Chlorophyll Pigments of Olive Leaves and Green Tea Extracts Differentially Affect Their Antioxidant and Anticancer Properties
Abstract
1. Introduction
2. Results and Discussion
2.1. Phenolic Content before and after Removal of Chlorophylls from Extracts
| Compounds (mg/L) | Fresh OLE | Purified OLE |
|---|---|---|
| Phenolic alcohol | ||
| Hydroxytyrosol | 445.73 ± 3.10 | 187.30 ± 7.68 * |
| Tyrosol | 12.09 ± 2.58 | 5.83 ± 0.16 * |
| Secoiridoids derivatives | ||
| Oleuropein | 2173.52 ± 110.80 | 679.53 ± 12.73 * |
| Fresh GTE | Purified GTE | |
| Alkaloid | ||
| Caffeine | 2232.52 ± 208.16 | 1483.30 ± 23.61 * |
| Catechins | ||
| Gallocatechin | 2536.82 ± 16.55 | 2215.18 ± 59.39 * |
| Epigallocatechin (EGC) | 948.80 ± 36.29 | 802.00 ± 93.18 |
| Epigallocatechin gallate (EGCG) | 1829.27 ± 172.21 | 109.32 ± 3.27 * |
| Gallocatechin gallate | 658.52 ± 18.44 | 70.73 ± 6.52 * |
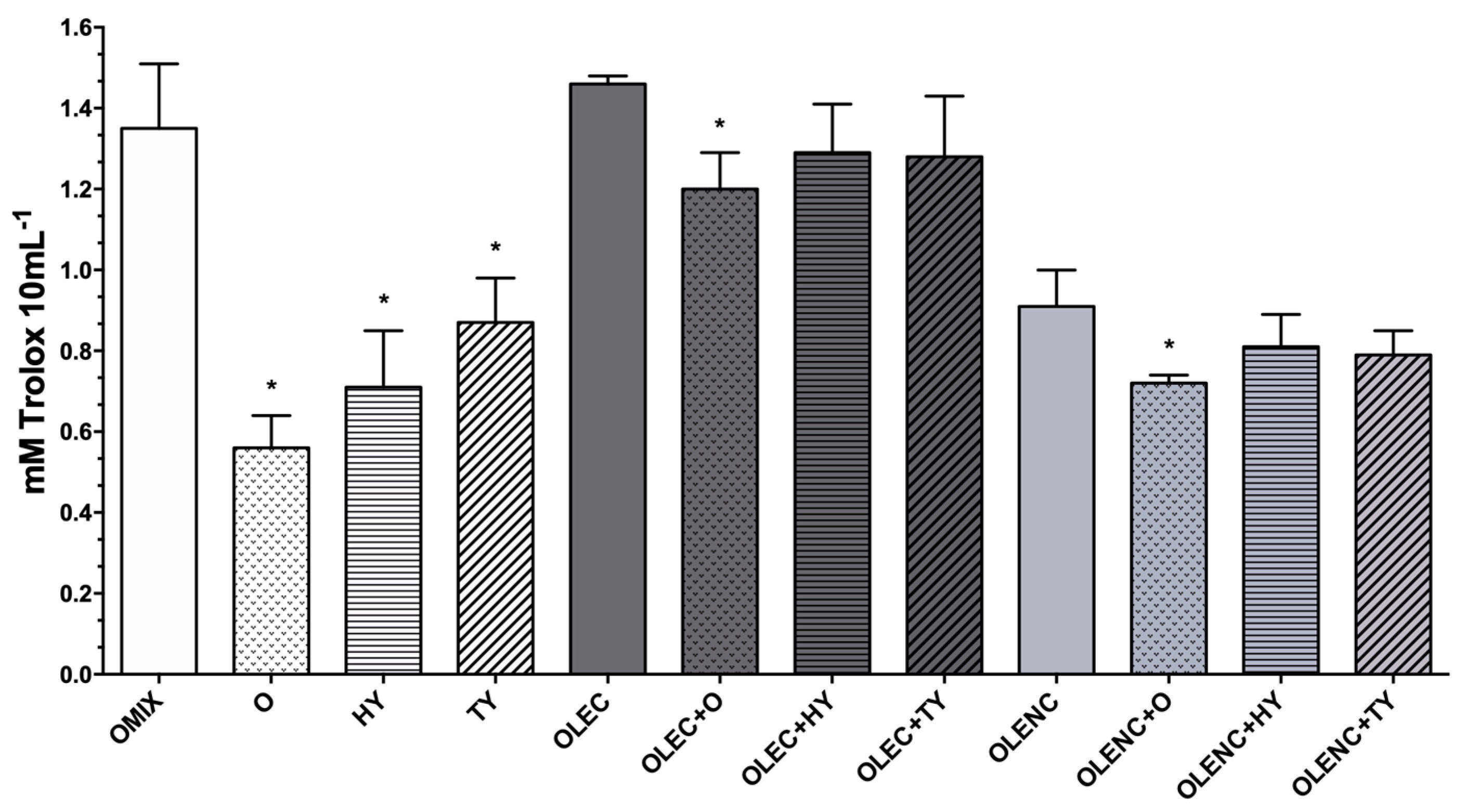
2.2. Antioxidant Properties of Extracts: Effect of Chlorophyll Pigments and Major Individual Phenolics
2.3. Anticancer Potential of Extracts: Impact of Chlorophylls and Major Individual Phenolics
3. Materials and Methods
3.1. Plant Material
3.2. Preparation of Fresh and Dechlorophyllized Extracts
3.3. Experimental Design
3.4. Identification and Quantification of Phenolic Compounds by HPLC Analysis
| Oleuropein (mg/kg) | Tyrosol (mg/kg) | Hydroxytyrosol (mg/kg) | Abbreviations | |
|---|---|---|---|---|
| Multi-standard | 2000 | 2000 | 2000 | OMIX |
| Individual standards | 2000 | - | - | O |
| - | 2000 | - | TY | |
| - | - | 2000 | HY | |
| Fresh extract | - | - | - | OLEC |
| 2000 | - | - | OLEC + O | |
| - | 2000 | - | OLEC + TY | |
| - | - | 2000 | OLEC + HY | |
| Purified extract | - | - | - | OLENC |
| 2000 | - | - | OLENC + O | |
| - | 2000 | - | OLENC + TY | |
| - | - | 2000 | OLENC + HY |
3.5. Measurement of OLE and GTE’s Antioxidant Activities
3.6. Cell Culture and Determination of Anticancer Potential
| Caffeine (mg/kg) | Gallocatechin (mg/kg) | Epigallocatechin (mg/kg) | Epigallocatechin Gallate (mg/kg) | Gallocatechin Gallate (mg/kg) | Abbreviations | |
|---|---|---|---|---|---|---|
| Multi-standard | 2000 | 2000 | 2000 | 2000 | 2000 | TMIX |
| Individual standards | 2000 | - | - | - | - | CA |
| - | 2000 | - | - | - | GC | |
| - | - | 2000 | - | - | EGC | |
| - | - | - | 2000 | - | EGCG | |
| - | - | - | - | 2000 | GCG | |
| Fresh extract | - | - | - | - | - | GTEC |
| 2000 | - | - | - | - | GTEC + CA | |
| - | 2000 | - | - | - | GTEC + GC | |
| - | - | 2000 | - | - | GTEC + EGC | |
| - | - | - | 2000 | - | GTEC + EGCG | |
| - | - | - | - | 2000 | GTEC + GCG | |
| Purified extract | - | - | - | - | - | GTENC |
| 2000 | - | - | - | - | GTENC + CA | |
| - | 2000 | - | - | - | GTENC + GC | |
| - | - | 2000 | - | - | GTENC + EGC | |
| - | - | - | 2000 | - | GTENC + EGCG | |
| - | - | - | - | 2000 | GTENC + GCG |
3.7. Statistical Analysis
4. Conclusions
Author Contributions
Funding
Institutional Review Board Statement
Informed Consent Statement
Data Availability Statement
Conflicts of Interest
References
- Balasundram, N.; Sundram, K.; Samman, S. Phenolic compounds in plants and agri-industrial by-products: Antioxidant activity, occurrence, and potential uses. Food Chem. 2006, 99, 191–203. [Google Scholar] [CrossRef]
- Van’t Veer, P.; Jansen, M.C.; Klerk, M.; Kok, F.J. Fruits and vegetables in the prevention of cancer and cardiovascular disease. Public Health Nutr. 2000, 3, 103–107. [Google Scholar] [CrossRef] [PubMed]
- Moon, Y.J.; Wang, X.; Morris, M.E. Dietary flavonoids: Effects on xenobiotic and carcinogen metabolism. Toxicol. Vitr. 2006, 20, 187–210. [Google Scholar] [CrossRef] [PubMed]
- Kris-Etherton, P.M.; Hecker, K.D.; Bonanome, A.; Coval, S.M.; Binkoski, A.E.; Hilpert, K.F.; Griel, A.E.; Etherton, T.D. Bioactive compounds in foods: Their role in the prevention of cardiovascular disease and cancer. Am. J. Med. 2002, 113, 71–88. [Google Scholar] [CrossRef] [PubMed]
- Dintcheva, N.T.; Arrigo, R.; Baiamonte, M.; Rizzarelli, P.; Curcuruto, G. Concentration-dependent anti-/pro-oxidant activity of natural phenolic compounds in bio-polyesters. Polym. Degrad. Stab. 2017, 142, 21–28. [Google Scholar] [CrossRef]
- Rusak, G.; Komes, D.; Likić, S.; Horžić, D.; Kovač, M. Phenolic content and antioxidative capacity of green and white tea extracts depending on extraction conditions and the solvent used. Food Chem. 2008, 110, 852–858. [Google Scholar] [CrossRef]
- Talhaoui, N.; Taamalli, A.; Gómez-Caravaca, A.M.; Fernández-Gutiérrez, A.; Segura-Carretero, A. Phenolic compounds in olive leaves: Analytical determination, biotic and abiotic influence, and health benefits. Food Res. Int. 2015, 77, 92–108. [Google Scholar] [CrossRef]
- Škerget, M.; Kotnik, P.; Hadolin, M.; Hraš, A.R.; Simonič, M.; Knez, Ž. Phenols, proanthocyanidins, flavones and flavonols in some plant materials and their antioxidant activities. Food Chem. 2005, 89, 191–198. [Google Scholar] [CrossRef]
- Micol, V.; Caturla, N.; Pérez-Fons, L.; Más, V.; Pérez, L.; Estepa, A. The olive leaf extract exhibits antiviral activity against viral haemorrhagic septicaemia rhabdovirus (VHSV). Antivir. Res. 2005, 66, 129–136. [Google Scholar] [CrossRef]
- Sudjana, A.N.; D’Orazio, C.; Ryan, V.; Rasool, N.; Ng, J.; Islam, N.; Riley, T.V.; Hammer, K.A. Antimicrobial activity of commercial Olea europaea (olive) leaf extract. Int. J. Antimicrob. Agents 2009, 33, 461–463. [Google Scholar] [CrossRef]
- Han, J.; Talorete, T.P.N.; Yamada, P.; Isoda, H. Anti-proliferative and apoptotic effects of oleuropein and hydroxytyrosol on human breast cancer MCF-7 cells. Cytotechnology 2009, 59, 45–53. [Google Scholar] [CrossRef] [PubMed]
- Nishitani, E.; Sagesaka, Y.M. Simultaneous determination of catechins, caffeine and other phenolic compounds in tea using new HPLC method. J. Food Compos. Anal. 2004, 17, 675–685. [Google Scholar] [CrossRef]
- Fujiki, H.; Sueoka, E.; Watanabe, T.; Suganuma, M. Synergistic enhancement of anticancer effects on numerous human cancer cell lines treated with the combination of EGCG, other green tea catechins, and anticancer compounds. J. Cancer Res. Clin. Oncol. 2015, 141, 1511–1522. [Google Scholar] [CrossRef] [PubMed]
- Suganuma, M.; Okabe, S.; Kai, Y.; Sueoka, N.; Sueoka, E.; Fujiki, H. Synergistic effects of (-)-epigallocatechin gallate with (-)-epicatechin, sulindac, or tamoxifen on cancer-preventive activity in the human lung cancer cell line PC-9. Cancer Res. 1999, 59, 44–47. [Google Scholar]
- Suganuma, M.; Saha, A.; Fujiki, H. New cancer treatment strategy using combination of green tea catechins and anticancer drugs. Cancer Sci. 2011, 102, 317–323. [Google Scholar] [CrossRef]
- Sinija, V.R.; Mishra, H.N. Green tea: Health benefits. J. Nutr. Environ. Med. 2009, 17, 232–242. [Google Scholar] [CrossRef]
- Egner, P.A.; Muñoz, A.; Kensler, T.W. Chemoprevention with chlorophyllin in individuals exposed to dietary aflatoxin. Mutat. Res.-Fundam. Mol. Mech. Mutagen. 2003, 523–524, 209–216. [Google Scholar] [CrossRef]
- Ferruzzi, M.G.; Blakeslee, J. Digestion, absorption, and cancer preventative activity of dietary chlorophyll derivatives. Nutr. Res. 2007, 27, 1–12. [Google Scholar] [CrossRef]
- Wanasundara, U.N.; Shahidi, F. Antioxidant and pro-oxidant activity of green tea extracts in marine oils. Food Chem. 1998, 63, 335–342. [Google Scholar] [CrossRef]
- Azam, S.; Hadi, N.; Khan, N.U.; Hadi, S.M. Prooxidant property of green tea polyphenols epicatechin and epigallocatechin-3-gallate: Implications for anticancer properties. Toxicol. Vitr. 2004, 18, 555–561. [Google Scholar] [CrossRef]
- Delgado-Adámez, J.; Franco Baltasar, M.N.; Ayuso Yuste, M.C.; Martín-Vertedor, D. Oxidative stability, phenolic compounds and antioxidant potential of a virgin olive oil enriched with natural bioactive compounds. J. Oleo Sci. 2014, 63, 55–65. [Google Scholar] [CrossRef]
- Japón-Luján, R.; Luque De Castro, M.D. Liquid-liquid extraction for the enrichment of edible oils with phenols from olive leaf extracts. J. Agric. Food Chem. 2008, 56, 2505–2511. [Google Scholar] [CrossRef]
- Kang, J.H.; Chung, S.T.; Go, J.H.; Row, K.H. Separation of epigallocatechin gallate from Korean green tea by RP-HPLC. J. Liq. Chromatogr. Relat. Technol. 2006, 23, 2739–2749. [Google Scholar] [CrossRef]
- Perva-Uzunalić, A.; Škerget, M.; Knez, Ž.; Weinreich, B.; Otto, F.; Grüner, S. Extraction of active ingredients from green tea (Camellia sinensis): Extraction efficiency of major catechins and caffeine. Food Chem. 2006, 96, 597–605. [Google Scholar] [CrossRef]
- Balentine, D.A.; Wiseman, S.A.; Bouwens, L.C.M. The chemistry of tea flavonoids. Crit. Rev. Food Sci. Nutr. 1997, 37, 693–704. [Google Scholar] [CrossRef]
- Vinson, J.A.; Dabbagh, Y.A.; Serry, M.M.; Jang, J. Plant flavonoids, especially tea flavonols, are powerful antioxidants using an in vitro oxidation model for heart disease. J. Agric. Food Chem. 1995, 43, 2800–2802. [Google Scholar] [CrossRef]
- Paiva-Martins, F.; Gordon, M.H. Isolation and characterization of the antioxidant component 3,4-dihydroxyphenylethyl 4-formyl-3-formylmethyl-4-hexenoate from olive (Olea europaea) leaves. J. Agric. Food Chem. 2001, 49, 4214–4219. [Google Scholar] [CrossRef] [PubMed]
- Shamshoum, H.; Vlavcheski, F.; Tsiani, E. Anticancer effects of oleuropein. Biofactors 2017, 43, 517–528. [Google Scholar] [CrossRef] [PubMed]
- Sergediene, E.; Jönsson, K.; Szymusiak, H.; Tyrakowska, B.; Rietjens, I.M.C.M.; Čenas, N. Prooxidant toxicity of polyphenolic antioxidants to HL-60 cells: Description of quantitative structure-activity relationships. FEBS Lett. 1999, 462, 392–396. [Google Scholar] [CrossRef]
- Lee, K.W.; Lee, H.J.; Lee, C.Y. Antioxidant activity of black tea vs. green tea. J. Nutr. 2002, 132, 785. [Google Scholar] [CrossRef] [PubMed]
- Forester, S.C.; Lambert, J.D. The role of antioxidant versus pro-oxidant effects of green tea polyphenols in cancer prevention. Mol. Nutr. Food Res. 2011, 55, 844–854. [Google Scholar] [CrossRef]
- Bernini, R.; Merendino, N.; Romani, A.; Velotti, F. Naturally occurring hydroxytyrosol: Synthesis and anticancer potential. Curr. Med. Chem. 2013, 20, 655–670. [Google Scholar] [CrossRef]
- Guo, W.; An, Y.; Jiang, L.; Geng, C.; Zhong, L. The protective effects of hydroxytyrosol against UVB-induced DNA damage in HaCaT cells. Phyther. Res. 2010, 24, 352–359. [Google Scholar] [CrossRef]
- Manna, C.; Galletti, P.; Cucciolla, V.; Moltedo, O.; Leone, A.; Zappia, V. The protective effect of the olive oil polyphenol (3,4-dihydroxyphenyl)-ethanol counteracts reactive oxygen metabolite-induced cytotoxicity in Caco-2 cells. J. Nutr. 1997, 127, 286–292. [Google Scholar]
- Quiles, J.L.; Farquharson, A.J.; Simpson, D.K.; Grant, I.; Wahle, K.W.J. Olive oil phenolics: Effects on DNA oxidation and redox enzyme mRNA in prostate cells. Br. J. Nutr. 2002, 88, 225–234. [Google Scholar] [CrossRef]
- Warleta, F.; Quesada, C.S.; Campos, M.; Allouche, Y.; Beltrán, G.; Gaforio, J.J. Hydroxytyrosol protects against oxidative DNA damage in human breast cells. Nutrients 2011, 3, 839–857. [Google Scholar] [CrossRef]
- Nousis, L.; Doulias, P.T.; Aligiannis, N.; Bazios, D.; Agalias, A.; Galaris, D.; Mitakou, S. DNA protecting and genotoxic effects of olive oil related components in cells exposed to hydrogen peroxide. Free Radic. Res. 2005, 39, 787–795. [Google Scholar] [CrossRef] [PubMed]
- DeFrank, J.S.; Tang, W.; Powell, S.N. p53-null cells are more sensitive to ultraviolet light only in the presence of caffeine. Cancer Res. 1996, 56, 5365–5368. [Google Scholar] [PubMed]
- Block, W.D.; Merkle, D.; Meek, K.; Lees-Miller, S.P. Selective inhibition of the DNA-dependent protein kinase (DNA-PK) by the radiosensitizing agent caffeine. Nucleic Acids Res. 2004, 32, 1967–1972. [Google Scholar] [CrossRef]
- Fujiki, H.; Suganuma, M. Green tea: An effective synergist with anticancer drugs for tertiary cancer prevention. Cancer Lett. 2012, 324, 119–125. [Google Scholar] [CrossRef] [PubMed]
- Cabrera-Bañegil, M.; Pérez-Nevado, F.; Montaño, A.; Pleite, R.; Martín-Vertedor, D. The effect of olive fruit maturation in Spanish style fermentation with a controlled temperature. LWT 2018, 91, 40–47. [Google Scholar] [CrossRef]
- Turoli, D.; Testolin, G.; Zanini, R.; Bellù, R. Determination of oxidative status in breast and formula milk. Acta Paediatr. 2004, 93, 1569–1574. [Google Scholar] [CrossRef] [PubMed]
- Gutiérrez-Tarriño, S.; Espino, J.; Luna-Giles, F.; Rodríguez, A.B.; Pariente, J.A.; Viñuelas-Zahínos, E. Synthesis, characterization and antiproliferative evaluation of pt(Ii) and pd(ii) complexes with a thiazine-pyridine derivative ligand. Pharmaceuticals 2021, 14, 395. [Google Scholar] [CrossRef] [PubMed]




Disclaimer/Publisher’s Note: The statements, opinions and data contained in all publications are solely those of the individual author(s) and contributor(s) and not of MDPI and/or the editor(s). MDPI and/or the editor(s) disclaim responsibility for any injury to people or property resulting from any ideas, methods, instructions or products referred to in the content. |
© 2023 by the authors. Licensee MDPI, Basel, Switzerland. This article is an open access article distributed under the terms and conditions of the Creative Commons Attribution (CC BY) license (https://creativecommons.org/licenses/by/4.0/).
Share and Cite
Uğuz, A.C.; Rocha-Pimienta, J.; Martillanes, S.; Garrido, M.; Espino, J.; Delgado-Adámez, J. Chlorophyll Pigments of Olive Leaves and Green Tea Extracts Differentially Affect Their Antioxidant and Anticancer Properties. Molecules 2023, 28, 2779. https://doi.org/10.3390/molecules28062779
Uğuz AC, Rocha-Pimienta J, Martillanes S, Garrido M, Espino J, Delgado-Adámez J. Chlorophyll Pigments of Olive Leaves and Green Tea Extracts Differentially Affect Their Antioxidant and Anticancer Properties. Molecules. 2023; 28(6):2779. https://doi.org/10.3390/molecules28062779
Chicago/Turabian StyleUğuz, Abdülhadi Cihangir, Javier Rocha-Pimienta, Sara Martillanes, María Garrido, Javier Espino, and Jonathan Delgado-Adámez. 2023. "Chlorophyll Pigments of Olive Leaves and Green Tea Extracts Differentially Affect Their Antioxidant and Anticancer Properties" Molecules 28, no. 6: 2779. https://doi.org/10.3390/molecules28062779
APA StyleUğuz, A. C., Rocha-Pimienta, J., Martillanes, S., Garrido, M., Espino, J., & Delgado-Adámez, J. (2023). Chlorophyll Pigments of Olive Leaves and Green Tea Extracts Differentially Affect Their Antioxidant and Anticancer Properties. Molecules, 28(6), 2779. https://doi.org/10.3390/molecules28062779

