L) | Rs/Ω | Lg (Rs/Ω) | Δlgρs |
|---|---|---|---|---|
| Blank Control | 0.35 | 2.70 × 10−13 | 13.43 | 0 |
| C8DDLPB | 0.35 | 2.52 × 10−10 | 10.32 | 3.115 |
| C10DDLPB | 0.35 | 2.29 × 10−10 | 10.36 | 3.075 |
| C12DDLPB | 0.35 | 4.93 × 10−12 | 12.68 | 0.75 |
| C14DDLPB | 0.35 | 1.99 × 10−13 | 13.2 | 0.235 |
| C16DDLPB | 0.35 | 2.63 × 10−13 | 13.42 | 0.01 |
| SN | 0.35 | 3.41 × 10−10 | 10.3 | 3.13 |
| Concentration (g/L) | DDAC | C8DDLPB | C10DDLPB | C12DDLPB | C14DDLPB | C16DDLPB |
|---|---|---|---|---|---|---|
| 0 | 100% | 100% | 100% | 100% | 100% | 100% |
| 10 | precipitates | 96.83% | precipitates | 100% | 100% | 90.16% |
| 20 | precipitates | 96.38% | precipitates | 100% | 100% | 69.98% |
| 25 | precipitates | 95.72% | precipitates | 98.86% | 100% | precipitates |
| 30 | precipitates | 95.72% | precipitates | 98.17% | 100% | precipitates |
| 35 | precipitates | 95.06% | precipitates | 93.76% | 99.08% | precipitates |
| 40 | precipitates | 95.06% | precipitates | 64.57% | 99.08% | precipitates |
| 45 | precipitates | 94.62% | precipitates | precipitates | 99.08% | precipitates |
| 50 | precipitates | 94.19% | precipitates | precipitates | 99.08% | precipitates |
| Concentration (g/L) | DDAC | C8DDLPB | C10DDLPB | C12DDLPB | C14DDLPB | C16DDLPB |
|---|---|---|---|---|---|---|
| 0 | 100% | 100% | 100% | 100% | 100% | 100% |
| 10 | precipitates | 96.83% | precipitates | 100% | 100% | 90.16% |
| 20 | precipitates | 96.38% | precipitates | 100% | 100% | 69.98% |
| 25 | precipitates | 95.72% | precipitates | 98.86% | 100% | precipitates |
| 30 | precipitates | 95.72% | precipitates | 98.17% | 100% | precipitates |
| 35 | precipitates | 95.06% | precipitates | 93.76% | 99.08% | precipitates |
| 40 | precipitates | 95.06% | precipitates | 64.57% | 99.08% | precipitates |
| 45 | precipitates | 94.62% | precipitates | precipitates | 99.08% | precipitates |
| 50 | precipitates | 94.19% | precipitates | precipitates | 99.08% | precipitates |
| Concentration (g/L) | DDAC | C8DDLPB | C10DDLPB | C12DDLPB | C14DDLPB | C16DDLPB |
|---|---|---|---|---|---|---|
| 0 | 100% | 100.00% | 100.00% | 100.00% | 100.00% | 100.00% |
| 10 | 99.77% | 99.54% | precipitates | precipitates | 85.70% | precipitates |
| 20 | 67.92% | 99.54% | precipitates | precipitates | 86.30% | precipitates |
| 25 | precipitates | 99.54% | precipitates | precipitates | 86.30% | precipitates |
| 30 | precipitates | 99.54% | precipitates | precipitates | 86.50% | precipitates |
| 35 | precipitates | 99.54% | precipitates | precipitates | 87.30% | precipitates |
| 40 | precipitates | 99.54% | precipitates | precipitates | 84.53% | precipitates |
| 45 | precipitates | 99.54% | precipitates | precipitates | 87.90% | precipitates |
| 50 | precipitates | 99.54% | precipitates | precipitates | 86.90% | precipitates |
| Sample Name | Sample Number | Dilution Factor | CFU Prorata | Average Value | Antibacterial Rate |
|---|---|---|---|---|---|
| Control Group | Escherichia coli1 | 1.00 × 108 | 2.15 × 1010 | 2.26 × 1010 | 0 |
| Escherichia coli2 | 1.00 × 108 | 2.43 × 1010 | |||
| Escherichia coli3 | 1.00 × 108 | 2.20 × 1010 | |||
| C12DDLPB | Escherichia coli C12-1 | 1.00 × 106 | 1.47 × 108 | 1.60 × 108 | 99.29% |
| Escherichia coli C12-2 | 1.00 × 106 | 2.01 × 108 | |||
| Escherichia coli C12-3 | 1.00 × 106 | 1.31 × 108 | |||
| C14DDLPB | Escherichia coli C14-1 | 1.00 × 107 | 4.89 × 109 | 6.06 × 109 | 73.20% |
| Escherichia coli C14-2 | 1.00 × 107 | 6.86 × 109 | |||
| Escherichia coli C14-3 | 1.00 × 107 | 6.42 × 109 |
| Sample Name | Sample Number | Dilution Factor | CFU Prorata | Average Value | Antibacterial Rate |
|---|---|---|---|---|---|
| Control Group | Staphylococcus aureus1 | 1.00 × 107 | 3.07 × 109 | 3.06 × 109 | |
| Staphylococcus aureus2 | 1.00 × 107 | 3.01 × 109 | 0 | ||
| Staphylococcus aureus3 | 1.00 × 107 | 3.10 × 109 | |||
| C12DDLPB | Staphylococcus aureus C12-1 | 1.00 × 106 | 1.41 × 108 | 1.44 × 108 | 95.28% |
| Staphylococcus aureus C12-2 | 1.00 × 106 | 1.37 × 108 | |||
| Staphylococcus aureus C12-3 | 1.00 × 106 | 1.55 × 108 | |||
| C14DDLPB | Staphylococcus aureus C14-1 | 1.00 × 107 | 5.40 × 108 | 7.07 × 108 | 76.91% |
| Staphylococcus aureus C14-2 | 1.00 × 107 | 7.50 × 108 | |||
| Staphylococcus aureus C14-3 | 1.00 × 107 | 8.30 × 108 |
Disclaimer/Publisher’s Note: The statements, opinions and data contained in all publications are solely those of the individual author(s) and contributor(s) and not of MDPI and/or the editor(s). MDPI and/or the editor(s) disclaim responsibility for any injury to people or property resulting from any ideas, methods, instructions or products referred to in the content. |
© 2024 by the authors. Licensee MDPI, Basel, Switzerland. This article is an open access article distributed under the terms and conditions of the Creative Commons Attribution (CC BY) license (https://creativecommons.org/licenses/by/4.0/).
Share and Cite
Wang, Y.; Chen, Z.; Zhang, E.; Zhi, L.; Di Serio, M.; Wang, G.; Wang, Y.; Li, X.; Liu, X.; Huang, Y. Aggregation Behavior and Application Properties of Novel Glycosylamide Quaternary Ammonium Salts in Aqueous Solution. Molecules 2024, 29, 2749. https://doi.org/10.3390/molecules29122749
Wang Y, Chen Z, Zhang E, Zhi L, Di Serio M, Wang G, Wang Y, Li X, Liu X, Huang Y. Aggregation Behavior and Application Properties of Novel Glycosylamide Quaternary Ammonium Salts in Aqueous Solution. Molecules. 2024; 29(12):2749. https://doi.org/10.3390/molecules29122749
Chicago/Turabian StyleWang, Yunkai, Zeyu Chen, Erzhuang Zhang, Lifei Zhi, Martino Di Serio, Guoyong Wang, Yan Wang, Xiaoming Li, Xudong Liu, and Ying Huang. 2024. "Aggregation Behavior and Application Properties of Novel Glycosylamide Quaternary Ammonium Salts in Aqueous Solution" Molecules 29, no. 12: 2749. https://doi.org/10.3390/molecules29122749
APA StyleWang, Y., Chen, Z., Zhang, E., Zhi, L., Di Serio, M., Wang, G., Wang, Y., Li, X., Liu, X., & Huang, Y. (2024). Aggregation Behavior and Application Properties of Novel Glycosylamide Quaternary Ammonium Salts in Aqueous Solution. Molecules, 29(12), 2749. https://doi.org/10.3390/molecules29122749

