Synthesis, Anticancer Activity, and In Silico Studies of 5-(3-Bromophenyl)-N-aryl-4H-1,2,4-triazol-3-amine Analogs
Abstract
:1. Introduction
2. Results
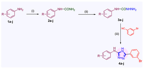
2.1. Chemistry
2.2. Anticancer Activity
2.3. Molecular Docking Studies
2.4. ADME and Toxicity Prediction Studies
3. Discussion
4. Materials and Methods
4.1. General Method for the Synthesis of 5-(3-Bromophenyl)-N-aryl-4H-1,2,4-triazol-3-amine analogs (4a–j)
4.2. Anticancer Activity
4.3. Molecular Docking
4.4. ADME and Toxicity Prediction
5. Conclusions
Supplementary Materials
Author Contributions
Funding
Institutional Review Board Statement
Informed Consent Statement
Data Availability Statement
Acknowledgments
Conflicts of Interest
Sample Availability
References
- Nasri, S.; Bayat, M.; Kochia, K. Strategies for synthesis of 1,2,4-triazole-containing scaffolds using 3-amino-1,2,4-triazole. Mol. Divers. 2022, 26, 717–739. [Google Scholar] [CrossRef]
- Strzelecka, M.; Świątek, P. 1,2,4-Triazoles as Important Antibacterial Agents. Pharmaceuticals 2021, 14, 224. [Google Scholar] [CrossRef] [PubMed]
- Mahanti, S.; Sunkara, S.; Bhavani, R. Synthesis, biological evaluation and computational studies of fused acridine containing 1,2,4-triazole derivatives as anticancer agents. Synth. Comm. 2019, 49, 1729–1740. [Google Scholar] [CrossRef]
- Mohassab, A.M.; Hassan, H.A.; Abdelhamid, D.; Gouda, A.M.; Youssif, B.G.M.; Tateishi, H.; Fujita, M.; Otsuka, M.; Abdel-Aziz, M. Design and synthesis of novel quinoline/chalcone/1,2,4-triazole hybrids as potent antiproliferative agent targeting EGFR and BRAFV600E kinases. Bioorg. Chem. 2021, 106, 104510. [Google Scholar] [CrossRef] [PubMed]
- Wiseman, L.R.; Spencer, C.M. Vorozole. Drugs Aging 1997, 11, 245–250. [Google Scholar] [CrossRef]
- Tapera, M.; Kekeçmuhammed, H.; Tunç, C.; Kutlu, A.; Celik, I.; Zorlu, Y.; Aydin, O.; Saripinar, E. Design, synthesis, molecular docking and biological evaluation of 1,2,4 triazole derivatives possessing a hydrazone moiety as anti-breast cancer agents. New J. Chem. 2023, 47, 11602–11614. [Google Scholar] [CrossRef]
- Choudhary, S.K.; Gothwal, P.; Sogani, N.; Saini, A.; Swami, S. Rational Design, Synthesis, Characterization, and Antibacterial Activity of Urea Derivatives Bearing 1,2,4-Triazoles as Molecular Hybrid Scaffolds. Orient J. Chem. 2023, 39, 129–135. [Google Scholar] [CrossRef]
- Koparir, P.; Sarac, K.; Omar, R.A. Synthesis, Molecular Characterization, Biological and Computational Studies of New Molecule Contain 1,2,4- Triazole, and Coumarin Bearing 6,8-Dimethyl, 2021. Biointerface Res. Appl. Chem. 2022, 12, 809–823. [Google Scholar]
- Amin, N.H.; El-Saadi, M.T.; Ibrahim, A.A.; Abdel-Rahman, H.M. Design, synthesis and mechanistic study of new 1,2,4-triazole derivatives as antimicrobial agents. Bioorg. Chem. 2021, 111, 104841. [Google Scholar] [CrossRef]
- Bitla, S.; Gayatri, A.A.; Puchakayala, M.R.; Bhukya, V.K.; Vannada, J.; Dhanavath, R.; Kuthati, B.; Kothula, D.; Sagurthi, S.R.; Atcha, K.R. Design and synthesis, biological evaluation of bis-(1,2,3- and 1,2,4)-triazole derivatives as potential antimicrobial and antifungal agents. Bioorg. Med. Chem. Lett. 2021, 41, 128004. [Google Scholar] [CrossRef]
- Yusuf, S. Design and antiproliferative and antioxidant activities of furan-based thiosemicarbazides and 1,2,4-triazoles: Their structure-activity relationship and SwissADME predictions. Med. Chem. Res. 2021, 30, 1557–1568. [Google Scholar]
- El-Sebaey, S.A. Recent Advances in 1,2,4-Triazole Scaffolds as Antiviral Agents. ChemistrySelect 2020, 5, 11654–11680. [Google Scholar] [CrossRef]
- Vanjare, B.D.; Mahajan, P.G.; Dige, N.C.; Raza, H.; Hassan, M.; Han, Y.; Kim, S.J.; Seo, S.Y.; Lee, K.H. Novel 1,2,4-triazole analogues as mushroom tyrosinase inhibitors: Synthesis, kinetic mechanism, cytotoxicity and computational studies. Mol. Divers. 2020, 25, 2089–2106. [Google Scholar] [CrossRef]
- Nayak, S.; Poojary, B. Design, Synthesis, In Silico Docking Studies, and Antibacterial Activity of Some Thiadiazines and 1,2,4-Triazole-3-Thiones Bearing Pyrazole Moiety. Russ. J. Bioorg. Chem. 2020, 46, 97–106. [Google Scholar] [CrossRef]
- Pragathi, Y.J.; Sreenivasulu, R.; Veronica, D. Design, Synthesis, and Biological Evaluation of 1,2,4-Thiadiazole-1,2,4-Triazole Derivatives Bearing Amide Functionality as Anticancer Agents. Arab. J. Sci. Eng. 2021, 46, 225–232. [Google Scholar] [CrossRef]
- Sathyanarayana, R.; Poojary, B. Exploring recent developments on 1,2,4-triazole: Synthesis and biological applications. J. Chin. Chem. Soc. 2020, 67, 459–477. [Google Scholar] [CrossRef]
- Djemoui, A.; Naouri, A.; Ouahrani, M.R.; Djemoui, D.; Lahecen, S.; Lahrech, M.B.; Boukenna, L.; Albuquerque, H.M.T.; Saher, L.; Rocha, D.H.A.; et al. A step-by-step synthesis of triazole-benzimidazole-chalcone hybrids: Anticancer activity in human cells. J. Mol. Struct. 2019, 1204, 127487. [Google Scholar] [CrossRef]
- Chu, X.M.; Wang, C.; Wang, W.L.; Liang, L.L.; Liu, W.; Gong, K.K.; Sun, K.L. Triazole derivatives and their antiplasmodial and antimalarial activities. Eur. J. Med. Chem. 2019, 166, 206–223. [Google Scholar] [CrossRef]
- Alam, M.M.; Almalki, A.S.; Neamatallah, T.; Ali, N.M.; Malebari, A.M.; Nazreen, S. Synthesis of New 1, 3, 4-Oxadiazole-Incorporated 1, 2, 3-Triazole Moieties as Potential Anticancer Agents Targeting Thymidylate Synthase and Their Docking Studies. Pharmaceuticals 2020, 13, 390. [Google Scholar] [CrossRef]
- Zhao, J.W.; Wu, Z.H.; Guo, J.W.; Huang, M.J.; You, Y.Z.; Liu, H.M.; Huang, L.H. Synthesis and anti-gastric cancer activity evaluation of novel triazole nucleobase analogues containing steroidal/coumarin/quinoline moieties. Eur. J. Med. Chem. 2019, 181, 111520. [Google Scholar] [CrossRef]
- Ouyang, X.; Chen, X.; Piatnitski, E.L.; Kiselyov, A.S.; He, H.Y.; Mao, Y.; Pattaropong, V.; Yu, Y.; Kim, K.H.; Kincaid, J.; et al. Synthesis and structure-activity relationships of 1,2,4-triazoles as a novel class of potent tubulin polymerization inhibitors. Bioorg. Med. Chem. Lett. 2005, 15, 5154–5159. [Google Scholar] [CrossRef]
- Juszczak, M.; Matysiak, J.; Szeliga, M.; Pozarowski, P.; Niewiadomy, A.; Albrecht, J.; Rzeski, W. 2-Amino-1,3,4-thiadiazole derivative (FABT) inhibits extracellular signal-regulated kinase pathway and induces cell cycle arrest in human non-small lung carcinoma cells. Bioorg. Med. Chem. Lett. 2012, 22, 5466–5469. [Google Scholar] [CrossRef] [PubMed]
- Tuma, M.C.; Malikzay, A.; Ouyang, X.; Surguladze, D.; Fleming, J.; Mitelman, S.; Camara, M.; Finnerty, B.; Doody, J.; Che-kler, E.L.P.; et al. Antitumor activity of IMC-038525, a novel oral tubulin polymerization inhibitor. Trans. Oncol. 2010, 3, 318–325. [Google Scholar] [CrossRef] [PubMed]
- Sung, H.; Ferley, J.; Siegel, R.L.; Laversanne, M.; Soerjomartaram, I.; Jemal, A.; Bray, F. Global cancer statistics 2020: GLOBOCAN estimates of incidence and mortality worldwide for 36 cancers in 185 countries. CA Cancer J. Clin. 2021, 71, 209–249. [Google Scholar] [CrossRef]
- Ahsan, M.J. Rationale design, synthesis and anticancer activity of 2,5-disubstituted-1,3,4-oxadiazole analogues. ChemistrySelect 2016, 1, 4713–4720. [Google Scholar] [CrossRef]
- Ahsan, M.J. Synthesis and anticancer activity of [(2,4-dichlorophenoxy)methyl]-5-aryl-1,3,4-oxadiazole/4H-1,2,4-triazole analogues. Turk. J. Chem. 2018, 42, 1334–1343. [Google Scholar] [CrossRef]
- Yeung, K.S.; Farkas, M.E.; Kadow, J.F.; Meanwell, N.A. A base-catalyzed, direct synthesis of 3,5-disubstituted 1,2,4-triazoles from nitriles and hydrazides. Tetrahedron Lett. 2005, 46, 3429–3432. [Google Scholar] [CrossRef]
- Development Therapeutic Program NCI/NIH. Available online: http://dtp.nci.nih.gov (accessed on 20 January 2022).
- Skehan, P.; Storeng, R.; Scudiero, D.; Monks, A.; McMahon, J.; Vistica, D.; Warren, J.T.; Bokesch, H.; Kenney, S.; Boyd, M.R.J. New Colorimetric Cytotoxicity Assay for Anticancer-Drug Screening. Natl. Cancer Inst. 1990, 83, 1107–11012. [Google Scholar] [CrossRef]
- Boyd, M.R.; Paull, K.D. Some practical considerations and applications of the national cancer institute in vitro anticancer drug discovery screen. Drug Dev. Res. 1995, 34, 91–109. [Google Scholar] [CrossRef]
- Monks, A.; Scudiero, D.; Skehan, P.; Shoemaker, R.; Paull, K.; Vistica, D.; Hose, C.; Langley, J.; Cronise, P.; Vaigro-Wolff, A.; et al. Feasibility of a high-flux anticancer drug screen using a diverse panel of cultured human tumor cell lines. Nat. Cancer Inst. 1991, 83, 757–766. [Google Scholar] [CrossRef]
- Shoemaker, R.H. The NCI60 human tumour cell line anticancer drug screen. Nat. Rev. Cancer 2006, 6, 813–823. [Google Scholar] [CrossRef]
- Arnst, K.E.; Banerjee, S.; Chen, H.; Deng, S.; Hwang, D.J.; Li, W.; Miller, D.D. Current advances of tubulin inhibitors as dual acting small molecules for cancer therapy. Med. Res. Rev. 2019, 39, 1398–1426. [Google Scholar] [CrossRef] [PubMed]
- Daina, A.; Michielin, O.; Zoete, V. SwissADME: A free web tool to evaluate pharmacokinetics, druglikeness and medicinal chemistry friendliness of small molecules. Sci. Rep. 2017, 7, 42717. [Google Scholar] [CrossRef]
- ADME Prediction. Available online: http://www.swissadme.ch/ (accessed on 20 August 2023).
- Lipinski, C.A.; Lombardo, L.; Dominy, B.W.; Feeney, P.J. Experimental and computational approaches to estimate solubility and permeability in drug discovery and development settings. Adv. Drug Deliv. Rev. 2001, 46, 3–26. [Google Scholar] [CrossRef]
- Ertl, P.; Rohde, B.; Selzer, P. Fast calculation of molecular polar surface area as a sum of fragment-based contributions and its application to the prediction of drug transport properties. J. Med. Chem. 2000, 43, 3714–3717. [Google Scholar] [CrossRef]
- Daina, A.; Zoete, V. A BOILED-Egg To Predict Gastrointestinal Absorption and Brain Penetration of Small Molecules. ChemMedChem 2016, 11, 1117–1121. [Google Scholar] [CrossRef]
- Selick, H.E.; Beresford, A.P.; Tarbit, M.H. The emerging importance of predictive ADME simulation in drug discovery. Drug Discov. Today 2002, 7, 109–116. [Google Scholar] [CrossRef]
- Toxicity Prediction. Available online: https://tox-new.charite.de/protox_II/ (accessed on 20 August 2023).
- Ali, A.; Ali, A.; Tahir, A.; Bakht, M.A.; Salahuddin; Ahsan, M.J. Molecular Engineering of Curcumin, an Active Constituent of Curcuma longa L. (Turmeric) of the Family Zingiberaceae with Improved Antiproliferative Activity. Plants 2021, 10, 1559. [Google Scholar] [CrossRef]
- X-ray Crystallographic Structure of Tubulin-Combretastatin A4 Complex. Available online: https://www.rcsb.org/structure/5lyj (accessed on 12 January 2023).
- Gaspari, R.; Prota, A.E.; Bargsten, K.; Cavalli, A.; Steinmetz, M.O. Structural Basis of cis- and trans- Combretastatin Binding to Tubulin. Chem 2017, 2, 102–113. [Google Scholar] [CrossRef]
- Agarwal, M.; Afzal, A.; Salahuddin; Altamimi, A.S.A.; Alamri, M.A.; Alossaimi, A.A.; Sharma, V.; Ahsan, M.J. Design, Synthesis, ADME, and Anticancer Studies of Newer N-Aryl-5-(3,4,5-Trifluorophenyl)-1,3,4-Oxadiazol-2-Amines: An Insight into Experimental and Theoretical Investigations. ACS Omega 2023, 8, 26837–26849. [Google Scholar] [CrossRef] [PubMed]







![]() | |||||
| S. No. | Compound | R | % Yield | Mp (°C) | Rf * |
| 1 | 4a | 4-Fluoro | 69 | 138–140 | 0.58 |
| 2 | 4b | 4-Chloro | 93 | 140–142 | 0.66 |
| 3 | 4c | 4-Methyl | 82 | 136–138 | 0.73 |
| 4 | 4d | 4-Methoxy | 66 | 146–148 | 0.67 |
| 5 | 4e | 2-Chloro | 70 | 152–154 | 0.69 |
| 6 | 4f | 2-Methyl | 85 | 144–146 | 0.75 |
| 7 | 4g | 2-Methoxy | 65 | 148–150 | 0.62 |
| 8 | 4h | 2,4-Dimethyl | 71 | 130–132 | 0.70 |
| 9 | 4i | 2,6-Dimethyl | 89 | 126–128 | 0.68 |
| 10 | 4j | 3-Chloro-4-fluoro | 70 | 128–130 | 0.59 |
| Panel | Cell Lines | Growth Percentage (GP) of Cell Lines at 10−5 M | |||||||||
|---|---|---|---|---|---|---|---|---|---|---|---|
| 4a | 4b | 4c | 4d | 4e | 4f | 4g | 4h | 4i | 4j | ||
| Leukemia | CCRF-CEM | 108.27 | 119.99 | 108.68 | 102.09 | 94.53 | 100.88 | 89.67 | 101.76 | 73.08 | 91.67 |
| HL-60(TB) | 113.71 | 114.64 | 111.07 | 112.68 | 110.98 | 110.97 | 112 | 113.23 | 97.14 | 114.35 | |
| K-562 | 112.26 | 109.82 | 107.94 | 103.69 | 105.66 | 102.97 | 109.72 | 103.2 | 102.19 | 103.41 | |
| MOLT-4 | 107.03 | 108.06 | 111.15 | 110.86 | 113.17 | 101.46 | 110.07 | 102.63 | 97.59 | 97.05 | |
| RPMI-8226 | 105.59 | 105.54 | 100.45 | 98.15 | 98.41 | 101.25 | 95.44 | 99.56 | 95.61 | 97.9 | |
| SR | 102.38 | 101.37 | 98.98 | 101.01 | 100.58 | 99.66 | 101.9 | 96.81 | 95.05 | 90.22 | |
| Non-small cell lung cancer | A549/ATCC | 103.16 | 103.69 | 105.55 | 100.84 | 96.1 | 100.93 | 87.98 | 104.32 | 93.63 | 106.05 |
| EKVX | 78.28 | 80.17 | 82.04 | 69.71 | 79.19 | 82.97 | 88.78 | 75.44 | 73.39 | 75.43 | |
| HOP-62 | 101.06 | 95.97 | 101.27 | 92.36 | 100.44 | 95.2 | 105.98 | 88.36 | 84.31 | 89.96 | |
| NCI-H226 | 93.31 | 97.92 | 100.07 | 95.53 | 99.37 | 104.72 | 103.45 | 94.95 | 92.33 | 98.69 | |
| NCI-H23 | 88.7 | 92.08 | 93.16 | 90.01 | 93.77 | 92.05 | 100.71 | 85.13 | 90.72 | 86.94 | |
| NCI-H322M | 94.81 | 98.59 | 104.27 | 102.66 | 103.52 | 104.54 | 104.29 | 90.57 | 99.97 | 99.48 | |
| NCI-H460 | 107.43 | 109.66 | 106.66 | 102.46 | 105.58 | 111.91 | 106.39 | 108.59 | 100.48 | 106.13 | |
| NCI-H522 | 97.48 | 94 | 95.75 | 96.15 | 94.51 | 102.9 | 99.38 | 99.53 | 92.22 | 96.13 | |
| Colon cancer | COLO 205 | 110.19 | 112.57 | 110.57 | 107.34 | 110.79 | 113.84 | 112.68 | 115.88 | 107.53 | 115.25 |
| HCC-2998 | 115.61 | 110.62 | 111.63 | 119.85 | 103.1 | 108.79 | 120.05 | 109.12 | 117.6 | 107.2 | |
| HCT-116 | 97.94 | 111.89 | 113.68 | 107.29 | 109.62 | 110.01 | 109.61 | 112.05 | 117.94 | 108.97 | |
| HCT-15 | 104.59 | 102.35 | 107.09 | 101.37 | 102.9 | 98.06 | 107.29 | 101.49 | 105.41 | 98.35 | |
| HT29 | 105.5 | 112.5 | 108.16 | 106.95 | 108.98 | 110.4 | 109.4 | 105.72 | 109.17 | 108.45 | |
| KM12 | 105.22 | 112.61 | 105.97 | 102.43 | 100.98 | 101.9 | 104.37 | 99.84 | 106.75 | 98.24 | |
| SW-620 | 105.46 | 104.34 | 112.08 | 96.23 | 103.98 | 103.77 | 102.34 | 108.99 | 92.19 | 107.34 | |
| CNS cancer | SF-268 | 106.54 | 100.84 | 97.75 | 95.5 | 92.22 | 106.7 | 99.08 | 106.04 | 95.37 | 108.16 |
| SF-295 | 95.3 | 95.66 | 95.57 | 96.26 | 96.71 | 96.01 | 101.31 | 91.54 | 97.66 | 90.8 | |
| SF-539 | 100.77 | 99.9 | 103.01 | 103.1 | 104.07 | 102.34 | 116.34 | 95.16 | 101.64 | 97.27 | |
| SNB-19 | 101.28 | 104.36 | 105.52 | 102.63 | 103.71 | 97.3 | 104.02 | 94.59 | 96.04 | 93.01 | |
| SNB-75 | 85.12 | 94.98 | 93.57 | 74.12 | 58.75 | 105.1 | 69.91 | 97.86 | 61.06 | 87.08 | |
| U251 | 100.51 | 98.72 | 101.28 | 103.97 | 95.73 | 101.07 | 100.21 | 103.11 | 99.09 | 103.42 | |
| Melanoma | LOX IMVI | 102.66 | 101.4 | 101.31 | 100.89 | 102.44 | 99.16 | 104.8 | 92.92 | 95.05 | 94.16 |
| MALME-3M | 98.54 | 100.02 | 96.32 | 94.93 | 92.71 | 91.35 | 100.59 | 86.17 | 90.31 | 84.86 | |
| M14 | 105.99 | 108.76 | 104.25 | 112.38 | 123.95 | 105.19 | 116.15 | 105.2 | 98.01 | 111.26 | |
| MDA-MB-435 | 106.28 | 107.8 | 105.37 | 104.17 | 104.41 | 110.41 | 105.09 | 108.55 | 102.27 | 108.5 | |
| SK-MEL-2 | 113.88 | 107.21 | 103.44 | 101.76 | 103.4 | 107.78 | 108.78 | 108.2 | 97.14 | 103.77 | |
| SK-MEL-28 | 113.3 | 112.88 | 118.51 | 108.94 | 120.72 | 115.05 | 120.5 | 112.62 | 112.3 | 117.18 | |
| SK-MEL-5 | 99.6 | 98.99 | 99.5 | 99.12 | 99.9 | 101.68 | 101.97 | 100.2 | 99.65 | 100.08 | |
| UACC-257 | 109.84 | 114.31 | 110.07 | 103.12 | 92.92 | 103.83 | 91.52 | 103.5 | 91.31 | 109.37 | |
| UACC-62 | 86.63 | 86.88 | 89.2 | 86.37 | 90.47 | 91.67 | 91.39 | 86.81 | 81.5 | 82.62 | |
| Ovarian cancer | IGROV1 | 97.79 | 93.46 | 101.73 | 96.31 | 104.69 | 93.62 | 108.53 | 98.08 | 95.53 | 95.01 |
| OVCAR-3 | 100.18 | 100.05 | 102.02 | 97.2 | 101.46 | 108.69 | 106.81 | 105.94 | 101.9 | 114.63 | |
| OVCAR-4 | 111.22 | 110.06 | 107.14 | 106.18 | 101.66 | 114.27 | 104.94 | 117.35 | 102.73 | 114.79 | |
| OVCAR-5 | 97.87 | 94.97 | 107.49 | 104.3 | 114.17 | 103.71 | 110.58 | 100.92 | 76.88 | 95.79 | |
| OVCAR-8 | 106.58 | 103.24 | 106.89 | 100.78 | 96.44 | 103.67 | 99.3 | 104.87 | 97.38 | 107.02 | |
| NCI/ADR-RES | 109.03 | 107.66 | 105.99 | 105.54 | 109.73 | 105.49 | 111.9 | 103.85 | 100.18 | 103.94 | |
| SK-OV-3 | 119.91 | 111.75 | 110.49 | 102.74 | 117.29 | 103.01 | 117.44 | 86.52 | 99.76 | 104.47 | |
| Renal cancer | 786-0 | 113.02 | 103.97 | 103.28 | 108.45 | 102.12 | 106.4 | 112 | 100.76 | 101.23 | 98.23 |
| A498 | 135.1 | 134.22 | 128.18 | 128.7 | 111.35 | 126.93 | 121.95 | 133.39 | 116.19 | 120.55 | |
| ACHN | 114.05 | 106.61 | 110.86 | 102.05 | 101.53 | 111.23 | 110.31 | 108.67 | 97.5 | 106.13 | |
| CAKI-1 | 85.93 | 82.74 | 87.09 | 82.86 | 88.17 | 93.49 | 90.08 | 94.18 | 82.44 | 97.73 | |
| RXF 393 | 116.32 | 117.62 | 111.11 | 130.25 | 117.52 | 108.82 | 122.22 | 108.85 | 119.36 | 115.41 | |
| SN12C | 102.39 | 106.19 | 107.4 | 100.67 | 98.2 | 105.96 | 103.38 | 99.06 | 98.18 | 97.5 | |
| TK-10 | 120.17 | 137.39 | 130.44 | 157.41 | 113.5 | 127.11 | 108.98 | 126.78 | 127.43 | 144.83 | |
| UO-31 | 73.32 | 68.86 | 73.53 | 67.8 | 71.53 | 62.83 | 79.77 | 63.43 | 69.86 | 66.57 | |
| Prostate cancer | DU-195 | 104.93 | 109.62 | 101.84 | 99.17 | 95.28 | 114.08 | 102.88 | 117.08 | 101.74 | 107.28 |
| Breast cancer | MCF-7 | 87.72 | 80.84 | 81.89 | 64.81 | 88.98 | 88.37 | 92.82 | 88.4 | 91.88 | 75.48 |
| MDA-MB-231/ATCC | 90.56 | 89.44 | 94.04 | 88.27 | 95.95 | 91.79 | 97.91 | 88.64 | 82.84 | 88.16 | |
| HS 578T | 99.43 | 99.85 | 108.56 | 100.87 | 95 | 105.79 | 97.66 | 113.29 | 99.85 | 105.98 | |
| BT-549 | 95.99 | 107.15 | 119.87 | 101.94 | 108.77 | 136.12 | 122.63 | 114.36 | 116.88 | 120.26 | |
| T-47D | 110.59 | 111.95 | 106.74 | 92.6 | 99.07 | 115.23 | 104.25 | 100.03 | 103.99 | 104.12 | |
| MDA-MB-468 | 105.73 | 108.68 | 109.79 | 104.93 | 105.76 | 105.16 | 109.06 | 101.61 | 107.16 | 96.56 | |
| Mean | 103.14 | 103.75 | 104.09 | 100.88 | 100.97 | 103.89 | 104.29 | 101.48 | 97.48 | 101.19 | |
| Delta | 29.82 | 34.89 | 30.56 | 36.07 | 42.22 | 41.06 | 34.38 | 38.05 | 36.42 | 34.62 | |
| Range | 61.78 | 68.53 | 56.91 | 92.60 | 65.20 | 73.29 | 52.72 | 69.96 | 66.37 | 78.26 | |
| Compound | Anticancer Activity in One Dose (10−5 M Concentration) | ||
|---|---|---|---|
| The Most Sensitive Cell Lines | Growth Percent (GP) | Percent Growth Inhibition (PGI) | |
| 4a | UO-31 (renal cancer) | 73.32 | 26.68 |
| EKVX (non-small cell lung cancer) | 78.28 | 21.72 | |
| SNB-75 (CNS cancer) | 85.12 | 14.88 | |
| CAKI-1 (renal cancer) | 85.93 | 14.07 | |
| UACC-62 (melanoma) | 86.63 | 13.37 | |
| 4b | UO-31 (renal cancer) | 68.86 | 31.14 |
| EKVX (non-small cell lung cancer) | 80.17 | 19.83 | |
| MCF-7 (breast cancer) | 80.84 | 19.16 | |
| CAKI-1 (renal cancer) | 82.74 | 17.26 | |
| UACC-62 (melanoma) | 86.88 | 13.12 | |
| 4c | UO-31 (renal cancer) | 73.53 | 26.47 |
| MCF-7 (breast cancer) | 81.89 | 18.11 | |
| EKVX (non-small cell lung cancer) | 82.04 | 17.96 | |
| CAKI-1 (renal cancer) | 87.09 | 12.91 | |
| UACC-62 (melanoma) | 89.2 | 10.8 | |
| 4d | MCF-7 (breast cancer) | 64.81 | 35.19 |
| UO-31 (renal cancer) | 67.8 | 32.2 | |
| EKVX (non-small cell lung cancer) | 69.71 | 30.29 | |
| SNB-75 (CNS cancer) | 74.12 | 25.88 | |
| CAKI-1 (renal cancer) | 82.86 | 17.14 | |
| 4e | SNB-75 (CNS cancer) | 58.75 | 41.25 |
| UO-31 (renal cancer) | 71.53 | 28.47 | |
| EKVX (non-small cell lung cancer) | 79.19 | 20.81 | |
| CAKI-1 (renal cancer) | 88.17 | 11.83 | |
| MCF-7 (breast cancer) | 88.98 | 11.02 | |
| 4f | UO-31 (renal cancer) | 62.83 | 37.17 |
| EKVX (non-small cell lung cancer) | 82.97 | 17.03 | |
| MCF-7 (breast cancer) | 88.37 | 11.63 | |
| MALME-3M (melanoma) | 91.35 | 8.65 | |
| UACC-62 (melanoma) | 91.67 | 8.33 | |
| 4g | SNB-75 (CNS cancer) | 69.91 | 30.09 |
| UO-31 (renal cancer) | 79.77 | 20.23 | |
| A549/ATCC (non-small cell lung cancer) | 87.98 | 12.02 | |
| EKVX (non-small cell lung cancer) | 88.78 | 11.22 | |
| CCRF-CEM (leukemia) | 89.67 | 10.33 | |
| 4h | UO-31 (renal cancer) | 63.43 | 36.57 |
| EKVX (non-small cell lung cancer) | 75.44 | 24.56 | |
| NCI-H23 (non-small cell lung cancer) | 85.13 | 14.87 | |
| MALME-3M (melanoma) | 86.17 | 13.83 | |
| SK-OV-3 (ovarian cancer) | 86.52 | 13.48 | |
| 4i | SNB-75 (CNS cancer) | 61.06 | 38.94 |
| UO-31 (renal cancer) | 69.86 | 30.14 | |
| CCRF-CEM (leukemia) | 73.08 | 26.92 | |
| EKVX (non-small cell lung cancer) | 73.39 | 26.61 | |
| OVCAR-5 (ovarian cancer) | 76.88 | 23.12 | |
| 4j | UO-31 (renal cancer) | 66.57 | 33.43 |
| EKVX (non-small cell lung cancer) | 75.43 | 24.57 | |
| MCF-7 (breast cancer) | 75.48 | 24.52 | |
| UACC-62 (melanoma) | 82.62 | 17.38 | |
| MALME-3M (melanoma) | 84.86 | 15.14 | |
| Panels | 4a | 4b | 4c | 4d | 4e | 4f | 4g | 4h | 4i | 4j | Imatinib |
|---|---|---|---|---|---|---|---|---|---|---|---|
| Leukemia | −8.21 | −9.90 | −6.38 | −4.75 | −3.89 | −2.86 | −3.13 | −2.86 | 6.56 | 0.9 | 9 |
| Non-small cancer cell | 4.47 | 3.49 | 1.40 | 6.28 | 3.44 | 0.60 | 0.38 | 6.64 | 9.12 | 5.15 | 15.68 |
| Colon cancer | −6.36 | −9.55 | −9.88 | −5.92 | −5.76 | −6.68 | −9.39 | −7.58 | −8.08 | −6.26 | 5.34 |
| CNS cancer | 1.75 | 0.92 | 0.55 | 4.07 | 8.13 | -1.42 | 1.52 | 1.95 | 8.19 | 3.38 | 5.8 |
| Melanoma | −4.08 | −4.25 | −3.11 | −1.30 | −3.43 | −2.90 | −4.53 | −0.46 | 3.61 | −1.31 | −0.87 |
| Ovarian cancer | −6.08 | −3.03 | −5.96 | −1.86 | −6.49 | −4.64 | −8.5 | −2.50 | 3.66 | −5.09 | −7.16 |
| Renal cancer | −7.54 | −7.2 | −6.48 | −9.77 | −0.49 | −5.35 | −6.08 | −4.39 | −1.52 | −5.87 | 3.25 |
| Prostate cancer | −4.93 | −9.62 | −1.84 | 0.83 | 4.72 | −14.08 | −2.88 | −17.08 | −1.74 | −7.28 | 12.5 |
| Breast cancer | 1.66 | 0.35 | −3.48 | 7.76 | 1.078 | −7.08 | −4.05 | −1.05 | −0.43 | 1.57 | 12.15 |
| S. No. | Compound | PDB ID: 5LYJ | ||
|---|---|---|---|---|
| Docking Score | Emodel Score | Interaction | ||
| 1 | 4a | −7.582 | −61.616 | H-bond (Asn258, 2.47 Å) |
| 2 | 4b | −7.172 | −61.018 | H-bond (Asn258, 2.33 Å); halogen bond (Cys241, 3.09 Å) |
| 3 | 4c | −7.688 | −62.646 | − |
| 4 | 4d | −6.502 | −58.514 | H-bond (Asn258, 2.36 Å) |
| 5 | 4e | −7.899 | −65.212 | H-bond (Asn258, 2.34 Å); halogen bond (Val315, 3.47 Å) |
| 6 | 4f | −8.264 | −66.047 | H-bond (Asn258, 2.72 Å) |
| 7 | 4g | −8.341 | −74.031 | H-bond (Asn258, 2.76 Å) |
| 8 | 4h | −7.788 | −57.121 | − |
| 9 | 4i | −8.149 | −64.382 | H-bond (Asn258, 2.43 Å) |
| 10 | 4j | −7.912 | −61.999 | H-bond (Asn258, 2.38 Å); halogen bond (Val315, 3.47 Å) |
| S. No. | Compound | % ABS | Volume | TPSA | NROTB | HBA (<10) | HBD (<5) | Log p (<5) | MW (500) | BBB Permeability | Lipinski’s Violation (≤1) | LD50 (mg/kg) | Toxicity Class |
|---|---|---|---|---|---|---|---|---|---|---|---|---|---|
| 1 | 4a | 90.49 | 238.75 | 53.63 | 3 | 2 | 2 | 2.15 | 333.16 | Yes | 0 | 500 | 4 |
| 2 | 4b | 90.50 | 247.36 | 53.6 | 3 | 2 | 2 | 2.33 | 349.6 | Yes | 0 | 500 | 4 |
| 3 | 4c | 90.50 | 250.38 | 53.6 | 3 | 2 | 2 | 2.17 | 329.19 | Yes | 0 | 500 | 4 |
| 4 | 4d | 87.32 | 259.37 | 62.83 | 4 | 3 | 2 | 2.2 | 345.19 | Yes | 0 | 440 | 4 |
| 5 | 4e | 90.50 | 247.36 | 53.6 | 3 | 2 | 2 | 2.44 | 349.6 | Yes | 0 | 500 | 4 |
| 6 | 4f | 90.50 | 250.38 | 53.6 | 3 | 2 | 2 | 2.34 | 329.19 | Yes | 0 | 500 | 4 |
| 7 | 4g | 87.32 | 259.37 | 62.83 | 4 | 3 | 2 | 2.37 | 345.19 | Yes | 0 | 440 | 4 |
| 8 | 4h | 90.50 | 266.94 | 53.6 | 3 | 2 | 2 | 2.48 | 343.22 | Yes | 0 | 500 | 4 |
| 9 | 4i | 90.50 | 266.94 | 53.6 | 3 | 2 | 2 | 2.36 | 343.22 | Yes | 0 | 500 | 4 |
| 10 | 4j | 90.50 | 252.29 | 53.6 | 3 | 2 | 2 | 2.36 | 367.6 | Yes | 0 | 500 | 4 |
Disclaimer/Publisher’s Note: The statements, opinions and data contained in all publications are solely those of the individual author(s) and contributor(s) and not of MDPI and/or the editor(s). MDPI and/or the editor(s) disclaim responsibility for any injury to people or property resulting from any ideas, methods, instructions or products referred to in the content. |
© 2023 by the authors. Licensee MDPI, Basel, Switzerland. This article is an open access article distributed under the terms and conditions of the Creative Commons Attribution (CC BY) license (https://creativecommons.org/licenses/by/4.0/).
Share and Cite
Ahsan, M.J.; Gautam, K.; Ali, A.; Ali, A.; Altamimi, A.S.A.; Salahuddin; Alossaimi, M.A.; Lakshmi, S.V.V.N.S.M.; Ahsan, M.F. Synthesis, Anticancer Activity, and In Silico Studies of 5-(3-Bromophenyl)-N-aryl-4H-1,2,4-triazol-3-amine Analogs. Molecules 2023, 28, 6936. https://doi.org/10.3390/molecules28196936
Ahsan MJ, Gautam K, Ali A, Ali A, Altamimi ASA, Salahuddin, Alossaimi MA, Lakshmi SVVNSM, Ahsan MF. Synthesis, Anticancer Activity, and In Silico Studies of 5-(3-Bromophenyl)-N-aryl-4H-1,2,4-triazol-3-amine Analogs. Molecules. 2023; 28(19):6936. https://doi.org/10.3390/molecules28196936
Chicago/Turabian StyleAhsan, Mohamed Jawed, Krishna Gautam, Amena Ali, Abuzer Ali, Abdulmalik Saleh Alfawaz Altamimi, Salahuddin, Manal A. Alossaimi, S. V. V. N. S. M. Lakshmi, and Md. Faiyaz Ahsan. 2023. "Synthesis, Anticancer Activity, and In Silico Studies of 5-(3-Bromophenyl)-N-aryl-4H-1,2,4-triazol-3-amine Analogs" Molecules 28, no. 19: 6936. https://doi.org/10.3390/molecules28196936
APA StyleAhsan, M. J., Gautam, K., Ali, A., Ali, A., Altamimi, A. S. A., Salahuddin, Alossaimi, M. A., Lakshmi, S. V. V. N. S. M., & Ahsan, M. F. (2023). Synthesis, Anticancer Activity, and In Silico Studies of 5-(3-Bromophenyl)-N-aryl-4H-1,2,4-triazol-3-amine Analogs. Molecules, 28(19), 6936. https://doi.org/10.3390/molecules28196936


