Efficient Adsorption and Electrochemical Detection of Cd2+ with a Ternary MgZnFe-Layered Double Hydroxides Engineered Porous Biochar Composite
Abstract
:1. Introduction
2. Results and Discussion
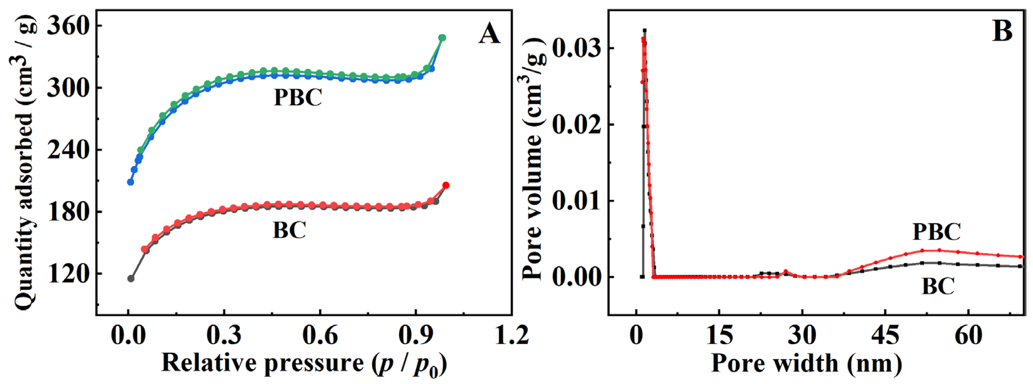
2.1. Morphological Characterizations
2.2. Adsorption Studies
2.2.1. Adsorption Isotherms
| Adsorbents | Adsorption Capacity (mg/g) | Ref. |
|---|---|---|
| CS a/MgAl-LDH | 140.8 | [22] |
| Fe/Mn-BMBCs b | 138.2 | [23] |
| HA c/MgAl-LDH | 155.3 | [24] |
| Fe3O4@NiAl-LDH@guargum | 258 | [25] |
| MgFe-LDHs | 183 | This work |
| MgFe-LDHs | 129.4 | This work |
| MgZnFe-LDHs | 256.6 | This work |
| MgZnFe-LDHs/PBC | 290.3 | This work |
2.2.2. Adsorption Kinetics
2.3. Electrochemical Characterizations
2.4. Electrochemical Behaviors of Cd2+ on Various Electrodes
2.5. Optimization of Experimental Parameters
2.6. Electrochemical Detection of Cd2+ with MgZnFe-LDHs/PBC/GCE
2.7. Repeatability, Reproducibility, and Selectivity
2.8. Practical Application
3. Experimental Section
3.1. Reagents and Instruments
3.2. Preparation of MgZnFe-LDHs/PBC
3.3. Preparation of Modified Electrode
4. Conclusions
Author Contributions
Funding
Institutional Review Board Statement
Informed Consent Statement
Data Availability Statement
Conflicts of Interest
References
- Sacara, A.-M.; Pitzalis, F.; Salis, A.; Turdean, G.L.; Muresan, L.M. Glassy carbon electrodes modified with ordered mesoporous silica for the electrochemical detection of cadmium ions. ACS Omega 2019, 4, 1410–1415. [Google Scholar] [CrossRef]
- Yao, Y.; Wu, H.; Ping, J. Simultaneous determination of Cd(II) and Pb(II) ions in honey and milk samples using a single-walled carbon nanohorns modified screen-printed electrochemical sensor. Food Chem. 2019, 274, 8–15. [Google Scholar] [CrossRef] [PubMed]
- Pourbasheer, E.; Morsali, S.; Azari, Z.; Karimi, M.A.; Ganjali, M.R. Design of a novel optical sensor for determination of trace amounts of copper by uv–visible spectrophotometry in real samples. Appl. Organomet. Chem. 2017, 32, 4110–4117. [Google Scholar] [CrossRef]
- Li, W.; Hu, X.; Li, Q.; Shi, Y.; Zhai, X.; Xu, Y.; Li, Z.; Huang, X.; Wang, X.; Shi, J.; et al. Copper nanoclusters @ nitrogen-doped carbon quantum dots-based ratiometric fluorescence probe for lead(II) ions detection in porphyra. Food Chem. 2020, 320, 126623. [Google Scholar] [CrossRef] [PubMed]
- Zhang, W.; Liu, C.; Liu, F.; Zou, X.; Xu, Y.; Xu, X. A smart-phone-based electrochemical platform with programmable solid-state-microwave flow digestion for determination of heavy metals in liquid food. Food Chem. 2020, 303, 125378. [Google Scholar] [CrossRef]
- Badmus, S.O.; Oyehan, T.A.; Saleh, T.A. Enhanced efficiency of polyamide membranes by incorporating cyclodextrin-graphene oxide for water purification. J. Mol. Liq. 2021, 340, 116991. [Google Scholar] [CrossRef]
- Hashem, A.; Fletcher, A.J.; Younis, H.; Mauof, H.; Abou-Okeil, A. Adsorption of Pb(II) ions from contaminated water by 1,2,3,4-butanetetracarboxylic acid-modified microcrystalline cellulose: Isotherms, kinetics, and thermodynamic studies. Int. J. Boil. Macromol. 2020, 164, 3193–3203. [Google Scholar] [CrossRef]
- Su, X.; Chen, Y.; Li, Y.; Li, J.; Song, W.; Li, X.; Yan, L. Enhanced adsorption of aqueous Pb(II) and Cu(II) by biochar loaded with layered double hydroxide: Crucial role of mineral precipitation. J. Mol. Liq. 2022, 357, 119083. [Google Scholar] [CrossRef]
- Kazeem, T.S.; Zubair, M.; Daud, M.; Al-Harthi, M.A. Enhanced Removal of Eriochrome Black T Using Graphene/NiMgAl-Layered Hydroxides: Isotherm, Kinetic, and Thermodynamic Studies. Arab. J. Sci. Eng. 2020, 45, 7175–7189. [Google Scholar] [CrossRef]
- Rohit, R.C.; Jagadale, A.D.; Shinde, S.K.; Kim, D.-Y. A review on electrodeposited layered double hydroxides for energy and environmental applications. Mater. Today Commun. 2021, 27, 102275. [Google Scholar] [CrossRef]
- Li, X.; Shi, Z.; Zhang, J.; Gan, T.; Xiao, Z. Aqueous Cr (VI) removal performance of an invasive plant-derived biochar modified by Mg/Al-layered double hydroxides. Colloid Interface Sci. Commun. 2023, 53, 100700. [Google Scholar] [CrossRef]
- Xing, J.; Du, J.; Zhang, X.; Shao, Y.; Zhang, T.; Xu, C. A Ni-P@NiCo LDH core–shell nanorod-decorated nickel foam with enhanced areal specific capacitance for high-performance supercapacitors. Dalton Trans. 2017, 46, 10064–10072. [Google Scholar] [CrossRef] [PubMed]
- Huang, Y.X.; Liu, C.M.; Qin, L.T.; Xie, M.Q.; Xu, Z.J.; Yu, Y.K. Efficient Adsorption Capacity of MgFe-Layered Double Hydroxide Loaded on Pomelo Peel Biochar for Cd(II) from Aqueous Solutions: Adsorption Behaviour and Mechanism. Molecules 2023, 28, 4538. [Google Scholar] [CrossRef] [PubMed]
- Zou, J.; Liu, J.; Yu, Q.; Gao, Y.; Chen, S.; Huang, X.; Hu, D.; Liu, S.; Lu, L. Facile Synthesis of Nitrogen Self-Doped Porous Carbon Derived from Cicada Shell via KOH Activation for Simultaneous Detection and Removal of Cu2+. Molecules 2022, 27, 4516. [Google Scholar] [CrossRef] [PubMed]
- Zhu, X.; Liu, B.; Chen, S.; Wu, L.; Yang, J.; Liang, S.; Xiao, K.; Hu, J.; Hou, H. Ultrasensitive and Simultaneous Electrochemical Determination of Pb2+ and Cd2+ Based on Biomass Derived Lotus Root-Like Hierarchical Porous Carbon/Bismuth Composite. J. Electrochem. Soc. 2020, 167, 87505. [Google Scholar] [CrossRef]
- Matusik, J.; Rybka, K. Removal of chromates and sulphates by Mg/Fe LDH and heterostructured LDH/halloysite materials: Efficiency, selectivity, and stability of adsorbents in single and multi-element systems. Materials 2019, 12, 1373. [Google Scholar] [CrossRef]
- Senol, Z.M.; Şimşek, S. Insights into Effective Adsorption of Lead ions from Aqueous Solutions by Using Chitosan-Bentonite Composite Beads. J. Polym. Environ. 2022, 30, 3677–3687. [Google Scholar] [CrossRef]
- Foo, K.Y.; Hameed, B.H. Insights into the modeling of adsorption isotherm systems. Chem. Eng. J. 2010, 156, 2–10. [Google Scholar] [CrossRef]
- Zhou, Q.; Liao, B.; Lin, L.; Qiu, W.; Song, Z. Adsorption of Cu(II) and Cd(II) from aqueous solutions by ferromanganese binary oxide–biochar composites. Sci. Total Environ. 2018, 615, 115–122. [Google Scholar] [CrossRef]
- Parmanbek, N.; Sütekin, D.S.; Barsbay, M.; Mashentseva, A.A.; Zheltov, D.A.; Aimanova, N.A.; Jakupova, Z.Y.; Zdorovets, M.V. Hybrid PET Track-Etched Membranes Grafted by Well-Defined Poly(2-(dimethylamino)ethyl methacrylate) Brushes and Loaded with Silver Nanoparticles for the Removal of As(III). Polymers 2022, 14, 4026. [Google Scholar] [CrossRef]
- Mashentseva, A.A.; Aimanova, N.A.; Parmanbek, N.; Temirgaziyev, B.S.; Barsbay, M.; Zdorovets, M.V. Serratula coronata L. Mediated Synthesis of ZnO Nanoparticles and Their Application for the Removal of Alizarin Yellow R by Photocatalytic Degradation and Adsorption. Nanomaterials 2022, 12, 3293. [Google Scholar] [CrossRef] [PubMed]
- Lyu, F.; Yu, H.; Hou, T.; Yan, L.; Zhang, X.; Du, B. Efficient and fast removal of Pb2+ and Cd2+ from an aqueous solution using a chitosan/Mg-Al-layered double hydroxide nanocomposite. J. Colloid Interface Sci. 2019, 539, 184–193. [Google Scholar] [CrossRef] [PubMed]
- Qu, J.; Che, N.; Niu, G.; Liu, L.; Li, C.; Liu, Y. Iron/manganese binary metal oxide-biochar nano-composites with high adsorption capacities of Cd2+: Preparation and adsorption mechanisms. J. Water Process Eng. 2023, 51, 103332. [Google Scholar] [CrossRef]
- Shi, M.; Zhao, Z.Y.; Song, Y.R.; Xu, M.M.; Li, J.; Yao, L.W. A novel heat-treated humic acid/MgAl-layered double hydroxide composite for efficient removal of cadmium: Fabrication, performance and mechanisms. Appl. Clay Sci. 2020, 187, 105482. [Google Scholar] [CrossRef]
- Shan, R.; Yan, L.; Yang, K.; Hao, Y.; Du, B. Adsorption of Cd (II) by Mg-Al-CO3 and magnetic Fe3O4/Mg-Al-CO3 layered double hydroxides: Kinetic, isothermal, thermodynamic and mechanistic studies. J. Hazard. Mater. 2015, 299, 42–49. [Google Scholar] [CrossRef]
- Wu, Z.Y.; Chen, X.X.; Yuan, B.L.; Fu, M.L. A facile foaming-polymerization strategy to prepare 3D MnO2 modified biochar-based porous hydrogels for efficient removal of Cd(II) and Pb(II). Chemosphere 2020, 239, 124745. [Google Scholar] [CrossRef]
- Blanchard, G.; Maunaye, M.; Martin, G. Removal of heavy metals from waters by means of natural zeolites. Water Res. 1984, 18, 1501–1507. [Google Scholar] [CrossRef]
- Cai, F.; Wang, Q.; Chen, X.; Qiu, W.; Zhan, F.; Gao, F.; Wang, Q. Selective binding of Pb2+ with manganese-terephthalic acid MOF/SWCNTs: Theoretical modeling, experimental study and electroanalytical application. Biosens. Bioelectron. 2017, 98, 310–316. [Google Scholar] [CrossRef]
- Guan, D.-X.; Ren, C.; Wang, J.; Zhu, Y.; Zhu, Z.; Li, W. Characterization of Lead Uptake by Nano-Sized Hydroxyapatite: A Molecular Scale Perspective. ACS Earth Space Chem. 2018, 2, 599–607. [Google Scholar] [CrossRef]
- Yu, W.; Hu, J.; Yu, Y.; Ma, D.; Gong, W.; Qiu, H.; Hu, Z.; Gao, H.-W. Facile preparation of sulfonated biochar for highly efficient removal of toxic Pb(II) and Cd(II) from wastewater. Sci. Total Environ. 2021, 750, 141545. [Google Scholar] [CrossRef]
- Yu, S.; Wei, D.; Shi, L.; Ai, Y.; Zhang, P.; Wang, X. Three-dimensional graphene/titanium dioxide composite for enhanced U(VI) capture: Insights from batch experiments, XPS spectroscopy and DFT calculation. Environ. Pollut. 2019, 251, 975–983. [Google Scholar] [CrossRef] [PubMed]
- Guan, X.; Yuan, X.; Zhao, Y.; Bai, J.; Li, Y.; Cao, Y.; Chen, Y.; Xiong, T. Adsorption behaviors and mechanisms of Fe/Mg layered double hydroxide loaded on bentonite on Cd (II) and Pb (II) removal. J. Colloid Interface Sci. 2022, 612, 572–583. [Google Scholar] [CrossRef] [PubMed]
- Chen, T.-W.; Kumar, J.V.; Chen, S.M.; Mutharani, B.; Karthik, R.; Nagarajan, E.R.; Muthuraj, V. Rational construction of novel rose petals-like yttrium molybdate nanosheets: A Janus catalyst for the detection and degradation of cardioselective β-blocker agent acebutolol. Chem. Eng. J. 2019, 359, 1472–1485. [Google Scholar] [CrossRef]
- Awual, M.R.; Khraisheh, M.; Alharthi, N.H.; Luqman, M.; Islam, A.; Rezaul Karim, M.; Rahman, M.M.; Khaleque, M.A. Efficient detection and adsorption of cadmium(II) ions using innovative nano-composite materials. Chem. Eng. J. 2018, 343, 118–127. [Google Scholar] [CrossRef]
- Lu, M.; Deng, Y.; Luo, Y.; Lv, J.; Li, T.; Xu, J.; Chen, S.-W.; Wang, J. Graphene Aerogel–Metal–Organic Framework-Based Electrochemical Method for Simultaneous Detection of Multiple Heavy-Metal Ions. Anal. Chem. 2019, 91, 888–895. [Google Scholar] [CrossRef]
- Cui, L.; Wu, J.; Ju, H. Nitrogen-doped porous carbon derived from metal-organic gel for electrochemi cal analysis of heavy-metal ion. ACS Appl. Mater. Interfaces 2014, 6, 16210–16216. [Google Scholar] [CrossRef]
- Yu, L.Y.; Zhang, Q.; Yang, B.R.; Xu, Q.; Xu, Q.; Hu, X.Y. Electrochemical sensor construction based on nafion/calcium lignosulphonate functionalized porous graphene nanocomposite and its application for simultaneous detection of trace Pb2+ and Cd2+. Sens. Actuators B Chem. 2018, 259, 540–551. [Google Scholar] [CrossRef]
- Ma, Y.; Wang, Y.C.; Xie, D.H.; Gu, Y.; Zhu, X.L.; Zhang, H.M.; Wang, G.Z.; Zhang, Y.X.; Zhao, H.J. Hierarchical MgFe-layered double hydroxide microsphere/graphene composite for simultaneous electrochemical determination of trace Pb(II) and Cd(II). Chem. Eng. J. 2018, 347, 953–962. [Google Scholar] [CrossRef]
- Zou, J.; Qian, W.; Li, Y.; Yu, Q.; Yu, Y.; Chen, S.; Qu, F.; Gao, Y.; Lu, L. Multilayer activated biochar/UiO-66-NH2 film as intelligent sensing platform for ultra-sensitive electrochemical detection of Pb2+ and Hg2+. Appl. Surf. Sci. 2021, 569, 151006. [Google Scholar] [CrossRef]













| Langmuir | Freundlich | Dubinin–RadushKevich | |||||
|---|---|---|---|---|---|---|---|
| qe (mg/g) | K1 (L/mg) | R2 | 1/n | KL (mg/g) | R2 | β (mol2·J−2) | R2 |
| 290.3 | 0.1284 | 0.9811 | 0.2397 | 84.42 | 0.8463 | −0.09744 | 0.5126 |
| Pseudo First-Order Model | Pseudo Second-Order Model | |||||
|---|---|---|---|---|---|---|
| qe, Exp (mg/g) | k1 (min−1) | R2 | qe (mg/g) | k2 (g/mg·min) | R2 | qe (mg/g) |
| 293.4 | 0.0273 | 0.8847 | 268.6 | 0.000137 | 0.9662 | 290.8 |
| Sample | Added (μg·L−1) | Found (μg·L−1) | RSD (%) | Recovery (%) |
|---|---|---|---|---|
| 1 | 0 | - | - | - |
| 2 | 0.05 | 0.051 ± 0.004 | 102.0 | 3.9 |
| 3 | 0.50 | 0.52 ± 0.017 | 104.0 | 3.4 |
| 4 | 5.00 | 4.94 ± 0.26 | 98.80 | 2.2 |
| 5 | 50.00 | 49.68 ± 1.49 | 99.36 | 2.8 |
Disclaimer/Publisher’s Note: The statements, opinions and data contained in all publications are solely those of the individual author(s) and contributor(s) and not of MDPI and/or the editor(s). MDPI and/or the editor(s) disclaim responsibility for any injury to people or property resulting from any ideas, methods, instructions or products referred to in the content. |
© 2023 by the authors. Licensee MDPI, Basel, Switzerland. This article is an open access article distributed under the terms and conditions of the Creative Commons Attribution (CC BY) license (https://creativecommons.org/licenses/by/4.0/).
Share and Cite
Yu, Y.; Yang, W.; Li, S.; Gao, Y.; Wang, L.; Huang, G. Efficient Adsorption and Electrochemical Detection of Cd2+ with a Ternary MgZnFe-Layered Double Hydroxides Engineered Porous Biochar Composite. Molecules 2023, 28, 7002. https://doi.org/10.3390/molecules28207002
Yu Y, Yang W, Li S, Gao Y, Wang L, Huang G. Efficient Adsorption and Electrochemical Detection of Cd2+ with a Ternary MgZnFe-Layered Double Hydroxides Engineered Porous Biochar Composite. Molecules. 2023; 28(20):7002. https://doi.org/10.3390/molecules28207002
Chicago/Turabian StyleYu, Yongfang, Wenting Yang, Shujuan Li, Yansha Gao, Linyu Wang, and Guoqin Huang. 2023. "Efficient Adsorption and Electrochemical Detection of Cd2+ with a Ternary MgZnFe-Layered Double Hydroxides Engineered Porous Biochar Composite" Molecules 28, no. 20: 7002. https://doi.org/10.3390/molecules28207002
APA StyleYu, Y., Yang, W., Li, S., Gao, Y., Wang, L., & Huang, G. (2023). Efficient Adsorption and Electrochemical Detection of Cd2+ with a Ternary MgZnFe-Layered Double Hydroxides Engineered Porous Biochar Composite. Molecules, 28(20), 7002. https://doi.org/10.3390/molecules28207002

