Structure Features and Physicochemical Performances of Fe-Contained Clinoptilolites Obtained via the Aqueous Exchange of the Balanced Cations and Isomorphs Substitution of the Heulandite Skeletons for Electrocatalytic Activity of Oxygen Evolution Reaction and Adsorptive Performance of CO2
Abstract
1. Introduction
2. Results and Discussion
2.1. Physicochemical Properties of Fe-Containing CPs
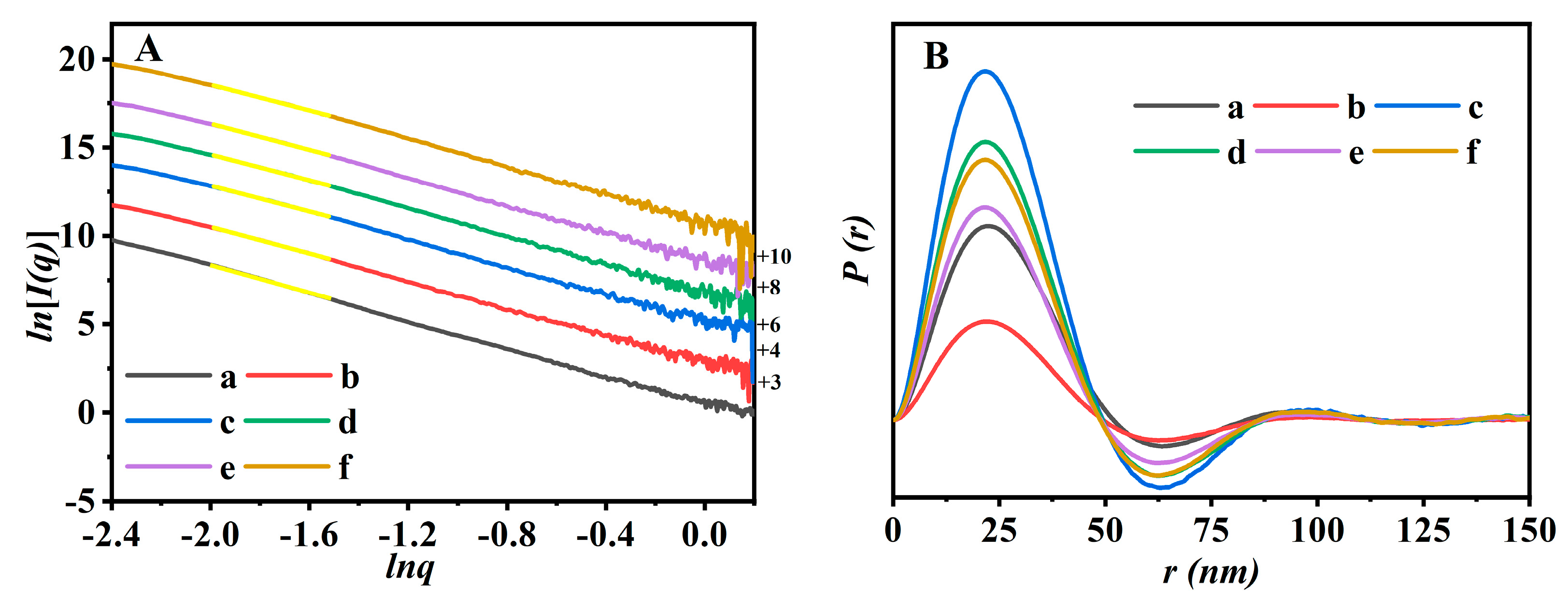
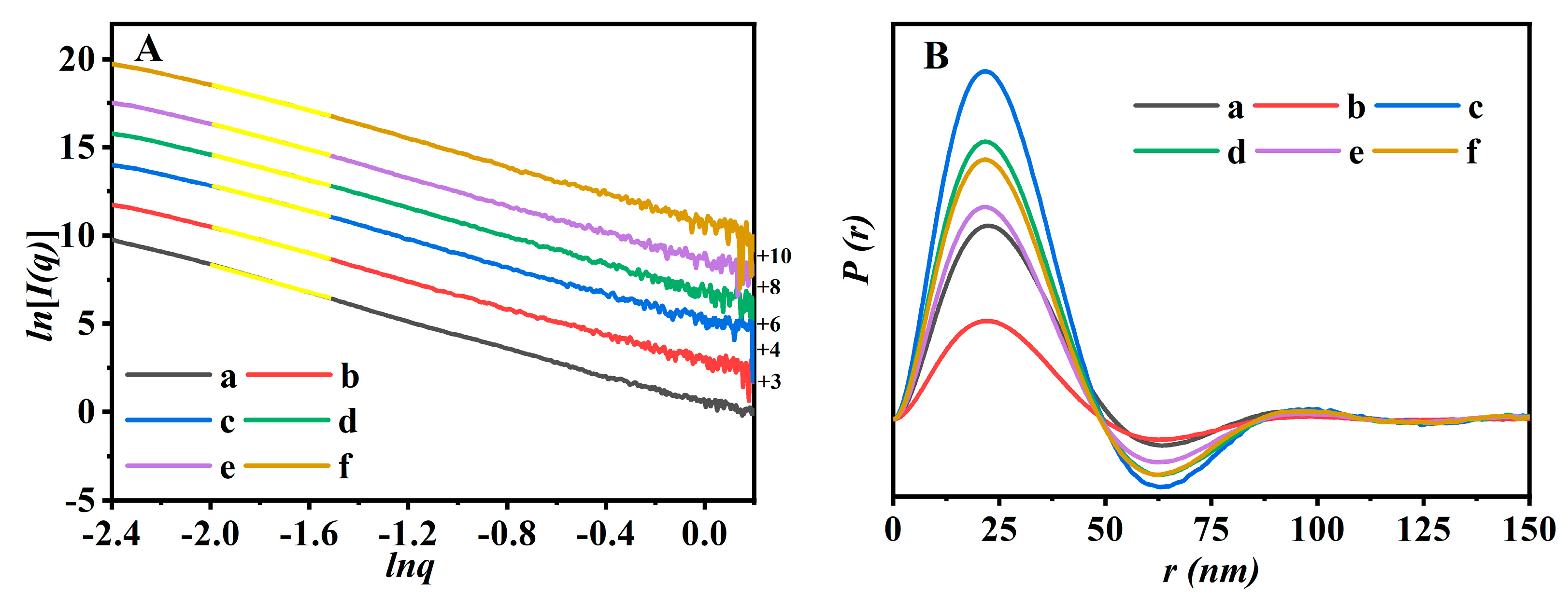
2.2. SAXS Patterns
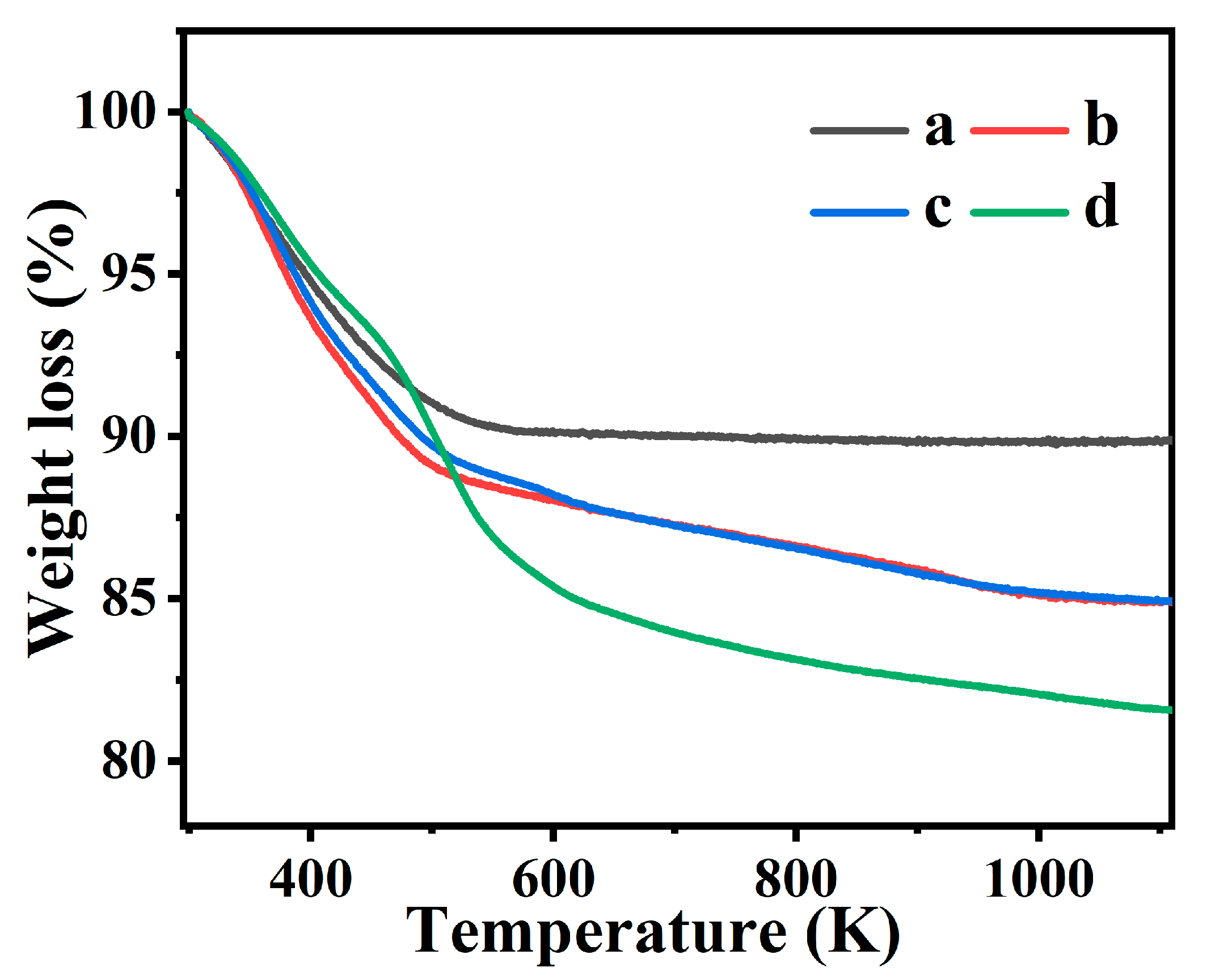
2.3. Thermodynamic and Kinetic Properties
2.4. Electrocatalytic Performances of Fe-Containing CPs
2.5. CO2 Adsorption Performance
3. Materials and Methods
3.1. Materials
3.2. Preparations
3.2.1. Synthesis of CP
3.2.2. Ammonization of CP
3.2.3. Acid Resistance Test of CP
3.2.4. Ion Modification of CP in the FeCl3−HCl Solution
3.3. Characterizations
3.4. SAXS Methods
3.5. Thermodynamic and Kinetic Parameters
3.6. Preparation of Electrodes and Electrochemical Measurements
3.7. Static Adsorption Measurements
4. Conclusions
Supplementary Materials
Author Contributions
Funding
Institutional Review Board Statement
Informed Consent Statement
Data Availability Statement
Conflicts of Interest
Sample Availability
References
- Zhao, D.; Szostakb, R.; Kevan, L. Role of alkali-metal cations and seeds in the synthesis of silica-rich heulandite-type zeolites. J. Mater. Chem. 1998, 8, 233–239. [Google Scholar] [CrossRef]
- Koyama, K.; Takeuchi, Y. Clinoptilolite: The distribution of potassium atoms and its role in thermal stability. Z. Kristallogr. Cryst. Mater. 1977, 145, 216–239. [Google Scholar] [CrossRef]
- Galli, E.; Gottardi, G.; Mayer, H.; Preisinger, A.; Passaglia, E. The structure of potassium-exchanged heulandite at 293, 373 and 593 K. Acta Crystllogr. B 1983, 39, 189–197. [Google Scholar] [CrossRef]
- Ackley, M.W.; Giese, R.F.; Yang, R.T. Clinoptilolite: Untapped potential for kinetics gas separations. Zeolites 1992, 12, 780–788. [Google Scholar] [CrossRef]
- Zaremotlagh, S.; Hezarkhani, A. Removal of textile dyes from aqueous solution by conducting polymer modified clinoptilolite. Environ. Earth Sci. 2014, 71, 2999–3006. [Google Scholar] [CrossRef]
- Kouvelos, E.; Kesore, K.; Steriotis, T.; Grigoropoulou, H.; Bouloubasi, D.; Theophilou, N.; Tzintzos, S.; Kanelopoulosa, N. High-pressure N2/CH4 adsorption measurements in clinoptilolites. Micropor. Mesopor. Mater. 2007, 99, 106–111. [Google Scholar] [CrossRef]
- Wang, Y.; Lin, F.; Pang, W. Ion exchange of ammonium in natural and synthesized zeolites. J. Hazard. Mater. 2008, 160, 371–375. [Google Scholar] [CrossRef]
- Zecchina, A.; Rivallan, M.; Berlier, G.; Lambertia, C.; Ricchiardia, G. Structure and nuclearity of active sites in Fe-zeolites: Comparison with iron sites in enzymes and homogeneous catalysts. Phys. Chem. Chem. Phys. 2007, 9, 3483–3499. [Google Scholar] [CrossRef]
- Gao, F. Fe-exchanged small-pore zeolites as ammonia selective catalytic reduction (NH3-SCR) catalysts. Catalysts 2020, 10, 1324. [Google Scholar] [CrossRef]
- Zhou, Y.; Zhang, J.; Wang, L.; Cui, X.; Liu, X.; Wong, S.; An, H.; Yan, N.; Xie, J.; Yu, C.; et al. Self-assembled iron-containing mordenite monolith for carbon dioxide sieving. Science 2021, 373, 315–320. [Google Scholar] [CrossRef]
- Cornell, R.M.; Giovanoli, R.; Schneider, W. Review of the hydrolysis of iron (III) and the crystallization of amorphous iron (III) hydroxide hydrate. J. Chem. Technol. Biotechnol. 1989, 46, 115–134. [Google Scholar] [CrossRef]
- Lopes, L.; Laat, J.; Legube, B. Charge transfer of iron (III) monomeric and oligomeric aqua hydroxo complexes: Semiempirical investigation into photoactivity. Inorg. Chem. 2002, 41, 2505–2517. [Google Scholar] [CrossRef] [PubMed]
- Feng, X.; Hall, W.K. On the unusual stability of over-exchanged FeZSM-5. Catal. Lett. 1996, 41, 45–46. [Google Scholar] [CrossRef]
- Marturano, P.; Drozdová, L.; Kogelbauer, A.; Prins, R. Fe/ZSM-5 prepared by sublimation of FeCl3: The structure of the Fe species as determined by IR, 27Al MAS NMR, and EXAFS spectroscopy. J. Catal. 2000, 192, 236–247. [Google Scholar] [CrossRef]
- Chen, H.Y.; Sachtler, W.M.H. Activity and durability of Fe/ZSM-5 catalysts for lean burn NOx reduction in the presence of water vapor. Catal. Today 1998, 42, 73–83. [Google Scholar] [CrossRef]
- Bian, J.; Qi, Z.; Xin, M.; Zhang, S.; Feng, L.; Li, C. Modified clinoptilolite catalysts for seawater flue gas desulfurization application: Preparation, characterization and kinetic evaluation. Process Saf. Environ. Prot. 2016, 101, 117–123. [Google Scholar] [CrossRef]
- Joyner, R.; Stockenhuber, M. Preparation, characterization, and performance of Fe- ZSM-5 catalysts. J. Phys. Chem. B 1999, 103, 5963–5976. [Google Scholar] [CrossRef]
- Čapek, L.; Kreibich, V.; Dědeček, J.; Grygar, T.; Wichterlová, B.; Sobalík, Z.; Martens, J.A.; Brosius, R.; Tokarová, V. Analysis of Fe species in zeolites by UV-VIS-NIR, IR spectra and voltammetry. Effect of preparation, Fe loading and zeolite type. Micropor. Mesopor. Mater. 2005, 80, 279–289. [Google Scholar] [CrossRef]
- Nechita, M.T.; Berlier, G.; Ricchiardi, G.; Nechita, M.T.; Berlier, G.; Ricchiardi, G. New precursor for the post-synthesis preparation of Fe-ZSM-5 zeolites with low iron content. Catal. Lett. 2005, 103, 33–41. [Google Scholar] [CrossRef]
- Kennedy, D.A.; Tezel, F.H. Cation exchange modification of clinoptilolite-Screening analysis for potential equilibrium and kinetic adsorption separations involving methane, nitrogen, and carbon dioxide. Micropor. Mesopor. Mater. 2018, 262, 235–250. [Google Scholar] [CrossRef]
- Sig, K.Y.; Ahn, W.S. Isomorphous substitution of Fe3+ in zeolite LTL. Micropor. Mater. 1997, 9, 131–140. [Google Scholar]
- Hedayati, M.S.; Li, L.Y. Removal of polycyclic aromatic hydrocarbons from aqueous media using modified clinoptilolite. J. Environ. Manag. 2020, 273, 111113. [Google Scholar] [CrossRef] [PubMed]
- Li, J.; Ullah, R.; Jiao, J.; Sun, J.; Bai, S.Y. Ion exchange of cations from different groups with ammonium-modified clinoptilolite and selectivity for methane and nitrogen. Mater. Chem. Phys. 2020, 256, 123760. [Google Scholar] [CrossRef]
- Wang, T.; Zhao, Y.; Song, T.; Li, J.P.; Yang, P. Anion and solvent derived morphology controlling and properties of beta-FeOOH and alpha-Fe2O3. J. Nanosci. 2019, 19, 8036–8044. [Google Scholar]
- Alver, B.E.; Sakizci, M. Influence of acid treatment on structure of clinoptilolite tuff and its adsorption of methane. Adsorp. Sci. Technol. 2015, 21, 391–399. [Google Scholar] [CrossRef]
- Castaldi, P.; Santona, L.; Enzo, S.; Melis, P. Sorption processes and XRD analysis of a natural zeolite exchanged with Pb2+, Cd2+ and Zn2+ cations. J. Hazard. Mater. 2008, 156, 428–434. [Google Scholar] [CrossRef]
- Rodríguez-Iznaga, I.; Petranovskii, V.; Castillón-Barraza, F.; Concepción-Rosabal, B. Copper-Silver Bimetallic System on Natural Clinoptilolite: Thermal Reduction of Cu2+ and Ag+ Exchanged. Nanosci. Nanotechnol. 2011, 11, 5580–5586. [Google Scholar] [CrossRef]
- Lew, C.M.; Chen, C.Y.; Long, G.J. Synthesis, Physicochemical Characterization, and Catalytic Evaluation of Fe3+-Containing SSZ-70 Zeolite. ACS Catal. 2022, 12, 6464–6477. [Google Scholar] [CrossRef]
- Liu, Y.M.; Xu, J.; He, L.; Cao, Y.; He, H.Y.; Zhao, D.Y.; Zhuang, J.H.; Fan, K.N. Facile synthesis of Fe-loaded mesoporous silica by a combined detemplation-incorporation process through Fenton’s chemistry. J. Phys. Chem. C 2008, 112, 16575–16583. [Google Scholar] [CrossRef]
- Li, Y.; Bai, P.; Yan, Y.; Yan, W.; Shi, W.; Xu, R. Removal of Zn2+, Pb2+, Cd2+, and Cu2+ from aqueous solution by synthetic clinoptilolite. Micropor. Mesopor. Mater. 2019, 273, 203–211. [Google Scholar] [CrossRef]
- Li, M.; Liu, H.; Pang, S.; Yan, P.; Liu, M.; Ding, M.; Zhang, B. Facile Fabrication of Three-Dimensional Fusiform-Like α-Fe2O3 for Enhanced Photocatalytic Performance. Nanomaterials 2021, 11, 2650. [Google Scholar] [CrossRef] [PubMed]
- Corral-Capulin, N.; Vilchis-Nestor, A.; Gutiérrez-Segura, E.E.; Solache-Ríos, M. The influence of chemical and thermal treatments on the fluoride removal from water by three mineral structures and their characterization. Fluor. Chem. 2018, 213, 42–50. [Google Scholar] [CrossRef]
- Rodríguez-Iznaga, I.; Rodríguez-Fuentes, G.; Petranovskii, V. Ammonium modified natural clinoptilolite to remove manganese, cobalt and nickel ions from wastewater: Favorable conditions to the modification and selectivity to the cations. Micropor. Mesopor. Mater. 2018, 255, 200–210. [Google Scholar] [CrossRef]
- Garcia-Basabe, Y.; Rodriguez-Iznaga, I.; Menorval, L.C.; Llewellyn, P.; Maurin, G.; Lewis, D.W.; Binions, R.; Autie, M.; RuizSalvador, A.R. Step-wise dealumination of natural clinoptilolite: Structural and physicochemical characterization. Micropor. Mesopor. Mater. 2010, 135, 187–196. [Google Scholar] [CrossRef]
- Narin, G.; Balkose, D.; Ülkü, S. Characterization and Dehydration Behavior of a Natural, Ammonium Hydroxide, and Thermally Treated Zeolitic Tuff. Dry Technol. 2011, 29, 553–565. [Google Scholar] [CrossRef]
- Verdonck, L.; Hoste, S.; Roelandt, F.F.; Van Der Kelen, G.P. Normal coordinate analysis of α-FeOOH-a molecular approach. J. Mol. Struct. 1982, 79, 273–279. [Google Scholar] [CrossRef]
- Rodriguez-Fuentes, G.; Ménorval, L.C.; Reguera, E.; Chavez Rivas, F. Solid state multinuclear NMR study of iron species in natural and modified clinoptilolite from Tasajera deposit (Cuba). Micropor. Mesopor. Mater. 2008, 111, 577–590. [Google Scholar] [CrossRef]
- Alver, B.E.; Sakizci, M.; Yörükogullari, E. Investigation of clinoptilolite rich natural zeolites from Turkey: A combined XRF, TG/DTG, DTA and DSC study. J. Therm. Anal. Calorim. 2010, 100, 19–26. [Google Scholar] [CrossRef]
- Joshi, P.N.; Awate, S.V.; Shiralkar, V.P. Partial isomorphous substitution of Fe3+ in the LTL framework. J. Phys. Chem. C 1993, 97, 9749–9753. [Google Scholar] [CrossRef]
- Sun, Y.; Hu, X.; Luo, W.; Xu, H.; Hu, C.; Huang, Y. Synthesis of amorphous FeOOH/reduced graphene oxide composite by infrared irradiation and its superior lithium storage performance. ACS Appl. Mater. Interfaces 2013, 5, 10145–10150. [Google Scholar] [CrossRef]
- Ramdas, S.; Klinowski, J. A simple correlation between isotropic 29Si-NMR chemical shifts and T-O-T angles in zeolite frameworks. Nature 1984, 308, 521–523. [Google Scholar] [CrossRef]
- Rivera, A.; Farıas, T.; Ruiz-Salvador, A.R.; Ménorval, L.C. Preliminary characterization of drug support systems based on natural clinoptilolite. Micropor. Mesopor. Mater. 2003, 61, 249–259. [Google Scholar] [CrossRef]
- Sano, T.; Uno, Y.; Wang, Z.B.; Ahn, C.H.; Soga, K. Realumination of dealuminated HZSM-5 zeolites by acid treatment and their catalytic properties. Micropor. Mesopor. Mater. 1999, 31, 89–95. [Google Scholar] [CrossRef]
- Al-Yassir, N.; Akhtar, M.N.; Al-Khattaf, S. Physicochemical properties and catalytic performance of galloaluminosilicate in aromatization of lower alkanes: A comparative study with Ga/HZSM-5. J. Porous Mater. 2012, 19, 943–960. [Google Scholar] [CrossRef]
- Bordiga, S.; Buzzoni, R.; Geobaldo, F.; Lamberti, C.; Giamello, E.; Zecchina, A.; Leofanti, G.; Petrini, G.; Tozzola, G.; Vlaic, G. Structure and reactivity of framework and extraframework iron in Fe-silicalite as investigated by spectroscopic and physicochemical methods. J. Catal. 1996, 158, 486–501. [Google Scholar] [CrossRef]
- Pérez-Ramírez, J.; Groen, J.C.; Brückner, A.; Kumar, M.S.; Bentrup, U.; Debbagh, M.N.; Villaescusa, L.A. Evolution of isomorphously substituted iron zeolites during activation: Comparison of Fe-beta and Fe-ZSM-5. J. Catal. 2005, 232, 318–334. [Google Scholar] [CrossRef]
- Kaneko, K. Determination of pore size and pore size distribution: 1. Adsorbents and catalysts. J. Membr. Sci. 1994, 96, 59–89. [Google Scholar] [CrossRef]
- Leofantia, M.P.G.; Tozzolac, G.; Venturellic, B. Surface area and pore texture of catalysts. Catal. Today 1998, 41, 207–219. [Google Scholar] [CrossRef]
- Moor, P.P.E.A.D.; Beelen, T.P.M.; Sante, R.A.V. Si-MFI crystallization using a “Dimer” and “Trimer” of TPA studied with small-angle X-ray scattering. J. Phys. Chem. B 2000, 104, 7600–7611. [Google Scholar] [CrossRef]
- Glatter, O. A new method for the evaluation of small-angle scattering data. J. Appl. Crystallogr. 1977, 10, 415–421. [Google Scholar] [CrossRef]
- Boukari, H.; Lin, J.S.; Harris, M.T. Small-angle X-ray scattering study of the formation of colloidal silica particles from alkoxides: Primary particles or not. J. Colloid Interface sci. 1997, 194, 311–318. [Google Scholar] [CrossRef]
- Svergun, D.I.; Koch, M.H.J. Small-angle scattering studies of biological macromolecules in solution. Rep. Prog. Phys. 2003, 66, 1735. [Google Scholar] [CrossRef]
- Hammersley, A.P. FIT2D: A multi-purpose data reduction, analysis and visualization program. J. Appl. Crystallogr. 2016, 49, 646–652. [Google Scholar] [CrossRef]
- Xu, Y.N.; Koga, Y.; Strausz, O.P. Characterization of Athabasca asphaltenes by small-angle X-ray scattering. Fuel 1995, 74, 960–964. [Google Scholar] [CrossRef]
- Alshameri, A.; Ibrahim, A.; Assabri, A.M.; Lei, X.R.; Wang, H.Q.; Yan, C.J. The investigation into the ammonium removal performance of Yemeni natural zeolite: Modification, ion exchange mechanism, and thermodynamics. Powder Technol. 2014, 258, 20–31. [Google Scholar] [CrossRef]
- Flynn, C.M. Hydrolysis of inorganic iron (III) salts. Chem. Rev. 1984, 84, 31–41. [Google Scholar] [CrossRef]
- Barros, M.A.S.D.; Arroyo, P.A.; Sousa-Aguiar, E.F.; Tavares, C.R.G. Thermodynamics of the Exchange Processes between K+, Ca2+ and Cr3+ in Zeolite NaA. Adsorption 2004, 10, 227–235. [Google Scholar] [CrossRef]
- Pandey, S.; Fosso-Kankeu, E.; Spiro, M.J.; Waanders, F.; Kumar, N.; Ray, S.S.; Kim, J.; Kang, M. Equilibrium, kinetic, and thermodynamic studies of lead ion adsorption from mine wastewater onto MoS2-clinoptilolite composite. Mater. Today Chem. 2020, 18, 100376. [Google Scholar] [CrossRef]
- Argun, M.E. Use of clinoptilolite for the removal of nickel ions from water: Kinetics and thermodynamics. J. Hazard. Mater. 2008, 150, 587–595. [Google Scholar] [CrossRef]
- Tarasevich, Y.I.; Polyakov, V.E. Ion-exchange equilibria and exchange heats on clinoptilolite involving singly-charged cations. Theor. Exp. Chem. 1996, 32, 276–280. [Google Scholar] [CrossRef]
- Inglezakis, V.J.; Zorpas, A.A. Heat of adsorption, adsorption energy and activation energy in adsorption and ion exchange systems. Desalin. Water Treat. 2012, 39, 149–157. [Google Scholar] [CrossRef]
- Li, F.; Li, J.; Zhou, L.; Dai, S. Enhanced OER performance of composite Co-Fe-based MOF catalysts via a one-pot ultrasonic-assisted synthetic approach, Sustain. Energy Fuels 2021, 5, 1095–1102. [Google Scholar]
- Xie, M.; Ma, Y.; Lin, D.; Xu, C.; Xie, F.; Zeng, W. Bimetal-organic framework MIL-53 (Co-Fe): An efficient and robust electrocatalyst for the oxygen evolution reaction. Nanoscale 2020, 12, 67–71. [Google Scholar] [CrossRef] [PubMed]
- Chen, J.; Zheng, F.; Zhang, S.J.; Fisher, A.; Zhou, Y.; Wang, Z.; Li, Y.; Xu, B.B.; Li, J.T.; Sun, S.G. Interfacial interaction between FeOOH and Ni-Fe LDH to modulate the local electronic structure for enhanced OER electrocatalysis. ACS Catal. 2018, 8, 11342–11351. [Google Scholar] [CrossRef]
- Du, Q.; Su, P.; Cao, Z.; Yang, J.; Price, C.; Liu, J. Construction of N and Fe co-doped CoO/CoxN interface for excellent OER performance. Catal. Sci. Technol. 2021, 29, e00293. [Google Scholar] [CrossRef]
- Nivetha, R.; Kollu, P.; Chandar, K.; Pitchaimuthu, S.; Jeong, S.; Grace, A. Role of MIL-53(Fe)/hydrated–dehydrated MOF catalyst for electrochemical hydrogen evolution reaction (HER) in alkaline medium and photocatalysis. RSC Adv. 2019, 9, 3215–3223. [Google Scholar] [CrossRef]
- Sankar, S.; Manjula, K.; Keerthana, G.; Babu, B.; Kundu, S. Highly stable trimetallic (Co, Ni, and Fe) zeolite imidazolate framework microfibers: An excellent electrocatalyst for water oxidation. Cryst. Growth Des. 2021, 21, 1800–1809. [Google Scholar] [CrossRef]
- Fang, W.; Wang, J.; Hu, Y.; Cui, Q.; Zhu, R.; Zhang, Y.; Yue, C.; Dang, J.; Cui, W.; Zhao, H.; et al. Metal-organic framework derived Fe-Co-CN/reduced graphene oxide for efficient HER and OER. Electrochim. Acta 2021, 365, 137384. [Google Scholar] [CrossRef]
- Yan, F.; Zhu, C.; Wang, S.; Zhao, Y.; Zhang, X.; Chen, Y. Electrochemically activated-iron oxide nanosheet arrays on carbon fiber cloth as a three-dimensional self-supported electrode for efficient water oxidation. J. Mater. Chem. A 2016, 4, 6048–6055. [Google Scholar] [CrossRef]
- Liu, S.; Bian, W.; Yang, Z.; Tian, J.; Jin, C.; Shen, M.; Zhou, Z.; Yang, R. A facile synthesis of CoFe2O4/biocarbon nanocomposites as efficient bi-functional electrocatalysts for the oxygen reduction and oxygen evolution reaction. J. Mater. Chem. A 2014, 2, 18012–18017. [Google Scholar] [CrossRef]
- Wu, T.; Sun, S.; Song, J. Iron-facilitated dynamic active-site generation on spinel CoAl2O4 with self-termination of surface reconstruction for water oxidation. Nat. Catal. 2019, 2, 763–772. [Google Scholar] [CrossRef]
- Bao, J.; Zhang, X.; Fan, B.; Zhang, J.; Zhou, M.; Yang, W.; Hu, X.; Wang, H.; Pan, B.; Xie, Y. Ultrathin Spinel-Structured Nanosheets Rich in Oxygen Deficiencies for Enhanced Electrocatalytic Water Oxidation. Angew. Chem. 2015, 127, 7507–7512. [Google Scholar] [CrossRef]
- Gong, L.; Chng, X.; Du, Y.; Xi, S.; Yeo, B. Enhanced Catalysis of the Electrochemical Oxygen Evolution Reaction by Iron(III) Ions Adsorbed on Amorphous Cobalt Oxide. ACS Catal. 2017, 8, 807–814. [Google Scholar] [CrossRef]
- Moura, P.A.S.; Bezerra, D.P.; Vilarrasa-Garcia, E. Adsorption equilibria of CO2 and CH4 in cation-exchanged zeolites 13X. Adsorption 2016, 22, 71–80. [Google Scholar] [CrossRef]
- Kennedy, D.A.; Mujcin, M.; Abou-Zeid, C.; Tezel, F.H. Cation exchange modification of clinoptilolite-thermodynamic effects on adsorption separations of carbon dioxide, methane, and nitrogen. Micropor. Mesopor. Mater. 2019, 274, 327–341. [Google Scholar] [CrossRef]
- Li, Z.H. A program for SAXS data processing and analysis. Chin. Phys. C 2013, 37, 108002–108007. [Google Scholar] [CrossRef]
- Ho, Y.S.; Ng, J.C.; McKay, G. Kinetics of pollutant sorption by biosorbents. Sep. Purify Technol. 2000, 29, 189–232. [Google Scholar] [CrossRef]
- Ouyang, T.; Zhai, C.; Sun, J.; Panezai, H.; Bai, S. Nanosol precursor as structural promoter for clinoptilolite via hydrothermal synthesis and resulting effects on selective adsorption of CH4 and N2. Micropor. Mesopor. Mater. 2020, 294, 109913. [Google Scholar] [CrossRef]
- Jia, B.; Xu, B.; Bing, L.; Sun, J.; Bai, S. Cationic surfactant-assisted delamination of disorderly layered clinoptilolites for selective adsorption of CO2 and CH4. J. Environ. Chem. Eng. 2022, 10, 108033. [Google Scholar] [CrossRef]











Disclaimer/Publisher’s Note: The statements, opinions and data contained in all publications are solely those of the individual author(s) and contributor(s) and not of MDPI and/or the editor(s). MDPI and/or the editor(s) disclaim responsibility for any injury to people or property resulting from any ideas, methods, instructions or products referred to in the content. |
© 2023 by the authors. Licensee MDPI, Basel, Switzerland. This article is an open access article distributed under the terms and conditions of the Creative Commons Attribution (CC BY) license (https://creativecommons.org/licenses/by/4.0/).
Share and Cite
Wan, C.; Cui, X.; Liu, M.; Xu, B.; Sun, J.; Bai, S. Structure Features and Physicochemical Performances of Fe-Contained Clinoptilolites Obtained via the Aqueous Exchange of the Balanced Cations and Isomorphs Substitution of the Heulandite Skeletons for Electrocatalytic Activity of Oxygen Evolution Reaction and Adsorptive Performance of CO2. Molecules 2023, 28, 2889. https://doi.org/10.3390/molecules28072889
Wan C, Cui X, Liu M, Xu B, Sun J, Bai S. Structure Features and Physicochemical Performances of Fe-Contained Clinoptilolites Obtained via the Aqueous Exchange of the Balanced Cations and Isomorphs Substitution of the Heulandite Skeletons for Electrocatalytic Activity of Oxygen Evolution Reaction and Adsorptive Performance of CO2. Molecules. 2023; 28(7):2889. https://doi.org/10.3390/molecules28072889
Chicago/Turabian StyleWan, Chunlei, Xueqing Cui, Ming Liu, Bang Xu, Jihong Sun, and Shiyang Bai. 2023. "Structure Features and Physicochemical Performances of Fe-Contained Clinoptilolites Obtained via the Aqueous Exchange of the Balanced Cations and Isomorphs Substitution of the Heulandite Skeletons for Electrocatalytic Activity of Oxygen Evolution Reaction and Adsorptive Performance of CO2" Molecules 28, no. 7: 2889. https://doi.org/10.3390/molecules28072889
APA StyleWan, C., Cui, X., Liu, M., Xu, B., Sun, J., & Bai, S. (2023). Structure Features and Physicochemical Performances of Fe-Contained Clinoptilolites Obtained via the Aqueous Exchange of the Balanced Cations and Isomorphs Substitution of the Heulandite Skeletons for Electrocatalytic Activity of Oxygen Evolution Reaction and Adsorptive Performance of CO2. Molecules, 28(7), 2889. https://doi.org/10.3390/molecules28072889

