From Monographs to Chromatograms: The Antimicrobial Potential of Inula helenium L. (Elecampane) Naturalised in Ireland
Abstract
1. Introduction
1.1. Ethnobotany in Drug Discovery
1.2. Traditional Use to Modern Research
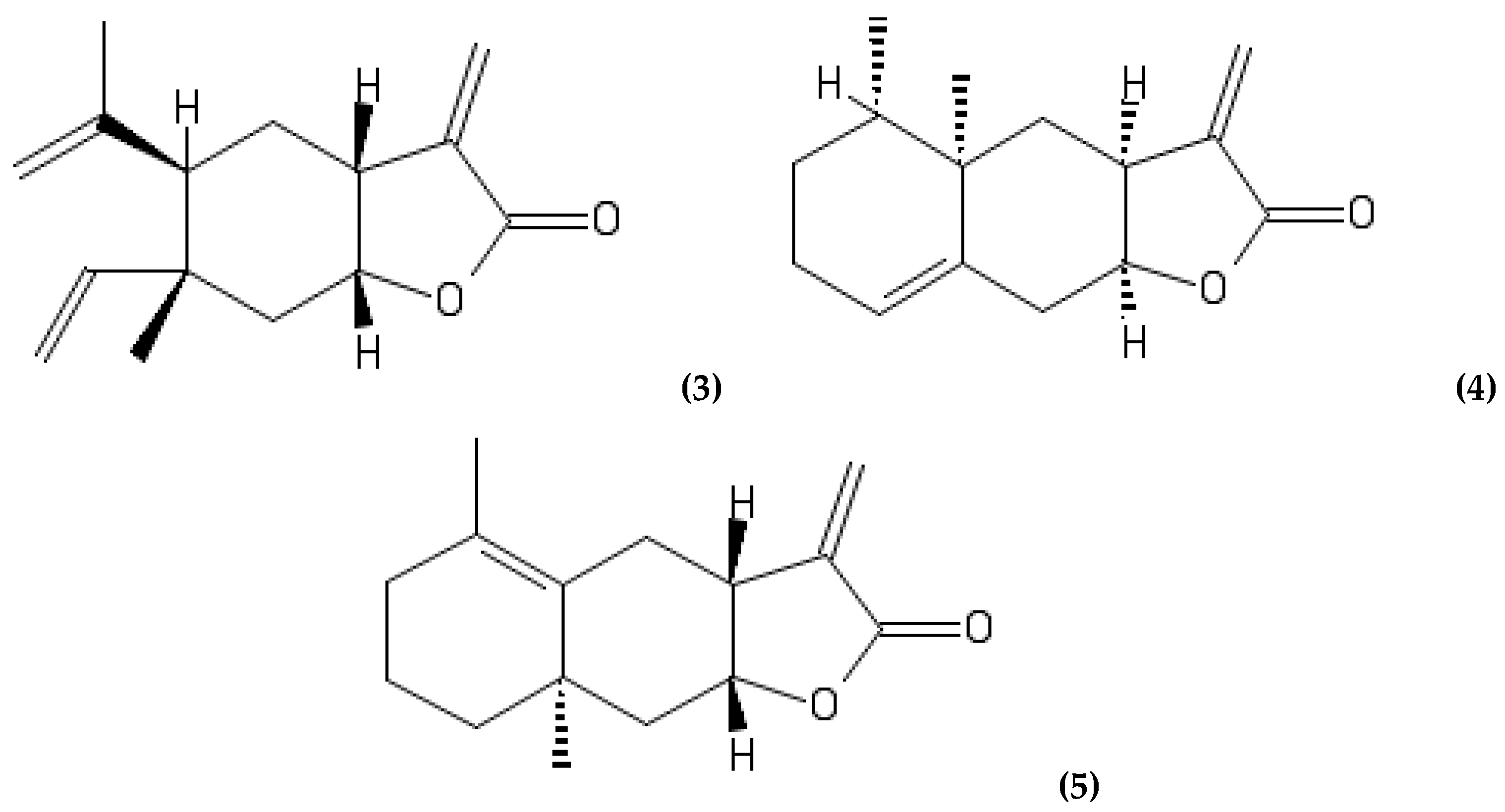
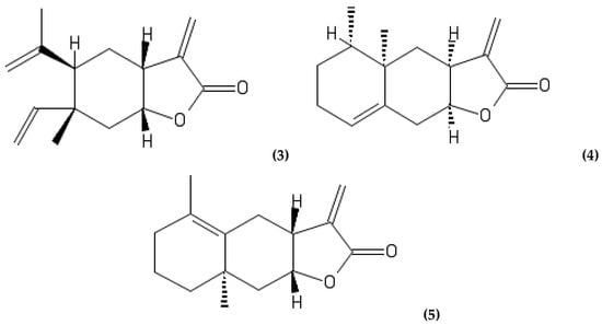
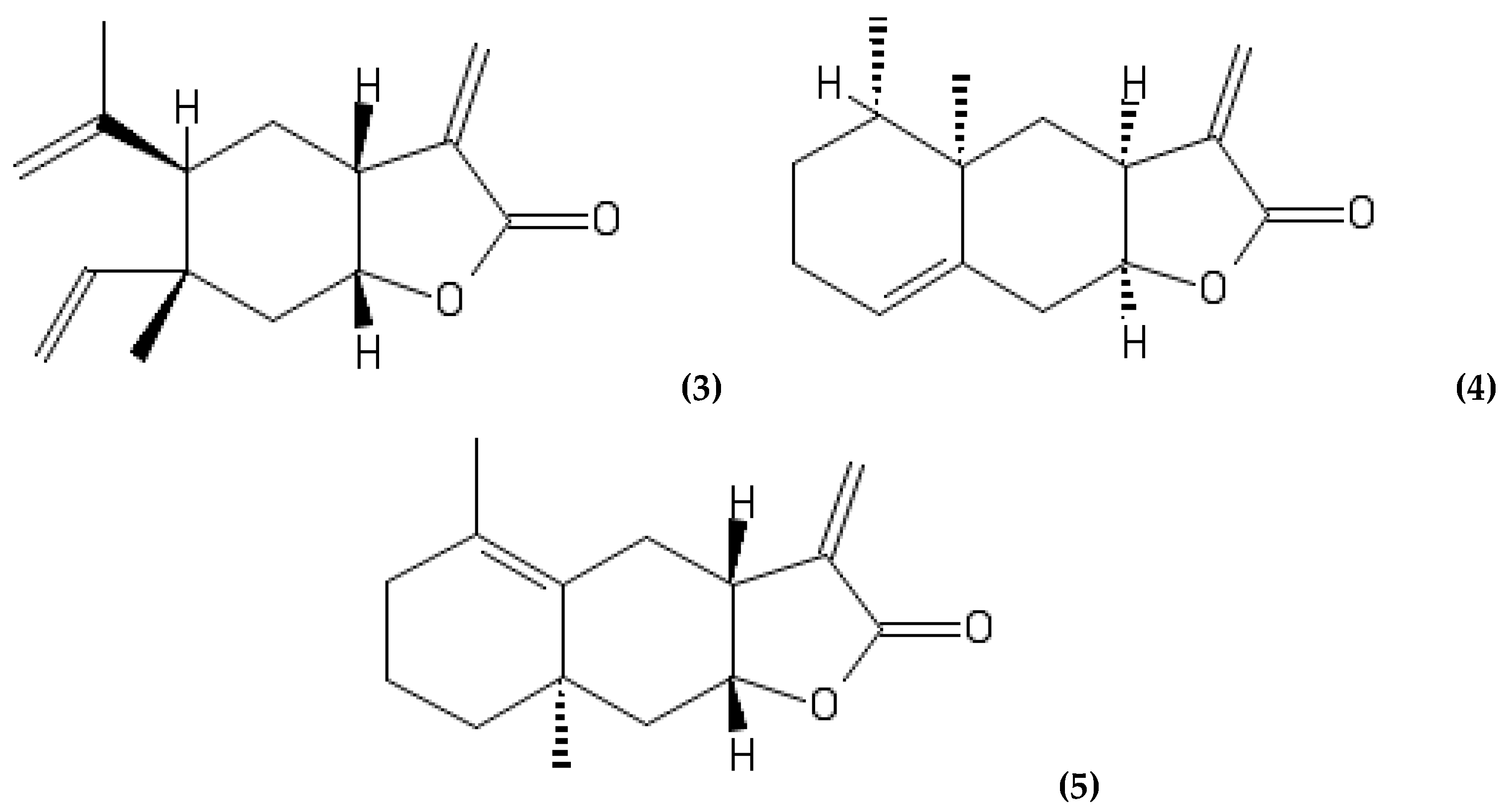
1.3. Antimicrobial Potential of Elecampane SLs
| Group | No. | Identified Compound(s) | Reference(s) |
|---|---|---|---|
| Eud- | 1 | Alantolactone | [94,95,96,97,98] |
| 2 | Isoalantolactone | [99,100,101] | |
| 3 | Dihydroalantolactone | [102,103,104,105] | |
| 4 | Dihydroisoalantolactone | [102,103,104,105] | |
| 5 | Tetrahydroalantolactone | [106] | |
| 6 | Alloalantolactone (= 1-Deoxyivangustin, = (+)-Diplophyllin) | [107] | |
| 7 | Bialantolactone | [108] | |
| 8 | Trinoralantolactone | [108] | |
| 9 | 5α-Epoxyalantolactone | [107] | |
| 10 | 4-Noralantolactone (= 4-oxo-5(6),11-eudesmadiene-8,12-olide) | [109] | |
| 11 | 4-Norisoalantolactone (= 4-oxo-11-eudesmene-8,12-olide) | [109] | |
| 12 | 1α-Hydroxy-11,13-dihydroisoalantolactone | [110] | |
| 13 | 3α-Hydroxy-11,13-dihydroalantolactone | [110] | |
| 14 | Macrophyllilactone E | [110] | |
| 14 | 4α,15α-Epoxyisoalantolactone | [108] | |
| 15 | 4,5-seco-Eudesm-11(13)-en-4,5-dioxo-8β,12-olide (=Umbellifolide) | [108] | |
| 16 | 11α-Hydroxyeudesm-5-en-8β,12-olide | [108] | |
| 17 | 3α-Hydroxyeudesma-4,11-dien-8β,12-olide | [108] | |
| 18 | Telekin | [108] | |
| 19 | 3-Oxo-eudesma-4(5),11-dien-8,12-olide (= 3-Oxoalloalantolactone) | [111] | |
| 20 | 11α,13-Dihydro-α-cyclocostunolide | [112] | |
| 21 | 11α,13-Dihydro-β-cyclocostunolide | [112] | |
| 22 | 15-Hydroxy-11βH-eudesm-4-en-8β,12-olide | [112] | |
| 23 | 3α-Hydroxy-11βH-eudesm-5-en-8β,12-olide | [112] | |
| 24 | 2β,11α-Dihydroxy-eudesm-5-en-8β,12-olide | [112] | |
| 25 | Isoheleproline | [113] | |
| 26 | 11β-Hydroxy-13-chloro-eudesm-5-en-8β,12-olide | [7] | |
| 27 | 5-epi-telekin | [7] | |
| 28 | Racemosalactone A | [7] | |
| 29 | Macrophyllilactone F | [74] | |
| El- | 30 | Igala (= 1,3,11(13)-Elematrien-8β,12-olide) | [105] |
| Er- | 31 | Dugesialactone | [114] |
| Gua- | 32 | Dehydrocostus lactone | [112] |
| 33 | 4α-Hydroxy-1β-guaia-11(13),10(14)-dien-12,8α-olide | [111] | |
| Ger- | 34 | Germacrene-D-lactone (= Germacra-1(10),4(15),5(6),11(13)-tetraen-8,12-olide) | [107] |
| 35 | 4β,5α-Epoxygermacra-1(10),11(13)-dien-12,8α-olide | [105] | |
| 36 | Isocostunolide | [79] | |
| 37 | (1(10)E)-5β-Hydroxygermacra-1(10),4(15),11(13)-trien-12,8α-olide | [109] | |
| 38 | 14-Hydroxy-11β,13-dihydrocostunolide/ 11β, 13-Dihydro-14-hydrocostunolide | [8,112] | |
| 39 | Costunolide | [112] | |
| 40 | 5β-Hydroxygermacra-1(10),4(15),11(13)-trien-12,8β-olide | [108] | |
| 41 | 4α,5α-Epoxygermacra-1(10),11(13)-dien-12,8β-olide | [108] |
2. Results and Discussion
3. Materials and Methods
3.1. Crude Extract Preparation
3.1.1. Sources of Plant Material
3.1.2. Traditional Maceration
3.2. Bioactivity-Guided Fractionation of Antimicrobial Compounds
3.2.1. Gravity-Eluted Size-Exclusion Chromatography
3.2.2. Bacterial Strains and Media Preparation
- Clinical diagnostic reference strain S. aureus NCTC 6571 (cross-referenced in the American Type Culture Collection (ATCC) as ATCC 9144 [133]).
- S. aureus clinical isolates from Cork University Hospital (CUH), Co. Cork, Ireland.
- Culture media prepared as per manufacturer guidelines: Mueller Hinton (MH) broth (Lab M, Lancashire, U.K.; Lot: 141370/357) and agar (Lab M, Lancashire, U.K.; Lot: 144209/172). Cation-adjusted Mueller Hinton II (MHII) broth (Sigma-Aldrich, Darmstadt, Germany; Lot: BCBT9094) and agar (Sigma-Aldrich, Darmstadt, Germany; Lot: BCBV4646).
- Sodium chloride (PanReac AppliChem, Barcelona, Spain; Lot: 0000893728).
- Glycerol solution, 84–88% (Sigma-Aldrich, Darmstadt, Germany; Lot: SZBC010BV).
- Alantolactone standard (Sigma, Darmstadt, Germany; Lot No. 125M4751V).
- Isoalantolactone standard (CliniSciences; HY-N0780/CS-3635; Batch No. 20994).
3.2.3. Preparation of S. aureus Stocks
3.2.4. In Vitro Agar-Well Screening (Modified EUCAST Disk-Diffusion Method)
3.2.5. Solvent Tolerance Test
3.3. Structural Investigation of Bioactive Fractions
3.3.1. Sample Preparation
3.3.2. Standards and Reagents
3.3.3. HPLC-DAD Analysis
3.3.4. Semipreparative HPLC Separation
3.3.5. 1H NMR Spectroscopy
4. Conclusions
Supplementary Materials
Author Contributions
Funding
Institutional Review Board Statement
Informed Consent Statement
Data Availability Statement
Conflicts of Interest
Sample Availability
References
- World Health Organization (WHO). Antibacterial Agents in Clinical Development: An Analysis of the Antibacterial Clinical Development Pipeline, Including Tuberculosis; (WHO/EMP/IAU/2017.12); Licence: CC BY-NC-SA 2.0 IGO; World Health Organization: Geneva, Switzerland, 2017. [Google Scholar]
- Schultes, R.E. Amazonian Ethnobotany and the Search for New Drugs. Ciba Found. Symp. 1994, 185, 106–112. [Google Scholar] [CrossRef] [PubMed]
- Kenny, C.R.; Furey, A.; Lucey, B. A Post-Antibiotic Era Looms: Can Plant Natural Product Research Fill the Void? Br. J. Biomed. Sci. 2015, 72, 191–200. [Google Scholar] [CrossRef] [PubMed]
- World Health Organization (WHO). Lack of New Antibiotics Threatens Global Efforts to Contain Drug-Resistant Infections. Available online: https://www.who.int/news/item/17-01-2020-lack-of-new-antibiotics-threatens-global-efforts-to-contain-drug-resistant-infections (accessed on 2 November 2020).
- Abreu, A.C.; Coqueiro, A.; Sultan, A.R.; Lemmens, N.; Kim, H.K.; Verpoorte, R.; Van Wamel, W.J.B.; Simões, M.; Choi, Y.H. Looking to Nature for a New Concept in Antimicrobial Treatments: Isoflavonoids from Cytisus Striatus as Antibiotic Adjuvants against MRSA. Sci. Rep. 2017, 7, 3777. [Google Scholar] [CrossRef] [PubMed]
- Wu, S.C.; Liu, F.; Zhu, K.; Shen, J.Z. Natural Products That Target Virulence Factors in Antibiotic-Resistant Staphylococcus aureus. J. Agri. Food Chem. 2019, 67, 13195–13211. [Google Scholar] [CrossRef]
- Surh, Y.J. Reverse Pharmacology Applicable for Botanical Drug Development-Inspiration from the Legacy of Traditional Wisdom. J. Tradit. Complement. Med. 2011, 1, 5–7. [Google Scholar] [CrossRef]
- Seca, A.; Grigore, A.; Pinto, D.C.G.A.; Silva, A.M.S. The Genus Inula and Their Metabolites: From Ethnopharmacological to Medicinal Uses. J. Ethnopharmacol. 2014, 154, 286–310. [Google Scholar] [CrossRef]
- Clapp, R.A.; Crook, C. Drowning in the Magic Well: Shaman Pharmaceuticals and the Elusive Value of Traditional Knowledge. J. Environ. Dev. 2002, 11, 79–102. [Google Scholar] [CrossRef]
- Cameron, J. The Gaelic Names of Plants (Scottish and Irish), 1st ed.; William Blackwood & Sons: Edinburgh, UK, 1883. [Google Scholar]
- Grieve, M. A Modern Herbal: The Medicinal, Culinary, Cosmetic, and Economic Properties, Cultivation, and Folklore of Herbs, Grasses, Fungi, Shrubs, and Trees with All Their Modern Scientific Uses; Penguin: London, UK, 1996; p. 912. [Google Scholar]
- Cuinn, T.Ó. An Irish Materia Medica. Available online: https://celt.ucc.ie/published/G600005/text001.html (accessed on 18 December 2021).
- Moloney, M.F. Irish Ethno-Botany and the Evolution of Medicine in Ireland; M.H. Gill: Dublin, Ireland, 1919. [Google Scholar]
- Koay, A.; Shannon, F.; Sasse, A.; Heinrich, M.; Sheridan, H. Exploring the Irish National Folklore Ethnography Database (Dúchas) for Open Data Research on Traditional Medicine Use in Post-Famine Ireland: An Early Example of Citizen Science. Front. Pharmacol. 2020, 11, 1–16. [Google Scholar] [CrossRef]
- Shannon, F.; Sasse, A.; Sheridan, H.; Heinrich, M. Are Identities Oral? Understanding Ethnobotanical Knowledge after Irish Independence (1937–1939). J. Ethnobiol. Ethnomedicine 2017, 13, 1–19. [Google Scholar] [CrossRef]
- British Herbal Medicines Association (BHMA). British Herbal Pharmacopoeia; Scientific Association: Bouremouth, UK, 1983. [Google Scholar]
- Hoffmann, D. Medical Herbalism: The Science and Practice of Herbal Medicine, 1st ed.; Simon & Schuster: New York, NY, USA, 2003; ISBN 9780892817498. [Google Scholar]
- Blumenthal, M. The Complete German Commission E Monographs: Therapeutic Guide to Herbal Medicines, 1st ed.; American Botanical Council (ABC): Austin, TX, USA, 1998; ISBN 096555550X. [Google Scholar]
- Kim, S.C.; Hong, K.T.; Kim, D.H. Contact Stomatitis from a Breath Refresher (Eudan). Contact Dermat. 1988, 19, 309. [Google Scholar] [CrossRef]
- Aberer, W.; Hausen, B.M. Active Sensitization to Elecampane by Patch Testing with a Crude Plant Extract. Contact Dermat. 1990, 22, 53–55. [Google Scholar] [CrossRef]
- Pazzaglia, M.; Venturo, N.; Borda, G.; Tosti, A. Contact Dermatitis Due to a Massage Liniment Containing Inula helenium Extract. Contact Dermat. 1995, 33, 267. [Google Scholar] [CrossRef]
- Gil Mateo, M.P.; Velasco, M.; Miquel, F.J.; de la Cuadra, J. Erythema-multiforme-like Eruption Following Allergic Contact Dermatitis from Sesquiterpene Lactones in Herbal Medicine. Contact Dermat. 1995, 33, 449–450. [Google Scholar] [CrossRef]
- Ulbrich, M.; Lorenz, H.; Rittenbach, P.; Al, E. Inula Conyza as a Cause of Large-Scale Poisoning in Cattle. Mon. Veterinarmed. 1966, 21, 896–902. [Google Scholar]
- Reinboth, W. Vergiftungen Durch Inula Conzya (Dürrqurz) Bei Rindern. Mon. Veterinarmed. 1967, 11, 611–612. [Google Scholar]
- Sertoli, A.; Fabbri, P.; Campolmi, P.; Al, E. Allergic Contact Dermatitis to Salvia Officinalus, Inula Viscosa and Conyza Bonariensis. Contact Dermat. 1978, 4, 314–315. [Google Scholar]
- Pinedo, J.M.; de Canales, F.G.; Hinojosa, J.L.; Llamas, P.; Hausen, B.M. Contact Dermatitis to Sesquiterpene Lactones in Inula Viscose Aiton. Contact Dermat. 1987, 17, 322–323. [Google Scholar] [CrossRef]
- Schneider, D.J.; du Plessis, J.L. Enteritis in Sheep Due to the Ingestion of Inula graveolens Desf. (Cape Khakiweed). J. S. Afr. Vet. Assoc. 1980, 51, 159–161. [Google Scholar]
- Paulsen, E. Contact Sensitization from Compositae-Containing Herbal Remedies and Cosmetics. Contact Dermat. 2002, 47, 189–198. [Google Scholar] [CrossRef]
- Seca, A.; Pinto, D.C.; Silva, A.M. Metabolomic Profile of the Genus Inula. Chem. Biodivers. 2015, 12, 859–906. [Google Scholar] [CrossRef]
- Paulsen, E. Systemic Allergic Dermatitis Caused by Sesquiterpene Lactones. Contact Dermat. 2017, 76, 1–10. [Google Scholar] [CrossRef] [PubMed]
- Amorim, M.H.R.; Gil Da Costa, R.M.; Lopes, C.; Bastos, M.M.S.M. Sesquiterpene Lactones: Adverse Health Effects and Toxicity Mechanisms. Crit. Rev. Toxicol. 2013, 43, 559–579. [Google Scholar] [CrossRef] [PubMed]
- Carnevali, I.; la Paglia, R.; Pauletto, L.; Raso, F.; Testa, M.; Mannucci, C.; Sorbara, E.E.; Calapai, G. Efficacy and Safety of the Syrup “KalobaTUSS®” as a Treatment for Cough in Children: A Randomized, Double Blind, Placebo-Controlled Clinical Trial. BMC Pediatr. 2021, 21, 1–9. [Google Scholar] [CrossRef] [PubMed]
- Alonso Blasi, N.; Fraginals, R.; Lepoittevin, J.P.; Benezra, C. A Murine in vitro Model of Allergic Contact Dermatitis to Sesquiterpene α-Methylene-γ-Butyrolactones. Arch. Dermatol. 1992, 284, 297–302. [Google Scholar] [CrossRef]
- Mitchell, J.C.; Fritig, B.; Singh, B.; Towers, G.H.N. Allergic Contact Dermatitis from Frullania and Compositae: The Role of Sesquiterpene Lactones. J. Investig. Dermatol. 1970, 54, 233–239. [Google Scholar] [CrossRef]
- Hausen, B.M.; Vieluf, I.K. Allergiepflanzen Handbuch und Atlas, 2nd ed.; Nikol Verlag: Hamburg, Germany, 1997. [Google Scholar]
- Wang, Q.; Gao, S.; Wu, G.-Z.; Yang, N.; Zu, X.-P.; Li, W.-C.; Xie, N.; Zhang, R.-R.; Li, C.-W.; Hu, Z.-L.; et al. Total Sesquiterpene Lactones Isolated from Inula helenium L. Attenuates 2,4-Dinitrochlorobenzene-Induced Atopic Dermatitis-like Skin Lesions in Mice. Phytomedicine 2018, 46, 78–84. [Google Scholar] [CrossRef]
- Lee, B.K.; Park, S.J.; Nam, S.Y.; Kang, S.; Hwang, J.; Lee, S.J.; Im, D.S. Anti-Allergic Effects of Sesquiterpene Lactones from Saussurea Costus (Falc.) Lipsch. Determined Using In Vivo and In Vitro Experiments. J. Ethnopharmacol 2018, 213, 256–261. [Google Scholar] [CrossRef]
- Dorn, D.; Alexenizer, M.; Hengstler, J.; Dorn, A. Tumor Cell Specific Toxicity of Inula helenium Extracts. Phytother. Res. 2006, 20, 970–980. [Google Scholar] [CrossRef]
- Koc, K.; Ozdemir, O.; Ozdemir, A.; Dogru, U.; Turkez, H. Antioxidant and Anticancer Activities of Extract of Inula helenium (L.) in Human U-87 MG Glioblastoma Cell Line. J. Cancer Res. Ther. 2018, 14, 658–661. [Google Scholar] [CrossRef]
- Zhang, B.; Zeng, J.; Yan, Y.; Yang, B.; Huang, M.; Wang, L.; Zhang, Q.; Lin, N. Ethyl Acetate Extract from Inula helenium L. Inhibits the Proliferation of Pancreatic Cancer Cells by Regulating the STAT3/AKT Pathway. Mol. Med. Rep. 2018, 17, 5440–5448. [Google Scholar] [CrossRef]
- Chun, J.; Song, K.; Kim, Y.S. Sesquiterpene Lactones-Enriched Fraction of Inula helenium L. Induces Apoptosis through Inhibition of Signal Transducers and Activators of Transcription 3 Signaling Pathway in MDA-MB-231 Breast Cancer Cells. Phytother. Res. 2018, 32, 2501–2509. [Google Scholar] [CrossRef]
- Park, E.; Kim, Y.; Park, S.; Kim, H.; Lee, J.; Lee, D.; Chang, K. Induction of HO-1 Through P38 MAPK/Nrf2 Signaling Pathway by Ethanol Extract of Inula helenium L. Reduces Inflammation in LPS-Activated RAW 264.7 Cells and CLP-Induced Septic Mice. Food Chem. Toxicol 2013, 55, 386–395. [Google Scholar] [CrossRef]
- Mazzio, E.A.; Li, N.; Bauer, D.; Mendonca, P.; Taka, E.; Darb, M.; Thomas, L.; Williams, H.; Soliman, K.F.A. Natural Product HTP Screening for Antibacterial (E. coli 0157:H7) and Anti-Inflammatory Agents in (LPS from E. coli O111:B4) Activated Macrophages and Microglial Cells, Focus on Sepsis. BMC Complementary Altern. Med. 2016, 16, 467. [Google Scholar] [CrossRef]
- Gao, S.; Wang, Q.; Tian, X.-H.; Li, H.-L.; Shen, Y.-H.; Xu, X.-K.; Wu, G.-Z.; Hu, Z.-L.; Zhang, W.-D. Total Sesquiterpene Lactones Prepared from Inula helenium L. Has Potentials in Prevention and Therapy of Rheumatoid Arthritis. J. Ethnopharmacol. 2017, 196, 39–46. [Google Scholar] [CrossRef]
- Gierlikowska, B.; Gierlikowski, W.; Bekier, K.; Skalicka-Woźniak, K.; Czerwińska, M.E.; Kiss, A.K. Inula helenium and Grindelia squarrosa as a Source of Compounds with Anti-Inflammatory Activity in Human Neutrophils and Cultured Human Respiratory Epithelium. J. Ethnopharmacol. 2020, 249, 112311. [Google Scholar] [CrossRef]
- Dirsch, V.; Stuppner, H.; Vollmar, A. Cytotoxic Sesquiterpene Lactones Mediate Their Death-Inducing Effect in Leukemia T Cells by Triggering Apoptosis. Planta Med. 2001, 67, 557–559. [Google Scholar] [CrossRef]
- Xu, X.; Huang, L.; Zhang, Z.; Tong, J.; Mi, J.; Wu, Y.; Zhang, C.; Yan, H. Targeting Non-Oncogene ROS Pathway by Alantolactone in B Cell Acute Lymphoblastic Leukemia Cells. Life Sci. 2019, 227, 153–165. [Google Scholar] [CrossRef]
- Yang, C.; Yang, J.; Sun, M.; Yan, J.; Meng, X.; Ma, T. Alantolactone Inhibits Growth of K562/Adriamycin Cells by Downregulating Bcr/Abl and P-Glycoprotein Expression. IUBMB Life 2013, 65, 435–444. [Google Scholar] [CrossRef]
- He, W.; Cao, P.; Xia, Y.; Hong, L.; Zhang, T.; Shen, X.; Zheng, P.; Shen, H.; Zhao, Y.; Zou, P. Potent Inhibition of Gastric Cancer Cells by a Natural Compound via Inhibiting TrxR1 Activity and Activating ROS-Mediated P38 MAPK Pathway. Free Radic. Res. 2019, 53, 104–114. [Google Scholar] [CrossRef]
- Shi, Y.; Bao, Y.L.; Wu, Y.; Yu, C.L.; Huang, Y.X.; Sun, Y.; Zheng, L.H.; Li, Y.X. Alantolactone Inhibits Cell Proliferation by Interrupting the Interaction between Cripto-1 and Activin Receptor Type II A in Activin Signaling Pathway. J. Biomol. Screen. 2011, 16, 525–535. [Google Scholar] [CrossRef]
- Zhang, Y.U.; Bao, Y.L.I.; Wu, Y.I.N.; Yu, C.L.E.I. Alantolactone Induces Apoptosis in RKO Cells through the Generation of Reactive Oxygen Species and the Mitochondrial Pathway. Mol. Med. Rep. 2013, 8, 967–972. [Google Scholar] [CrossRef]
- Lei, J.C.; Yu, J.Q.; Yin, Y.; Liu, Y.W.; Zou, G.L. Alantolactone Induces Activation of Apoptosis in Human Hepatoma Cells. Food Chem. Tox. 2012, 50, 3313–3319. [Google Scholar] [CrossRef]
- Kang, X.; Wang, H.; Li, Y.; Xiao, Y.; Zhao, L.; Zhang, T.; Zhou, S.; Zhou, X.; Yi, L.; Zhexing, S.; et al. Alantolactone Induces Apoptosis Through ROS-Mediated AKT Pathway and Inhibition of PINK1-Mediated Mitophagy in Human HepG2 Cells. Artific. Cells Nanomed. Biotechnol. 2019, 47, 1961–1970. [Google Scholar] [CrossRef]
- Maryam, A.; Mehmood, T.; Zhang, H.; Li, Y.; Khan, M.; Ma, T. Alantolactone Induces Apoptosis, Promotes STAT3 Glutathionylation and Enhances Chemosensitivity of A549 Lung Adenocarcinoma Cells to Doxorubicin via Oxidative Stress. Sci. Rep. 2017, 7, 6242. [Google Scholar] [CrossRef]
- Wang, J.; Zhang, Y.; Liu, X.; Wang, J.; Li, B.; Liu, Y.; Wang, J. Alantolactone Enhances Gemcitabine Sensitivity of Lung Cancer Cells through the Reactive Oxygen Species-Mediated Endoplasmic Reticulum Stress and Akt/GSK3β Pathway. Int. J. Mol. Med. 2019, 44, 1026–1038. [Google Scholar] [CrossRef]
- Liu, J.; Yang, Z.; Kong, Y.; He, Y.; Xu, Y.; Cao, X. Antitumor Activity of Alantolactone in Lung Cancer Cell Lines NCI-H1299 and Anip973. J. Food Biochem. 2019, 43, e12972. [Google Scholar] [CrossRef]
- He, R.; Shi, X.; Zhou, M.; Zhao, Y.; Pan, S.; Zhao, C.; Guo, X.; Wang, M.; Li, X.; Qin, R. Alantolactone Induces Apoptosis and Improves Chemosensitivity of Pancreatic Cancer Cells by Impairment of Autophagy-Lysosome Pathway via Targeting TFEB. Toxicol. Appl. Pharm. 2018, 356, 159–171. [Google Scholar] [CrossRef]
- Cui, L.; Bu, W.; Song, J.; Feng, L.; Xu, T.; Liu, D.; Ding, W.; Wang, J.; Li, C.; Ma, C.; et al. Apoptosis Induction by Alantolactone in Breast Cancer MDA-MB-231 Cells Through Reactive Oxygen Species-Mediated Mitochondrion-Dependent Pathway. Arch. Pharm. Res. 2018, 41, 299–313. [Google Scholar] [CrossRef]
- Liu, Y.; Cai, Q.; Gao, Y.; Luan, X.; Guan, Y.; Lu, Q.; Sun, P.; Zhao, M.; Fang, C. Alantolactone, a Sesquiterpene Lactone, Inhibits Breast Cancer Growth by Antiangiogenic Activity via Blocking VEGFR2 Signaling. Phytother. Res. 2018, 32, 643–650. [Google Scholar] [CrossRef]
- Dirsch, V.M.; Stuppner, H.; Ellmerer-Müller, E.P.; Vollmar, A.M. Structural Requirements of Sesquiterpene Lactones to Inhibit LPS-Induced Nitric Oxide Synthesis in RAW 2647. Macrophages. Bioorg. Med. Chem. 2000, 8, 2747–2753. [Google Scholar] [CrossRef]
- Lawrence, N.J.; McGown, A.T.; Nduka, J.; Hadfield, J.A.; Pritchard, R.G. Cytotoxic Michael-Type Amine Adducts of α-Methylene Lactones Alantolactone and Isoalantolactone. Bioorg. Med. Chem. Lett. 2001, 11, 429–431. [Google Scholar] [CrossRef]
- Wu, M.; Zhang, H.; Hu, J.; Weng, Z.; Li, C.; Li, H.; Zhao, Y.; Mei, X.; Ren, F.; Li, L. Isoalantolactone Inhibits UM-SCC-10A Cell Growth via Cell Cycle Arrest and Apoptosis Induction. PLoS ONE 2013, 8, 2–9. [Google Scholar] [CrossRef] [PubMed]
- Lu, Z.; Zhang, G.; Zhang, Y.; Al, E. Isoalantolactone Induces Apoptosis through Reactive Oxygen Species-Dependent Upregulation of Death Receptor 5 in Human Esophageal Cancer Cells. Toxicol. Appl. Pharmacol. 2018, 352, 46–58. [Google Scholar] [CrossRef] [PubMed]
- Cai, H.; Meng, X.; Li, Y.; Yang, C.; Liu, Y. Growth Inhibition Effects of Isoalantolactone on K562/A02 Cells: Caspase-Dependent Apoptotic Pathways, S Phase Arrest, and Downregulation of Bcr/Abl. Phytother. Res. 2014, 28, 1679–1686. [Google Scholar] [CrossRef]
- Wang, J.; Cui, L.; Feng, L.; Zhang, Z.; Song, J.; Liu, D.; Jia, X. Isoalantolactone Inhibits the Migration and Invasion of Human Breast Cancer MDA-MB-231 Cells via Suppression of the P38 MAPK/NF-ΚB Signaling Pathway. Oncol. Rep. 2016, 36, 1269–1276. [Google Scholar] [CrossRef]
- Hehner, S.P.; Heinrich, M.; Bork, P.M.; Vogt, M.; Ratter, F.; Lehmann, V.; Schulze-Osthoff, K.; Dröge, W.; Schmitz, M.L. Sesquiterpene Lactones Specifically Inhibit Activation of NF-ΚB by Preventing the Degradation of IκB-α and IκB-β. J. Biolog. Chem. 1998, 273, 1288–1297. [Google Scholar] [CrossRef]
- He, G.; Zhang, X.; Chen, Y.; Chen, J.; Li, L.; Xie, Y. Isoalantolactone Inhibits LPS-Induced Inflammation via NF-ΚB Inactivation in Peritoneal Macrophages and Improves Survival in Sepsis. Biomed. Pharmacother. 2017, 90, 598–607. [Google Scholar] [CrossRef]
- Ding, Y.; Song, Y.D.; Wu, Y.X.; He, H.Q.; Yu, T.H.; Al, E. Isoalantolactone Suppresses LPS-Induced Inflammation by Inhibiting TRAF6 Ubiquitination and Alleviates Acute Lung Injury. Acta Pharmacol. Sin. 2019, 40, 64–74. [Google Scholar] [CrossRef]
- Qiu, J.; Luo, M.; Wang, J.; Dong, J.; Li, H.; Leng, B.; Zhang, Q.; Dai, X.; Zhang, Y.; Niu, X.; et al. Isoalantolactone Protects against Staphylococcus aureus Pneumonia. FEMS Microbiol. Lett. 2011, 324, 147–155. [Google Scholar] [CrossRef]
- Yan, Y.Y.; Zhang, Q.; Zhang, B.; Yang, B.; Lin, N.M. Active Ingredients of Inula helenium L. Exhibits Similar Anti-Cancer Effects as Isoalantolactone in Pancreatic Cancer Cells. Nat. Prod. Red. 2020, 34, 2539–2544. [Google Scholar] [CrossRef]
- Seo, J.Y.; Lim, S.S.; Kim, J.R.; Lim, J.-S.; Ha, Y.R.; Lee, I.A.; Kim, E.J.; Park, J.H.Y.; Kim, J.-S. Nrf2-Mediated Induction of Detoxifying Enzymes by Alantolactone Present in Inula helenium. Phytother. Res. 2008, 22, 1500–1505. [Google Scholar] [CrossRef]
- Seo, J.Y.; Park, J.; Kim, H.J.; Lee, I.A.; Lim, J.S.; Lim, S.S.; Choi, S.J.; Park, J.H.Y.; Kang, H.J.; Kim, J.S. Isoalantolactone from Inula helenium Caused Nrf2-Mediated Induction of Detoxifying Enzymes. J. Med. Food 2009, 12, 1038–1045. [Google Scholar] [CrossRef]
- Lim, S.S.; Im, S.S.; Kim, J.R.; Lim, H.A.; Jang, C.H.; Kim, Y.K.; Konishi, T.; Kim, E.J.; Park, J.H.Y.; Kim, J.-S. Induction of Detoxifying Enzyme by Sesquiterpenes Present in Inula helenium. J. Med. Food 2007, 10, 503–510. [Google Scholar] [CrossRef]
- Ding, Y.; Pan, W.; Xu, J.; Wang, T.; Chen, T.; Liu, Z.; Xie, C.; Zhang, Q. Sesquiterpenoids from the Roots of Inula helenium Inhibit Acute Myelogenous Leukemia Progenitor Cells. Bioorg. Chem. 2019, 86, 363–367. [Google Scholar] [CrossRef]
- Lee, K.; Shin, J.; Chun, J.; Song, K.; Nho, C.; Kim, Y. Igalan Induces Detoxifying Enzymes Mediated by the Nrf2 Pathway in HepG2 Cells. J. Biochem. Mol. Toxicol. 2019, 33, e22297. [Google Scholar] [CrossRef]
- Dao, T.T.P.; Song, K.; Kim, J.Y.; Kim, Y.S. Igalan from Inula helenium (L.) Suppresses the Atopic Dermatitis-like Response in Stimulated HaCaT Keratinocytes via JAK/STAT3 Signaling. Inflamm. Res. 2020, 69, 309–319. [Google Scholar] [CrossRef]
- Cai, H.; Li, L.; Jiang, J.; Zhao, C.; Yang, C. Costunolide Enhances Sensitivity of K562/ADR Chronic Myeloid Leukemia Cells to Doxorubicin through PI3K/Akt Pathway. Phytother. Res. 2019, 33, 1683–1688. [Google Scholar] [CrossRef]
- Peng, S.; Hou, Y.; Yao, J.; Fang, J. Activation of Nrf2 by Costunolide Provides Neuroprotective Effect in PC12 Cells. Food Funct. 2019, 10, 4143–4152. [Google Scholar] [CrossRef]
- Chen, C.-N.; Huang, H.-H.; Wu, C.-L.; Lin, C.P.C.; Hsu, J.T.A.; Hsieh, H.-P.; Chuang, S.-E.; Lai, G.-M. Isocostunolide, a Sesquiterpene Lactone, Induces Mitochondrial Membrane Depolarization and Caspase-Dependent Apoptosis in Human Melanoma Cells. Cancer Lett. 2007, 246, 237–252. [Google Scholar] [CrossRef]
- Olechnowicz-Stepien, W.; Skurska, H. Studies on Antibiotic Properties of Roots of Inula helenium, Compositae. Arch. Immunol. Ther. Exp. 1960, 8, 179–189. [Google Scholar]
- Von Gizycki, F. Alantopicrin, a Bitter Principle from Elecampane Leaves; Contribution to the Composite Bitter Principles. Arch. Pharm. Ber. Dtsch. Pharm. Ges. 1954, 287, 57–62. [Google Scholar]
- Yosioka, I.; Yamada, Y. Isolation of Dammaradienyl acetate from Inula helenium L. J. Pharm. Soc. Jpn. 1963, 83, 801–802. [Google Scholar] [CrossRef]
- Cantrell, C.L.; Fischer, N.H.; Urbatsch, L.; McGuire, M.S.; Franzblau, S.G. Antimycobacterial Crude Plant Extracts from South, Central, and North America. Phytomed. Int. J. Phytother. Phytopharm. 1998, 5, 137–145. [Google Scholar] [CrossRef]
- Cantrell, C.L.; Abate, L.; Fronczek, F.R.; Franzblau, S.G.; Quijano, L.; Fischer, N.H. Antimycobacterial Eudesmanolides from Inula helenium and Rudbeckia subtomentosa. Planta Med. 1999, 65, 351–355. [Google Scholar] [CrossRef]
- Stojakowska, A.; Kędzia, B.; Kisiel, W. Antimicrobial Activity of 10-Isobutyryloxy-8,9-Epoxythymol Isobutyrate. Fitoterapia 2005, 76, 687–690. [Google Scholar] [CrossRef]
- O’Shea, S.; Lucey, B.; Cotter, L. In Vitro Activity of Inula Helenium against Clinical Staphylococcus aureus Strains Including MRSA. Br. J. Biomed. Sci. 2009, 66, 186–189. [Google Scholar] [CrossRef]
- Deriu, A.; Zanetti, S.; Sechi, L.A.; Marongiu, B.; Piras, A.; Porcedda, S.; Tuveri, E. Antimicrobial Activity of Inula helenium L. Essential Oil against Gram-Positive and Gram-Negative Bacteria and Candida Spp. Int. J. Antimicrob. Agents 2008, 31, 588–590. [Google Scholar] [CrossRef]
- Bourrel, C.; Vilarem, G.; Perineau, F. Chemical analysis, bacteriostatic and fungistatic properties of the essential oil of elecampane (Inula helenium L.). J. Essent. Oil Res. 1993, 5, 411–417. [Google Scholar] [CrossRef]
- Stojanović-Radić, Z.; Comić, L.; Radulović, N.; Blagojević, P.; Denić, M.; Miltojević, A.; Rajković, J.; Mihajilov-Krstev, T. Antistaphylococcal Activity of Inula helenium L. Root Essential Oil: Eudesmane Sesquiterpene Lactones Induce Cell Membrane Damage. Eur. J. Clin. Microbiol. Infect. Dis. 2012, 31, 1015–1025. [Google Scholar] [CrossRef]
- Blagojević, P.D.; Radulović, N.S. Conformational Analysis of Antistaphylococcal Sesquiterpene Lactones from Inula helenium Essential Oil. Nat. Prod. Commun. 2012, 7, 1407–1410. [Google Scholar] [CrossRef]
- Gökbulut, A.; Ozhan, O.; Satilmiş, B.; Batçioğlu, K.; Günal, S.; Sarer, E. Antioxidant and Antimicrobial Activities, and Phenolic Compounds of Selected Inula Species from Turkey. Nat. Prod. Comm. 2013, 8, 475–478. [Google Scholar] [CrossRef]
- Radulović, N.S.; Denić, M.S.; Stojanović-Radić, Z.Z. Synthesis of Small Combinatorial Libraries of Natural Products: Identification and Quantification of New Long-Chain 3-Methyl-2-Alkanones from the Root Essential Oil of Inula helenium L. (Asteraceae). Phytochem. Anal. 2014, 25, 75–80. [Google Scholar] [CrossRef] [PubMed]
- Department of Health Ireland’s National Action Plan on Antimicrobial Resistance 2017–2020. (INAP). Available online: https://assets.gov.ie/9519/afcba9bce7c54bf9bcbe9a74f49fdaf2.pdf (accessed on 29 December 2021).
- Gerhardt, C. Chemische Untersuchungen Über Das Helenin. Ann. Phar. 1840, 34, 192–204. [Google Scholar] [CrossRef]
- Ruzicka, L.; Pieth, P.; Reichstein, T.; Ehmann, L. Polyterpene Und Polyterpenoide LXXX. Zur Kenntnis Der Alantolactone. Synthese Des 1,4-Dimethyl-6-Isopropyl- Und Des 1,5-Dimethyl-7-Isopropyl-Naphtalins. Helv. Chim. 1933, 16, 268–275. [Google Scholar] [CrossRef]
- Tsuda, K.; Tanabe, K.; Funakoshi, K. On the Structure of Alantolactone. J. Am. Chem. Soc. 1957, 79, 1009–1010. [Google Scholar] [CrossRef]
- Asselineau, C.; Bory, S. The Separation and Structure of Alantolactone and Isoalantolactone. Comp. Rend. 1958, 246, 1874–1877. [Google Scholar]
- Marshall, J.A.; Cohen, N. The Structure of Alantolactone. J. Org. Chem. 1964, 29, 3727–3729. [Google Scholar] [CrossRef]
- Kallen, J. Ueber Helenin Und Alantkampher. Ber. Dtsch. Chem. Ges. 1876, 9, 154–157. [Google Scholar] [CrossRef]
- Ruzicka, L.; van Melsen, J.A. Höhere Terpenverbindungen XLV. Zur Kenntnis Des Alantolactons Und Des Iso-Alantolactons. Helv. Chim. 1931, 14, 397–410. [Google Scholar] [CrossRef]
- Wunderlich, W. Isoalantolacton-Reindarstellung. J. Prakt. Chem. 1959, 9, 107. [Google Scholar] [CrossRef]
- Hansen, K.F.W. Über Die Bitterstoffe Der Alantwurzel (II. Mitteilung Über Bitterstoffe). Ber. Dtsch. Chem. Ges. (A B Ser.) 1931, 64, 943–947. [Google Scholar] [CrossRef]
- Hansen, K.F.W. Über Bitterstoffe Aus Der Alantwurzel (Vorläufige Mitteilung). Eur. J. Inorg. Chem. 1931, 64, 67–71. [Google Scholar] [CrossRef]
- Kerimov, S.S.; Chizhov, O.S. Sesquiterpene Lactones of Inula helenium. Chem. Nat. 1974, 10, 267. [Google Scholar] [CrossRef][Green Version]
- Konishi, T.; Shimada, Y.; Nagao, T.; Okabe, H.; Konoshima, T. Antiproliferative Sesquiterpene Lactones from the Roots of Inula helenium. Biol. Pharm. Bull. 2002, 25, 1370–1372. [Google Scholar] [CrossRef]
- Rosik, G.G.; Kotov, A.G.; Beskorovainyi, A.A.; Al, E. Vapor-Phase Hydrogenation in the GLC Analysis of Sesquiterpene Lactones of the Eudesmane Series. Chem. Nat. 1991, 2, 703–706. [Google Scholar] [CrossRef]
- Bohlmann, F.; Mahanta, P.K.; Jakupovic, J.; Rastogi, R.C.; Natu, A.A. New Sesquiterpene Lactones from Inula Species. Phytochemistry 1978, 17, 1165–1172. [Google Scholar] [CrossRef]
- Jiang, H.L.; Chen, J.; Jin, X.J.; Yang, J.L.; Li, Y.; Yao, X.J.; Wu, Q.X. Sesquiterpenoids, Alantolactone Analogues, and Seco-Guaiene from the Roots of Inula helenium. Tetrahedron 2011, 67, 9193–9198. [Google Scholar] [CrossRef]
- Huo, Y.; Shi, H.; Wang, M.; Li, X. Complete Assignments Of 1H And 13C NMR Spectral Data for Three Sesquiterpenoids from Inula helenium. Magn. Reson. Chem. 2008, 46, 1208–1211. [Google Scholar] [CrossRef]
- Zhao, Y.M.; Wang, Y.J.; Dong, M.; Zhang, M.L.; Huo, C.H.; Gu, Y.C.; Shi, Q.W. Two New Eudesmanes from Inula helenium. Chem. Nat. 2010, 46, 373–376. [Google Scholar] [CrossRef]
- Huo, Y.; Shi, H.; Guo, C.; Li, X. Chemical Constituents of the Roots of Inula helenium. Chem. Nat. 2012, 48, 522–524. [Google Scholar] [CrossRef]
- Ma, X.C.; Liu, K.X.; Zhang, B.J.; Xin, X.L.; Huang, J. Structural Determination of Three New Eudesmanolides from Inula helenium. Magn. Reson. Chem. 2008, 46, 1084–1088. [Google Scholar] [CrossRef] [PubMed]
- Zaima, K.; Wakana, D.; Demizu, Y.; Kumeta, Y.; Kamakura, H.; Maruyama, T.; Kurihara, M.; Goda, Y. Isoheleproline: A New Amino Acid-Sesquiterpene Adduct from Inula helenium. J. Nat. Med. 2014, 68, 432–435. [Google Scholar] [CrossRef] [PubMed]
- Huo, Y.; Shi, H.; Li, W.; Wang, M.; Li, X. HPLC Determination and NMR Structural Elucidation of Sesquiterpene Lactones in Inula helenium. J. Pharm. Biomed. Anal. 2010, 51, 942–946. [Google Scholar] [CrossRef] [PubMed]
- Zheng, L.H.; Hao, X.J.; Yuan, C.M.; Huang, L.J.; Al, E. Study on Chemical Constituents of Inula Cappa. China J. Chin. Mater. Med. 2015, 40, 672–678. [Google Scholar]
- Ding, L.F.; Wang, K.; Wang, H.Y.; Tu, W.C.; Al, E. Chemical Constituents of Inula Japonica. Zhong Yao Cai J. Chin. Med. Mater. 2016, 39, 1296–1299. [Google Scholar]
- Hua, Y.; Qin, J.; Zhang, F.; Cheng, X.; Jin, H.; Zhang, W. Sesquiterpene Lactones from Inula Helianthus-Aquatica. China J. Chin. Mater. Med. 2012, 37, 1586–1589. [Google Scholar] [CrossRef]
- Guo, Q.L.; Yang, J.S.; Liu, J.X. Studies on the Chemical Constituents from Inula Cappa (II). J. Chin. Med. Mater. 2007, 30, 35–37. [Google Scholar]
- Stojakowska, A.; Malarz, J.; Kisiel, W. Quantitative Analysis of Sesquiterpene Lactones and Thymol Derivatives in Extracts from Telekia Speciosa. Phytochem. Lett. 2015, 11, 378–383. [Google Scholar] [CrossRef]
- Tavares, W.R.; Seca, A.M.L. Inula L. Secondary Metabolites Against Oxidative Stress-Related Human Diseases. Antioxidants 2019, 8, 122. [Google Scholar] [CrossRef]
- Wang, G.-W.; Qin, J.-J.; Cheng, X.-R.; Shen, Y.-H.; Shan, L.; Jin, H.-Z.; Zhang, W.-D. Inula Sesquiterpenoids: Structural Diversity, Cytotoxicity and Anti-Tumor Activity. Expert Opin. Investig. Drugs 2014, 23, 317–345. [Google Scholar] [CrossRef]
- Schmid, I.; Sattler, I.; Grabley, S.; Thiericke, R. Natural Products in High Throughput Screening: Automated High-Quality Sample Preparation. J. Biomol. Screen. 1999, 4, 15–25. [Google Scholar] [CrossRef]
- Wilson, B.A.P.; Thornburg, C.C.; Henrich, C.J.; Grkovic, T.; O’Keefe, B.R. Creating and Screening Natural Product Libraries. Nat. Prod. Rep. 2020, 37, 893–918. [Google Scholar] [CrossRef]
- Cowan, M.M. Plant Products as Antimicrobial Agents. Clin. Microbiol. Rev. 1999, 12, 564–582. [Google Scholar] [CrossRef]
- Petkova, N.; Ognyanov, M.; Denev, P. Isolation and Characterisation of Inulin from Taproots of Common Chicory (Cichorium intybus L.). In Challenges in Chemistry; Scientific Papers; University of Plovdiv “Paisii Hilendarski”: Plovdiv, Bulgaria, 2014; Volume 39, pp. 25–34. [Google Scholar]
- European Committe on Antimicrobial Susceptibility Testing (EUCAST). Determination of Minimum Inhibitory Concentrations (MICs) of Antibacterial Agents by Broth Dilution. Clin. Microbiol. Infect. 2003, 9, 1–7. [Google Scholar]
- Trendafilova, A.; Chanev, C.; Todorova, M. Ultrasound-Assisted Extraction of Alantolactone and Isoalantolactone from Inula helenium Roots. Pharmacogn. Mag. 2010, 6, 234–237. [Google Scholar] [CrossRef]
- Zhao, Y.M.; Wang, J.; Liu, H.B.; Guo, C.Y.; Zhang, W.M. Microwave-Assisted Extraction of Alantolactone and Isoalantolactone from Inula helenium. Indian J. Pharm. Sci. 2015, 77, 116–120. [Google Scholar]
- Camp, J.E.; Nyamini, S.B.; Scott, F.J. CyreneTM Is a Green Alternative to DMSO as a Solvent for Antibacterial Drug Discovery against ESKAPE Pathogens. RSC Med. Chem. 2020, 11, 111–117. [Google Scholar] [CrossRef]
- Klančnik, A.; Piskernik, S.; Jeršek, B.; Možina, S.S. Evaluation of Diffusion and Dilution Methods to Determine the Antibacterial Activity of Plant Extracts. J. Microbiol. Methods 2010, 81, 121–126. [Google Scholar] [CrossRef]
- Rasko, D.A.; Sperandio, V. Anti-Virulence Strategies to Combat Bacteria-Mediated Disease. Nat. Rev. Drug Discov. 2010, 9, 117–128. [Google Scholar] [CrossRef]
- Yoon, J.-H.; Park, H.-Y.; Kim, T.-J.; Lee, S.-H.; Kim, J.-H.; Lee, G.-S.; Kim, H.-J.; Ju, Y.-S. The Identification of Aucklandiae Radix, Inulae Radix, Vladimiriae Radix and Aristolochiae Radix, Using Macroscopic, Microscopic and Physicochemical Methods. J. Korean Med. Sci. 2014, 35, 83–97. [Google Scholar] [CrossRef]
- Kearns, A.M.; Ganner, M.; Holmes, A. The “Oxford Staphylococcus”: A Note of Caution. J. Antimicrob. Chemother. 2006, 58, 480–481. [Google Scholar] [CrossRef] [PubMed]
- European Committee on Antimicrobial Susceptibility Testing (EUCAST). Antimicrobial Susceptibility Testing EUCAST Disk Diffusion Method. ESCMID 2020, 8, 1–21.
- Pando, J.; Pfeltz, R.; Cuaron, J.; Nagarajan, V.; Mishra, M.; Torres, N.; Elasri, M.; Wilkinson, B.; Gustafson, J. Ethanol-Induced Stress Response of Staphylococcus aureus. Can. J. Microbiol. 2017, 63, 745–757. [Google Scholar] [CrossRef] [PubMed]
- Dusmatova, D.E.; Terent’eva, E.O.; Bobakulov, K.M.; Mukhamatkhanova, R.F.; Tsai, E.A.; Tashkhodzhaev, B.; Sham’yanov, I.D.; Azimova, S.S.; Abdullaev, N.D. Nonpolar Constituents of Inula Grandis Roots. Cytotoxic Activity of Igalan. Chem. Nat. Compd. 2019, 55, 571–574. [Google Scholar] [CrossRef]
- Marco, J.A.; Arno, M.; Carda, M. Synthesis of Yomogin, 1-Deoxyivangustin, and 1-Deoxy-8-Epiivangustin. Can. J. Chem. 1987, 65, 630–635. [Google Scholar] [CrossRef]







| Extract | Bioactive Fraction No. | Inhibitory Zone Diameter ( ± SD; mm) | Total Yield ( mg) |
|---|---|---|---|
| CT50 | F14 | 12.2 ± 0.2 | 13.0 |
| F15 | 16.5 ± 0.3 | 110.0 | |
| F16 | 16.3 ± 0.5 | 47.7 | |
| F17 | 16.1 ± 0.3 | 56.1 | |
| F18 | 13.4 ± 0.6 | 55.7 | |
| F19 | 10.8 ± 0.5 | 56.3 | |
| F20 | 11.0 ± 0.3 | 76.3 | |
| F21 | 11.5 ± 0.6 | 82.8 | |
| F22 | 13.0 ± 0.5 | 96.0 | |
| CM50 | F16 | 15.0 ± 0.6 | 84.7 |
| F17 | 15.6 ± 1.1 | 49.0 | |
| F18 | 15.0 ± 0.1 | 42.3 | |
| F19 | 13.4 ± 0.3 | 41.5 | |
| F20 | 12.3 ± 1.2 | 44.3 | |
| F21 | 13.1 ± 0.7 | 62.4 | |
| F22 | 15.1 ± 0.8 | 43.3 | |
| F23 | 16.2 ± 0.1 | 114.7 | |
| F24 | 14.0 ± 0.9 | 134.4 | |
| CT100 | F15 | 12.2 ± 0.5 | 44.0 |
| F16 | 13.8 ± 0.1 | 57.1 | |
| F17 | 20.0 ± 0.1 | 102.5 | |
| F18 | 18.7 ± 0.4 | 165.7 | |
| F19 | 20.0 ± 0.3 | 84.3 | |
| F20 | 12.3 ± 1.0 | 54.1 | |
| F21 | 11.3 ± 0.2 | 50.5 | |
| F22 | 11.2 ± 0.3 | 57.4 | |
| F23 | 13.4 ± 0.3 | 57.6 | |
| CM100 | F16 | 18.7 ± 0.7 | 46.1 |
| F17 | 17.4 ± 0.6 | 101.3 | |
| F18 | 17.7 ± 1.6 | 61.7 | |
| F19 | 14.7 ± 0.7 | 13.9 | |
| F20 | 13.1 ± 0.1 | 9.7 | |
| F21 | 16.5 ± 0.5 | 12.7 |
| Extract | Fraction | Peak 1 a | Peak 2 | Peak 3 | Peak 4 | Total Yield b |
|---|---|---|---|---|---|---|
| CT50 | F14 | 1.64 | 9.72 | 15.91 | 3.52 | 30.79 |
| F15 | 2.85 | 14.62 | 21.07 | 4.07 | 42.62 | |
| F16 | 2.89 | 12.52 | 16.32 | 3.51 | 35.24 | |
| F17 | 0.79 | 3.81 | 5.87 | 1.10 | 11.56 | |
| F18 | 1.87 | 8.93 | 14.32 | 2.66 | 27.78 | |
| F19 | 1.34 | 5.92 | 9.24 | 1.86 | 18.35 | |
| F20 | 0.20 | 1.10 | 1.75 | 0.34 | 3.40 | |
| F21 | 0.40 | 1.68 | 2.35 | 0.52 | 4.95 | |
| F22 | 1.64 | 9.72 | 15.91 | 3.52 | 30.79 | |
| CM50 | F16 | 1.21 | 11.34 | 20.73 | 1.99 | 35.27 |
| F17 | 2.42 | 20.48 | 21.16 | 2.83 | 46.89 | |
| F18 | 1.60 | 11.47 | 15.43 | 1.88 | 30.37 | |
| F19 | 1.31 | 9.06 | 10.69 | 1.44 | 22.50 | |
| F20 | 0.67 | 5.28 | 5.29 | 0.72 | 11.96 | |
| F21 | 0.49 | 3.34 | 4.23 | 0.58 | 8.64 | |
| F22 | 1.25 | 9.93 | 10.04 | 1.45 | 22.67 | |
| F23 | 0.68 | 5.50 | 4.79 | 0.73 | 11.70 | |
| F24 | 0.36 | 2.32 | 2.22 | 0.35 | 5.25 |
| Extract | Traditional Extract Composition | Total Yield * (g) |
|---|---|---|
| CT50 | Cultivated root powder in 50% ethanol (v/v). | 36.3 |
| CT100 | Cultivated root powder in absolute ethanol. | 47.4 |
| CM50 | Commercially acquired root powder in 50% ethanol (v/v). | 40.0 |
| CM100 | Commercially acquired root powder in absolute ethanol. | 38.4 |
Publisher’s Note: MDPI stays neutral with regard to jurisdictional claims in published maps and institutional affiliations. |
© 2022 by the authors. Licensee MDPI, Basel, Switzerland. This article is an open access article distributed under the terms and conditions of the Creative Commons Attribution (CC BY) license (https://creativecommons.org/licenses/by/4.0/).
Share and Cite
Kenny, C.-R.; Stojakowska, A.; Furey, A.; Lucey, B. From Monographs to Chromatograms: The Antimicrobial Potential of Inula helenium L. (Elecampane) Naturalised in Ireland. Molecules 2022, 27, 1406. https://doi.org/10.3390/molecules27041406
Kenny C-R, Stojakowska A, Furey A, Lucey B. From Monographs to Chromatograms: The Antimicrobial Potential of Inula helenium L. (Elecampane) Naturalised in Ireland. Molecules. 2022; 27(4):1406. https://doi.org/10.3390/molecules27041406
Chicago/Turabian StyleKenny, Ciara-Ruth, Anna Stojakowska, Ambrose Furey, and Brigid Lucey. 2022. "From Monographs to Chromatograms: The Antimicrobial Potential of Inula helenium L. (Elecampane) Naturalised in Ireland" Molecules 27, no. 4: 1406. https://doi.org/10.3390/molecules27041406
APA StyleKenny, C.-R., Stojakowska, A., Furey, A., & Lucey, B. (2022). From Monographs to Chromatograms: The Antimicrobial Potential of Inula helenium L. (Elecampane) Naturalised in Ireland. Molecules, 27(4), 1406. https://doi.org/10.3390/molecules27041406

