Novel Mesoporous Organosilicas with Task Ionic Liquids: Properties and High Adsorption Performance for Pb(II)
Abstract
:1. Introduction
2. Materials and Methods
2.1. Chemicals
2.2. Procedures
2.2.1. Organosilicas’ Fabrication
2.2.2. Characterization of the Synthesized Organosilicas
2.2.3. Pb(II) Sorption
3. Results
3.1. Characterization of Fabricated Materials
3.1.1. Synthesis Confirmation
3.1.2. Surface Morphology
3.1.3. Textural Properties
3.1.4. Results of XRD Analysis
3.2. Sorption Studies
3.2.1. Effect of pH
3.2.2. Adsorption Kinetics
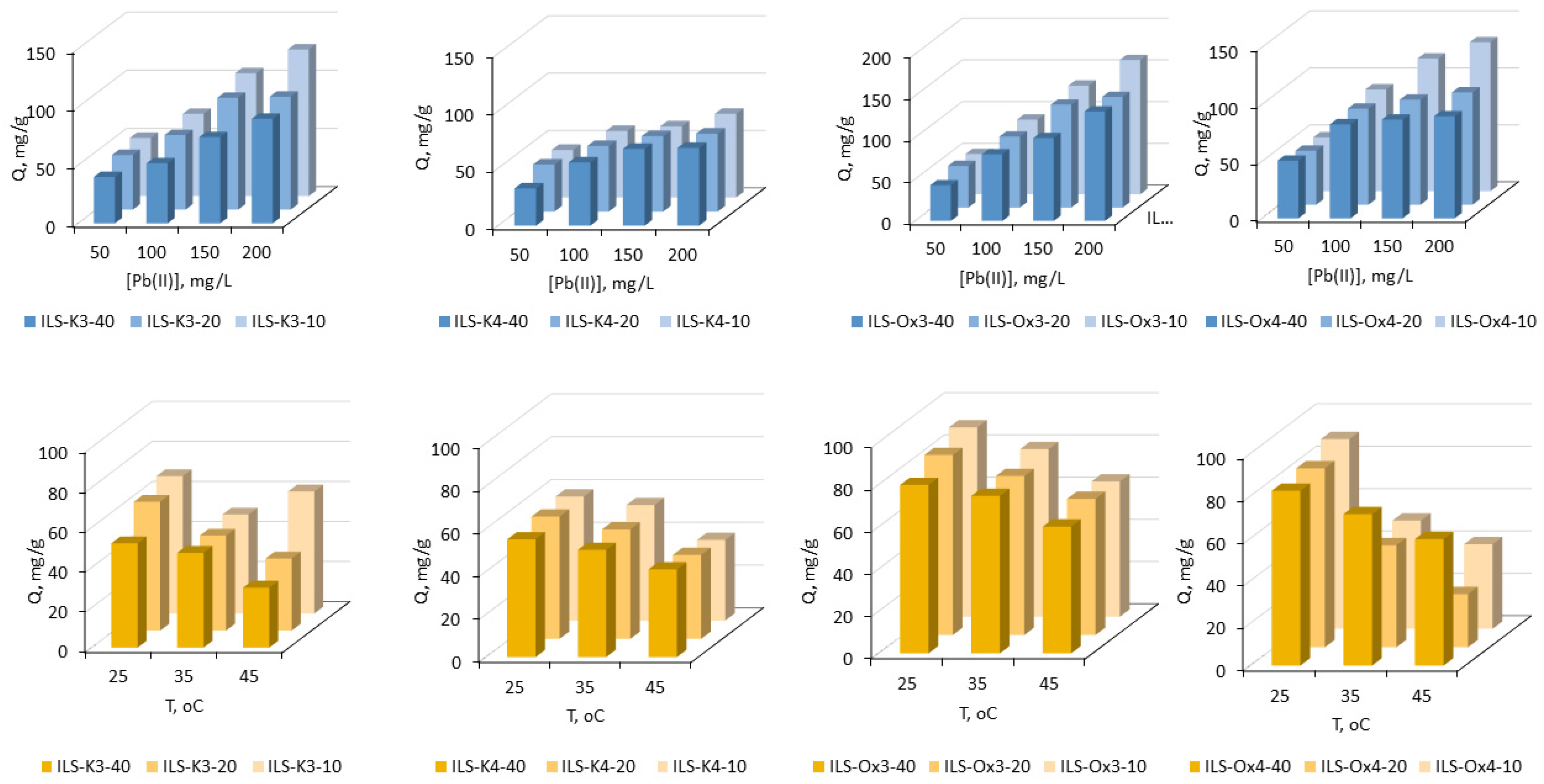
3.2.3. Adsorption Isotherms
3.3. Desorption Studies
3.4. Adsorption from Wastewater
4. Conclusions
Author Contributions
Funding
Institutional Review Board Statement
Informed Consent Statement
Data Availability Statement
Acknowledgments
Conflicts of Interest
Sample Availability
References
- Verma, P.; Kuwahara, Y.; Mori, K.; Raja, R.; Yamashita, H. Functionalized Mesoporous SBA-15 Silica: Recent Trends and Catalytic Applications. Nanoscale 2020, 12, 11333–11363. [Google Scholar] [CrossRef] [PubMed]
- Yang, L.; Zhou, S.; Gu, G.; Wu, L. Film-Forming Behavior and Mechanical Properties of Colloidal Silica/Polymer Latex Blends with High Silica Load. J. Appl. Polym. Sci. 2013, 129, 1434–1445. [Google Scholar] [CrossRef]
- Kobayashi, M.; Rharbi, Y.; Brauge, L.; Cao, L.; Winnik, M.A. Effect of Silica as Fillers on Polymer Interdiffusion in Poly(Butyl Methacrylate) Latex Films. Macromolecules 2002, 35, 7387–7399. [Google Scholar] [CrossRef]
- Mohammed, M.; Rahman, R.; Mohammed, M.A.; Jaafar, C.N.A.; Zainol, I.; Aremu, O.O. Effect of Silica Fillers on Mechanical Properties of Epoxy/Kenaf Composites. J. Phys. Conf. Ser. 2018, 1082, 012006. [Google Scholar] [CrossRef] [Green Version]
- Staropoli, M.; Rogé, V.; Moretto, E.; Didierjean, J.; Michel, M.; Duez, B.; Steiner, P.; Thielen, G.; Lenoble, D.; Thomann, J.S. Hybrid Silica-Based Fillers in Nanocomposites: Influence of Isotropic/Isotropic and Isotropic/Anisotropic Fillers on Mechanical Properties of Styrene-Butadiene (SBR)-Based Rubber. Polymers 2021, 13, 2413. [Google Scholar] [CrossRef] [PubMed]
- Zhu, J.; Abeykoon, C.; Karim, N. Investigation into the Effects of Fillers in Polymer Processing. Int. J. Lightweight Mater. Manuf. 2021, 4, 370–382. [Google Scholar] [CrossRef]
- Yi, Z.; Tang, Q.; Jiang, T.; Cheng, Y. Adsorption Performance of Hydrophobic/Hydrophilic Silica Aerogel for Low Concentration Organic Pollutant in Aqueous Solution. Nanotechnol. Rev. 2019, 8, 266–274. [Google Scholar] [CrossRef]
- Qin, Q.; Xu, Y. Enhanced Nitrobenzene Adsorption in Aqueous Solution by Surface Silylated MCM-41. Microporous Mesoporous Mater. 2016, 232, 143–150. [Google Scholar] [CrossRef]
- Liu, H.; Sha, W.; Cooper, A.T.; Fan, M. Preparation and Characterization of a Novel Silica Aerogel as Adsorbent for Toxic Organic Compounds. Colloids Surf. A Physicochem. Eng. Asp. 2009, 347, 38–44. [Google Scholar] [CrossRef]
- Jafari, S.; Derakhshankhah, H.; Alaei, L.; Fattahi, A.; Varnamkhasti, B.S.; Saboury, A.A. Mesoporous Silica Nanoparticles for Therapeutic/Diagnostic Applications. Biomed. Pharmacother. 2019, 109, 1100–1111. [Google Scholar] [CrossRef]
- Karaman, D.Ş.; Kettiger, H. Silica-Based Nanoparticles as Drug Delivery Systems: Chances and Challenges. Inorg. Framew. Smart Nanomed. 2018, 1–40. [Google Scholar] [CrossRef]
- Cotí, K.K.; Belowich, M.E.; Liong, M.; Ambrogio, M.W.; Lau, Y.A.; Khatib, H.A.; Zink, J.I.; Khashab, N.M.; Stoddart, J.F. Mechanised Nanoparticles for Drug Delivery. Nanoscale 2009, 1, 16–39. [Google Scholar] [CrossRef] [PubMed]
- Doadrio, J.C.; Sousa, E.M.B.; Izquierdo-Barba, I.; Doadrio, A.L.; Perez-Pariente, J.; Vallet-Regí, M. Functionalization of Mesoporous Materials with Long Alkyl Chains as a Strategy for Controlling Drug Delivery Pattern. J. Mater. Chem. 2006, 16, 462–466. [Google Scholar] [CrossRef]
- Cha, B.G.; Kim, J. Functional Mesoporous Silica Nanoparticles for Bio-Imaging Applications. Wiley Interdiscip. Rev. Nanomed. Nanobiotechnol. 2019, 11, e1515. [Google Scholar] [CrossRef] [PubMed] [Green Version]
- Niculescu, V.C. Mesoporous Silica Nanoparticles for Bio-Applications. Front. Mater. 2020, 7, 36. [Google Scholar] [CrossRef] [Green Version]
- Ji, G.; Zhu, G.; Wang, X.; Wei, Y.; Yuan, J.; Gao, C. Preparation of Amidoxime Functionalized SBA-15 with Platelet Shape and Adsorption Property of U(VI). Sep. Purif. Technol. 2017, 174, 455–465. [Google Scholar] [CrossRef]
- Pérez-Quintanilla, D.; Del Hierro, I.; Fajardo, M.; Sierra, I. Adsorption of Cadmium(II) from Aqueous Media onto a Mesoporous Silica Chemically Modified with 2-Mercaptopyrimidine. J. Mater. Chem. 2006, 16, 1757–1764. [Google Scholar] [CrossRef]
- Alswieleh, A.M.; Albahar, H.Y.; Alfawaz, A.M.; Alsilme, A.S.; Beagan, A.M.; Alsalme, A.M.; Almeataq, M.S.; Alshahrani, A.; Alotaibi, K.M. Evaluation of the Adsorption Efficiency of Glycine-, Iminodiacetic Acid -, and Amino Propyl-Functionalized Silica Nanoparticles for the Removal of Potentially Toxic Elements from Contaminated Water Solution. J. Nanomater. 2021, 2021, 6664252. [Google Scholar] [CrossRef]
- Vatandoust, H.; Younesi, H.; Mehraban, Z.; Heidari, A.; Khakpour, H. Comparative Adsorption of Cd (II) and Pb (II) by MCM-48 and Amine-Grafted MCM-48 in Single and Binary Component Systems. Water Conserv. Sci. Eng. 2021, 6, 67–78. [Google Scholar] [CrossRef]
- Malhis, A.A.; Arar, S.H.; Fayyad, M.K.; Hodali, H.A. Amino- and Thiol-Modified Microporous Silicalite-1 and Mesoporous MCM-48 Materials as Potential Effective Adsorbents for Pb(II) in Polluted Aquatic Systems: Adsorpt. Sci. Technol. 2017, 36, 270–286. [Google Scholar] [CrossRef] [Green Version]
- Da’na, E. Adsorption of Heavy Metals on Functionalized-Mesoporous Silica: A Review. Microporous Mesoporous Mater. 2017, 247, 145–157. [Google Scholar] [CrossRef]
- Lee, J.-Y.; Chen, C.-H.; Cheng, S.; Li, H.-Y. Adsorption of Pb(II) and Cu(II) Metal Ions on Functionalized Large-Pore Mesoporous Silica. Int. J. Environ. Sci. Technol. 2015, 13, 65–76. [Google Scholar] [CrossRef] [Green Version]
- Chiron, N.; Guilet, R.; Deydier, E. Adsorption of Cu(II) and Pb(II) onto a Grafted Silica: Isotherms and Kinetic Models. Water Res. 2003, 37, 3079–3086. [Google Scholar] [CrossRef]
- Banaei, A.; Ebrahimi, S.; Vojoudi, H.; Karimi, S.; Badiei, A.; Pourbasheer, E. Adsorption Equilibrium and Thermodynamics of Anionic Reactive Dyes from Aqueous Solutions by Using a New Modified Silica Gel with 2,2″-(Pentane-1,5-Diylbis(Oxy))Dibenzaldehyde. Chem. Eng. Res. Des. 2017, 123, 50–62. [Google Scholar] [CrossRef]
- Gao, J.; Guo, X.; Tao, W.; Chen, D.; Lu, J.; Chen, Y. Norepinephrine-Functionalised Nanoflower-like Organic Silica as a New Adsorbent for Effective Pb(II) Removal from Aqueous Solutions. Sci. Rep. 2019, 9, 293. [Google Scholar] [CrossRef] [PubMed]
- Shahbazi, A.; Younesi, H.; Badiei, A. Functionalized SBA-15 Mesoporous Silica by Melamine-Based Dendrimer Amines for Adsorptive Characteristics of Pb(II), Cu(II) and Cd(II) Heavy Metal Ions in Batch and Fixed Bed Column. Chem. Eng. J. 2011, 168, 505–518. [Google Scholar] [CrossRef]
- Tighadouini, S.; Radi, S.; Ferbinteanu, M.; Garcia, Y. Highly Selective Removal of Pb(II) by a Pyridylpyrazole-β-Ketoenol Receptor Covalently Bonded onto the Silica Surface. ACS Omega 2019, 4, 3954–3964. [Google Scholar] [CrossRef] [Green Version]
- Wojciechowska, A.; Wieszczycka, K.; Wojciechowska, I. Pb(II) Removal with Hydrophobic Quaternary Pyridinium Salt and Methyl Isobutyl Ketone. Hydrometallurgy 2017, 171, 206–212. [Google Scholar] [CrossRef]
- Wojciechowska, A.; Wieszczycka, K.; Wojciechowska, I.; Olszanowski, A. Lead(II) Extraction from Aqueous Solutions by Pyridine Extractants. Sep. Purif. Technol. 2017, 177, 239–248. [Google Scholar] [CrossRef]
- Wieszczycka, K.; Filipowiak, K.; Wojciechowska, I.; Buchwald, T.; Siwińska-Ciesielczyk, K.; Strzemiecka, B.; Jesionowski, T.; Voelkel, A. Novel Highly Efficient Ionic Liquid-Functionalized Silica for Toxic Metals Removal. Sep. Purif. Technol. 2021, 265, 118483. [Google Scholar] [CrossRef]
- Wieszczycka, K.; Filipowiak, K.; Wojciechowska, I.; Buchwald, T. Efficient Metals Removal from Waste Pickling Liquor Using Novel Task Specific Ionic Liquids-Classical Manner and Encapsulation in Polymer Shell. Sep. Purif. Technol. 2021, 262, 118239. [Google Scholar] [CrossRef]
- Wieszczycka, K.; Wojciechowska, A.; Krupa, M.; Kordala-Markiewicz, R. Quaternary Pyridinium Ketoximes as Zinc Extractants from Chloride Solutions. J. Chem. Eng. Data 2013, 58, 3207–3215. [Google Scholar] [CrossRef]
- Wojciechowska, A.; Reis, M.T.A.; Wojciechowska, I.; Ismael, M.R.C.; Gameiro, M.L.F.; Wieszczycka, K.; Carvalho, J.M.R. Application of Pseudo-Emulsion Based Hollow Fiber Strip Dispersion with Task-Specific Ionic Liquids for Recovery of Zinc(II) from Chloride Solutions. J. Mol. Liq. 2018, 254, 369–376. [Google Scholar] [CrossRef]
- Wojciechowska, A.; Wieszczycka, K.; Wojciechowska, I. Efficient Recovery of Copper from Aqueous Solutions with Pyridine Extractants (Oxime, Ketone) and Their Quaternary Pyridinium Salts. Sep. Purif. Technol. 2017, 185, 103–111. [Google Scholar] [CrossRef]
- Wieszczycka, K.; Filipowiak, K.; Wojciechowska, I.; Aksamitowski, P. Novel Ionic Liquid-Modified Polymers for Highly Effective Adsorption of Heavy Metals Ions. Sep. Purif. Technol. 2020, 236, 116313. [Google Scholar] [CrossRef]
- Aksamitowski, P.; Wieszczycka, K.; Filipowiak, K. Silica Functionalized by Pyridinecarboximidamides as a Novel Sorbent of Heavy Metals Ions. Sep. Sci. Technol. 2020, 55, 2217–2226. [Google Scholar] [CrossRef]
- Wieszczycka, K.; Filipowiak, K.; Buchwald, T.; Nowicki, M. Microcapsules Containing Task-Specific Ionic Liquids for Zn(II) and Cu(II) Recovery from Dilute Aqueous Solutions. Sep. Purif. Technol. 2020, 250, 117155. [Google Scholar] [CrossRef]
- Filipowiak, K.; Dudzińska, P.; Wieszczycka, K.; Buchwald, T.; Nowicki, M.; Lewandowska, A.; Marcinkowska, A. Novel Polymer Sorbents with Imprinted Task-Specific Ionic Liquids for Metal Removal. Materials 2021, 14, 5008. [Google Scholar] [CrossRef]
- Wojciechowska, A.; Wieszczycka, K.; Framski, G. Synthesis and Spectral Analysis of Pyridine Derivates. Mod. Org. Chem. Res. 2017, 2, 41–47. [Google Scholar] [CrossRef]
- Galarneau, A.; Desplantier, D.; Dutartre, R.; Di Renzo, F. Micelle-Templated Silicates as a Test Bed for Methods of Mesopore Size Evaluation. Microporous Mesoporous Mater. 1999, 27, 297–308. [Google Scholar] [CrossRef]
- Lukens, W.W.; Schmidt-Winkel, P.; Zhao, D.; Feng, J.; Stucky, G.D. Evaluating Pore Sizes in Mesoporous Materials: A Simplified Standard Adsorption Method and a Simplified Broekhoff-de Boer Method. Langmuir 1999, 15, 5403–5409. [Google Scholar] [CrossRef]
- Zhao, D.; Huo, Q.; Feng, J.; Chmelka, B.F.; Stucky, G.D. Nonionic Triblock and Star Diblock Copolymer and Oligomeric Sufactant Syntheses of Highly Ordered, Hydrothermally Stable, Mesoporous Silica Structures. J. Am. Chem. Soc. 1998, 120, 6024–6036. [Google Scholar] [CrossRef]
- Grudzien, R.M.; Grabicka, B.E.; Knobloch, D.J.; Jaroniec, M. Co-Condensation Synthesis and Adsorption Properties of Cage-like Mesoporous Silicas with Imidazole Groups. Colloids Surf. A Physicochem. Eng. Asp. 2006, 291, 139–147. [Google Scholar] [CrossRef]
- Šetka, M.; Calavia, R.; Vojkůvka, L.; Llobet, E.; Drbohlavová, J.; Vallejos, S. Raman and XPS Studies of Ammonia Sensitive Polypyrrole Nanorods and Nanoparticles. Sci. Rep. 2019, 9, 8465. [Google Scholar] [CrossRef] [PubMed]
- Hu, Y.; Goodeal, N.; Chen, Y.; Ganose, A.M.; Palgrave, R.G.; Bronstein, H.; Blunt, M.O. Probing the Chemical Structure of Monolayer Covalent-Organic Frameworks Grown via Schiff-Base Condensation Reactions. Chem. Commun. 2016, 52, 9941–9944. [Google Scholar] [CrossRef] [PubMed] [Green Version]
- Kaneko, R.; Kanda, H.; Shibayama, N.; Sugawa, K.; Otsuki, J.; Islam, A.; Nazeeruddin, M.K. Gradient 1D/3D Perovskite Bilayer Using 4-Tert-Butylpyridinium Cation for Efficient and Stable Perovskite Solar Cells. Solar RRL 2021, 5, 2000791. [Google Scholar] [CrossRef]
- Men, S.; Mitchell, D.S.; Lovelock, K.R.J.; Licence, P. X-Ray Photoelectron Spectroscopy of Pyridinium-Based Ionic Liquids: Comparison to Imidazolium- and Pyrrolidinium-Based Analogues. ChemPhysChem 2015, 16, 2211–2218. [Google Scholar] [CrossRef] [Green Version]
- Tan, K.L.; Hameed, B.H. Insight into the Adsorption Kinetics Models for the Removal of Contaminants from Aqueous Solutions. J. Taiwan Inst. Chem. Eng. 2017, 74, 25–48. [Google Scholar] [CrossRef]
- Simonin, J.P. On the Comparison of Pseudo-First Order and Pseudo-Second Order Rate Laws in the Modeling of Adsorption Kinetics. Chem. Eng. J. 2016, 300, 254–263. [Google Scholar] [CrossRef] [Green Version]
- Largitte, L.; Pasquier, R. New Models for Kinetics and Equilibrium Homogeneous Adsorption. Chem. Eng. Res. Des. 2016, 112, 289–297. [Google Scholar] [CrossRef]
- Fang, D.; Zhuang, X.; Huang, L.; Zhang, Q.; Shen, Q.; Jiang, L.; Xu, X.; Ji, F. Developing the New Kinetics Model Based on the Adsorption Process: From Fitting to Comparison and Prediction. Sci. Total Environ. 2020, 725, 138490. [Google Scholar] [CrossRef] [PubMed]
- Al-Ghouti, M.A.; Da’ana, D.A. Guidelines for the Use and Interpretation of Adsorption Isotherm Models: A Review. J. Hazard. Mater. 2020, 393, 122383. [Google Scholar] [CrossRef] [PubMed]
- Wang, J.; Guo, X. Adsorption Isotherm Models: Classification, Physical Meaning, Application and Solving Method. Chemosphere 2020, 258, 127279. [Google Scholar] [CrossRef]
- Sahmoune, M.N. Evaluation of Thermodynamic Parameters for Adsorption of Heavy Metals by Green Adsorbents. Environ. Chem. Lett. 2019, 17, 697–704. [Google Scholar] [CrossRef]
- Zhang, Y.; Cao, X.; Sun, J.; Wu, G.; Wang, J.; Zhang, D. Synthesis of Pyridyl Schiff Base Functionalized SBA-15 Mesoporous Silica for the Removal of Cu(II) and Pb(II) from Aqueous Solution. J. Sol-Gel Sci. Technol. 2020, 94, 658–670. [Google Scholar] [CrossRef]
- Wang, Z.; Wang, M.; Wu, G.; Wu, D.; Wu, A. Colorimetric Detection of Copper and Efficient Removal of Heavy Metal Ions from Water by Diamine-Functionalized SBA-15. Dalton Trans. 2014, 43, 8461–8468. [Google Scholar] [CrossRef]
- Zhang, Y.; Wu, G.; Yang, Y.; Sun, J.; Zhang, D. Preparation of SBA-15 Mesoporous Silica Grafted with Bis-Salicylaldehyde Schiff Base for Uptake of Pb(II) and Cu(II) from Water. J. Sol-Gel Sci. Technol. 2021, 98, 170–182. [Google Scholar] [CrossRef]
- Guo, Y.; Liu, D.; Zhao, Y.; Gong, B.; Guo, Y.; Huang, W. Synthesis of Chitosan-Functionalized MCM-41-A and Its Performance in Pb(II) Removal from Synthetic Water. J. Taiwan Inst. Chem. Eng. 2017, 71, 537–545. [Google Scholar] [CrossRef]
- Ren, Y.; Abbood, H.A.; He, F.; Peng, H.; Huang, K. Magnetic EDTA-Modified Chitosan/SiO2/Fe3O4 Adsorbent: Preparation, Characterization, and Application in Heavy Metal Adsorption. Chem. Eng. J. 2013, 226, 300–311. [Google Scholar] [CrossRef]
- Zhang, X.; Du, T.; Jia, H. Efficient Activation of Coal Fly Ash for Silica and Alumina Leaches and the Dependence of Pb(II) Removal Capacity on the Crystallization Conditions of Al-MCM-41. Int. J. Mol. Sci. 2021, 22, 6540. [Google Scholar] [CrossRef]
- Guo, S.; Jiao, P.; Dan, Z.; Duan, N.; Zhang, J.; Chen, G.; Gao, W. Synthesis of Magnetic Bioadsorbent for Adsorption of Zn(II), Cd(II) and Pb(II) Ions from Aqueous Solution. Chem. Eng. Res. Des. 2017, 126, 217–231. [Google Scholar] [CrossRef]
- Yahya, M.D.; Yohanna, I.; Auta, M.; Obayomi, K.S. Remediation of Pb (II) Ions from Kagara Gold Mining Effluent Using Cotton Hull Adsorbent. Sci. Afr. 2020, 8, e00399. [Google Scholar] [CrossRef]







| Sample | Si/N 1 (Theoretical) | Cf 2 mmol/g |
|---|---|---|
| ILS-Ox3-10 | 6.2 (5.5) | 0.89 (0.96) |
| ILS-Ox3-20 | 11.4 (10.5) | 0.57 (0.61) |
| ILS-Ox3-40 | 22.6 (20.5) | 0.32 (0.35) |
| ILS-Ox4-10 | 5.9 (5.5) | 0.91 (0.96) |
| ILS-Ox4-20 | 11.3 (10.5) | 0.57 (0.61 |
| ILS-Ox4-40 | 21.4 (20.5) | 0.34 (0.35) |
| ILS-K3-10 | 12.9 (11.0) | 0.87 (0.97) |
| ILS-K3-20 | 23.7 (21.0) | 0.56 (0.61) |
| ILS-K3-40 | 43.6 (41.0) | 0.33 (0.35) |
| ILS-K4-10 | 11.8 (11.0) | 0.93 (0.97) |
| ILS-K4-20 | 23.1 (21.0) | 0.57 (0.61) |
| ILS-K4-40 | 42.8 (41.0) | 0.34 (0.35) |
| Sample | d (100) nm | d (110) nm | d (200) nm | ao 1 nm | Wall Thickness 2 nm | |
|---|---|---|---|---|---|---|
![]() | ILS-Ox3-10 | 10.1 | 5.8 | 5.1 | 11.7 | 7.6 |
| ILS-Ox3-20 | 10.2 | 5.9 | 5.1 | 11.7 | 6.3 | |
| ILS-Ox3-40 | 10.2 | 5.9 | 5.1 | 11.8 | 6.7 | |
| ILS-Ox4-10 | 9.9 | 5.8 | 5.0 | 11.4 | 5.7 | |
| ILS-Ox4-20 | 10.0 | 5.8 | 5.0 | 11.5 | 5.5 | |
| ILS-Ox4-40 | 10.1 | 5.9 | 5.0 | 11.6 | 6.3 | |
| ILS-K3-10 | 9.6 | 6.0 | 5.0 | 11.1 | 6.4 | |
| ILS-K3-20 | 10.1 | 6.1 | 5.2 | 11.7 | 6.2 | |
| ILS-K3-40 | 10.7 | 6.1 | 5.4 | 12.3 | 6.4 | |
| ILS-K4-10 | 9.7 | 5.8 | 4.9 | 11.2 | 6.3 | |
| ILS-K4-20 | 9.8 | 5.8 | 5.0 | 11.3 | 6.2 | |
| ILS-K4-40 | 9.9 | 5.8 | 5.1 | 11.4 | 5.6 |
| Isotherm Model | ILS-K3 | ILS-K4 | ||||
|---|---|---|---|---|---|---|
| ILS-K3-40 | ILS-K3-20 | ILS-K3-10 | ILS-K4-40 | ILS-K4-20 | ILS-K4-10 | |
| Langmuir | ||||||
| Qm (mg/g) | 104.6 | 99.7 | 127.4 | 85.2 | 72.3 | 78.0 |
| KL (L/mg) | 0.05 | 0.15 | 0.34 | 0.04 | 0.12 | 0.10 |
| R2 | 0.988 | 0.996 | 0.992 | 0.996 | 0.999 | 0.999 |
| Freundlich | ||||||
| KF (mg1−(1/n)/gLn) | 17.9 | 37.7 | 67.5 | 2.5 | 5.1 | 4.9 |
| n | 2.9 | 5.0 | 7.4 | 11.1 | 26.9 | 27.4 |
| R2 | 1.000 | 0.998 | 0.997 | 0.939 | 0.988 | 0.994 |
| Dubinin–Radushkevich | ||||||
| Qm(mg/g) | 78.0 | 85.4 | 107.5 | 67.5 | 64.2 | 67.0 |
| KDR (mol2/kJ2) | 1.3 × 10−5 | 1.2 × 10−6 | 2.2 × 10−8 | 4.0 × 10−5 | 6.6 × 10−6 | 5.5 × 10−6 |
| R2 | 0.859 | 0.884 | 0.884 | 0.971 | 0.912 | 0.867 |
| Temkin | ||||||
| KT (L/g) | 0.62 | 9.90 | 820.0 | 0.33 | 5.72 | 4.73 |
| B | 119.0 | 98.5 | 230.4 | 127.8 | 237.7 | 217.9 |
| R2 | 0.985 | 0.982 | 0.961 | 0.969 | 0.981 | 0.988 |
| ILS-Ox3 | ILS-Ox4 | |||||
| ILS-Ox3-40 | ILS-Ox3-20 | ILS-Ox3-10 | ILS-Ox4-40 | ILS-Ox4-20 | ILS-Ox4-10 | |
| Langmuir | ||||||
| Qm (mg/g) | 171.9 | 141.6 | 163.3 | 92.6 | 97.8 | 141.3 |
| KL (L/mg) | 0.05 | 0.49 | 0.7 | 0.7 | 0.5 | 0.2 |
| R2 | 0.999 | 0.997 | 0.996 | 0.944 | 0.811 | 0.823 |
| Freundlich | ||||||
| KF (mg1−(1/n)/gLn) | 17.2 | 71.8 | 80.2 | 61.5 | 62.3 | 49.2 |
| n | 2.0 | 6.2 | 5.2 | 11.2 | 10.4 | 4.1 |
| R2 | 0.988 | 0.988 | 0.993 | 1.000 | 1.000 | 1.000 |
| Dubinin–Radushkevich | ||||||
| Qm(mg/g) | 112.1 | 117.8 | 129.9 | 87.2 | 90.2 | 112.4 |
| KDR (mol2/kJ2) | 9.0 × 10−6 | 2.4 × 10−8 | 2.7 × 10−8 | 1.6 × 10−8 | 1.7 × 10−8 | 2.8 × 10−7 |
| R2 | 0.901 | 0.866 | 0.859 | 0.964 | 0.947 | 0.861 |
| Temkin | ||||||
| KT (L/g) | 0.42 | 301.4 | 138.7 | 3.8 × 104 | 1.6 × 104 | 10.1 |
| B | 64.0 | 180.7 | 137.4 | 410.2 | 370.8 | 123.0 |
| R2 | 0.981 | 0.888 | 0.987 | 0.988 | 0.985 | 0.983 |
| Adsorbent | Capacity mg/g | Reference |
|---|---|---|
| SH-functionalized MCM-41 | 66.0 | [22] |
| Ethylenediamine-functionalized SBA-15 | 96.4 | [56] |
| Shift base-functionalized SBA-15 | 60.9 | [57] |
| 82.1 | [55] | |
| Chitosan-functionalized MCM-41 | 90.9 | [58] |
| EDTA-modified chitosan/SiO2/Fe3O4 | 123.4 | [59] |
| alumina-containing MCM-41 | 153.0 | [60] |
| Fe3O4-CS-L | 128.6 | [61] |
| ILS-Ox3-40 | 171.9 | This work |
| Adsorbent | Desorption Agent HCl mol/L | Desorption % | Efficiency Loss 1 % |
|---|---|---|---|
| ILS-K3-10 | 0.01 | 87.7 | 3.8 |
| 0.1 | 91.8 | 5.3 | |
| ILS-K4-10 | 0.01 | 82.6 | 4.7 |
| 0.1 | 99.1 | 4.9 | |
| ILS-Ox3-10 | 0.01 | 60.7 | 5.1 |
| 0.1 | 99.4 | 5.4 | |
| ILS-Ox4-10 | 0.01 | 97.2 | 4.7 |
| 0.1 | 99.2 | 5.4 |
Publisher’s Note: MDPI stays neutral with regard to jurisdictional claims in published maps and institutional affiliations. |
© 2022 by the authors. Licensee MDPI, Basel, Switzerland. This article is an open access article distributed under the terms and conditions of the Creative Commons Attribution (CC BY) license (https://creativecommons.org/licenses/by/4.0/).
Share and Cite
Wieszczycka, K.; Filipowiak, K.; Dudzinska, P.; Nowicki, M.; Siwińska-Ciesielczyk, K.; Jesionowski, T. Novel Mesoporous Organosilicas with Task Ionic Liquids: Properties and High Adsorption Performance for Pb(II). Molecules 2022, 27, 1405. https://doi.org/10.3390/molecules27041405
Wieszczycka K, Filipowiak K, Dudzinska P, Nowicki M, Siwińska-Ciesielczyk K, Jesionowski T. Novel Mesoporous Organosilicas with Task Ionic Liquids: Properties and High Adsorption Performance for Pb(II). Molecules. 2022; 27(4):1405. https://doi.org/10.3390/molecules27041405
Chicago/Turabian StyleWieszczycka, Karolina, Kinga Filipowiak, Patrycja Dudzinska, Marek Nowicki, Katarzyna Siwińska-Ciesielczyk, and Teofil Jesionowski. 2022. "Novel Mesoporous Organosilicas with Task Ionic Liquids: Properties and High Adsorption Performance for Pb(II)" Molecules 27, no. 4: 1405. https://doi.org/10.3390/molecules27041405
APA StyleWieszczycka, K., Filipowiak, K., Dudzinska, P., Nowicki, M., Siwińska-Ciesielczyk, K., & Jesionowski, T. (2022). Novel Mesoporous Organosilicas with Task Ionic Liquids: Properties and High Adsorption Performance for Pb(II). Molecules, 27(4), 1405. https://doi.org/10.3390/molecules27041405


