Feasibility Study to Byproduce Medical Radioisotopes in a Fusion Reactor
Abstract
1. Introduction
2. Results and Discussion
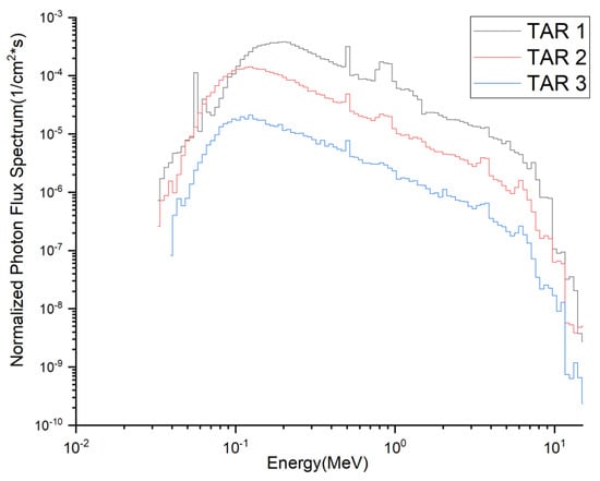
2.1. Results
2.2. Discussion
2.2.1. 14C
2.2.2. 89Sr
2.2.3. 32P
2.2.4. 64Cu, 67Cu
2.2.5. 99Mo
3. Materials and Methods
3.1. Principle of Reaction
- reaction: Target nucleus captures a neutron and becomes a nucleus in an excited state , which is immediately deexcited to return to the ground state, accompanied by the release of gamma rays.
- reaction: The target nucleus captures a neutron and immediately releases a proton, and the target nucleus and the daughter nucleus no longer belong to the same chemical element. In general, the (n, p) reaction requires high neutron energy and has a reaction threshold, but there are special cases, such as 14N(n,p)14C, whose reaction cross-section is high in the thermal neutron energy range [8].
- reaction: Fast neutron interaction via the inelastic reaction. Usually, has a reaction energy threshold.
- reaction: Neutron photo-production. Usually, has a reaction energy threshold.
3.2. Computational Models and Simulation Tools
4. Summary
Author Contributions
Funding
Institutional Review Board Statement
Informed Consent Statement
Data Availability Statement
Conflicts of Interest
References
- Cherry, S.R.; Sorenson, J.A.; Phelps, M.E. Physics in Nuclear Medicine E-Book; Elsevier Health Sciences: Philadelphia, PA, USA, 2012. [Google Scholar]
- Medium and Long-Term Development Plan for Medical Isotopes (2021–2035). 2021. Available online: https://www.ccnta.cn/article/6220.html (accessed on 5 July 2022).
- Hu, J.; Li, H.; Sui, Y.; Du, J. Current status and future perspective of radiopharmaceuticals in China. Eur. J. Nucl. Med. Mol. Imaging 2022, 49, 2514–2530. [Google Scholar] [CrossRef] [PubMed]
- Ziwei, L.I.; Yuncheng, H.; Xiaoyu, W.; Jiachen, Z.; Yongfeng, W.; Qunying, H. Production Status and Technical Prospects of Medical Radioisotope 99 Mo/99 m Tc. Nucl. Phys. Rev. 2019, 36, 170–183. [Google Scholar]
- Hua-ming, Z.; Shun-zhong, L.; Guo-ping, L.; Zheng-kun, Z. Isotope technologies in INPC: State of the art and perspective. J. Isot. 2011, 24 (Supplement), 116. [Google Scholar]
- Wu, H.S.; Zhao, H. Medical Isotope Supplies Face Transportation and Distribution Challenges Due to Covid 19. Foreign Nucl. News 2020, 12. (In Chinese) [Google Scholar]
- Windridge, M. Smaller and quicker with spherical tokamaks and high-temperature superconductors. Philos. Trans. R. Soc. A 2019, 377, 20170438. [Google Scholar] [CrossRef] [PubMed]
- Peng, S.; Yang, Y.; Xie, X.; Qian, D. Current status and prospects of reactor produced medical radioisotopes in China. Chin. Sci. Bull. 2020, 65, 3526–3537. [Google Scholar] [CrossRef]
- Jambi, L.K. Systematic Review and Meta-Analysis on the Sensitivity and Specificity of 13C/14C-Urea Breath Tests in the Diagnosis of Helicobacter pylori Infection. Diagnostics 2022, 12, 2428. [Google Scholar] [CrossRef]
- Liu, S.; Sun, Y.; Ma, L.; Yang, B. Estimation of carbon-14 production in HFETR. Nucl. Power Eng. 2014, 35, 178–180. [Google Scholar]
- Giammarile, F.; Mognetti, T.; Resche, I. Bone pain palliation with strontium-89 in cancer patients with bone metastases. Q. J. Nucl. Med. Mol. Imaging 2001, 45, 78. [Google Scholar]
- Ning, L.; Junjie, Z.; Yunming, C.; Zhizhong, S.; Jinsong, Z.; Banghong, L.; Yin, H.; Bin, L.; Jun, Z.; Xiaobing, W. Preparation of High Specific Activity Strontium-89 Solution in High Flux Engineering Test Reactor. J. Isot. 2018, 32, 7. [Google Scholar]
- Saha, D.; Vithya, J.; Kumar, G.; Swaminathan, K.; Kumar, R.; Subramani, C.V.; Rao, P.V. Feasibility studies for production of 89Sr in the Fast Breeder Test Reactor (FBTR). Radiochim. Acta 2013, 101, 667–673. [Google Scholar] [CrossRef]
- Kayurin, O.Y.; Nerozin, N.A.; Pavlovich, V.B.; Smetanin, E.Y.; Tkachev, S.V.; Shapovalov, V.V. Preparation of high-specific-activity 89Sr. Radiochemistry 2002, 44, 282–283. [Google Scholar] [CrossRef]
- Chen, X.; Yang, J.; Chen, X. Feasibility research on radioisotope production in China experimental fast reactor. At. Energy Sci. Technol. 2014, 48, 746. [Google Scholar]
- Dash, A.; Das, T.; Knapp, F.F.R. Targeted radionuclide therapy of painful bone metastases: Past developments, current status, recent advances and future directions. Curr. Med. Chem. 2020, 27, 3187–3249. [Google Scholar] [CrossRef]
- Zhizhong, S.; Yunming, C.; Ning, L.; Bing, L.; Jinsong, Z.; Banghong, L.; Xiangbo, G. Preparation of Sodium Phosphate [32P] Solution via 31P (n, γ) 32P. J. Isot. 2019, 32, 1. [Google Scholar]
- Vimalnath, K.V.; Shetty, P.; Rajeswari, A.; Chirayil, V.; Chakraborty, S.; Dash, A. Reactor production of 32P for medical applications: An assessment of 32S (n, p) 32P and 31P (n, γ) 32P methods. J. Radioanal. Nucl. Chem. 2014, 301, 555–565. [Google Scholar] [CrossRef]
- Mou, L.; Martini, P.; Pupillo, G.; Cieszykowska, I.; Cutler, C.S.; Mikołajczak, R. 67Cu production capabilities: A mini review. Molecules 2022, 27, 1501. [Google Scholar] [CrossRef]
- Avila-Rodriguez, M.A.; Nye, J.A.; Nickles, R.J. Simultaneous production of high specific activity 64Cu and 61Co with 11.4 MeV protons on enriched 64Ni nuclei. Appl. Radiat. Isot. 2007, 65, 1115–1120. [Google Scholar] [CrossRef]
- Spahn, I.; Coenen, H.H.; Qaim, S.M. Enhanced production possibility of the therapeutic radionuclides 64Cu, 67Cu and 89Sr via (n, p) reactions induced by fast spectral neutrons. Radiochim. Acta 2004, 92, 183–186. [Google Scholar] [CrossRef]
- Nagai, Y.; Hatsukawa, Y. Production of 99Mo for nuclear medicine by 100Mo (n, 2n) 99Mo. J. Phys. Soc. Jpn. 2009, 78, 33201. [Google Scholar] [CrossRef]
- Tsechanski, A.; Bielajew, A.F.; Archambault, J.P.; Mainegra-Hing, E. Electron accelerator-based production of molybdenum-99: Bremsstrahlung and photoneutron generation from molybdenum vs. tungsten. Nucl. Instrum. Methods Phys. Res. Sect. B Beam Interact. Mater. At. 2016, 366, 124–139. [Google Scholar] [CrossRef]
- Wang, J.; Gao, R.; Huang, Q.; Yin, X.; Lin, M.; Cao, S.; Chen, D.; Fan, F.; Wu, X.; Qin, Z.; et al. Practicality of hierarchically macro/mesoporous γ-Al2O3 as a promising sorbent in the preparation of low specific activity 99Mo/99mTc generator. Appl. Radiat. Isot. 2021, 178, 109986. [Google Scholar] [CrossRef] [PubMed]
- Zhuang, G.; Li, G.Q.; Li, J.; Wan, Y.X.; Liu, Y.; Wang, X.L.; Song, Y.T.; Chan, V.; Yang, Q.W.; Xiao, B.J. Progress of the CFETR design. Nucl. Fusion 2019, 59, 112010. [Google Scholar] [CrossRef]
- Wan, Y.; Li, J.; Liu, Y.; Wang, X.; Chan, V.; Chen, C.; Duan, X.; Fu, P.; Gao, X.; Feng, K. Overview of the present progress and activities on the CFETR. Nucl. Fusion 2017, 57, 102009. [Google Scholar] [CrossRef]
- Fluka Manual. Available online: https://flukafiles.web.cern.ch/manual/index.html (accessed on 1 February 2023).



| Target | Yields (GBq/g) | |||||||
|---|---|---|---|---|---|---|---|---|
| 14C | 99Mo | 88Sr(n, γ)89Sr | 89Y(n, p)89Sr | 31P(n, γ)32P | 32S(n, p)32P | 64Cu | 67Cu | |
| TAR 1 | 3.21 × 10−2 | 2.92 × 102 | 1.16 × 101 | 1.28 × 101 | 3.12 × 101 | 7.72 × 102 | 8.95 × 101 | 1.92 |
| TAR 2 | 4.58 × 10−3 | 5.46 × 101 | 1.85 | 7.51 × 10−1 | 5.53 | 8.49 × 101 | 8.81 | 1.11 × 10−1 |
| TAR 3 | 2.79 × 10−4 | 2.19 | 7.37 × 10−2 | 4.47 × 10−2 | 3.62 × 10−1 | 7.39 | 6.79 × 10−1 | 5.61 × 10−3 |
| Target | 14C Yields (Bq/g AlN) | |||
|---|---|---|---|---|
| 1 d | 28 d | 1 Year | 10 Years | |
| TAR 1 | 8.80 × 104 | 2.46 × 106 | 3.21 × 107 | 3.20 × 108 |
| TAR 2 | 1.25 × 104 | 3.51 × 105 | 4.58 × 106 | 4.62 × 107 |
| TAR 3 | 7.62 × 102 | 2.14 × 104 | 2.79 × 105 | 2.62 × 106 |
| Target | 89Sr Yields (GBq/g Y2O3) | |||||
|---|---|---|---|---|---|---|
| 30 d | 50 d | 100 d | 150 d | 200 d | 365 d | |
| TAR 1 | 4.44 | 6.40 | 1.06 × 101 | 1.07 × 101 | 1.08 × 101 | 1.28 × 101 |
| TAR 2 | 2.28 × 10−1 | 3.66 × 10−1 | 5.74 × 10−1 | 5.88 × 10−1 | 5.88 × 10−1 | 7.51 × 10−1 |
| TAR 3 | 9.73 × 10−3 | 2.27 × 10−2 | 3.81 × 10−2 | 3.92 × 10−2 | 3.92 × 10−2 | 4.48 × 10−2 |
| Target | 32P Yields (GBq/g natS) | |||
|---|---|---|---|---|
| 30 d | 60 d | 90 d | 365 d | |
| TAR 1 | 5.88 × 102 | 7.25 × 102 | 7.55 × 102 | 7.73 × 102 |
| TAR 2 | 6.44 × 101 | 7.96 × 101 | 8.29 × 101 | 8.29 × 101 |
| TAR 3 | 5.29 | 6.51 | 6.81 | 6.99 |
| Target | 99Mo Yields(GBq/g natMo) | |||
|---|---|---|---|---|
| 1 d | 8 d | 21 d | 365 d | |
| TAR 1 | 6.56 × 101 | 2.55 × 102 | 2.92 × 102 | 2.94 × 102 |
| TAR 2 | 1.22 × 101 | 4.77 × 101 | 5.46 × 101 | 5.49 × 101 |
| TAR 3 | 4.90 × 10−1 | 1.91 | 2.19 | 2.19 |
| Target | 99Mo Yields (GBq/g) | ||
|---|---|---|---|
| natMo | 100Mo (100%) | 98Mo (100%) | |
| TAR 1 | 2.92 × 102 | 9.10 × 102 | 7.74 × 102 |
| TAR 2 | 5.46 × 101 | 4.96 × 101 | 1.88 × 102 |
| TAR 3 | 2.19 | 3.59 | 6.81 |
| Nuclide | Decay Mode | Reaction Channel | Threshold (Yes/No) | Target Material | Application |
|---|---|---|---|---|---|
| 14C | β− | 14N(n, p) 14C | No | AlN | Testing for H.Pylori (Hp) |
| 89Sr | β− | 88Sr(n, γ) 89Sr | No | SrCO3 | Therapeutic radionuclides |
| 89Y(n, p)89Sr | Yes (720 keV) | Y2O3 | |||
| 32P | β− | 31P (n, γ) 32P 32S (n, p) 32P | No | natP | Therapeutic radionuclides |
| Yes (957 keV) | natS | ||||
| 67Cu | β− | 67Zn(n, p) 67Cu | Yes (3.0 MeV) | natZnO | Novel Targeted Therapeutic radionuclides |
| 64Cu | β+, (β−, EC) | 64Zn(n, p)64Cu | Yes (0.9 MeV) | natZnO | PET imaging, Immunotherapy |
| 99Mo | β− | 98Mo(n, γ) 99Mo | No | natMo Enriched-Mo | Mo-Tc generator |
| 100Mo(n, 2n) 99Mo | Yes (8.4 MeV) | ||||
| 100Mo(γ, n) 99Mo | Yes (9.1 MeV) |
| ID | Inner Radius (cm) | Outer Radius (cm) | Zone Name | Mat. Vol. Ratio (%) |
|---|---|---|---|---|
| 1 | 370 | 410 | I.B. | Be12Ti (65.6), Li2TiO3(14.4) |
| 2 | 410 | 730 | Plasma | vacuum |
| 3 | 730 | 733 | First wall | EUROFER (60), vapour (40) |
| 4 | 733 | 734 | TAR 1 | - |
| 5 | 734 | 762 | O.B. 1 | Be12Ti (65.6), Li2TiO3(14.4) |
| 6 | 762 | 763 | TAR 2 | - |
| 7 | 763 | 790 | O.B. 2 | Be12Ti (65.6), Li2TiO3(14.4) |
| 8 | 790 | 791 | TAR. 3 | - |
| Zone | Φn (n/cm2.s) | (MeV) | Φp (p/cm2.s) | (MeV) |
|---|---|---|---|---|
| TAR 1 | 5.17 × 1014 | 2.73 | 1.86 × 1014 | 1.18 |
| TAR 2 | 8.24 × 1013 | 4.37 × 10−1 | 4.45 × 1013 | 1.44 |
| TAR 3 | 5.39 × 1012 | 6.44 × 10−1 | 7.02 × 1012 | 1.58 |
| Nuclide | T1/2 | CFETR | Other Reactors or Accelerators | |||
|---|---|---|---|---|---|---|
| Irradiation Time | Typical Yields (GBq/g) | Typical Yields (GBq/g) | Irradiation Parameter | Reactor (N_flux n/cm2·s) or Accelerator (Beam Parameters) | ||
| 14C | 5730a | 28 d | 2.46 × 10−3 | 3.85 × 10−2 | 28 d | HFETR (1.1 × 1014) |
| 365 d | 3.21 × 10−2 | 5.00 × 10−1 | 365 d | |||
| 89Sr | 50.5 d | 30 d | 4.44 | 4.07 × 10−1 | 30 d | FBTR (2.45 × 1015) |
| 200 d | 1.08 × 101 | 7.03 × 10−1 | 180 d | CEFR (2.5 × 1015) | ||
| 32P | 14.3 d | 90 d | 7.55 × 102 | 4.85 × 102 | 80 d | CEFR (2.5 × 1015) |
| 28 d | 1.00 × 101 | 2.92 × 101 | 28 d | HFETR (1.1 × 1014) | ||
| 64Cu | 12.7 h | 3 d | 8.95 × 101(natZnO) 2.14 × 102 (Enriched- 64Zn) | 5.90 × 102 (Enriched- 64Ni) | 8 h | Low-energy proton cyclotron (11.4 MeV, 30 μA) |
| 67Cu | 2.58 d | 10 d | 1.92 (natZnO) 4.05 × 101 (Enriched- 67Zn) | 3.80 (Enriched-67Zn) | 24 h | Medium-energy proton cyclotron (70.0 MeV, 30 μA) |
| 1.13 (Enriched- 68Zn) | 53.5 h | 40 MeV e-LINAC | ||||
| 99Mo | 66 h | 8 d | 2.34 × 102 (natMo) | 5.44 × 101 (natMo) | 8 d | HFETR (1.1 × 1014) |
| 6.19 × 102 (Enriched-98Mo) | 2.04 × 102 (Enriched-98Mo) | |||||
| 8.36 × 102 (Enriched-100Mo) | 1.48 × 102 (Enriched-98Mo) | 24 h | Electron accelerator (60 MeV, 2 mA) | |||
Disclaimer/Publisher’s Note: The statements, opinions and data contained in all publications are solely those of the individual author(s) and contributor(s) and not of MDPI and/or the editor(s). MDPI and/or the editor(s) disclaim responsibility for any injury to people or property resulting from any ideas, methods, instructions or products referred to in the content. |
© 2023 by the authors. Licensee MDPI, Basel, Switzerland. This article is an open access article distributed under the terms and conditions of the Creative Commons Attribution (CC BY) license (https://creativecommons.org/licenses/by/4.0/).
Share and Cite
Li, J.; Zheng, S. Feasibility Study to Byproduce Medical Radioisotopes in a Fusion Reactor. Molecules 2023, 28, 2040. https://doi.org/10.3390/molecules28052040
Li J, Zheng S. Feasibility Study to Byproduce Medical Radioisotopes in a Fusion Reactor. Molecules. 2023; 28(5):2040. https://doi.org/10.3390/molecules28052040
Chicago/Turabian StyleLi, Jia, and Shanliang Zheng. 2023. "Feasibility Study to Byproduce Medical Radioisotopes in a Fusion Reactor" Molecules 28, no. 5: 2040. https://doi.org/10.3390/molecules28052040
APA StyleLi, J., & Zheng, S. (2023). Feasibility Study to Byproduce Medical Radioisotopes in a Fusion Reactor. Molecules, 28(5), 2040. https://doi.org/10.3390/molecules28052040
