Synthesis and Photocatalytic Properties of Four Coordination Compounds Constructed from Two Benzimidazole-Based Asymmetric Polyazocyclic Ligands
Abstract
1. Introduction
2. Results
2.1. Synthesis of Compounds
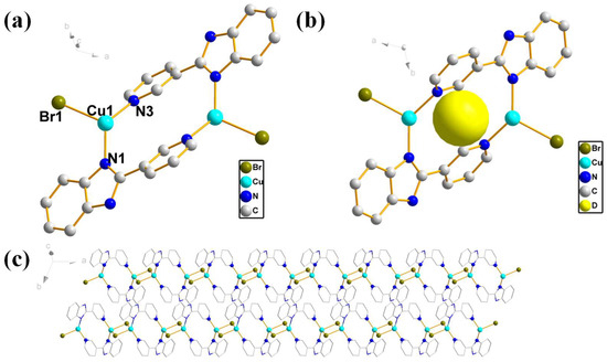
2.2. Description of Crystal Structure
2.2.1. Crystal Structure of Compound 1
2.2.2. Crystal Structure of Compound 2
2.2.3. Crystal Structure of Compound 3
2.2.4. Crystal Structure of Compound 4
2.3. Thermogravimetry
2.4. Optical Band Gap of Compounds 1, 2, 3, 4
2.5. Photocatalytic Properties
3. Materials and Methods
3.1. Materials
3.2. Photocatalytic Determination
3.3. Synthesis of Compounds
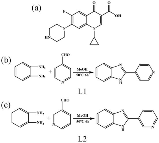
3.3.1. Synthesis of {[(L1)6]·[Cu8I8]} (1)
3.3.2. Synthesis of {[L1]·[CuBr]·H2O} (2)
3.3.3. Synthesis of {[L2]·[CuBr]}n (3)
3.3.4. Synthesis of {[(L2)4]·[Cu4I4]} (4)
4. Conclusions
Supplementary Materials
Author Contributions
Funding
Institutional Review Board Statement
Informed Consent Statement
Data Availability Statement
Acknowledgments
Conflicts of Interest
Sample Availability
References
- Dong, X.Y.; Li, Y.Y.; Li, D.Q.C.; Liao, D.H.; Qin, T.R.; Prakash, O.; Kumar, A.; Liu, J.Q. A new 3D 8-connected Cd(ii) MOF as a potent photocatalyst for oxytetracycline antibiotic degradation. CrystEngComm 2022, 24, 6933–6943. [Google Scholar] [CrossRef]
- Xue, J.J.; Ma, S.S.; Zhou, Y.M.; Zhang, Z.W.; He, M. Facile Photochemical Synthesis of Au/Pt/g-C3N4 with Plasmon-Enhanced Photocatalytic Activity for Antibiotic Degradation. ACS Appl. Mater. Interfaces 2015, 7, 9630–9637. [Google Scholar] [CrossRef] [PubMed]
- Wang, C.C.; Gao, S.W.; Zhang, Y.X.; Wang, M.X.; Han, X.; Pan, J.; Cui, J.L. Efficient removal of ciprofloxacin by BiFe1−xCuxO3 for the photo assisted heterogeneous peroxymonosulfate activation. Colloids Surf. A 2022, 649, 129488. [Google Scholar] [CrossRef]
- Wang, X.J.; Zhu, G.H.; Wang, C.H.; Niu, Y.Y. Effective degradation of tetracycline by organic-inorganic hybrid materials induced by triethylenediamine. Environ. Res. 2021, 198, 111253. [Google Scholar] [CrossRef]
- Ali, I.; Han, G.B.; Kim, J.O. Reusability and photocatalytic activity of bismuth-TiO(2) nanocomposites for industrial wastewater treatment. Environ. Res. 2019, 170, 222–229. [Google Scholar] [CrossRef]
- Qiu, H.B.; Fang, S.Q.; Huang, G.C.; Bi, J.H. A novel application of In(2)S(3) for visible-light-driven photocatalytic inactivation of bacteria: Kinetics, stability, toxicity and mechanism. Environ. Res. 2020, 190, 110018. [Google Scholar] [CrossRef]
- Qiao, X.Y.; Wang, C.H.; Niu, Y.Y. N-Benzyl HMTA induced self-assembly of organic-inorganic hybrid materials for efficient photocatalytic degradation of tetracycline. J. Hazard. Mater. 2020, 391, 122121. [Google Scholar] [CrossRef]
- Li, W.G.; Zuo, Y.J.; Jiang, L.; Yao, D.C.; Chen, Z.J.; He, G.Y.; Chen, H.Q. Bi2Ti2O7/TiO2/RGO composite for the simulated sunlight-driven photocatalytic degradation of ciprofloxacin. Mater. Chem. Phys. 2020, 256, 123650. [Google Scholar] [CrossRef]
- Núñez-Salas, R.E.; Hernández-Ramírez, A.; Santos-Lozano, V.; Hinojosa-Reyes, L.; Guzmán-Mar, J.L.; Gracia-Pinilla, M.Á.; Maya-Treviño, M.d.L. Synthesis, characterization, and photocatalytic performance of FeTiO3/ZnO on ciprofloxacin degradation. J. Photochem. Photobiol. A 2021, 411, 113186. [Google Scholar] [CrossRef]
- Alhokbany, N.S.; Mousa, R.; Naushad, M.; Alshehri, S.M.; Ahamad, T. Fabrication of Z-scheme photocatalysts g-C(3)N(4)/Ag(3)PO(4)/chitosan for the photocatalytic degradation of ciprofloxacin. Int. J. Biol. Macromol. 2020, 164, 3864–3872. [Google Scholar] [CrossRef]
- Fuentes, E.; Gabaldon, Y.; Collado, M.; Dhiman, S.; Berrocal, J.A.; Pujals, S.; Albertazzi, L. Supramolecular Stability of Benzene-1,3,5-tricarboxamide Supramolecular Polymers in Biological Media: Beyond the Stability-Responsiveness Trade-off. J. Am. Chem. Soc. 2022, 144, 21196–21205. [Google Scholar] [CrossRef] [PubMed]
- Huang, Q.M.; Chen, W.B.; Li, M.J. Generation and characterization of hydrides of bipyridyl-iridium(III) complexes for photocatalysis. J. Electroanal. Chem. 2022, 922, 116770. [Google Scholar] [CrossRef]
- Rahmani, M.; Salimi, A.; Mohammadzadeh, S.; Sparkes, H.A. The supramolecular effect of aromaticity on the crystal packing of furan/thiophene carboxamide compounds. CrystEngComm 2016, 18, 8953–8960. [Google Scholar] [CrossRef]
- Yu, G.; Zhu, B.; Shao, L.; Zhou, J.; Saha, M.L.; Shi, B.; Zhang, Z.; Hong, T.; Li, S.; Chen, X.; et al. Host−guest complexation-mediated codelivery of anticancer drug and photosensitizer for cancer photochemotherapy. Proc. Natl. Acad. Sci. USA 2019, 116, 6618–6623. [Google Scholar] [CrossRef]
- Zhou, J.; Zhang, Y.; Yu, G.; Crawley, M.R.; Fulong, C.R.P.; Friedman, A.E.; Sengupta, S.; Sun, J.; Li, Q.; Huang, F.; et al. Highly Emissive Self-Assembled BODIPY-Platinum Supramolecular Triangles. J. Am. Chem. Soc. 2018, 140, 7730–7736. [Google Scholar] [CrossRef]
- Yang, Y.; Li, C.G.; Luo, X.J.; Luo, Z.H.; Liu, R.J.; Jiang, Y.X.; Liang, W.J. Synthesis, crystal structure and DNA interaction studies of a 2D cadmium(II) coordination polymer constructed from 2-(2-pyridyl)benzimidazole. Supramol. Chem. 2014, 27, 281–286. [Google Scholar] [CrossRef]
- Xia, C.K.; Lu, C.Z.; Wu, X.Y.; Zhang, Q.Z.; Zhang, J.J.; Wu, D.M. Syntheses and crystal structures of four silver(I) complexes based on 2-(4-pyridyl)benzimidazole. Polyhedron 2007, 26, 941–947. [Google Scholar] [CrossRef]
- Kundu, N.; Audhya, A.; Abtab, S.M.T.; Ghosh, S.; Tiekink, E.R.T.; Chaudhury, M. Anion-Controlled Assembly of Silver(I) Complexes of Multiring Heterocyclic Ligands: A Structural and Photophysical Study. Cryst. Growth Des. 2010, 10, 1269–1282. [Google Scholar] [CrossRef]
- Wang, C.J.; Yue, K.F.; Tu, Z.X.; Xu, L.L.; Liu, Y.L.; Wang, Y.Y. Syntheses, Crystal Structures, and Properties of a Series of Coordination Polymers Based on 2-(n-Pyridyl)benzimidazole Ligands (n = 3, 4). Cryst. Growth Des. 2011, 11, 2897–2904. [Google Scholar] [CrossRef]
- Li, M.X.; Wang, H.; Liang, S.W.; Shao, M.; He, X.; Wang, Z.X.; Zhu, S.R. Solvothermal Synthesis and Diverse Coordinate Structures of a Series of Luminescent Copper(I) Thiocyanate Coordination Polymers Based on N-Heterocyclic Ligands. Cryst. Growth Des. 2009, 9, 4626–4633. [Google Scholar] [CrossRef]
- Li, X.P.; Pan, M.; Zheng, S.R.; Liu, Y.R.; He, Q.T.; Kang, B.S.; Su, C.Y. Dimension Increase via Hydrogen Bonding and Weak Coordination Interactions from Simple Complexes of 2-(Pyridyl)benzimidazole Ligands. Cryst. Growth Des. 2007, 7, 2481–2490. [Google Scholar] [CrossRef]
- Niu, Y.Y.; Song, Y.L.; Hou, H.W.; Zhu, Y. Synthesis, Structure, and Large Optical Limiting Effect of the First Coordination Polymeric Cluster Based on an {I@[AgI(inh)]6} Hexagram Block. Inorg. Chem. 2005, 44, 2553–2559. [Google Scholar] [CrossRef]
- Zhang, Q.Z.; Lu, H.D.; Nie, J.H.; Tian, C.A.; Zhou, X.; Zhao, D.F. Synthesis and Structure of a Binuclear Zinc Complex [(ZnCl2)(PyBIm)]2. Chin. J. Inorg. Chem. 2011, 27, 1229–1232. [Google Scholar]
- Huang, X.C.; Luo, W.; Shen, Y.F.; Ng, S.W. catena-Poly[copper(I)-[mu]-[2-(3-pyridyl)benzimidazolato-[kappa]2N:N’]]. Acta Crystallogr. Sect. E Struct. Rep. Online 2007, 63, m2041. [Google Scholar] [CrossRef]
- Zaca, T.P.; Ojwach, S.O.; Akerman, M.P. Ring-opening polymerization of ε-caprolactone catalysed by (pyridyl)benzoazole Zn(II) and Cu(II) complexes. Transit. Met. Chem. 2016, 41, 663–673. [Google Scholar] [CrossRef]
- Guo, H.T.; Zeng, F.F.; Xiao, W.R.; Jiang, S.L.; Chen, Y.X.; Wang, B.W.; Fan, G.F.; Lu, W.Z.; Tu, Z.K. Realizing high energy density in BiFeO3-based ceramics capacitors via bandgap engineering and polarization optimization. Chem. Eng. J. 2023, 461, 142071. [Google Scholar] [CrossRef]
- Liu, H.; Fu, P.; Liu, F.; Hou, Q.; Tong, Z.; Bi, W. Degradation of ciprofloxacin by persulfate activated with pyrite: Mechanism, acidification and tailwater reuse. RSC Adv. 2022, 12, 29991–30000. [Google Scholar] [CrossRef] [PubMed]
- Wang, Y.H.; Chen, Y.T.; Zhang, W.; Zhao, M.; Zhang, L.L. Preparation of vanillin Schiff base and its adsorption of iodine in water. Acta Sci. Circumstantiae 2021, 41, 4013–4021. [Google Scholar]



















| Compounds | 1 | 2 | 3 | 4 | 
|---|---|---|---|---|
| Empirical formula | C72H54Cu8I8N18 | C24H22Br2CuN6O2 | C12H9BrCuN3 | C48H36Cu4I4N12 | 
| Formula weight | 2694.85 | 649.83 | 338.67 | 1542.65 | 
| Temperature/K | 100.2(4) | 298.00 | 300.00 | 297.0 | 
| Crystal system | trigonal | monoclinic | triclinic | monoclinic | 
| Space group | R-3 | P21/c | P-1 | C2/c | 
| a/Å | 16.2957(3) | 7.1021(13) | 7.8416(9) | 37.424(4) | 
| b/Å | 16.2957(3) | 11.769(2) | 8.6988(9) | 10.1253(11) | 
| c/Å | 23.1449(5) | 14.147(3) | 9.9539(11) | 16.5226(18) | 
| α/° | 90 | 90 | 109.736(4) | 90 | 
| β/° | 90 | 99.243(7) | 94.939(4) | 115.919(7) | 
| γ/° | 120 | 90 | 113.314(3) | 90 | 
| Volume/Å3 | 5322.7(2) | 1167.1(4) | 567.63(11) | 5631.2(11) | 
| Z | 3 | 2 | 2 | 4 | 
| ρcalcg/cm3 | 2.522 | 1.849 | 1.981 | 1.820 | 
| μ/mm−1 | 5.890 | 4.396 | 5.420 | 3.726 | 
| F(000) | 3804.0 | 646.0 | 332.0 | 2944.0 | 
| Crystal size/mm3 | 0.12 × 0.11 × 0.1 | 0.35 × 0.23 × 0.14 | 0.27 × 0.23 × 0.22 | 0.25 × 0.23 × 0.17 | 
| Reflections collected | 13,736 | 27,464 | 12,706 | 71,651 | 
| Independent reflections/Rint/Rsigma | 2760, 0.0286, 0.0202 | 2813, 0.1060, 0.0520 | 2613, 0.0516, 0.0352 | 6401, 0.1346, 0.0616 | 
| Data/restraints/parameters | 2760/0/178 | 2813/0/163 | 2613/0/154 | 6401/0/307 | 
| Goodness-of-fit on F2 | 1.128 | 1.006 | 1.015 | 0.987 | 
| Final R indexes [I > =2σ (I)] | R1 = 0.0393, wR2 = 0.1054 | R1 = 0.0364, wR2 = 0.0859 | R1 = 0.0286, wR2 = 0.0826 | R1 = 0.0397, wR2 = 0.0819 | 
| Final R indexes [all data] | R1 = 0.0412, wR2 = 0.1063 | R1 = 0.0706, wR2 = 0.0970 | R1 = 0.0339, wR2 = 0.0856 | R1 = 0.0852, wR2 = 0.0929 | 
| Largest diff. peak/hole/e Å−3 | 3.22/−3.03 | 0.59/−0.58 | 0.63/−0.56 | 0.66/−0.46 | 
| Compound 1 | |||||
| I2-Cu11 | 2.5916 (12) | I2-Cu1 | 2.6728 (13) | I1-Cu12 | 2.7229 (10) | 
| I1-Cu13 | 2.7229 (10) | I1-Cu14 | 2.7229 (10) | I1-Cu11 | 2.7229 (10) | 
| I1-Cu1 | 2.7229 (10) | I1-Cu15 | 2.7229 (10) | Cu1-Cu15 | 2.9812 (13) | 
| Cu1-Cu11 | 2.9812 (13) | Cu1-N1 | 2.050 (6) | Cu2-N23 | 1.979 (5) | 
| Cu2-N2 | 1.979 (5) | Cu2-N24 | 1.979 (5) | N3-Cu2A6 | 2.230 (9) | 
| N1-Cu2A | 2.476 (9) | Cu2A-I2A | 2.439 (10) | Cu11-I2-Cu1 | 68.96 (5) | 
| Cu11-I1-Cu12 | 113.617 (15) | Cu13-I1-Cu11 | 180.0 | Cu13-I1-Cu12 | 66.384 (15) | 
| Cu14-I1-Cu11 | 66.384 (15) | Cu13-I1-Cu1 | 113.619 (15) | Cu14-I1-Cu12 | 180.0 | 
| Cu15-I1-Cu14 | 66.382 (15) | Cu15-I1-Cu11 | 113.617 (15) | Cu15-I1-Cu1 | 180.00 (3) | 
| Cu11-I1-Cu1 | 66.383 (15) | Cu15-I1-Cu13 | 66.381 (15) | Cu15-I1-Cu12 | 113.617 (15) | 
| Cu12-I1-Cu1 | 66.383 (15) | Cu14-I1-Cu13 | 113.616 (15) | Cu14-I1-Cu1 | 113.619 (15) | 
| I22-Cu1-I2 | 120.62 (4) | I22-Cu1-I1 | 108.36 (4) | I2-Cu1-I1 | 106.02 (4) | 
| I22-Cu1-Cu12 | 56.80 (4) | I22-Cu1-Cu11 | 113.83 (5) | I2-Cu1-Cu11 | 54.23 (3) | 
| I2-Cu1-Cu12 | 152.22 (5) | I1-Cu1-Cu11 | 56.808 (7) | I1-Cu1-Cu12 | 56.808 (8) | 
| Cu12-Cu1-Cu11 | 99.69 (4) | N1-Cu1-I22 | 111.50 (16) | N1-Cu1-I2 | 105.02 (16) | 
| N1-Cu1-I1 | 104.00 (17) | N1-Cu1-Cu12 | 100.69 (16) | N1-Cu1-Cu11 | 134.40 (16) | 
| N23-Cu2-N2 | 119.917 (18) | N23-Cu2-N24 | 119.916 (18) | N24-Cu2-N2 | 119.916 (16) | 
| C6-N3-Cu2A6 | 104.0 (4) | C8-N3-Cu2A6 | 123.5 (4) | C6-N2-Cu2 | 134.8 (4) | 
| C7-N2-Cu2 | 119.4 (4) | C1-N1-Cu1 | 118.9 (5) | C1-N1-Cu2A | 118.4 (5) | 
| C5-N1-Cu1 | 123.6 (4) | C5-N1-Cu2A | 110.8 (5) | N36-Cu2A-N1 | 142.9 (4) | 
| N36-Cu2A-I2A | 99.8 (3) | I2A-Cu2A-N1 | 101.0 (3) | Cu2A-I2A-Cu2A1 | 130.1 (4) | 
| Compound 2 | |||||
| Br1-Cu1 | 2.5170 (5) | Cu1-N11 | 1.999 (3) | Cu1-N1 | 1.998 (3) | 
| N1-C1 | 1.350 (4) | N3-C4 | 1.315 (4) | C1-C2 | 1.369 (4) | 
| Br1-Cu1-Br11 | 179.999 (11) | N11-Cu1-Br1 | 89.84 (7) | N1-Cu1-Br11 | 89.84 (7) | 
| N11-Cu1-Br11 | 90.16 (7) | N1-Cu1-Br1 | 90.16 (7) | N1-Cu1-N11 | 180.00 (3) | 
| C12-N1-Cu1 | 120.6 (2) | C1-N1-Cu1 | 122.2 (2) | ||
| Compound 3 | |||||
| Br1-Cu1 | 2.5678 (5) | Br1-Cu11 | 2.6537 (5) | Cu1-N1 | 1.983 (2) | 
| Cu1-N32 | 2.025 (2) | Cu1-Br1-Cu11 | 86.720 (15) | Br1-Cu1-Br11 | 93.280 (15) | 
| N1-Cu1-Br11 | 108.83 (6) | N1-Cu1-Br1 | 115.12 (6) | N1-Cu1-N32 | 128.14 (8) | 
| N32-Cu1-Br1 | 102.94 (6) | N32-Cu1-Br11 | 102.43 (6) | C1-N1-Cu1 | 125.69 (16) | 
| C7-N1-Cu1 | 127.56 (17) | C11-N3-Cu12 | 120.63 (17) | C12-N3-Cu12 | 121.81 (17) | 
| Compound 4 | |||||
| I1-Cu1 | 2.5714 (7) | I1-Cu2 | 2.5713 (8) | I2-Cu11 | 2.5872 (8) | 
| I2-Cu2 | 2.5814 (8) | Cu1-Cu11 | 2.7688 (15) | Cu1-Cu2 | 2.6778 (9) | 
| Cu1-Cu21 | 2.6408 (9) | Cu1-N4 | 2.026 (4) | Cu2-Cu21 | 2.7509 (13) | 
| Cu2-N1 | 2.030 (4) | Cu2-I1-Cu1 | 62.76 (2) | Cu2-I1-Cu11 | 61.45 (2) | 
| I1-Cu1-I21 | 120.48 (3) | I1-Cu1-Cu11 | 113.44 (2) | I1-Cu1-Cu21 | 75.37 (3) | 
| I1-Cu1-Cu2 | 58.62 (2) | I21-Cu1-Cu11 | 75.34 (3) | I21-Cu1-Cu21 | 59.16 (2) | 
| I21-Cu1-Cu2 | 117.82 (3) | Cu21-Cu1-Cu11 | 59.29 (2) | Cu2-Cu1-Cu11 | 57.98 (3) | 
| Cu21-Cu1-Cu2 | 62.29 (3) | N4-Cu1-I1 | 115.18 (11) | N4-Cu1-I21 | 108.15 (10) | 
| N4-Cu1-Cu11 | 118.52 (11) | N4-Cu1-Cu21 | 167.23 (11) | N4-Cu1-Cu2 | 128.67 (10) | 
| I1-Cu2-I2 | 120.99 (3) | I1-Cu2-Cu11 | 117.91 (3) | I1-Cu2-Cu1 | 58.62 (2) | 
| I1-Cu2-Cu21 | 73.48 (3) | I2-Cu2-Cu11 | 59.38 (2) | I2-Cu2-Cu1 | 77.04 (3) | 
| I2-Cu2-Cu21 | 115.44 (2) | Cu11-Cu2-Cu1 | 62.74 (3) | Cu1-Cu2-Cu21 | 58.20 (2) | 
| Cu11-Cu2-Cu21 | 59.52 (3) | N1-Cu2-I1 | 108.87 (12) | N1-Cu2-I2 | 112.66 (11) | 
| N1-Cu2-Cu1 | 167.48 (12) | N1-Cu2-Cu11 | 128.55 (12) | N1-Cu2-Cu21 | 120.24 (11) | 
| C14-N4-Cu1 | 120.5 (3) | C13-N4-Cu1 | 121.4 (3) | C5-N1-Cu2 | 120.2 (3) | 
| C1-N1-Cu2 | 121.5 (3) | ||||
| Disclaimer/Publisher’s Note: The statements, opinions and data contained in all publications are solely those of the individual author(s) and contributor(s) and not of MDPI and/or the editor(s). MDPI and/or the editor(s) disclaim responsibility for any injury to people or property resulting from any ideas, methods, instructions or products referred to in the content. | 
© 2023 by the authors. Licensee MDPI, Basel, Switzerland. This article is an open access article distributed under the terms and conditions of the Creative Commons Attribution (CC BY) license (https://creativecommons.org/licenses/by/4.0/).
Share and Cite
Ren, C.; Li, J.; Zhang, X.; Niu, Y. Synthesis and Photocatalytic Properties of Four Coordination Compounds Constructed from Two Benzimidazole-Based Asymmetric Polyazocyclic Ligands. Molecules 2023, 28, 3841. https://doi.org/10.3390/molecules28093841
Ren C, Li J, Zhang X, Niu Y. Synthesis and Photocatalytic Properties of Four Coordination Compounds Constructed from Two Benzimidazole-Based Asymmetric Polyazocyclic Ligands. Molecules. 2023; 28(9):3841. https://doi.org/10.3390/molecules28093841
Chicago/Turabian StyleRen, Chenfei, Jian Li, Xingxing Zhang, and Yunyin Niu. 2023. "Synthesis and Photocatalytic Properties of Four Coordination Compounds Constructed from Two Benzimidazole-Based Asymmetric Polyazocyclic Ligands" Molecules 28, no. 9: 3841. https://doi.org/10.3390/molecules28093841
APA StyleRen, C., Li, J., Zhang, X., & Niu, Y. (2023). Synthesis and Photocatalytic Properties of Four Coordination Compounds Constructed from Two Benzimidazole-Based Asymmetric Polyazocyclic Ligands. Molecules, 28(9), 3841. https://doi.org/10.3390/molecules28093841
 
        



 
       