The Influence of Hydroponic Potato Plant Cultivation on Selected Properties of Starch Isolated from Its Tubers
Abstract
:1. Introduction
2. Results and Discussion
2.1. Composition Analysis
2.2. Starch Color
2.3. Particle Size Distribution (PSD) of the Potato Starch
2.4. Water Binding Capacity (WBC), Welling Power (SP) and Starch Solubility (S)
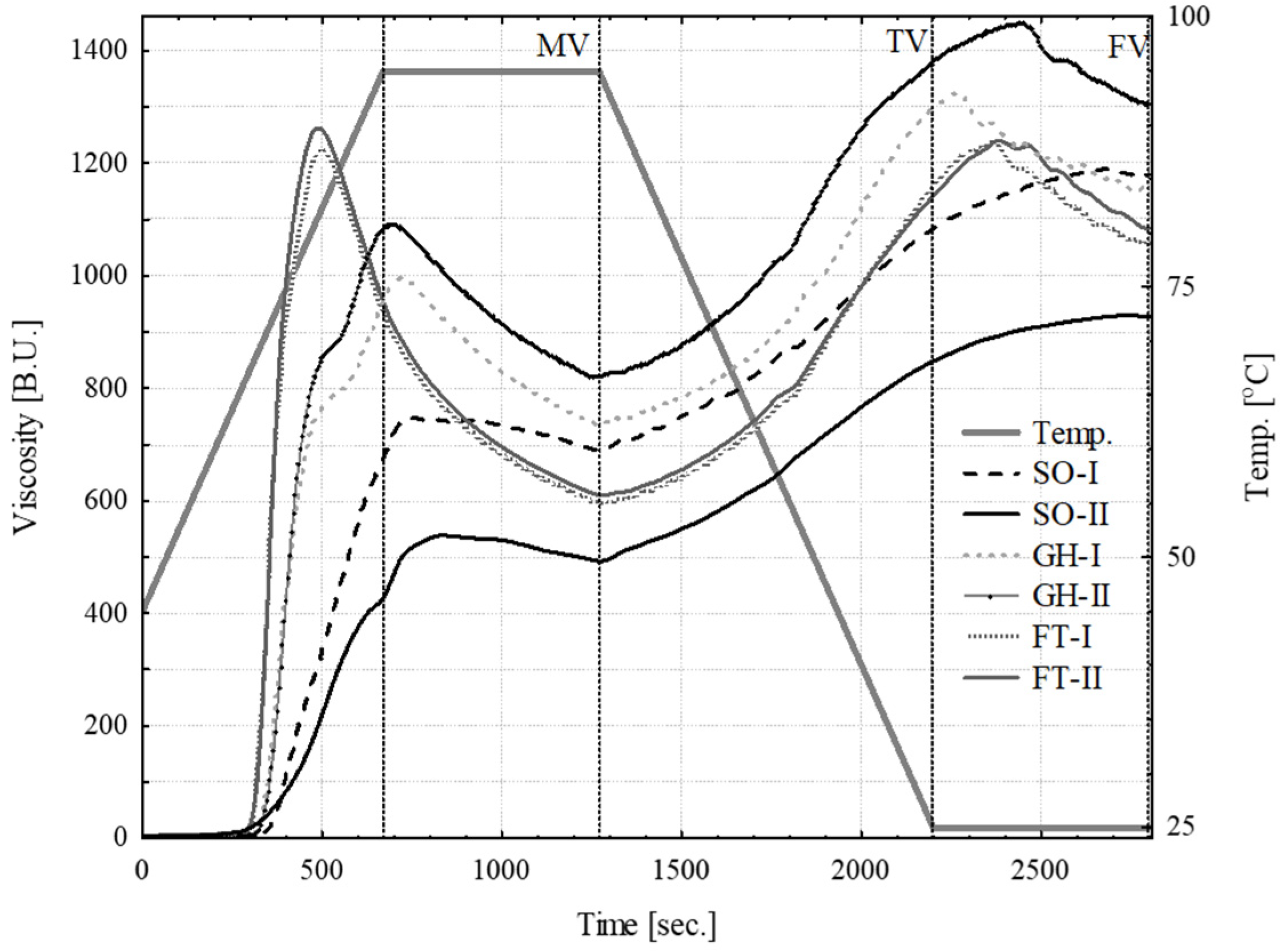
2.5. Pasting Properties
2.6. Thermal Properties
2.7. Crystallinity
3. Materials and Methods
3.1. Plant Material
3.2. Starch Isolation
3.3. Physicochemical Properties
3.4. Water Binding Capacity (WBC), Swelling Power (SP), Starch Solubility (S)
3.5. Pasting Properties
3.6. Thermal Properties
3.7. WAXS Measurements
3.8. Statistical Analysis
4. Conclusions
Author Contributions
Funding
Institutional Review Board Statement
Informed Consent Statement
Data Availability Statement
Conflicts of Interest
Sample Availability
References
- Hermansson, A.-M.; Svegmark, K. Developments in the Understanding of Starch Functionality. Trends Food Sci. Tech. 1996, 7, 345–353. [Google Scholar] [CrossRef]
- Adebowalea, K.O.; Olu-Owolabi, B.I.; Olayinka, O.O.; Lawal, O.S. Effect of Heat Moisture Treatment and Annealing on Physicochemical Properties of Red Sorghum Starch. Afr. J. Biotechnol. 2005, 4, 928–933. [Google Scholar] [CrossRef]
- Vasanthan, T.; Bergthaller, W.; Driedger, D.; Yeung, J.; Sporns, P. Starch from Alberta Potatoes: Wet-Isolation and Some Physicochemical Properties. Food Res. Int. 1999, 32, 355–365. [Google Scholar] [CrossRef]
- Mishra, S.; Rai, T. Morphology and Functional Properties of Corn, Potato and Tapioca Starches. Food Hydrocolloid 2006, 20, 557–566. [Google Scholar] [CrossRef]
- Singh, N.; Kaur, L.; Sandhu, K.S.; Kaur, J.; Nishinari, K. Relationships between Physicochemical, Morphological, Thermal, Rheological Properties of Rice Starches. Food Hydrocolloid 2006, 20, 532–542. [Google Scholar] [CrossRef]
- Yusuph, M.; Tester, R.F.; Ansell, R.; Snape, C.E. Composition and Properties of Starches Extracted from Tubers of Different Potato Varieties Grown under the Same Environmental Conditions. Food Chem 2003, 82, 283–289. [Google Scholar] [CrossRef]
- Cottrell, J.E.; Duffus, C.M.; Paterson, L.; Mackay, G.R. Properties of Potato Starch: Effects of Genotype and Growing Conditions. Phytochemistry 1995, 40, 1057–1064. [Google Scholar] [CrossRef]
- Ganga, Z.N.; Corke, H. Physical Properties of Starch of Asian-Adapted Potato Varieties. J. Sci. Food Agr. 1999, 79, 1642–1646. [Google Scholar] [CrossRef]
- Haase, N.U.; Plate, J. Properties of Potato Starch in Relation to Varieties and Environmental Factors. Starch-Stärke 1996, 48, 167–171. [Google Scholar] [CrossRef]
- Jansen, G.; Flamme, W.; Schüler, K.; Vandrey, M. Tuber and Starch Quality of Wild and Cultivated Potato Species and Cultivars. Potato Res. 2001, 44, 137–146. [Google Scholar] [CrossRef]
- Kim, Y.S.; Wiesenborn, D.P.; Orr, P.H.; Grant, L.A. Screening Potato Starch for Novel Properties Using Differential Scanning Calorimetry. J. Food Sci. 1995, 60, 1060–1065. [Google Scholar] [CrossRef]
- Morrison, I.M.; Cochrane, M.P.; Cooper, A.M.; Dale, M.F.B.; Duffus, C.M.; Ellis, R.P.; Lynn, A.; Mackay, G.R.; Paterson, L.J.; Prentice, R.D.M.; et al. Potato Starches: Variation in Composition and Properties between Three Genotypes Grown at Two Different Sites and in Two Different Years. J. Sci. Food Agric. 2000, 81, 319–328. [Google Scholar] [CrossRef]
- Sabiniano, N.S.; Ishibashi, K.; Hironaka, K. Effect of Low-Temperature Storage on Some Properties of Potato Starch. Nippon. Shokuhin Kagaku Kogaku Kaishi 1995, 42, 815–819. [Google Scholar] [CrossRef]
- Wiesenborn, D.P.; Orr, P.H.; Casper, H.H.; Tacke, B.K. Potato Starch Paste Behavior as Related to Some Physical/Chemical Properties. J. Food Sci. 1994, 59, 644–648. [Google Scholar] [CrossRef]
- Kaur, A.; Singh, N.; Ezekiel, R.; Guraya, H.S. Physicochemical, Thermal and Pasting Properties of Starches Separated from Different Potato Cultivars Grown at Different Locations. Food Chem. 2007, 101, 643–651. [Google Scholar] [CrossRef]
- Noda, T.; Tsuda, S.; Mori, M.; Takigawa, S.; Matsuura-Endo, C.; Hashimoto, N.; Yamauchi, H. Properties of Starches from Potato Varieties Grown in Hokkaido. J. Appl. Glycosci. 2004, 51, 241–246. [Google Scholar] [CrossRef] [Green Version]
- Barichello, V.; Yada, R.Y.; Coffin, R.H. Starch Properties of Various Potato (Solanum tuberosum L.) Cultivars Susceptible and Resistant to Low-Temperature Sweetening. J. Sci. Food Agric. 1991, 56, 385–397. [Google Scholar] [CrossRef]
- Liszka-Skoczylas, M. Effect of Potato Plants (Solanum tuberosum L.) Fertilization on Content and Quality of Starch in Tubers. Food Sci. Technol. Qual. 2020, 27, 31–46. [Google Scholar] [CrossRef]
- Liu, Q.; Weber, E.; Currie, V.; Yada, R. Physicochemical Properties of Starches during Potato Growth. Carbohyd. Polym. 2003, 51, 213–221. [Google Scholar] [CrossRef]
- Madsen, M.H.; Christensen, D.H. Changes in Viscosity Properties of Potato Starch During Growth. Starch-Stärke 1996, 48, 245–249. [Google Scholar] [CrossRef]
- Tester, R.F.; Debon, S.J.J.; Davies, H.V.; Gidley, M.J. Effect of Temperature on the Synthesis, Composition and Physical Properties of Potato Starch. J. Sci. Food Agric. 1999, 79, 2045–2051. [Google Scholar] [CrossRef]
- Tester, R.F.; Karkalas, J. The Effects of Environmental Conditions on the Structural Features and Physico-Chemical Properties of Starches. Starch-Stärke 2001, 53, 513–519. [Google Scholar] [CrossRef]
- Benton Jones, J., Jr. Complete Guide for Growing Plants Hydroponically, 1st ed.; CRC Press: Anderson, SC, USA, 2014. [Google Scholar]
- Wheeler, R.M.; Hinkle, C.R.; Mackowiak, C.L.; Sager, J.C.; Knott, W.M. Potato Growth and Yield Using Nutrient Film Technique (NFT). Am. Potato J. 1990, 67, 177–187. [Google Scholar] [CrossRef] [PubMed]
- Farran, I.; Mingo-Castel, A.M. Potato Minituber Production Using Aeroponics: Effect of Plant Density and Harvesting Intervals. Am. J. Pot. Res. 2006, 83, 47–53. [Google Scholar] [CrossRef]
- Ritter, E.; Angulo, B.; Riga, P.; Herrán, C.; Relloso, J.; San Jose, M. Comparison of Hydroponic and Aeroponic Cultivation Systems for the Production of Potato Minitubers. Potato Res. 2001, 44, 127–135. [Google Scholar] [CrossRef]
- Rolot, J.L.; Seutin, H. Soilless Production of Potato Minitubers Using a Hydroponic Technique. Potato Res. 1999, 42, 457–469. [Google Scholar] [CrossRef]
- Tican, A. Experimenting Hydroponic Culture Systems on Different Substrates to Obtain Potato Minitubers. Rom. Agric. Res. 2018, 35, 147–153. [Google Scholar]
- Smolen, S.; Kowalska, I.; Skoczylas, L.; Liszka-Skoczylas, M.; Grzanka, M.; Halka, M.; Sady, W. The Effect of Salicylic Acid on Biofortification with Iodine and Selenium and the Quality of Potato Cultivated in the NFT System. Sci. Hortic. 2018, 240, 530–543. [Google Scholar] [CrossRef]
- Molders, K.; Quinet, M.; Decat, J.; Secco, B.; Dulière, E.; Pieters, S.; van der Kooij, T.; Lutts, S.; Van Der Straeten, D. Selection and Hydroponic Growth of Potato Cultivars for Bioregenerative Life Support Systems. Adv. Space Res. 2012, 50, 156–165. [Google Scholar] [CrossRef]
- Carpenter, M.; Joyce, N.; Butler, R.; Genet, R.; Timmerman-Vaughan, G. A Mass Spectrometric Method for Quantifying C3 and C6 Phosphorylation of Starch. Anal. Biochem. 2012, 431, 115–119. [Google Scholar] [CrossRef]
- Karim, A.A.; Toon, L.C.; Lee, V.P.L.; Ong, W.Y.; Fazilah, A.; Noda, T. Effects of Phosphorus Contents on the Gelatinization and Retrogradation of Potato Starch. J. Food Sci. 2007, 72, C132–C138. [Google Scholar] [CrossRef] [PubMed]
- Singh, N.; Singh, J.; Kaur, L.; Sodhi, N.S.; Gill, B.S. Morphological, Thermal and Rheological Properties of Starches from Different Botanical Sources. Food Chem. 2003, 81, 219–231. [Google Scholar] [CrossRef]
- Noda, T.; Takigawa, S.; Matsuura-Endo, C.; Ishiguro, K.; Nagasawa, K.; Jinno, M. Preparation of Calcium- and Magnesium-Fortified Potato Starches with Altered Pasting Properties. Molecules 2014, 19, 14556–14566. [Google Scholar] [CrossRef] [PubMed]
- Noda, T.; Takigawa, S.; Matsuura-Endo, C.; Ishiguro, K.; Nagasawa, K.; Jinno, M. Properties of Calcium-Fortified Potato Starch Prepared by Immersion in Natural Mineral Water and Its Food Application. J. Appl. Glycosci. 2015, 62, 159–164. [Google Scholar] [CrossRef] [Green Version]
- Zaidul, M.Z.I.; Norulaini, N.; Oma, M.A.K.; Yamauchi, H.; Noda, T. Correlations of the Composition, Minerals, and RVA Pasting Properties of Various Potato Starches. Starch-Stärke 2007, 59, 269–276. [Google Scholar] [CrossRef]
- Dhital, S.; Shrestha, A.K.; Hasjim, J.; Gidley, M.J. Physicochemical and Structural Properties of Maize and Potato Starches as a Function of Granule Size. J. Agric. Food Chem. 2011, 59, 10151–10161. [Google Scholar] [CrossRef]
- Garcia, E.L.; do Carmo, E.L.; de Pádua, J.G.; Franco, C.M.L.; Leonel, M. Potato Cultivars as a Source of Starch in Brazil: Physicochemical Characteristics of the Starches and Their Correlations. Aust. J. Crop. Sci. 2019, 13, 1786–1792. [Google Scholar] [CrossRef]
- Nuwamanya, E.; Baguma, Y.; Wembabazi, E.; Rubaihayo, P. A Comparative Study of the Physicochemical Properties of Starches from Root, Tuber and Cereal Crops. Afr. J. Biotechnol. 2011, 10, 12018–12030. [Google Scholar] [CrossRef]
- Radley, J.A. Starch Production Technology (Technologie Der Stärkeherstellung); Applied Science Publishers Ltd.: London, UK, 1976. [Google Scholar]
- Hoover, R. Composition, Molecular Structure, and Physicochemical Properties of Tuber and Root Starches: A Review. Carbohyd. Polym. 2001, 45, 253–267. [Google Scholar] [CrossRef]
- Alvani, K.; Qi, X.; Tester, R.F.; Snape, C.E. Physico-Chemical Properties of Potato Starches. Food Chem. 2011, 125, 958–965. [Google Scholar] [CrossRef]
- Noda, T.; Kottearachchi, N.S.; Tsuda, S.; Mori, M.; Takigawa, S.; Matsuura-Endo, C.; Kim, S.-J.; Hashimoto, N.; Yamauchi, H. Starch Phosphorus Content in Potato (Solanum tuberosum L.) Cultivars and Its Effect on Other Starch Properties. Carbohyd. Polym. 2007, 68, 793–796. [Google Scholar] [CrossRef]
- De Willigen, A.H.A. The Rheology of Starch. In Examination and Analysis of Starch and Starch Products; Radley, J.A., Ed.; Springer: Dordrecht, The Netherlands, 1976; pp. 61–90. [Google Scholar]
- Noda, T.; Tsuda, S.; Mori, M.; Takigawa, S.; Matsuura-Endo, C.; Kim, S.-J.; Hashimoto, N.; Yamauchi, H. Effect of Potato Starch Properties on Instant Noodle Quality in Wheat Flour and Potato Starch Blends. Starch-Stärke 2006, 58, 18–24. [Google Scholar] [CrossRef]
- Chen, Z.; Schols, H.A.; Voragen, A.G.J. Starch Granule Size Strongly Determines Starch Noodle Processing and Noodle Quality. J. Food Sci. 2003, 68, 1584–1589. [Google Scholar] [CrossRef]
- Noda, T.; Takigawa, S.; Matsuura-Endo, C.; Kim, S.-J.; Hashimoto, N.; Yamauchi, H.; Hanashiro, I.; Takeda, Y. Physicochemical Properties and Amylopectin Structures of Large, Small, and Extremely Small Potato Starch Granules. Carbohyd. Polym. 2005, 60, 245–251. [Google Scholar] [CrossRef]
- Dos Santos, T.P.R.; Leonel, M.; Garcia, É.L.; do Carmo, E.L.; Franco, C.M.L. Crystallinity, Thermal and Pasting Properties of Starches from Different Potato Cultivars Grown in Brazil. Int. J. Biol. Macromol. 2016, 82, 144–149. [Google Scholar] [CrossRef] [Green Version]
- Kaur, L.; Singh, N.; Sodhi, N.S. Some Properties of Potatoes and Their Starches II. Morphological, Thermal and Rheological Properties of Starches. Food Chem. 2002, 79, 183–192. [Google Scholar] [CrossRef]
- Liu, Q.; Tarn, R.; Lynch, D.; Skjodt, N.M. Physicochemical Properties of Dry Matter and Starch from Potatoes Grown in Canada. Food Chem. 2007, 105, 897–907. [Google Scholar] [CrossRef]
- Teixeira, B.S.; Inamura, P.Y. The Influence of Gamma Irradiation on Texture, Color and Viscosity Properties of Potato Starch. In Proceedings of the Conference Materials of the International Nuclear Atlantic Conference, São Paulo, Brazil, 4–9 October 2015. [Google Scholar]
- Zięba, T.; Solińska, D.; Kapelko-Żeberska, M.; Gryszkin, A.; Babić, J.; Ačkar, Đ.; Hernández, F.; Lončarić, A.; Šubarić, D.; Jozinović, A. Properties of Potato Starch Roasted with Apple Distillery Wastewater. Polymers 2020, 12, 1668. [Google Scholar] [CrossRef]
- Sharma, G. Digital Color. Imaging Handbook; CRC Press LLC: New York, NY, USA, 2003. [Google Scholar]
- BeMiller, J.N.; Whistler, R.L. Starch: Chemistry and Technology, 3rd ed.; Academic Press: San Diego, CA, USA, 2009. [Google Scholar]
- Lizarazo, H.S.P.; Hurtado, R.G.G.; Rodríguez, L.F. Physicochemical and Morphological Characterization of Potato Starch (Solanum tuberosum L.) as Raw Material for the Purpose of Obtaining Bioethanol. Agron. Colomb. 2015, 33, 244–252. [Google Scholar] [CrossRef]
- Zhang, B.; Zhao, Y.; Li, X.; Zhang, P.; Li, L.; Xie, F.; Chen, L. Effects of Amylose and Phosphate Monoester on Aggregation Structures of Heat-Moisture Treated Potato Starches. Carbohyd. Polym. 2014, 103, 228–233. [Google Scholar] [CrossRef]
- Sikora, M.; Tomasik, P.; Krystyjan, M. Characterization of Potato Starch Fractions and Their Interaction with Hydrocolloids. Starch-Stärke 2010, 62, 341–349. [Google Scholar] [CrossRef]
- Wootton, M.; Bamunuarachchi, A. Water Binding Capacity of Commercial Produced Native and Modified Starches. Starch-Stärke 1978, 30, 306–309. [Google Scholar] [CrossRef]
- Remya, R.; Jyothi, A.N. A Comparative Study on the Resistant Starch Content from Different Botanical Sources in Relation to Their Physicochemical Properties. J. Root Crops 2015, 41, 37–47. [Google Scholar]
- Hashim, D.B.M.; Moorthy, S.N.; Mitchell, J.R.; Hill, S.E.; Linfoot, K.J.; Blanshard, J.M.V. The Effect of Low Levels of Antioxidants on the Swelling and Solubility of Cassava Starch. Starch-Stärke 1992, 44, 471–475. [Google Scholar] [CrossRef]
- Fernández-Muñoz, J.L.; Acosta-Osorio, A.A.; Zelaya-Angel, O.; Rodríguez-Garcia, M.E. Effect of Calcium Content in the Corn Flour on RVA Profiles. J. Food Eng. 2011, 102, 100–103. [Google Scholar] [CrossRef]
- Srichuwong, S.; Sunarti, T.C.; Mishima, T.; Isono, N.; Hisamatsu, M. Starches from Different Botanical Sources II: Contribution of Starch Structure to Swelling and Pasting Properties. Carbohyd. Polym. 2005, 62, 25–34. [Google Scholar] [CrossRef]
- Pycia, K.; Juszczak, L.; Gałkowska, D.; Witczak, M. Physicochemical Properties of Starches Obtained from Polish Potato Cultivars. Starch-Stärke 2012, 64, 105–114. [Google Scholar] [CrossRef]
- Witczak, T.; Witczak, M.; Ziobro, R. Effect of Inulin and Pectin on Rheological and Thermal Properties of Potato Starch Paste and Gel. J. Food Eng. 2014, 124, 72–79. [Google Scholar] [CrossRef]
- Berski, W.; Krystyjan, M.; Buksa, K.; Zięć, G.; Gambuś, H. Chemical, Physical and Rheological Properties of Oat Flour Affected by the Isolation of Beta-Glucan Preparation. J. Cereal Sci. 2014, 60, 533–539. [Google Scholar] [CrossRef]
- Sánchez, T.; Dufour, D.; Moreno, I.X.; Ceballos, H. Comparison of Pasting and Gel Stabilities of Waxy and Normal Starches from Potato, Maize, and Rice with Those of a Novel Waxy Cassava Starch under Thermal, Chemical, and Mechanical Stress. J. Agric. Food Chem. 2010, 58, 5093–5099. [Google Scholar] [CrossRef]
- Palabiyik, İ.; Toker, O.S.; Karaman, S.; Yildiz, Ö. A Modeling Approach in the Interpretation of Starch Pasting Properties. J. Cereal Sci. 2017, 74, 272–278. [Google Scholar] [CrossRef]
- Berski, W.; Krystyjan, M.; Zięć, G.; Litwinek, D.; Gambuś, H. The Influence of Starch Hydrolyzate on Physicochemical Properties of Pastes and Gels Prepared from Oat Flour and Starch. J. Cereal Sci. 2016, 70, 16–22. [Google Scholar] [CrossRef]
- Berski, W.; Ziobro, R. Pasting and Gel Characteristics of Normal and Waxy Maize Starch in Glucose Syrup Solutions. J. Cereal Sci. 2018, 79, 253–258. [Google Scholar] [CrossRef]
- Perdomo, J.; Cova, A.; Sandoval, A.J.; García, L.; Laredo, E.; Müller, A.J. Glass Transition Temperatures and Water Sorption Isotherms of Cassava Starch. Carbohyd. Polym. 2009, 76, 305–313. [Google Scholar] [CrossRef]
- Witczak, T. Glass Transition Temperature and Critical Storage Parameters for Potato Starch and Its Derivatives. Food Sci. Technol. Qual. 2017, 24, 51–66. [Google Scholar] [CrossRef]
- Imberty, A.; Chanzy, H.; Pérez, S.; Buléon, A.; Tran, V. The Double-Helical Nature of the Crystalline Part of A-Starch. J. Mol. Biol. 1988, 201, 365–378. [Google Scholar] [CrossRef]
- Imberty, A.; Perez, S. A Revisit to the Three-Dimensional Structure of B-Type Starch. Biopolymers 1988, 27, 1205–1221. [Google Scholar] [CrossRef]
- Takahashi, Y.; Kumano, T.; Nishikawa, S. Crystal Structure of B-Amylose. Macromolecules 2004, 37, 6827–6832. [Google Scholar] [CrossRef]
- Cheetham, N.W.H.; Tao, L. Variation in Crystalline Type with Amylose Content in Maize Starch Granules: An X-Ray Powder Diffraction Study. Carbohyd. Polym. 1998, 36, 277–284. [Google Scholar] [CrossRef]
- Lopez-Rubio, A.; Flanagan, B.M.; Gilbert, E.P.; Gidley, M.J. A Novel Approach for Calculating Starch Crystallinity and Its Correlation with Double Helix Content: A Combined XRD and NMR Study. Biopolymers 2008, 89, 761–768. [Google Scholar] [CrossRef]
- Frost, K.; Kaminski, D.; Kirwan, G.; Lascaris, E.; Shanks, R. Crystallinity and Structure of Starch Using Wide Angle X-Ray Scattering. Carbohyd. Polym. 2009, 78, 543–548. [Google Scholar] [CrossRef]
- Liszka-Skoczylas, M.; Skoczylas, L.; Berski, W.; Smolen, S.; Kowalska, I.; Slupski, J. The Influence of Potato Plant Fertilization with Iodine and Selenium on Physicochemical Properties of Isolated Starch. In Proceedings of the 14th International Conference on Polysaccharides-Glycoscience, Prague, Czech Republic, 7–9 November 2018; Rapkova, R., Hinkova, A., Copikova, J., Sarka, E., Eds.; Czech Chemical Society: Prague, Czech Republic, 2018. [Google Scholar]
- Sady, W. Fertilization of Field Vegetables, 2nd ed.; Plant Press: Kraków, Poland, 2006. [Google Scholar]
- Singh, J.; Singh, N. Studies on the Morphological, Thermal and Rheological Properties of Starch Separated from Some Indian Potato Cultivars. Food Chem. 2001, 75, 67–77. [Google Scholar] [CrossRef]
- AOAC. Official Methods of Analysis of AOAC International, 18th ed.; Association of Official Analytical Chemists International: Gaithersburg, MD, USA, 2006. [Google Scholar]
- Morrison, W.R.; Laignelet, B. An Improved Colorimetric Procedure for Determining Apparent and Total Amylose in Cereal and Other Starches. J. Cereal Sci. 1983, 1, 9–20. [Google Scholar] [CrossRef]
- Pasławski, P.; Migaszewski, Z.M. The Quality of Element Determinations in Plant Materials by Instrumental Methods. Polish J. Environ. Stud. 2006, 15, 154–164. [Google Scholar]
- International Commission on Illumination. Recommendations on Uniform Color Spaces, Color-Difference Equations, Psychometric Color Terms; Bureau Central de la CIE: Paris, France, 1978. [Google Scholar]
- Rhim, J.W.; Wu, Y.; Weller, C.L.; Schnepf, M. Physical Characteristics of a Composite Film of Soy Protein Isolate and Propyleneglycol Alginate. J. Food Sci. 1999, 64, 149–152. [Google Scholar] [CrossRef]
- Sikora, M.; Adamczyk, G.; Krystyjan, M.; Dobosz, A.; Tomasik, P.; Berski, W.; Lukasiewicz, M.; Izak, P. Thixotropic Properties of Normal Potato Starch Depending on the Degree of the Granules Pasting. Carbohyd. Polym. 2015, 121, 254–264. [Google Scholar] [CrossRef]
- Richter, M.; Augustat, S.; Schierbaum, F. Ausgew¨ahle Metoden Der St¨arkechemie; VEB Fachbuchverlag: Leipzing, Germany, 1968. [Google Scholar]
- Kowalski, G.; Kijowska, K.; Witczak, M.; Kuterasiński, Ł.; Łukasiewicz, M. Synthesis and Effect of Structure on Swelling Properties of Hydrogels Based on High Methylated Pectin and Acrylic Polymers. Polymers 2019, 11, 114. [Google Scholar] [CrossRef] [Green Version]


| Object | Year | Ash (g/100g) | AM (g/100g) | Protein (g/100g) | P | Ca | Mg | Na | K | Molar Fraction | |||
|---|---|---|---|---|---|---|---|---|---|---|---|---|---|
| (mg/kg) | Ca | Mg | Na | K | |||||||||
| GH | I | 0.28 b | 27.82 c | 0.28 c | 680.98 c | 23.02 a | 46.26 a | 6.62 a | 920.05 f | 2.18% | 7.24% | 1.09% | 89.48% |
| II | 0.27 b | 27.81 c | 0.30 d | 693.01 d | 21.89 a | 46.36 a | 7.21 b | 910.87 e | 2.10% | 7.32% | 1.20% | 89.38% | |
| FT | I | 0.32 c | 26.50 ab | 0.33 e | 720.78 e | 27.85 b | 48.25 b | 9.02 d | 892.68 c | 2.68% | 7.66% | 1.51% | 88.14% |
| II | 0.33 c | 26.18 a | 0.33 e | 745.26 f | 29.03 b | 49.11 c | 8.93 c | 894.06 d | 2.79% | 7.77% | 1.49% | 87.95% | |
| SO | I | 0.19 a | 27.49 c | 0.26 a | 602.09 b | 96.08 c | 68.00 d | 21.37 e | 605.24 b | 11.10% | 12.95% | 4.30% | 71.65% |
| II | 0.20 a | 26.79 b | 0.27 b | 540.25 a | 98.41 c | 73.54 e | 25.02 f | 524.35 a | 12.29% | 15.14% | 5.44% | 67.12% | |
| GH | 0.28 b | 27.82 c | 0.29 b | 687.00 b | 22.46 a | 46.31 a | 6.92 a | 915.46 c | 2.14% | 7.28% | 1.15% | 89.43% | |
| FT | 0.33 c | 26.34 a | 0.33 c | 733.02 c | 28.44 b | 48.68 b | 8.98 b | 893.37 b | 2.73% | 7.72% | 1.50% | 88.04% | |
| SO | 0.20 a | 27.04 b | 0.27 a | 571.17 a | 97.25 c | 70.75 c | 23.2 c | 564.8 a | 11.67% | 14.00% | 4.85% | 69.48% | |
| I | 0.27 a | 27.27 b | 0.29 a | 667.95 b | 48.99 a | 56.00 b | 12.34 a | 805.99 b | 4.95% | 9.34% | 2.17% | 83.54% | |
| II | 0.27 a | 26.86 a | 0.30 b | 659.51 a | 49.78 b | 54.5 a | 13.72 b | 776.43 a | 5.19% | 9.37% | 2.49% | 82.95% | |
| Object | Year | Diameters | Color Parameters | ΔE | |||||||||||
|---|---|---|---|---|---|---|---|---|---|---|---|---|---|---|---|
| Mean (µm) | <30 µm (%) | 30–70 µm (%) | >70 µm (%) | L* | a* | b* | C* | WI | GH-I | GH-II | FT-I | FT-II | SO-I | ||
| GH | I | 23.5 b | 73.8 | 26.1 | 0.1 | 92.01 e | −0.05 c | 2.94 c | 2.94 c | 8.51 a | |||||
| II | 22.6 a | 82.3 | 17.6 | 0.1 | 92.08 e | −0.16 a | 2.72 b | 2.73 b | 8.38 a | 0.3 | |||||
| FT | I | 26.7 cd | 64.9 | 35.0 | 0.1 | 91.35 d | −0.09 b | 2.28 a | 2.29 a | 8.94 b | 0.9 | 0.9 | |||
| II | 22.1 a | 79.5 | 20.4 | 0.1 | 87.36 c | −0.13 ab | 2.86 bc | 2.86 bc | 8.96 b | 4.7 | 4.7 | 4.0 | |||
| SO | I | 26.3 c | 70.2 | 29.4 | 0.4 | 82.37 a | 0.52 d | 6.09 d | 6.11 d | 18.66 d | 10.2 | 10.3 | 9.8 | 6.0 | |
| II | 27.4 d | 65.4 | 34.2 | 0.4 | 84.86 b | 0.58 e | 6.03 d | 6.06 d | 16.31 c | 7.8 | 8.0 | 7.5 | 4.1 | 2.5 | |
| GH | 22.9 a | 78.6 | 21.3 | 0.1 | 92.05 c | −0.11 a | 2.83 b | 2.84 b | 8.45 a | ||||||
| FT | 25.2 b | 68.8 | 31.2 | 0.1 | 89.36 b | −0.11 a | 2.57 a | 2.57 a | 8.95 b | ||||||
| SO | 27.1 c | 67.0 | 32.6 | 0.4 | 83.62 a | 0.55 b | 6.06 c | 6.09 c | 17.48 c | ||||||
| I | 23.6 a | 69.0 | 30.9 | 0.1 | 88.58 b | 0.13 b | 3.77 a | 3.78 a | 12.04 a | ||||||
| II | 25.4 b | 77.5 | 22.3 | 0.1 | 88.1 a | 0.1 a | 3.87 b | 3.88 b | 12.55 b | ||||||
| Object | Year | WBC (g/100 g) | SP (%) | S (g/100 g) | |||||||||
|---|---|---|---|---|---|---|---|---|---|---|---|---|---|
| 60 °C | 70 °C | 80 °C | 90 °C | 60 °C | 70 °C | 80 °C | 90 °C | 60 °C | 70 °C | 80 °C | 90 °C | ||
| GH | I | 2.39 a | 25.57 a | 35.50 ab | 76.65 c | 3.45 a | 28.22 a | 43.41 ab | 100.40 b | 1.60 b | 5.82 ab | 15.91 a | 22.66 b |
| II | 2.55 a | 25.84 a | 35.68 ab | 76.56 c | 3.61 a | 28.57 a | 44.02 ab | 100.51 b | 1.68 b | 6.08 bc | 16.66 b | 22.84 b | |
| FT | I | 2.78 b | 26.73 b | 31.59 a | 71.95 b | 3.83 b | 29.57 c | 39.06 a | 93.90 a | 1.28 a | 6.20 c | 16.55 b | 22.31 a |
| II | 2.85 b | 26.37 b | 33.85 ab | 70.21 a | 3.90 b | 29.04 b | 41.74 ab | 91.50 a | 1.25 a | 5.75 a | 16.50 b | 22.18 a | |
| SO | I | 2.83 b | 26.74 b | 36.4 ab | 78.9 d | 3.91 b | 30.97 d | 44.91 ab | 105.23 c | 1.95 c | 10.42 d | 16.72 b | 24.04 c |
| II | 3.09 c | 27.77 c | 37.90 b | 78.60 d | 4.17 c | 32.57 e | 47.00 b | 105.08 c | 1.99 c | 11.67 e | 17.24 c | 24.24 d | |
| GH | 2.47 a | 25.71 a | 35.59 ab | 76.61 b | 3.53 a | 28.40 a | 43.71 b | 100.46 b | 1.64 b | 5.95 a | 16.29 a | 22.75 b | |
| FT | 2.82 b | 26.55 b | 32.72 a | 71.08 a | 3.87 a | 29.30 b | 40.40 a | 92.70 a | 1.27 a | 5.98 a | 16.53 a | 22.25 a | |
| SO | 2.96 c | 27.25 c | 37.15 b | 78.77 c | 4.04 b | 31.77 c | 45.95 c | 105.15 c | 1.97 c | 11.04 b | 16.98 b | 24.14 c | |
| I | 2.67 a | 26.35 a | 34.50 a | 75.84 b | 3.73 a | 29.58 a | 42.46 a | 99.84 b | 1.61 a | 7.48 a | 16.39 a | 23.00 a | |
| II | 2.83 b | 26.66 b | 35.81 a | 75.12 a | 3.89 b | 30.06 b | 44.25 b | 99.03 a | 1.64 a | 7.83 b | 16.80 b | 23.09 b | |
| Object | Year | PT (°C) | PVT (°C) | PVt (sec.) | PV (BU) | MV (BU) | TV (BU) | FV (BU) | BD (BU) | SB (BU) | BD% (%) | SB% (%) | HPSI (%) | Vpeak (BU) | r (s) | s (-) | R2 (-) |
|---|---|---|---|---|---|---|---|---|---|---|---|---|---|---|---|---|---|
| GH | I | 71.3 bc | 95.0 b | 726 b | 1002 c | 730 c | 1299 d | 1141 bc | 266 b | 561 b | 26.5 b | 43.1 abc | 84.4 b | 907.55 | 411.25 | 9.89 | 0.992 |
| II | 72.1 c | 95.0 b | 708 b | 1095 c | 819 d | 1375 e | 1305 d | 275 b | 551 b | 25.1 b | 40.1 a | 85.8 b | 1015.70 | 427.38 | 10.99 | 0.993 | |
| FT | I | 70.4 ab | 81.8 a | 498 a | 1234 d | 597 b | 1162 c | 1049 b | 636 c | 559 b | 51.5 c | 48.1 c | 65.2 a | 1193.01 | 363.97 | 14.44 | 0.997 |
| II | 70.3 ab | 81.4 a | 492 a | 1273 d | 610 b | 1141 c | 1087 bc | 662 c | 527 b | 52.0 c | 46.2 bc | 64.6 a | 1249.69 | 365.08 | 15.86 | 0.999 | |
| SO | I | 70.7 abc | 95.0 b | 750 b | 755 b | 689 bc | 1083 b | 1179 cd | 66 a | 394 a | 8.7 a | 36.4 a | 96.3 c | 831.29 | 533.51 | 6.53 | 0.998 |
| II | 69.5 a | 94.7 b | 828 c | 540 a | 492 a | 848 a | 927 a | 48 a | 354 a | 8.8 a | 41.8 ab | 96.3 c | 596.03 | 549.99 | 5.64 | 0.999 | |
| GH | 71.7 b | 95.0 b | 716 b | 1049 b | 774 c | 1337 c | 1223 c | 270 b | 543 b | 25.8 b | 41.6 a | 85.1 b | 967.02 | 415.27 | 10.15 | 0.993 | |
| FT | 70.4 a | 81.6 a | 493 a | 1253 c | 603 b | 1151 b | 1068 b | 649 c | 556 b | 51.7 c | 47.1 b | 64.9 a | 1222.59 | 364.61 | 15.09 | 0.998 | |
| SO | 70.1 a | 94.8 b | 803 c | 612 a | 558 a | 926 a | 1011 a | 54 a | 367 a | 8.8 a | 40.0 a | 96.3 a | 695.20 | 534.28 | 6.34 | 0.999 | |
| I | 70.6 a | 89.7 a | 639 a | 969 a | 668 b | 1201 b | 1112 a | 374 b | 526 b | 32.9 b | 43.8 a | 79.1 a | 838.83 | 390.97 | 10.81 | 0.998 | |
| II | 70.8 a | 90.3 b | 675 b | 1045 b | 640 a | 1121 a | 1106 a | 328 a | 477 a | 28.6 a | 42.7 a | 82.2 b | 810.36 | 385.87 | 12.34 | 0.999 |
| Object | Year | Gelatinization | Retrogradation | Glass Transition | Melting Peak | ||||||||||||||
|---|---|---|---|---|---|---|---|---|---|---|---|---|---|---|---|---|---|---|---|
| ΔHg (J/g) | TPg | TOg | TEg | ΔHr (J/g) | TPr | TOr | TEr | R (%) | TOgt | TMIDgt | TINVgt | TEgt | ΔCp (J/g°C) | TOm | TPm | TEm | ΔHm (J) | ||
| (°C) | (°C) | (°C) | (°C) | ||||||||||||||||
| GH | I | 16.79 a | 74.00 b | 69.30 b | 79.97 a | 8.74 a | 62.87 a | 44.60 a | 80.83 a | 52.18 a | 81.33 a | 93.30 a | 91.40a | 106.10 a | 0.08 a | 179.30 a | 183.30 a | 194.07 a | 182.97 c |
| II | 15.59 a | 74.20 b | 68.20a b | 81.30 bc | 8.15 a | 64.50 a | 47.53bcd | 81.53 a | 52.45 a | 107.60 c | 122.20 d | 126.70d | 143.17 d | 0.07 a | 190.77 a | 194.27 a | 203.20 b | 131.30 a | |
| FT | I | 17.33 a | 74.07 b | 68.37a b | 80.83 b | 11.91 b | 63.93 a | 45.87 abc | 76.83 a | 68.74 bc | 88.77 ab | 102.20 b | 100.60ab | 115.63ab | 0.08 a | 186.83 a | 190.57 a | 199.73ab | 158.17abc |
| II | 17.04 a | 73.50 a | 67.93 a | 79.83 a | 13.92 b | 62.73 a | 45.40 ab | 80.57 a | 81.74 c | 100.03bc | 111.30 c | 111.90bc | 122.80bc | 0.11 bc | 180.23 a | 184.37 a | 194.33 a | 159.17abc | |
| SO | I | 16.98 a | 74.90 c | 68.87 ab | 81.67 c | 8.56 a | 64.17 a | 50.13 d | 77.57 a | 50.49 a | 80.73 a | 95.67 ab | 95.87a | 110.30 a | 0.12 c | 184.67 a | 188.30 a | 197.20ab | 139.47 ab |
| II | 17.20 a | 73.53 a | 67.87 a | 80.03 a | 9.30 a | 61.83 a | 48.53 cd | 73.27 a | 54.12 ab | 100.90bc | 115.00 c | 118.83cd | 128.90 c | 0.10 b | 186.70 a | 190.70 a | 200.50ab | 132.90 ab | |
| GH | 16.19 a | 74.1 b | 68.75 a | 80.63 ab | 8.44 a | 63.68 a | 46.07 a | 81.18 b | 52.32 a | 94.47 a | 107.75 a | 109.05 a | 124.63 a | 0.08 a | 185.03 a | 188.78 a | 198.63 a | 157.13 b | |
| FT | 17.19 a | 73.78 a | 68.15 a | 80.33 a | 12.92 b | 63.33 a | 45.63 a | 78.7 ab | 75.24 b | 94.40 a | 106.75 a | 106.25 a | 119.22 a | 0.10 b | 183.53 a | 187.47 a | 197.03 a | 158.67 b | |
| SO | 17.09 a | 74.22 b | 68.37 a | 80.85 b | 8.93 a | 63 a | 49.33 b | 75.42 a | 52.28 a | 90.82 a | 105.33 a | 107.35 a | 119.60 a | 0.11 c | 185.68 a | 189.5 a | 198.85 a | 136.18 a | |
| I | 17.03 a | 74.32 b | 68.84 b | 80.82 b | 9.74 a | 63.66 a | 46.87 a | 78.41 a | 57.14 a | 83.61 a | 97.06 a | 95.96 a | 110.68 a | 0.10 a | 183.6 a | 187.39 a | 197.00 a | 160.20 b | |
| II | 16.61 a | 73.74 a | 68.00 a | 80.39 a | 10.45 a | 63.02 a | 47.16 a | 78.46 a | 62.76 b | 102.84 b | 116.17 b | 119.14 b | 131.62 b | 0.10 a | 185.9 a | 189.78 a | 199.34 a | 141.12 a | |
| Object | Year | Crystallinity [%] |
|---|---|---|
| GH | I | 40.10 |
| II | 39.95 | |
| FT | I | 33.27 |
| II | 31.73 | |
| SO | I | 33.60 |
| II | 34.22 |
Publisher’s Note: MDPI stays neutral with regard to jurisdictional claims in published maps and institutional affiliations. |
© 2022 by the authors. Licensee MDPI, Basel, Switzerland. This article is an open access article distributed under the terms and conditions of the Creative Commons Attribution (CC BY) license (https://creativecommons.org/licenses/by/4.0/).
Share and Cite
Liszka-Skoczylas, M.; Berski, W.; Witczak, M.; Skoczylas, Ł.; Kowalska, I.; Smoleń, S.; Szlachcic, P.; Kozieł, M. The Influence of Hydroponic Potato Plant Cultivation on Selected Properties of Starch Isolated from Its Tubers. Molecules 2022, 27, 856. https://doi.org/10.3390/molecules27030856
Liszka-Skoczylas M, Berski W, Witczak M, Skoczylas Ł, Kowalska I, Smoleń S, Szlachcic P, Kozieł M. The Influence of Hydroponic Potato Plant Cultivation on Selected Properties of Starch Isolated from Its Tubers. Molecules. 2022; 27(3):856. https://doi.org/10.3390/molecules27030856
Chicago/Turabian StyleLiszka-Skoczylas, Marta, Wiktor Berski, Mariusz Witczak, Łukasz Skoczylas, Iwona Kowalska, Sylwester Smoleń, Paweł Szlachcic, and Marcin Kozieł. 2022. "The Influence of Hydroponic Potato Plant Cultivation on Selected Properties of Starch Isolated from Its Tubers" Molecules 27, no. 3: 856. https://doi.org/10.3390/molecules27030856
APA StyleLiszka-Skoczylas, M., Berski, W., Witczak, M., Skoczylas, Ł., Kowalska, I., Smoleń, S., Szlachcic, P., & Kozieł, M. (2022). The Influence of Hydroponic Potato Plant Cultivation on Selected Properties of Starch Isolated from Its Tubers. Molecules, 27(3), 856. https://doi.org/10.3390/molecules27030856

