Copper-Promoted Intramolecular Oxidative Dehydrogenation for Synthesizing Dihydroisocoumarins and Isocoumarins
Abstract
:1. Introduction
2. Results
2.1. General Method for the Synthesis of Dihydroisocoumarins
2.2. General Method for the Synthesis of Isocoumarins
3. Materials and Methods
Experimental Reagents and Instruction
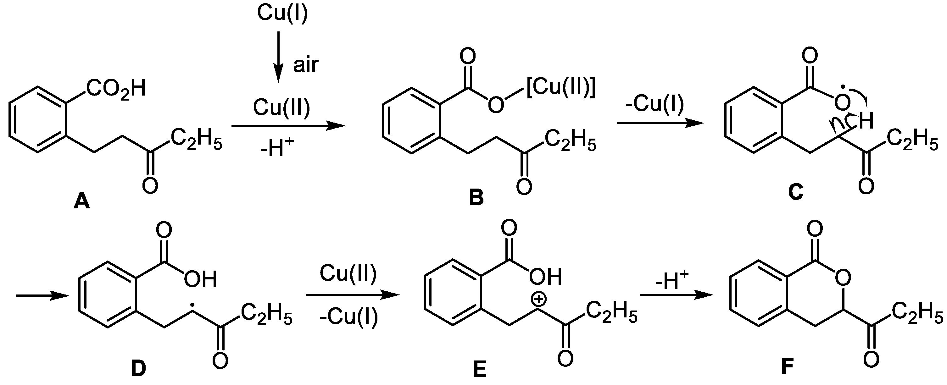
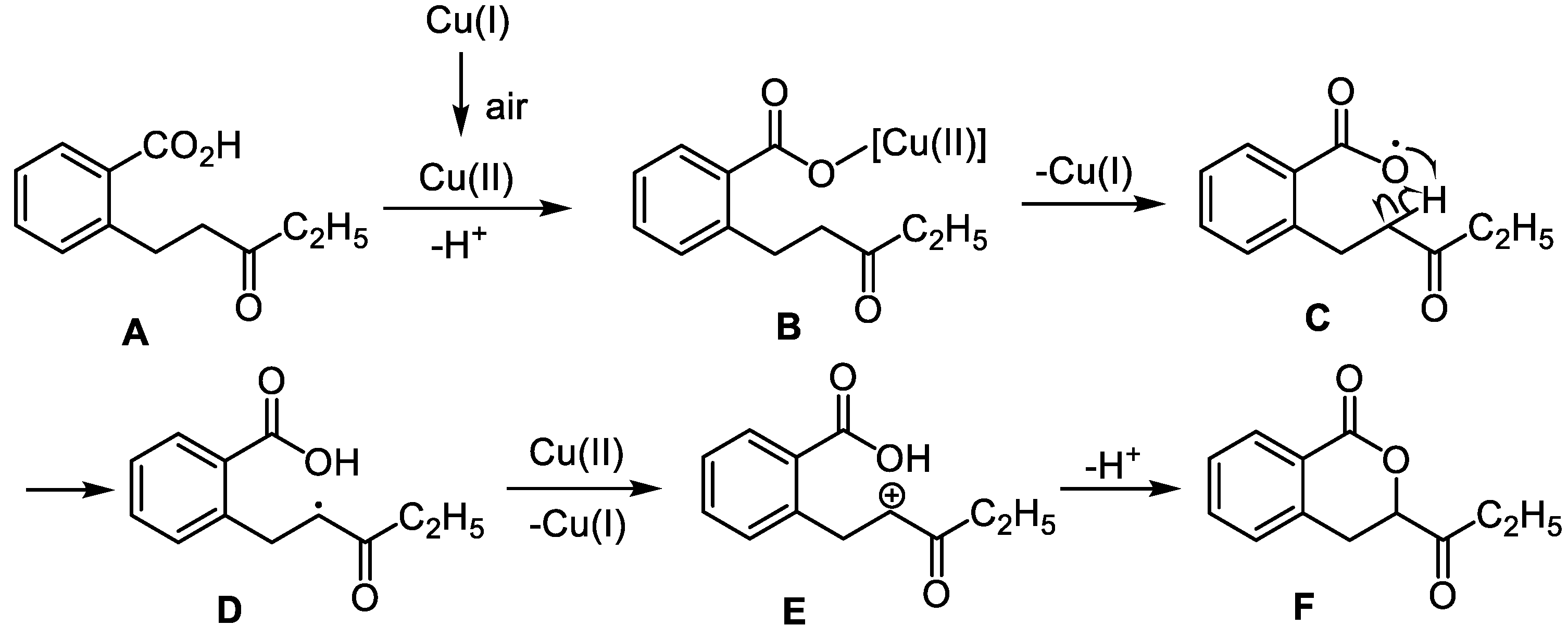
4. Discussion
5. Conclusions
Supplementary Materials
Author Contributions
Funding
Institutional Review Board Statement
Informed Consent Statement
Data Availability Statement
Acknowledgments
Conflicts of Interest
References
- Li, Y.Z.; Rao, X.M.; Xu, J.Y.; Xie, W.J.; Wu, X.M. Research Progress in Agrimonolides with Isocoumarin Skeleton. Prog. Pharm. Sci. 2018, 42, 303–308. [Google Scholar]
- Pal, S.; Chatare, V.; Pal, M. Isocoumarin and Its Derivatives: An Overview on Their Synthesis and Application. Curr. Org. Chem. 2011, 15, 782–800. [Google Scholar] [CrossRef]
- Yoshikawa, M.; Harada, E.; Naitoh, Y.; Inoue, K.; Matsuda, H.; Shimada, H.; Yamahara, J.; Murakami, N. Development of Bioactive Functions in Hydrangeae Dulcis Folium. III. On the Antiallergic and Antimicrobial Principles of Hydrangeae Dulcis Folium. (1). Thunberginols A, B, and F. Chem. Pharm. Bull. 1994, 42, 2225–2230. [Google Scholar] [CrossRef] [PubMed]
- Meepagala, K.M.; Sturtz, G.; Wedge, D.E. Antifungal Constituents of the Essential Oil Fraction of Artemisia Dracunculus L. var. Dracunculus. J. Agric. Food. Chem. 2002, 50, 6989–6992. [Google Scholar] [CrossRef] [PubMed]
- Kawano, T.; Agata, N.; Kharbanda, S.; Avigan, D.; Kufe, D. A Novel Isocoumarin Derivative Induces Mitotic Phase Arrest and Apoptosis of Human Multiple Myeloma Cells. Cancer Chemother. Pharmacol. 2007, 59, 329–335. [Google Scholar] [CrossRef]
- Saikia, P.; Gogoi, S. Isocoumarins: General Aspects and Recent Advances in their Synthesis. Adv. Synth. Catal. 2018, 360, 2063–2075. [Google Scholar] [CrossRef]
- Drapeau, M.P.; Gooßen, L.J. Carboxylic Acids as Directing Groups for C–H Bond Functionalization. Chem. Eur. J. 2016, 22, 18654–18677. [Google Scholar] [CrossRef]
- Saeed, A.; Larik, F.A. Metal-free Synthesis of Isocoumarins. Chem. Heterocycl. Com. 2016, 52, 450–452. [Google Scholar] [CrossRef]
- Miura, M.; Tsuda, T.; Satoh, T.; Pivsa-Art, S.; Nomura, M. Oxidative Cross-Coupling of N-(1,1'-biphenyl-2-yl) benzenesulfonamides or Benzoic and Naphthoic Acids with Alkenes Using a Palladium-Copper Catalyst System under Air. J. Org. Chem. 1998, 63, 5211–5215. [Google Scholar] [CrossRef]
- Obushak, M.D.; Matiychuk, V.S.; Turytsya, V.V. A New Approach to the Synthesis of 3,4-Dihydroisocoumarin Derivatives. Tetrahedron Lett. 2009, 50, 6112–6115. [Google Scholar] [CrossRef]
- Turytsya, V.V.; Ostapiuk, Y.V.; Matiychuk, V.V.; Obushak, M.D. Synthesis of 3-Aryl/methoxycarbonyl-3,4-dihydroisocoumarin-6-carboxylic Acid Derivatives. J. Heterocycl. Chem. 2014, 51, 1898–1901. [Google Scholar] [CrossRef]
- Hong, C.; Ma, J.; Li, M.; Jin, L.; Hu, X.; Mo, W.; Hu, B.; Sun, N.; Shen, Z.L. Ferric Nitrate-Catalyzed Aerobic Oxidation of Benzylic sp3 C–H Bonds of Ethers and Alkylarenes. Tetrahedron 2017, 73, 3002–3009. [Google Scholar] [CrossRef]
- Gangadhararao, G.; Hun, Y.K.; Oh, K. Rhodium(I)-Catalyzed Decarbonylative Aerobic Oxidation of Cyclic α-Diketones: A Regioselective Single Carbon Extrusion Strategy. Org. Lett. 2018, 20, 942–945. [Google Scholar]
- Nandi, D.; Ghosh, D.; Chen, S.J.; Kuo, B.C.; Wang, N.M.; Lee, H.M. One-Step Synthesis of Isocoumarins and 3-Benzylidenephthalides via Ligandless Pd-Catalyzed Oxidative Coupling of Benzoic Acids and Vinylarenes. J. Org. Chem. 2013, 78, 3445–3451. [Google Scholar] [CrossRef]
- Liu, H.X.; Yang, Y.Y.; Wu, J.; Wang, X.L.; Chang, J.B. Regioselective Synthesis of 3,4-Disubstituted Isocoumarins Through the Pd-Catalyzed Annulation of 2-Iodoaromatic Acids with Ynamides. Chem. Commun. 2016, 52, 6801–6804. [Google Scholar] [CrossRef]
- Zhang, J.B.; Han, X.L.; Lu, X.Y. Synthesis of Cyclohexane-Fused Isocoumarins via Cationic Palladium(II)-Catalyzed Cascade Cyclization Reaction of Alkyne-Tethered Carbonyl Compounds Initiated by Intramolecular Oxypalladation of Ester-Substituted Aryl Alkynes. J. Org. Chem. 2016, 81, 3423–3429. [Google Scholar] [CrossRef]
- Jiang, G.S.; Li, J.X.; Zhu, C.L.; Wu, W.Q.; Jiang, H.F. Palladium-Catalyzed Sequential Nucleophilic Addition/Oxidative Annulation of Bromoalkynes with Benzoic Acids to Construct Functionalized Isocoumarins. Org. Lett. 2017, 19, 4440–4443. [Google Scholar] [CrossRef]
- Liu, X.Z.; Chen, G.J.; Zhou, Y.X.; Liu, P.J. Palladium/Copper-catalyzed Tandem Sonogashira Coupling/Lactonization of Methyl 2-(2′,2′-dibromovinyl)benzoate with Terminal Alkynes: Facile Access to 3-Alkynyl Isocoumarins. Tetrahedron Lett. 2018, 59, 3151–3154. [Google Scholar] [CrossRef]
- Yuan, Q.; Chen, Z.B.; Zhang, F.L.; Zhu, Y.M. Palladium-catalyzed Carbonylative Synthesis of Isocoumarins and Phthalides by Using Phenyl Formate as a Carbon Monoxide Source. Org. Biomol. Chem. 2017, 15, 1628–1635. [Google Scholar] [CrossRef]
- Nakayama, A.; Hamamoto, K.; Fujiwara, I.; Fukuda, E.; Ozawa, K.; Endo, S.; Yamasaki, R.; Yamanaka, H.; Tamura, Y.; Yamamoto, Y. Concise Synthesis of Isocoumarin-3-carboxylic Acid Esters. Chem. Lett. 2023, 52, 640–643. [Google Scholar] [CrossRef]
- Ueura, K.; Satoh, T.; Miura, M. An Efficient Waste-Free Oxidative Coupling via Regioselective C–H Bond Cleavage: Rh/Cu-Catalyzed Reaction of Benzoic Acids with Alkynes and Acrylates under Air. Org. Lett. 2007, 9, 1407–1409. [Google Scholar] [CrossRef] [PubMed]
- Ueura, K.; Satoh, T.; Miura, M. Rhodium- and Iridium-Catalyzed Oxidative Coupling of Benzoic Acids with Alkynes via Regioselective C–H Bond Cleavage. J. Org. Chem. 2007, 72, 5362–5367. [Google Scholar] [CrossRef]
- Li, Q.; Yan, Y.N.; Wang, X.W.; Gong, B.W.; Tang, X.; Shi, J.J.; Xu, H.E.; Li, W. Water as a Green Solvent for Efficient Synthesis of Isocoumarins Through Microwave-accelerated and Rh/Cu-Catalyzed CH/O–H Bond Functionalization. RSC Adv. 2013, 3, 23402–23408. [Google Scholar] [CrossRef]
- Mo, J.; Wang, L.; Cui, X. Rhodium(III)-Catalyzed C–H Activation/Alkyne Annulation by Weak Coordination of Peresters with O–O Bond as an Internal Oxidant. Org. Lett. 2015, 17, 4960–4963. [Google Scholar] [CrossRef]
- Zhang, M.L.; Zhang, H.J.; Han, T.T.; Ruan, W.Q.; Wen, T.B. Rh(III)-Catalyzed Oxidative Coupling of Benzoic Acids with Geminal-Substituted Vinyl Acetates: Synthesis of 3-Substituted Isocoumarins. J. Org. Chem. 2015, 80, 620–627. [Google Scholar] [CrossRef]
- Hara, Y.; Onodera, S.; Kochi, T.; Kakiuchi, F. Catalytic Formation of α-Aryl Ketones by C–H Functionalization with Cyclic Alkenyl Carbonates and One-Pot Synthesis of Isocoumarins. Org. Lett. 2015, 17, 4850–4853. [Google Scholar] [CrossRef] [PubMed]
- Li, X.G.; Liu, K.; Zou, G.; Liu, P.J. Rhodium(III)-Catalyzed, C–H Activated Annulation to Form Isocoumarins and α-Pyrones using the O N Bond as an Internal Oxidant. Adv. Synth. Catal. 2014, 356, 1496–1500. [Google Scholar] [CrossRef]
- Li, X.G.; Sun, M.; Liu, K.; Jin, Q.; Liu, P.N. Rh(III)-Catalyzed C–H Activation/Cyclization of Benzamides and Diazo Compounds to Form Isocoumarins and α-Pyrones. Chem. Commun. 2015, 51, 2380–2383. [Google Scholar] [CrossRef]
- Yang, C.; He, X.; Zhang, L.; Han, G.; Zuo, Y.P.; Shang, Y.J. Synthesis of Isocoumarins from Cyclic 2-Diazo-1,3-diketones and Benzoic Acids via Rh(III)-Catalyzed C–H Activation and Esterification. J. Org. Chem. 2017, 82, 2081–2088. [Google Scholar] [CrossRef]
- Dalvi, P.B.; Lin, K.L.; Kulkarni, M.V.; Sun, C.M. Rhodium-Catalyzed Regioselective Synthesis of Isocoumarins through Benzothiadiazine-Fused Frameworks. Org. Lett. 2016, 18, 3706–3709. [Google Scholar] [CrossRef]
- Ignacio, F.A.; Feliu, M. Computational Characterization of the Mechanism for the Oxidative Coupling of Benzoic Acid and Alkynes by Rhodium/Copper and Rhodium/Silver Systems. Chem. Eur. J. 2018, 24, 12383–12388. [Google Scholar]
- Warratz, S.; Kornhaa, C. Ruthenium(II)-Catalyzed C-H Activation/Alkyne Annulation by Weak Coordination with O2 as the Sole Oxidant. Angew. Chem. Int. Ed. 2015, 54, 5513–5517. [Google Scholar] [CrossRef] [PubMed]
- Prakash, R.; Shekarrao, K.; Gogoi, S.; Boruah, R.C. Ruthenium-Catalyzed Decarbonylative Addition Reaction of Anhydrides with Alkynes: A Facile Synthesis of Isocoumarins and α-Pyrones. Chem. Commun. 2015, 51, 9972–9974. [Google Scholar] [CrossRef] [PubMed]
- Huang, L.B.; Weix, D.J. Ruthenium-catalyzed C–H arylation of diverse aryl carboxylic acids with aryl and heteroaryl halides. Org. Lett. 2016, 18, 5513–5517. [Google Scholar] [CrossRef] [PubMed]
- Frasco, D.A.; Lilly, C.P.; Boyle, P.D.; Elon, A. Cp*IrIII-Catalyzed Oxidative Coupling of Benzoic Acids with Alkynes. ACS Catal. 2013, 3, 2421–2429. [Google Scholar] [CrossRef]
- Xie, H.; Sun, Q.; Ren, G.; Gao, Z.X. Mechanisms and Reactivity Differences for Cycloaddition of Anhydride to Alkyne Catalyzed by Palladium and Nickel Catalysts: Insight from Density Functional Calculations. J. Org. Chem. 2014, 79, 11911–11921. [Google Scholar] [CrossRef]
- Panda, N.; Mishra, P.; Mattan, I. Synthesis of Isocoumarins via Silver(I)-Mediated Annulation of Enol Esters. J. Org. Chem. 2016, 81, 1047–1056. [Google Scholar] [CrossRef]
- Xia, Q.; Wang, Q.; Yan, C.C.; Dong, J.Y.; Song, H.J.; Li, L.; Liu, Y.X.; Liu, X.M.; Song, H.B. Merging Photoredox with Brønsted Acid Catalysis: The Cross-Dehydrogenative C–O Coupling for sp3 C–H Bond Peroxidation. Chem. Eur. J. 2017, 23, 10871–10877. [Google Scholar] [CrossRef]
- Castro, A.G.; Robertson, C.M.; Xiao, J.L. Dehydrogenative α-Oxygenation of Ethers with an Iron Catalyst. J. Am. Chem. Soc. 2014, 136, 8350–8360. [Google Scholar] [CrossRef]
- Li, R.L.; Zhao, J.; Yang, F.X.; Zhang, Y.C.; Ramella, D.; Peng, Y.; Luan, Y. An Fe3O4@P4VP@FeCl3 Core–Shell Heterogeneous Catalyst for Aerobic Oxidation of Alcohols and Benzylic Oxidation Reaction. RSC Adv. 2017, 7, 51142–51150. [Google Scholar] [CrossRef]
- Maria, Z.; Glenn, M.S. Photoinduced Electron-Transfer-Promoted Redox Fragmentation of N-Alkoxyphthalimides. Org. Lett. 2011, 13, 6264–6267. [Google Scholar]
- Nammalwar, B.; Fortenberry, C.; Bunce, R.A.; Lageshetty, S.K.; Ausman, K.D. Efficient Oxidation of Arylmethylene Compounds Using Nano-MnO2. Tetrahedron Lett. 2013, 54, 2010–2013. [Google Scholar] [CrossRef]
- Han, W.J.; Pu, F.; Li, C.J.; Liu, Z.W.; Fan, J.; Shi, X.Y. Carboxyl-Directed Conjugate Addition of C–H Bonds to α,β-Unsaturated Ketones in Air and Water. Adv. Synth. Catal. 2018, 360, 1358–1363. [Google Scholar] [CrossRef]
- Chen, H.; Sanjaya, S.; Wang, Y.F.; Chiba, S. Copper-Catalyzed Aliphatic C–H Amination with an Amidine Moiety. Org. Lett. 2013, 15, 212–215. [Google Scholar] [CrossRef] [PubMed]
- Huang, F.; Wu, P.; Wang, L.D.; Chen, J.P.; Sun, C.L.; Yu, Z.K. Copper-Mediated Intramolecular, Oxidative C–H/C–H Cross-Coupling of α-Oxo Ketene N,S-Acetals for Indole Synthesis. J. Org. Chem. 2014, 79, 10553–10560. [Google Scholar] [CrossRef]
- Li, Y.; Li, Z.S.; Xiong, T.; Zhang, Q.; Zhang, X.Y. Copper-Catalyzed Selective Benzylic C–O Cyclization of N-o-Tolylbenzamides: Synthesis of 4H-3,1-benzoxazines. Org. Lett. 2012, 14, 3522–3525. [Google Scholar] [CrossRef]





![]() | ||||
|---|---|---|---|---|
| Entry | Additive | Solvent | Conversion (%) | Yield (%) b |
| 1 | CuI | DMF | 80 | 4 |
| 2 c | CuI | DMF | -- | ND |
| 3 d | CuI | DMF | -- | ND |
| 4 | CuCl | DMF | 91 | 28 |
| 5 | CuBr | DMF | 71 | 18 |
| 6 | CuF2 | DMF | 84 | 1 |
| 7 | CuO | DMF | -- | ND |
| 8 | Cu(OAc)2 | DMF | -- | ND |
| 9 | CuBr2 | DMF | -- | ND |
| 10 | CuCl | DMAc | 93 | 14 |
| 11 | CuCl | DMSO | 82 | 18 |
| 12 | CuCl | THF | 78 | 4 |
| 13 | CuCl | tert-pentanol | 40 | 5 |
| 14 | CuCl | toluene | -- | ND |
| 15 | CuCl | 1,4-dioxane | -- | ND |
| 16 e | CuCl | DMF | 83 | 35 |
| 17 f | CuCl | DMF | 85 | 61 |
| 18 g | CuCl | DMF | 98 | 49 |
| 19 h | CuCl | DMF | 100 | 53 |
| 20 i | CuCl | DMF | 100 | 50 |
![]() | |||||
|---|---|---|---|---|---|
| Entry | Oxidant | Additive | Solvent | Conversion (%) | Yield (%) b |
| 1 | CuO | CuCl | DMF | 86 | 25 |
| 2 c | CuO | CuCl | DMF | 84 | 16 |
| 3 d | CuO | CuCl | DMF | 91 | 12 |
| 4 | CuO | CuCl | DMAc | -- | 32 |
| 5 | CuO | CuCl | DCE | 93 | 10 |
| 6 | CuO | CuCl | CH3CN | 21 | |
| 7 | CuO | CuCl | toluene | -- | ND |
| 8 | CuO | CuCl | 1,4-dioxane | -- | ND |
| 9 | CuO | CuCl2·2H2O | DMAc | 89 | 33 |
| 10 | CuO | Cu(OH)2 | DMAc | 100 | 24 |
| 11 | CuO | CuCl2 | DMAc | 94 | 25 |
| 12 | CuO | CuBr | DMAc | 73 | 25 |
| 13 | Cu(OTf)2 | CuCl2·2H2O | DMAc | 82 | 50 |
| 14 | AgOTf | CuCl2·2H2O | DMAc | 90 | 46 |
| 15 | AgOAc | CuCl2·2H2O | DMAc | 63 | 26 |
| 16 e | Cu(OTf)2 | CuCl2·2H2O | DMAc | 87 | 59 |
| 17 f | Cu(OTf)2 | CuCl2·2H2O | DMAc | 95 | 65 |
Disclaimer/Publisher’s Note: The statements, opinions and data contained in all publications are solely those of the individual author(s) and contributor(s) and not of MDPI and/or the editor(s). MDPI and/or the editor(s) disclaim responsibility for any injury to people or property resulting from any ideas, methods, instructions or products referred to in the content. |
© 2023 by the authors. Licensee MDPI, Basel, Switzerland. This article is an open access article distributed under the terms and conditions of the Creative Commons Attribution (CC BY) license (https://creativecommons.org/licenses/by/4.0/).
Share and Cite
Zhang, Q.; Zhang, L.-Y.; Shi, X.-Y. Copper-Promoted Intramolecular Oxidative Dehydrogenation for Synthesizing Dihydroisocoumarins and Isocoumarins. Molecules 2023, 28, 6319. https://doi.org/10.3390/molecules28176319
Zhang Q, Zhang L-Y, Shi X-Y. Copper-Promoted Intramolecular Oxidative Dehydrogenation for Synthesizing Dihydroisocoumarins and Isocoumarins. Molecules. 2023; 28(17):6319. https://doi.org/10.3390/molecules28176319
Chicago/Turabian StyleZhang, Qiang, Lin-Yan Zhang, and Xian-Ying Shi. 2023. "Copper-Promoted Intramolecular Oxidative Dehydrogenation for Synthesizing Dihydroisocoumarins and Isocoumarins" Molecules 28, no. 17: 6319. https://doi.org/10.3390/molecules28176319
APA StyleZhang, Q., Zhang, L.-Y., & Shi, X.-Y. (2023). Copper-Promoted Intramolecular Oxidative Dehydrogenation for Synthesizing Dihydroisocoumarins and Isocoumarins. Molecules, 28(17), 6319. https://doi.org/10.3390/molecules28176319


