Binding Specificity of a Novel Cyclo/Maltodextrin-Binding Protein and Its Role in the Cyclodextrin ABC Importer System from Thermoanaerobacterales
Abstract
1. Introduction
2. Results and Discussion
2.1. MdxE Production and Purification
2.2. Homology Modeling of MdxE
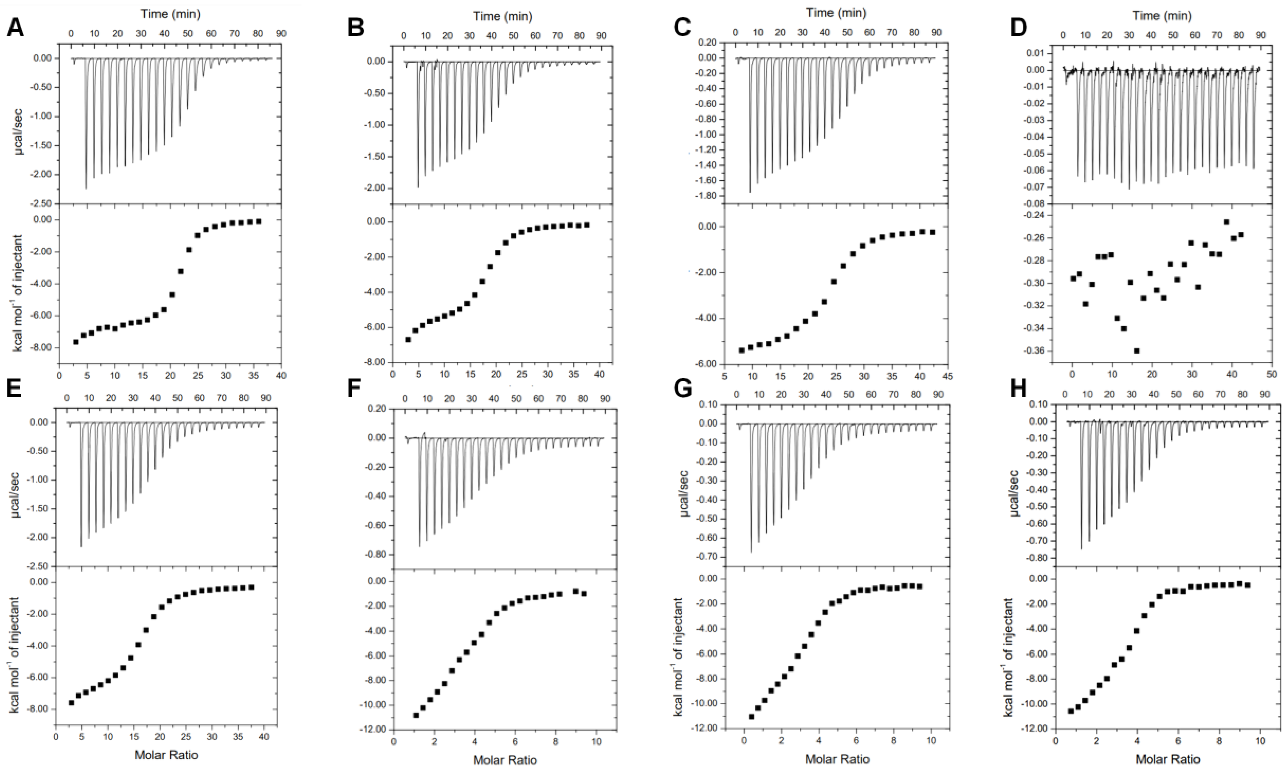
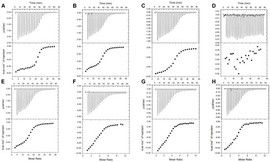
2.3. Determination of MdxE Binding Affinities
2.4. Determination of the Open-to-Closed Conformational Change by MdxE
2.5. Structural Basis for the Open-to-Closed Conformational Change of MdxE
2.6. Structural Insights into the Internalization Mechanism of CDs from Thermoanaerobacterales
3. Materials and Methods
3.1. Gene Cloning and Production of Recombinant MdxE
3.2. Purification of MdxE and SEC-DLS Analysis
3.3. ITC Measurements
3.4. Fluorescence Measurements
3.5. Homology Modeling and Docking Simulations
4. Conclusions
Supplementary Materials
Author Contributions
Funding
Institutional Review Board Statement
Informed Consent Statement
Data Availability Statement
Acknowledgments
Conflicts of Interest
Sample Availability
References
- Fiedler, G.; Pajatsch, M.; Böck, A. Genetics of a Novel Starch Utilisation Pathway Present in Klebsiella oxytoca. J. Mol. Biol. 1996, 256, 279–291. [Google Scholar] [CrossRef]
- Shim, J.-H.; Park, J.-T.; Hong, J.-S.; Kim, K.W.; Kim, M.-J.; Auh, J.-H.; Kim, Y.-W.; Park, C.-S.; Boos, W.; Kim, J.-W.; et al. Role of Maltogenic Amylase and Pullulanase in Maltodextrin and Glycogen Metabolism of Bacillus subtilis 168. J. Bacteriol. 2009, 191, 4835–4844. [Google Scholar] [CrossRef]
- Oslowski, D.M.; Jung, J.-H.; Seo, D.-H.; Park, C.-S.; Holden, J.F. Production of Hydrogen from α-1,4- and β-1,4-Linked Saccharides by Marine Hyperthermophilic Archaea. Appl. Environ. Microbiol. 2011, 77, 3169–3173. [Google Scholar] [CrossRef] [PubMed]
- Grégorio, C. A Review: A History of Cyclodextrins. Chem. Rev. 2014, 114, 10940–10975. [Google Scholar]
- Uitdehaag, J.C.; van der Veen, B.A.; Dijkhuizen, L.; Dijkstra, B.W. Catalytic mechanism and product specificity of cyclodextrin glycosyltransferase, a prototypical transglycosylase from the α-amylase family. Enzym. Microb. Technol. 2002, 30, 295–304. [Google Scholar] [CrossRef]
- Janeček, Š.; Gabriško, M. Remarkable evolutionary relatedness among the enzymes and proteins from the α-amylase family. Cell. Mol. Life Sci. 2016, 73, 2707–2725. [Google Scholar] [CrossRef] [PubMed]
- Van der Veen, B.A.; van Alebeek, G.W.M.; Uitdehaag, J.C.M.; Dijkstra, B.W.; Dijkhuizen, L. The three transglycosylation reactions catalyzed by cyclodextrin glycosyltransferase from Bacillus circulans (strain 251) proceed via different kinetic mechanisms. JBIC J. Biol. Inorg. Chem. 2000, 267, 658–665. [Google Scholar] [CrossRef] [PubMed]
- Thomas, A.; Moinuddin, K.; Tretsiakova-McNally, S.; Joseph, P. A Kinetic Analysis of the Thermal Degradation Behaviours of Some Bio-Based Substrates. Polymers 2020, 12, 1830. [Google Scholar] [CrossRef]
- Poulson, B.G.; Alsulami, Q.A.; Sharfalddin, A.; El Agammy, E.F.; Mouffouk, F.; Emwas, A.-H.; Jaremko, L.; Jaremko, M. Cyclodextrins: Structural, Chemical, and Physical Properties, and Applications. Polysaccharides 2021, 3, 1–31. [Google Scholar] [CrossRef]
- Pandolfo, E.; Caracciolo, A.B.; Rolando, L. Recent Advances in Bacterial Degradation of Hydrocarbons. Water 2023, 15, 375. [Google Scholar] [CrossRef]
- Mousset, E.; Oturan, N.; van Hullebusch, E.D.; Guibaud, G.; Esposito, G.; Oturan, M.A. Influence of solubilizing agents (cyclodextrin or surfactant) on phenanthrene degradation by electro-Fenton process—Study of soil washing recycling possibilities and environmental impact. Water Res. 2014, 48, 306–316. [Google Scholar] [CrossRef]
- Shishido, T.K.; Jokela, J.; Kolehmainen, C.-T.; Fewer, D.P.; Wahlsten, M.; Wang, H.; Rouhiainen, L.; Rizzi, E.; De Bellis, G.; Permi, P.; et al. Antifungal activity improved by coproduction of cyclodextrins and anabaenolysins in Cyanobacteria. Proc. Natl. Acad. Sci. USA 2015, 112, 13669–13674. [Google Scholar] [CrossRef] [PubMed]
- Centeno-Leija, S.; Espinosa-Barrera, L.; Velazquez-Cruz, B.; Cárdenas-Conejo, Y.; Virgen-Ortíz, R.; Valencia-Cruz, G.; Saenz, R.A.; Marín-Tovar, Y.; Gómez-Manzo, S.; Hernández-Ochoa, B.; et al. Mining for novel cyclomaltodextrin glucanotransferases unravels the carbohydrate metabolism pathway via cyclodextrins in Thermoanaerobacterales. Sci. Rep. 2022, 12, 730. [Google Scholar] [CrossRef] [PubMed]
- Pajatsch, M.; Gerhart, M.; Peist, R.; Horlacher, R.; Boos, W.; Böck, A. The Periplasmic Cyclodextrin Binding Protein CymE from Klebsiella oxytoca and Its Role in Maltodextrin and Cyclodextrin Transport. J. Bacteriol. 1998, 180, 2630–2635. [Google Scholar] [CrossRef]
- Hashimoto, Y.; Yamamoto, T.; Fujiwara, S.; Takagi, M.; Imanaka, T. Extracellular Synthesis, Specific Recognition, and Intracellular Degradation of Cyclomaltodextrins by the Hyperthermophilic Archaeon Thermococcus sp. Strain B1001. J. Bacteriol. 2001, 183, 5050–5057. [Google Scholar] [CrossRef]
- Thomas, C.; Tampé, R. Structural and Mechanistic Principles of ABC Transporters. Annu. Rev. Biochem. 2020, 89, 605–636. [Google Scholar] [CrossRef] [PubMed]
- Mächtel, R.; Narducci, A.; Griffith, D.A.; Cordes, T.; Orelle, C. An integrated transport mechanism of the maltose ABC importer. Res. Microbiol. 2019, 170, 321–337. [Google Scholar] [CrossRef]
- Leisico, F.; Godinho, L.M.; Gonçalves, I.C.; Silva, S.P.; Carneiro, B.; Romão, M.J.; Santos-Silva, T.; de Sá-Nogueira, I. Multitask ATPases (NBDs) of bacterial ABC importers type I and their interspecies exchangeability. Sci. Rep. 2020, 10, 19564. [Google Scholar] [CrossRef]
- Van den Berg, B.; Prathyusha Bhamidimarri, S.; Dahyabhai Prajapati, J.; Kleinekathöfer, U.; Winterhalter, M. Outer-membrane translocation of bulky small molecules by passive diffusion. Proc. Natl. Acad. Sci. USA 2015, 112, 2991–2999. [Google Scholar] [CrossRef]
- Kamionka, A.; Dahl, M.K. Bacillus subtilis contains a cyclodextrin-binding protein which is part of a putative ABC-transporter. FEMS Microbiol. Lett. 2001, 204, 55–60. [Google Scholar] [CrossRef]
- Tonozuka, T.; Sogawa, A.; Yamada, M.; Matsumoto, N.; Yoshida, H.; Kamitori, S.; Ichikawa, K.; Mizuno, M.; Nishikawa, A.; Sakano, Y. Structural basis for cyclodextrin recognition by Thermoactinomyces vulgaris cyclo/maltodextrin-binding protein. FEBS J. 2007, 274, 2109–2120. [Google Scholar] [CrossRef] [PubMed]
- Hülsmann, A.; Lurz, R.; Scheffel, F.; Schneider, E. Maltose and Maltodextrin Transport in the Thermoacidophilic Gram-Positive Bacterium Alicyclobacillus acidocaldarius Is Mediated by a High-Affinity Transport System That Includes a Maltose Binding Protein Tolerant to Low pH. J. Bacteriol. 2000, 182, 6292–6301. [Google Scholar] [CrossRef] [PubMed]
- Liu, F.; Liang, J.; Zhang, B.; Gao, Y.; Yang, X.; Hu, T.; Yang, H.; Xu, W.; Guddat, L.W.; Rao, Z. Structural basis of trehalose recycling by the ABC transporter LpqY-SugABC. Sci. Adv. 2020, 6, 9833. [Google Scholar] [CrossRef] [PubMed]
- Hall, J.A.; Ganesan, A.K.; Chen, J.; Nikaido, H. Two modes of ligand binding in maltose-binding protein of Escherichia coli: Functional significance in active transport. J. Biol. Chem. 1997, 272, 17615–17622. [Google Scholar] [CrossRef] [PubMed]
- Medintz, I.L.; Deschamps, J.R. Maltose-binding protein: A versatile platform for prototyping biosensing. Curr. Opin. Biotechnol. 2006, 17, 17–27. [Google Scholar] [CrossRef]
- Gouridis, G.; Schuurman-Wolters, G.K.; Ploetz, E.; Husada, F.; Vietrov, R.; de Boer, M.; Cordes, T.; Poolman, B. Conformational dynamics in substrate-binding domains influences transport in the ABC importer GlnPQ. Nat. Struct. Mol. Biol. 2014, 22, 57–64. [Google Scholar] [CrossRef]
- De Boer, M.; Gouridis, G.; Vietrov, R.; Begg, S.L.; Schuurman-Wolters, G.K.; Husada, F.; Eleftheriadis, N.; Poolman, B.; McDevitt, C.A.; Cordes, T. Conformational and dynamic plasticity in substrate-binding proteins underlies selective transport in ABC importers. Elife 2019, 8, 44652. [Google Scholar] [CrossRef]
- Podkovyrov, S.M.; Zeikus, J.G. Structure of the gene encoding cyclomaltodextrinase from Clostridium thermohydrosulfuricum 39E and characterization of the enzyme purified from Escherichia coli. J. Bacteriol. 1992, 174, 5400–5405. [Google Scholar] [CrossRef][Green Version]
- Zheng, Y.; Xue, Y.; Zhang, Y.; Zhou, C.; Schwaneberg, U.; Ma, Y. Cloning, expression, and characterization of a thermostable glucoamylase from Thermoanaerobacter tengcongensis MB4. Appl. Microbiol. Biotechnol. 2010, 87, 225–233. [Google Scholar] [CrossRef]
- Chen, S.; Liu, J.; Pei, H.; Li, J.; Zhou, J.; Xiang, H. Molecular investigation of a novel thermostable glucan phosphorylase from Thermoanaerobacter tengcongensis. Enzym. Microb. Technol. 2007, 41, 390–396. [Google Scholar] [CrossRef]
- Li, Z.; Jiang, N.; Yang, K.; Zheng, J. Cloning, expression, and characterization of a thermostable glucose-6-phosphate dehydrogenase from Thermoanaerobacter tengcongensis. Extremophiles 2016, 20, 149–156. [Google Scholar] [CrossRef]
- Lee, H.-S.; Shockley, K.R.; Schut, G.J.; Conners, S.B.; Montero, C.I.; Johnson, M.R.; Chou, C.-J.; Bridger, S.L.; Wigner, N.; Brehm, S.D.; et al. Transcriptional and Biochemical Analysis of Starch Metabolism in the Hyperthermophilic Archaeon Pyrococcus furiosus. J. Bacteriol. 2006, 188, 2115–2125. [Google Scholar] [CrossRef]
- Labes, A.; Schönheit, P. Unusual Starch Degradation Pathway via Cyclodextrins in the Hyperthermophilic Sulfate-Reducing Archaeon Archaeoglobus fulgidus Strain 7324. J. Bacteriol. 2007, 189, 8901–8913. [Google Scholar] [CrossRef] [PubMed]
- Davidson, A.L.; Chen, J. ATP-Binding Cassette Transporters in Bacteria. Annu. Rev. Biochem. 2004, 73, 241–268. [Google Scholar] [CrossRef] [PubMed]
- Schäfer, K.; Magnusson, U.; Scheffel, F.; Schiefner, A.; Sandgren, M.O.; Diederichs, K.; Welte, W.; Hülsmann, A.; Schneider, E.; Mowbray, S.L. X-ray Structures of the Maltose–Maltodextrin-binding Protein of the Thermoacidophilic Bacterium Alicyclobacillus acidocaldarius Provide Insight into Acid Stability of Proteins. J. Mol. Biol. 2004, 335, 261–274. [Google Scholar] [CrossRef]
- Matsumoto, N.; Yamada, M.; Kurakata, Y.; Yoshida, H.; Kamitori, S.; Nishikawa, A.; Tonozuka, T. Crystal structures of open and closed forms of cyclo/maltodextrin-binding protein. FEBS J. 2009, 276, 3008–3019. [Google Scholar] [CrossRef] [PubMed]
- Duan, X.; Hall, J.A.; Nikaido, H.; Quiocho, F.A. Crystal structures of the maltodextrin/maltose-binding protein complexed with reduced oligosaccharides: Flexibility of tertiary structure and ligand binding. J. Mol. Biol. 2001, 306, 1115–1126. [Google Scholar] [CrossRef]
- Spiwok, V. CH/π Interactions in Carbohydrate Recognition. Molecules 2017, 22, 1038. [Google Scholar] [CrossRef]
- Quiocho, F.A.; Spurlino, J.C.; Rodseth, L.E. Extensive features of tight oligosaccharide binding revealed in high-resolution structures of the maltodextrin transport/chemosensory receptor. Structure 1997, 5, 997–1015. [Google Scholar] [CrossRef]
- van der Veen, B.A.; Uitdehaag, J.C.M.; Dijkstra, B.W.; Dijkhuizen, L. The role of arginine 47 in the cyclization and coupling reactions of cyclodextrin glycosyltransferase from Bacillus circulans strain 251. JBIC J. Biol. Inorg. Chem. 2000, 267, 3432–3441. [Google Scholar] [CrossRef]
- Ohtaki, A.; Kondo, S.; Shimura, Y.; Tonozuka, T.; Sakano, Y.; Kamitori, S. Role of Phe286 in the recognition mechanism of cyclomaltooligosaccharides (cyclodextrins) by Thermoactinomyces vulgaris R-47 α-amylase 2 (TVAII). X-ray structures of the mutant TVAIIs, F286A and F286Y, and kinetic analyses of the Phe286-replaced mutant TVAIIs. Carbohydr. Res. 2001, 334, 309–313. [Google Scholar] [PubMed]
- Jones, C.R.; Ray, M.; Dawson, K.A.; Strobel, H.J. High-Affinity Maltose Binding and Transport by the Thermophilic Anaerobe Thermoanaerobacter ethanolicus 39E. Appl. Environ. Microbiol. 2000, 66, 995–1000. [Google Scholar] [CrossRef] [PubMed][Green Version]
- Labes, A.; Schönheit, P. Sugar utilization in the hyperthermophilic, sulfate-reducing archaeon Archaeoglobus fulgidus strain 7324: Starch degradation to acetate and CO2 via a modified Embden-Meyerhof pathway and acetyl-CoA synthetase (ADP-forming). Arch. Microbiol. 2001, 176, 329–338. [Google Scholar] [CrossRef] [PubMed]
- Schönert, S.; Seitz, S.; Krafft, H.; Feuerbaum, E.-A.; Andernach, I.; Witz, G.; Dahl, M.K. Maltose and Maltodextrin Utilization by Bacillus subtilis. J. Bacteriol. 2006, 188, 3911–3922. [Google Scholar] [CrossRef]
- Shukla, S.; Bafna, K.; Gullett, C.; Myles, D.A.A.; Agarwal, P.K.; Cuneo, M.J. Differential Substrate Recognition by Maltose Binding Proteins Influenced by Structure and Dynamics. Biochemistry 2018, 57, 5864–5876. [Google Scholar] [CrossRef]
- Lu, C.; Quiocho, G.Y.A.; Sharff, F.A.; Rodseth, A.J.; Spurlino, L.E.; Quiocho, J.C. Refined 1.8-A Structure Reveals the Mode of Binding of P-Cyclodextrin to the Maltodextrin Binding Protein. Biochemistry 1993, 32, 10553–10559. [Google Scholar]
- De la Cruz-Torres, L.F.; Rodríguez-Celestino, V.; Centeno-Leija, S.; Serrano-Posada, H.; Ceballos-Magaña, S.G.; Aguilar-Padilla, J.; Mancilla-Margalli, N.A.; Osuna-Castro, J.A. Development of a rapid, high-sensitivity, low-cost fluorescence method for protein surface hydrophobicity determination using a Nanodrop fluorospectrometer. Food Chem. 2022, 396, 133681. [Google Scholar] [CrossRef]
- Deshpande, M.; Sathe, S.K. Interactions with 8-Anilinonaphthalene-1-sulfonic Acid (ANS) and Surface Hydrophobicity of Black Gram (Vigna mungo) Phaseolin. J. Food Sci. 2018, 83, 1847–1855. [Google Scholar] [CrossRef]
- Thompson, J.D.; Higgins, D.G.; Gibson, T.J. CLUSTAL W: Improving the sensitivity of progressive multiple sequence alignment through sequence weighting, position-specific gap penalties and weight matrix choice. Nucleic Acids Res. 1994, 22, 4673–4680. [Google Scholar] [CrossRef]
- Oldham, M.L.; Chen, J. Snapshots of the maltose transporter during ATP hydrolysis. Proc. Natl. Acad. Sci. USA 2011, 108, 15152–15156. [Google Scholar] [CrossRef]
- Oldham, M.L.; Chen, S.; Chen, J. Structural basis for substrate specificity in the Escherichia coli maltose transport system. Proc. Natl. Acad. Sci. USA 2013, 110, 18132–18137. [Google Scholar] [CrossRef] [PubMed]
- Oldham, M.L.; Chen, J. Crystal Structure of the Maltose Transporter in a Pretranslocation Intermediate State. Science 2011, 332, 1202–1205. [Google Scholar] [CrossRef]
- Wen, P.-C.; Tajkhorshid, E. Conformational Coupling of the Nucleotide-Binding and the Transmembrane Domains in ABC Transporters. Biophys. J. 2011, 101, 680–690. [Google Scholar] [CrossRef] [PubMed]
- Chen, J.; Lu, G.; Lin, J.; Davidson, A.L.; Quiocho, F.A. A Tweezers-like Motion of the ATP-Binding Cassette Dimer in an ABC Transport Cycle. Mol. Cell 2003, 12, 651–661. [Google Scholar] [CrossRef] [PubMed]
- Khare, D.; Oldham, M.L.; Orelle, C.; Davidson, A.L.; Chen, J. Alternating Access in Maltose Transporter Mediated by Rigid-Body Rotations. Mol. Cell 2009, 33, 528–536. [Google Scholar] [CrossRef]
- Bradford, M.M. A rapid and sensitive method for the quantitation of microgram quantities of protein utilizing the principle of protein-dye binding. Anal. Biochem. 1976, 72, 248–254. [Google Scholar] [CrossRef] [PubMed]
- Aguilar-Padilla, J.; Centeno-Leija, S.; Bojórquez-Velázquez, E.; Elizalde-Contreras, J.M.; Ruiz-May, E.; Serrano-Posada, H.; Osuna-Castro, J.A. Characterization of the Technofunctional Properties and Three-Dimensional Structure Prediction of 11S Globulins from Amaranth (Amaranthus hypochondriacus L.) Seeds. Foods 2023, 12, 461. [Google Scholar] [CrossRef]
- Lenth, R.V.; Bolker, B.; Buerkner, P.; Giné-Vázquez, I.; Herve, M.; Jung, M.; Love, J.; Miguez, F.; Riebl, H.; Singmann, H. emmeans: Estimated Marginal Means, Aka Least-Squares Means. R Package Version 1.8.7. 2023. Available online: https://CRAN.R-project.org/package=emmeans (accessed on 1 July 2023).
- R core Team. A Language and Environment for Statistical Computing. R Foundation for Statistical Computing. 2023. Available online: https://www.r-project.org/ (accessed on 1 July 2023).
- Waterhouse, A.; Bertoni, M.; Bienert, S.; Studer, G.; Tauriello, G.; Gumienny, R.; Heer, F.T.; De Beer, T.A.P.; Rempfer, C.; Bordoli, L.; et al. SWISS-MODEL: Homology modelling of protein structures and complexes. Nucleic Acids Res. 2018, 46, W296–W303. [Google Scholar] [CrossRef]
- Emsley, P.; Lohkamp, B.; Scott, W.G.; Cowtan, K. Features and development of Coot. Acta Crystallogr. D Biol. Crystallogr. 2010, 66, 486–501. [Google Scholar] [CrossRef]
- Land, H.; Humble, M.S. YASARA: A tool to obtain structural guidance in biocatalytic investigations. Methods Mol. Biol. 2018, 1685, 43–67. [Google Scholar]
- Williams, C.J.; Headd, J.J.; Moriarty, N.W.; Prisant, M.G.; Videau, L.L.; Deis, L.N.; Verma, V.; Keedy, D.A.; Hintze, B.J.; Chen, V.B.; et al. MolProbity: More and better reference data for improved all-atom structure validation. Protein Sci. 2018, 27, 293–315. [Google Scholar] [CrossRef] [PubMed]
- Morris, G.M.; Huey, R.; Lindstrom, W.; Sanner, M.F.; Belew, R.K.; Goodsell, D.S.; Olson, A.J. AutoDock4 and AutoDockTools4: Automated docking with selective receptor flexibility. J. Comput. Chem. 2009, 30, 2785–2791. [Google Scholar] [CrossRef] [PubMed]
- Kim, S.; Chen, J.; Cheng, T.; Gindulyte, A.; He, J.; He, S.; Li, Q.; Shoemaker, B.A.; Thiessen, P.A.; Yu, B.; et al. PubChem 2023 update. Nucleic Acids Res. 2023, 51, 373–380. [Google Scholar] [CrossRef] [PubMed]
- Hanwell, M.D.; Curtis, D.E.; Lonie, D.C.; Vandermeersch, T.; Zurek, E.; Hutchison, G.R. SOFTWARE Open Access Avogadro: An advanced semantic chemical editor, visualization, and analysis platform. J. Cheminformatics 2012, 4, 17. [Google Scholar] [CrossRef]
- BIOVIA DS Discovery Studio Modeling Enviroment. Dassault System. 2021. Available online: https://www.3ds.com/products-services/biovia/products/molecular-modeling-simulation/biovia-discovery-studio/ (accessed on 1 May 2023).
- Pettersen, E.F.; Goddard, T.D.; Huang, C.C.; Meng, E.C.; Couch, G.S.; Croll, T.I.; Morris, J.H.; Ferrin, T.E. UCSF ChimeraX: Structure visualization for researchers, educators, and developers. Protein Sci. 2021, 30, 70–82. [Google Scholar] [CrossRef]








| Ligand | Kd (μM) | ||||
|---|---|---|---|---|---|
| MdxE | TvuCMBP * | EcoMBP * | AcyMBP * | CymE * | |
| G2 | ND | 0.41 | 1.0 | 1.5 | ND |
| G3 | 3.02 | 0.97 | 0.2 | - | - |
| G5 | 2.44 | 0.2 | - | - | - |
| G6 | 1.85 | - | - | - | - |
| G7 | 0.91 | - | - | - | 70 |
| α-CD | 0.61 | 0.73 | - | - | 0.02 |
| β-CD | 2.04 | 1.2 | 1.0 | - | 0.14 |
| γ-CD | 1.51 | 0.23 | - | - | 0.3 |
| Ligand | Fluorescence Analysis | ITC Analysis | |||
|---|---|---|---|---|---|
| Ho | R2 | ΔH (kcal mol−1) | ΔG (kcal mol−1) | Kd (μM) | |
| α-CD | 37.1 a | 0.989 | −6.83 | −7.21 | 0.61 |
| β-CD | 41.8 b | 0.992 | −5.28 | −5.82 | 2.04 |
| γ-CD | 24.5 c | 0.965 | −6.50 | −6.90 | 1.51 |
| G3 | 24.3 c | 0.981 | −8.64 | −8.50 | 3.02 |
| G5 | 27.3 c | 0.994 | −13.94 | −8.30 | 2.44 |
| G6 | 26.8 c | 0.977 | −12.98 | −8.61 | 1.85 |
| G7 | 27.1 c | 0.963 | −11.54 | −9.09 | 0.91 |
| G2 | 15.1 d | 0.973 | ND | ND | ND |
| MdxE (blank) | 13.92 d | 0.952 | - | - | - |
Disclaimer/Publisher’s Note: The statements, opinions and data contained in all publications are solely those of the individual author(s) and contributor(s) and not of MDPI and/or the editor(s). MDPI and/or the editor(s) disclaim responsibility for any injury to people or property resulting from any ideas, methods, instructions or products referred to in the content. |
© 2023 by the authors. Licensee MDPI, Basel, Switzerland. This article is an open access article distributed under the terms and conditions of the Creative Commons Attribution (CC BY) license (https://creativecommons.org/licenses/by/4.0/).
Share and Cite
Aranda-Caraballo, J.; Saenz, R.A.; López-Zavala, A.A.; Velazquez-Cruz, B.; Espinosa-Barrera, L.; Cárdenas-Conejo, Y.; Zárate-Romero, A.; Linares-Vergara, O.; Osuna-Castro, J.A.; Bonales-Alatorre, E.; et al. Binding Specificity of a Novel Cyclo/Maltodextrin-Binding Protein and Its Role in the Cyclodextrin ABC Importer System from Thermoanaerobacterales. Molecules 2023, 28, 6080. https://doi.org/10.3390/molecules28166080
Aranda-Caraballo J, Saenz RA, López-Zavala AA, Velazquez-Cruz B, Espinosa-Barrera L, Cárdenas-Conejo Y, Zárate-Romero A, Linares-Vergara O, Osuna-Castro JA, Bonales-Alatorre E, et al. Binding Specificity of a Novel Cyclo/Maltodextrin-Binding Protein and Its Role in the Cyclodextrin ABC Importer System from Thermoanaerobacterales. Molecules. 2023; 28(16):6080. https://doi.org/10.3390/molecules28166080
Chicago/Turabian StyleAranda-Caraballo, Jorge, Roberto A. Saenz, Alonso A. López-Zavala, Beatriz Velazquez-Cruz, Laura Espinosa-Barrera, Yair Cárdenas-Conejo, Andrés Zárate-Romero, Oscar Linares-Vergara, Juan A. Osuna-Castro, Edgar Bonales-Alatorre, and et al. 2023. "Binding Specificity of a Novel Cyclo/Maltodextrin-Binding Protein and Its Role in the Cyclodextrin ABC Importer System from Thermoanaerobacterales" Molecules 28, no. 16: 6080. https://doi.org/10.3390/molecules28166080
APA StyleAranda-Caraballo, J., Saenz, R. A., López-Zavala, A. A., Velazquez-Cruz, B., Espinosa-Barrera, L., Cárdenas-Conejo, Y., Zárate-Romero, A., Linares-Vergara, O., Osuna-Castro, J. A., Bonales-Alatorre, E., Centeno-Leija, S., & Serrano-Posada, H. (2023). Binding Specificity of a Novel Cyclo/Maltodextrin-Binding Protein and Its Role in the Cyclodextrin ABC Importer System from Thermoanaerobacterales. Molecules, 28(16), 6080. https://doi.org/10.3390/molecules28166080

