Variations in Antioxidant Capacity, Oxidative Stability, and Physicochemical Quality Parameters of Walnut (Juglans regia) Oil with Roasting and Accelerated Storage Conditions
Abstract
1. Introduction
2. Materials and Methods
2.1. Plant Materials
2.2. Physicochemical Quality Parameters
2.3. Chlorophylls and Carotenoids Content
2.4. Fatty Acid Composition
2.5. Tocopherol Composition
2.6. Phytosterols Composition
2.7. Radical Scavenging Activity
2.8. Statistical Analysis
3. Results and Discussion
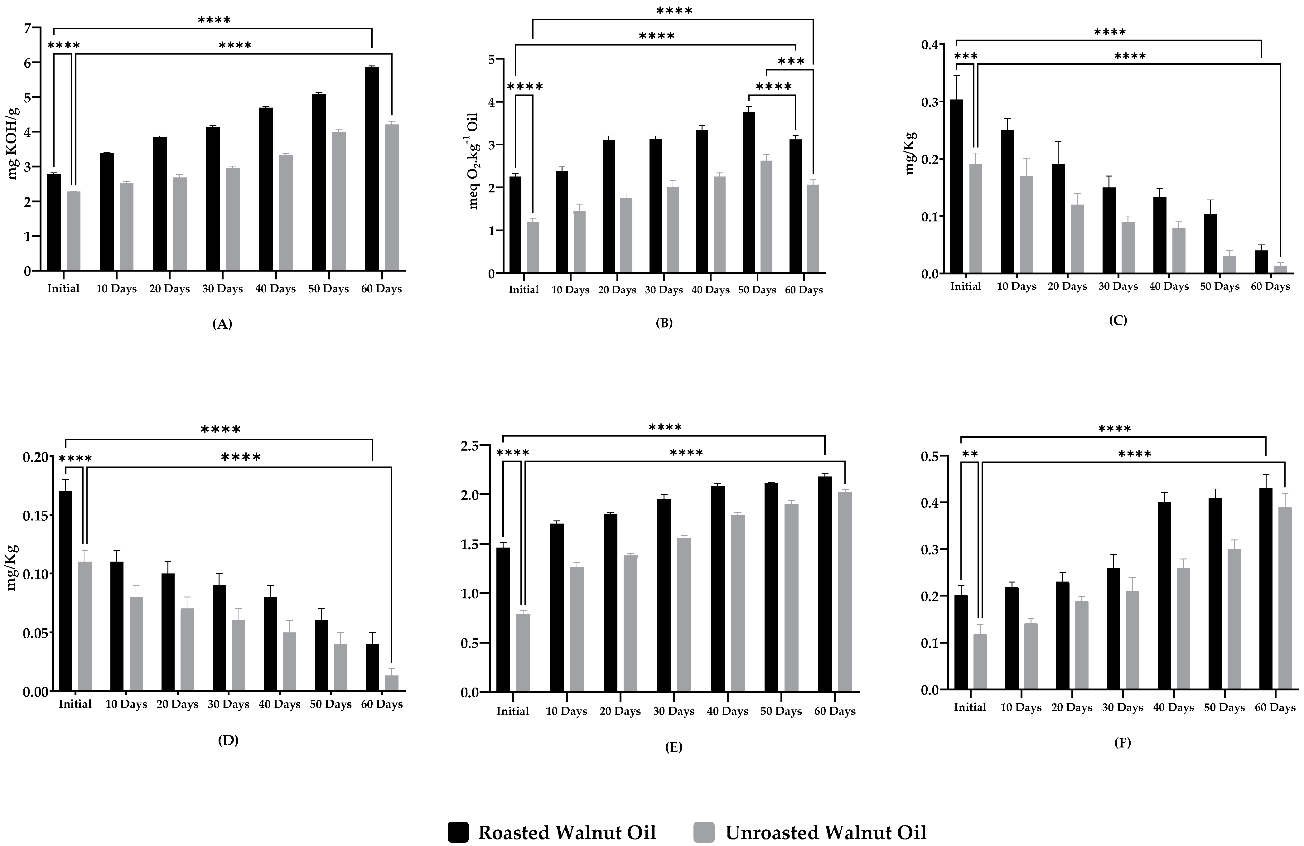
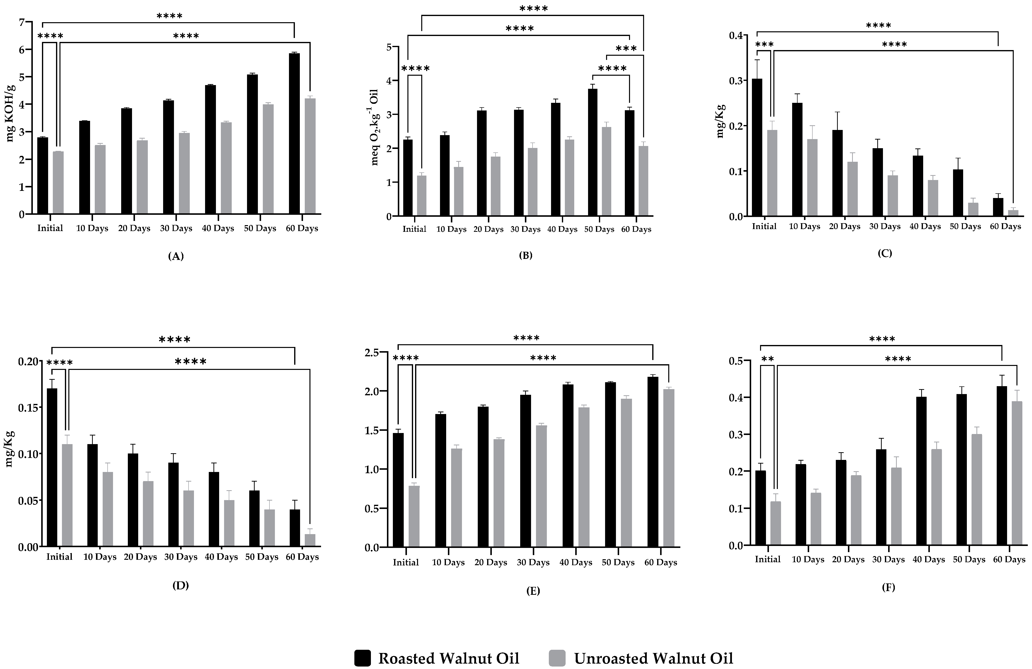
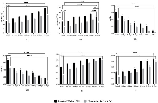
3.1. Physicochemical Quality Parameters, Chlorophylls, and Carotenoids Content
3.2. Fatty Acid Composition
3.3. Tocopherol Composition
3.4. Sterol Composition
3.5. Antioxidant Activity
4. Conclusions
Author Contributions
Funding
Institutional Review Board Statement
Informed Consent Statement
Data Availability Statement
Conflicts of Interest
References
- Catanzaro, E.; Greco, G.; Potenza, L.; Calcabrini, C.; Fimognari, C. Natural Products to Fight Cancer: A Focus on Juglans Regia. Toxins 2018, 10, 469. [Google Scholar] [CrossRef] [PubMed]
- Shigaeva, J.; Darr, D. On the Socio-Economic Importance of Natural and Planted Walnut (Juglans regia L.) Forests in the Silk Road Countries: A Systematic Review. Policy Econ. 2020, 118, 102233. [Google Scholar] [CrossRef]
- Uddin, Y.; Khan, N.M.; Ali, F.; Ahamd, S.; Khan, Z.U.; Nawaz, M.A.; Wang, J. Estimation of Various Physicochemical Properties of Walnut Oil from Different Areas of Northern Kpk, Pakistan. J. Mex. Chem. Soc. 2021, 65, 572–581. [Google Scholar] [CrossRef]
- Liu, M.; Li, C.; Cao, C.; Wang, L.; Li, X.; Che, J.; Yang, H.; Zhang, X.; Zhao, H.; He, G.; et al. Walnut Fruit Processing Equipment: Academic Insights and Perspectives. Food Eng. Rev. 2021, 13, 822–857. [Google Scholar] [CrossRef]
- Nguyen, T.H.D.; Vu, D.C. A Review on Phytochemical Composition and Potential Health-Promoting Properties of Walnuts. Food Rev. Int. 2021, 10, 1–27. [Google Scholar] [CrossRef]
- Rusu, M.E.; Georgiu, C.; Pop, A.; Mocan, A.; Kiss, B.; Vostinaru, O.; Fizesan, I.; Stefan, M.-G.; Gheldiu, A.-M.; Mates, L.; et al. Antioxidant Effects of Walnut (Juglans regia L.) Kernel and Walnut Septum Extract in a D-Galactose-Induced Aging Model and in Naturally Aged Rats. Antioxidants 2020, 9, 424. [Google Scholar] [CrossRef]
- Alasalvar, C.; Bolling, B.W. Review of Nut Phytochemicals, Fat-Soluble Bioactives, Antioxidant Components and Health Effects. Br. J. Nutr. 2015, 113, S68–S78. [Google Scholar] [CrossRef]
- Reiter, R.J.; Tan, D.-X.; Manchester, L.C.; Korkmaz, A.; Fuentes-Broto, L.; Hardman, W.E.; Rosales-Corral, S.A.; Qi, W. A Walnut-Enriched Diet Reduces the Growth of LNCaP Human Prostate Cancer Xenografts in Nude Mice. Cancer Investig. 2013, 31, 365–373. [Google Scholar] [CrossRef]
- Soussi, A.; Gargouri, M.; el Feki, A. Potential Immunomodulatory and Antioxidant Effects of Walnut Juglans regia Vegetable Oil against Lead-Mediated Hepatic Damage and Their Interaction with Lipase Activity in Rats. Environ. Toxicol. 2018, 33, 1261–1271. [Google Scholar] [CrossRef]
- Bati, B.; Celik, I.; Dogan, A. Determination of Hepatoprotective and Antioxidant Role of Walnuts Against Ethanol-Induced Oxidative Stress in Rats. Cell Biochem. Biophys. 2015, 71, 1191–1198. [Google Scholar] [CrossRef]
- Qamar, W.; Sultana, S. Polyphenols from Juglans regia L. (Walnut) Kernel Modulate Cigarette Smoke Extract Induced Acute Inflammation, Oxidative Stress and Lung Injury in Wistar Rats. Hum. Exp. Toxicol. 2011, 30, 499–506. [Google Scholar] [CrossRef] [PubMed]
- Fukuda, T.; Ito, H.; Yoshida, T. Effect of the Walnut Polyphenol Fraction on Oxidative Stress in Type 2 Diabetes Mice. BioFactors 2004, 21, 251–253. [Google Scholar] [CrossRef] [PubMed]
- Tsoukas, M.A.; Ko, B.-J.; Witte, T.R.; Dincer, F.; Hardman, W.E.; Mantzoros, C.S. Dietary Walnut Suppression of Colorectal Cancer in Mice: Mediation by MiRNA Patterns and Fatty Acid Incorporation. J. Nutr. Biochem. 2015, 26, 776–783. [Google Scholar] [CrossRef] [PubMed]
- Poulose, S.M.; Bielinski, D.F.; Shukitt-Hale, B. Walnut Diet Reduces Accumulation of Polyubiquitinated Proteins and Inflammation in the Brain of Aged Rats. J. Nutr. Biochem. 2013, 24, 912–919. [Google Scholar] [CrossRef] [PubMed]
- Thangthaeng, N.; Poulose, S.M.; Fisher, D.R.; Shukitt-Hale, B. Walnut Extract Modulates Activation of Microglia through Alteration in Intracellular Calcium Concentration. Nutr. Res. 2018, 49, 88–95. [Google Scholar] [CrossRef]
- Willis, L.M.; Bielinski, D.F.; Fisher, D.R.; Matthan, N.R.; Joseph, J.A. Walnut Extract Inhibits LPS-Induced Activation of Bv-2 Microglia via Internalization of TLR4: Possible Involvement of Phospholipase D2. Inflammation 2010, 33, 325–333. [Google Scholar] [CrossRef]
- Koh, S.-J.; Choi, Y.-I.; Kim, Y.; Kim, Y.-S.; Choi, S.W.; Kim, J.W.; Kim, B.G.; Lee, K.L. Walnut Phenolic Extract Inhibits Nuclear Factor KappaB Signaling in Intestinal Epithelial Cells, and Ameliorates Experimental Colitis and Colitis-Associated Colon Cancer in Mice. Eur. J. Nutr. 2019, 58, 1603–1613. [Google Scholar] [CrossRef]
- Laubertová, L.; Koňariková, K.; Gbelcová, H.; Ďuračková, Z.; Žitňanová, I. Effect of Walnut Oil on Hyperglycemia-Induced Oxidative Stress and pro-Inflammatory Cytokines Production. Eur. J. Nutr. 2015, 54, 291–299. [Google Scholar] [CrossRef]
- Papoutsi, Z.; Kassi, E.; Chinou, I.; Halabalaki, M.; Skaltsounis, L.A.; Moutsatsou, P. Walnut Extract (Juglans regia L.) and Its Component Ellagic Acid Exhibit Anti-Inflammatory Activity in Human Aorta Endothelial Cells and Osteoblastic Activity in the Cell Line KS483. Br. J. Nutr. 2008, 99, 715–722. [Google Scholar] [CrossRef]
- Beigh, S.; Rashid, H.; Sharma, S.; Parvez, S.; Raisuddin, S. Bleomycin-Induced Pulmonary Toxicopathological Changes in Rats and Its Prevention by Walnut Extract. Biomed. Pharmacother. 2017, 94, 418–429. [Google Scholar] [CrossRef]
- Ho, K.-V.; Lei, Z.; Sumner, L.; Coggeshall, M.; Hsieh, H.-Y.; Stewart, G.; Lin, C.-H. Identifying Antibacterial Compounds in Black Walnuts (Juglans nigra) Using a Metabolomics Approach. Metabolites 2018, 8, 58. [Google Scholar] [CrossRef] [PubMed]
- Pereira, J.A.; Oliveira, I.; Sousa, A.; Ferreira, I.C.F.R.; Bento, A.; Estevinho, L. Bioactive Properties and Chemical Composition of Six Walnut (Juglans regia L.) Cultivars. Food Chem. Toxicol. 2008, 46, 2103–2111. [Google Scholar] [CrossRef] [PubMed]
- Amarowicz, R.; Dykes, G.A.; Pegg, R.B. Antibacterial Activity of Tannin Constituents from Phaseolus vulgaris, Fagoypyrum esculentum, Corylus avellana and Juglans nigra. Fitoterapia 2008, 79, 217–219. [Google Scholar] [CrossRef] [PubMed]
- Haider, S.; Batool, Z.; Ahmad, S.; Siddiqui, R.A.; Haleem, D.J. Walnut Supplementation Reverses the Scopolamine-Induced Memory Impairment by Restoration of Cholinergic Function via Mitigating Oxidative Stress in Rats: A Potential Therapeutic Intervention for Age Related Neurodegenerative Disorders. Metab. Brain Dis. 2018, 33, 39–51. [Google Scholar] [CrossRef]
- Choi, J.; Park, G.; Kim, H.; Oh, D.-S.; Kim, H.; Oh, M. In Vitro and in Vivo Neuroprotective Effects of Walnut (Juglandis Semen) in Models of Parkinson’s Disease. Int. J. Mol. Sci. 2016, 17, 108. [Google Scholar] [CrossRef]
- Essa, M.M.; Subash, S.; Dhanalakshmi, C.; Manivasagam, T.; Al-Adawi, S.; Guillemin, G.J.; Thenmozhi, A.J. Dietary Supplementation of Walnut Partially Reverses 1-Methyl-4-Phenyl-1,2,3,6-Tetrahydropyridine Induced Neurodegeneration in a Mouse Model of Parkinson’s Disease. Neurochem. Res. 2015, 40, 1283–1293. [Google Scholar] [CrossRef]
- Khir, R.; Pan, Z. Walnuts. In Integrated Processing Technologies for Food and Agricultural by-Products; Elsevier: Amsterdam, The Netherlands, 2019; pp. 391–411. [Google Scholar]
- Bourais, I.; Elmarrkechy, S.; Taha, D.; Mourabit, Y.; Bouyahya, A.; el Yadini, M.; Machich, O.; el Hajjaji, S.; el Boury, H.; Dakka, N.; et al. A Review on Medicinal Uses, Nutritional Value, and Antimicrobial, Antioxidant, Anti-Inflammatory, Antidiabetic, and Anticancer Potential Related to Bioactive Compounds of J. Regia. Food Rev. Int. 2022, 1–51. [Google Scholar] [CrossRef]
- Davis, P.A.; Vasu, V.T.; Gohil, K.; Kim, H.; Khan, I.H.; Cross, C.E.; Yokoyama, W. A High-Fat Diet Containing Whole Walnuts (Juglans regia ) Reduces Tumour Size and Growth along with Plasma Insulin-like Growth Factor 1 in the Transgenic Adenocarcinoma of the Mouse Prostate Model. Br. J. Nutr. 2012, 108, 1764–1772. [Google Scholar] [CrossRef]
- Schlörmann, W.; Lamberty, J.; Ludwig, D.; Lorkowski, S.; Glei, M. In Vitro–Fermented Raw and Roasted Walnuts Induce Expression of CAT and GSTT2 Genes, Growth Inhibition, and Apoptosis in LT97 Colon Adenoma Cells. Nutr. Res. 2017, 47, 72–80. [Google Scholar] [CrossRef]
- Chung, J.; Kim, Y.-S.; Lee, J.; Lee, J.H.; Choi, S.-W.; Kim, Y. Compositional Analysis of Walnut Lipid Extracts and Properties as an Anti-Cancer Stem Cell Regulator via Suppression of the Self-Renewal Capacity. Food Sci. Biotechnol. 2016, 25, 623–629. [Google Scholar] [CrossRef]
- Nagel, J.M.; Brinkoetter, M.; Magkos, F.; Liu, X.; Chamberland, J.P.; Shah, S.; Zhou, J.; Blackburn, G.; Mantzoros, C.S. Dietary Walnuts Inhibit Colorectal Cancer Growth in Mice by Suppressing Angiogenesis. Nutrition 2012, 28, 67–75. [Google Scholar] [CrossRef] [PubMed]
- Lee, J.; Kim, Y.S.; Lee, J.H.; Heo, S.C.; Lee, K.L.; Choi, S.W.; Kim, Y. Walnut Phenolic Extract and Its Bioactive Compounds Suppress Colon Cancer Cell Growth by Regulating Colon Cancer Stemness. Nutrients 2016, 8, 439. [Google Scholar] [CrossRef] [PubMed]
- Cofán, M.; Rajaram, S.; Sala-Vila, A.; Valls-Pedret, C.; Serra-Mir, M.; Roth, I.; Freitas-Simoes, T.M.; Bitok, E.; Sabaté, J.; Ros, E. Effects of 2-Year Walnut-Supplemented Diet on Inflammatory Biomarkers. J. Am. Coll. Cardiol. 2020, 76, 2282–2284. [Google Scholar] [CrossRef]
- Mateș, L.; Popa, D.S.; Rusu, M.E.; Fizeșan, I.; Leucuța, D. Walnut Intake Interventions Targeting Biomarkers of Metabolic Syndrome and Inflammation in Middle-Aged and Older Adults: A Systematic Review and Meta-Analysis of Randomized Controlled Trials. Antioxidants 2022, 11, 1412. [Google Scholar] [CrossRef] [PubMed]
- Sala-Vila, A.; Valls-Pedret, C.; Rajaram, S.; Coll-Padrós, N.; Cofán, M.; Serra-Mir, M.; Pérez-Heras, A.M.; Roth, I.; Freitas-Simoes, T.M.; Doménech, M.; et al. Effect of a 2-Year Diet Intervention with Walnuts on Cognitive Decline. The Walnuts And Healthy Aging (WAHA) Study: A Randomized Controlled Trial. Am. J. Clin. Nutr. 2020, 111, 590–600. [Google Scholar] [CrossRef]
- Freitas-Simoes, T.M.; Cofán, M.; Blasco, M.A.; Soberón, N.; Foronda, M.; Serra-Mir, M.; Roth, I.; Valls-Pedret, C.; Doménech, M.; Ponferrada-Ariza, E.; et al. Walnut Consumption for Two Years and Leukocyte Telomere Attrition in Mediterranean Elders: Results of a Randomized Controlled Trial. Nutrients 2018, 10, 1907. [Google Scholar] [CrossRef]
- Hardman, W.E.; Primerano, D.A.; Legenza, M.T.; Morgan, J.; Fan, J.; Denvir, J. Dietary Walnut Altered Gene Expressions Related to Tumor Growth, Survival, and Metastasis in Breast Cancer Patients: A Pilot Clinical Trial. Nutr. Res. 2019, 66, 82–94. [Google Scholar] [CrossRef]
- Liu, X.; Guasch-Ferré, M.; Tobias, D.K.; Li, Y. Association of Walnut Consumption with Total and Cause-Specific Mortality and Life Expectancy in U.S. Adults. Nutrients 2021, 13, 2699. [Google Scholar] [CrossRef]
- Morales, M.T.; Przybylski, R. Olive Oil Oxidation. In Handbook of Olive Oil: Analysis and Properties; Springer: Berlin, Germany, 2013; pp. 479–522. [Google Scholar] [CrossRef]
- Piergiovanni, L.; Limbo, S. Packaging and the Shelf Life of Vegetable Oils. In Food Packaging and Shelf Life; CRC Press: New York, NY, USA, 2009; pp. 317–338. [Google Scholar]
- Durmaz, G.; Gökmen, V. Changes in Oxidative Stability, Antioxidant Capacity and Phytochemical Composition of Pistacia Terebinthus Oil with Roasting. Food Chem. 2011, 128, 410–414. [Google Scholar] [CrossRef]
- Suri, K.; Singh, B.; Kaur, A.; Yadav, M.P.; Singh, N. Impact of Infrared and Dry Air Roasting on the Oxidative Stability, Fatty Acid Composition, Maillard Reaction Products and Other Chemical Properties of Black Cumin (Nigella sativa L.) Seed Oil. Food. Chem. 2019, 295, 537–547. [Google Scholar] [CrossRef]
- Suri, K.; Singh, B.; Kaur, A.; Singh, N. Impact of Roasting and Extraction Methods on Chemical Properties, Oxidative Stability and Maillard Reaction Products of Peanut Oils. J. Food Sci. Technol. 2019, 56, 2436–2445. [Google Scholar] [CrossRef] [PubMed]
- al Juhaimi, F.; Musa Özcan, M.; Ghafoor, K.; Babiker, E.E. The Effect of Microwave Roasting on Bioactive Compounds, Antioxidant Activity and Fatty Acid Composition of Apricot Kernel and Oils. Food. Chem. 2018, 243, 414–419. [Google Scholar] [CrossRef] [PubMed]
- Ghafoor, K.; Özcan, M.M.; AL-Juhaimi, F.; Babiker, E.E.; Fadimu, G.J. Changes in Quality, Bioactive Compounds, Fatty Acids, Tocopherols, and Phenolic Composition in Oven- and Microwave-Roasted Poppy Seeds and Oil. LWT 2019, 99, 490–496. [Google Scholar] [CrossRef]
- Suri, K.; Singh, B.; Kaur, A.; Yadav, M.P.; Singh, N. Influence of Microwave Roasting on Chemical Composition, Oxidative Stability and Fatty Acid Composition of Flaxseed (Linum usitatissimum L.) Oil. Food. Chem. 2020, 326, 126974. [Google Scholar] [CrossRef]
- el Bernoussi, S.; Boujemaa, I.; Harhar, H.; Belmaghraoui, W.; Matthäus, B.; Tabyaoui, M. Evaluation of Oxidative Stability of Sweet and Bitter Almond Oils under Accelerated Storage Conditions. J. Stored Prod. Res. 2020, 88, 101662. [Google Scholar] [CrossRef]
- Choe, E.; Min, D.B. Mechanisms and Factors for Edible Oil Oxidation. Compr. Rev. Food. Sci. Food. Saf. 2006, 5, 169–186. [Google Scholar] [CrossRef]
- Morsy, M.K.; Sami, R.; Algarni, E.; Al-Mushhin, A.A.M.; Benajiba, N.; Almasoudi, A.; Almasoudi, A.G.; Mekawi, E. Phytochemical Profile and Antioxidant Activity of Sesame Seed (Sesamum indicum) By-Products for Stability and Shelf Life Improvement of Refined Olive Oil. Antioxidants 2022, 11, 338. [Google Scholar] [CrossRef]
- Ghafoor, K.; al Juhaimi, F.; Özcan, M.M.; Ahmed, I.A.M.; Babiker, E.E.; Alsawmahi, O.N. Evaluation of the Antioxidant Activity of Some Plant Extracts (Rosemary, Sage, and Savory, Summer) on Stability of Moringa Oil. J. Food Process Preserv. 2021, 45, e15203. [Google Scholar] [CrossRef]
- ISO 660. Animal and Vegetable Fats and Oils—Determination of Acid Value and Acidity, 4th ed.; 2020; Volume 2020, Available online: https://www.iso.org/standard/75594.html (accessed on 25 May 2022).
- ISO 3960. Animal and Vegetable Fats and Oils—Determination of Peroxide Value—Iodometric (Visual) Endpoint Determination, 5th ed.; 2017; Available online: https://www.iso.org/standard/71268.html (accessed on 25 May 2022).
- AOCS. Official Methods and Recommended Practices of the American Oil Chemists’ Society, 7th ed.; 2017; Available online: https://www.scirp.org/(S(351jmbntv-nsjt1aadkposzje))/reference/referencespapers.aspx?referenceid=3019699 (accessed on 25 May 2022).
- Wolff, J.P. Manuel d’analyse Des Corps Gras; Azoulay éd: Paris, France, 1968. [Google Scholar]
- ISO 9936. Animal and Vegetable Fats and Oils—Determination of Tocopherol and Tocotrienol Contents by High-Performance Liquid Chromatography; 2016; Volume 2016, Available online: https://www.iso.org/standard/69595.html (accessed on 25 May 2022).
- Siger, A.; Nogala-Kalucka, M.; Lampart-Szczapa, E. The content and antioxidant activity of phenolic compounds in cold-pressed plant oils. J. Food Lipids 2008, 15, 137–149. [Google Scholar] [CrossRef]
- Boujemaa, I.; el Bernoussi, S.; Harhar, H.; Tabyaoui, M. The Influence of the Species on the Quality, Chemical Composition and Antioxidant Activity of Pumpkin Seed Oil. OCL-Oilseeds Fats Crops Lipids 2020, 27, 2020031. [Google Scholar] [CrossRef]
- Codex Alimentarius. FAO/WHO Food Standards Programme Codex Alimentarius Commission, 42nd ed.; 2019; pp. 2–7. Available online: https://www.fao.org/3/ca2329en/ca2329en.pdf (accessed on 25 May 2022).
- Zhang, N.; Li, Y.; Wen, S.; Sun, Y.; Chen, J.; Gao, Y.; Sagymbek, A.; Yu, X. Analytical Methods for Determining the Peroxide Value of Edible Oils: A Mini-Review. Food Chem 2021, 358, 129834. [Google Scholar] [CrossRef] [PubMed]
- Grilo, F.S.; Wang, S.C. Walnut (Juglans regia L.) Volatile Compounds Indicate Kernel and Oil Oxidation. Foods 2021, 10, 329. [Google Scholar] [CrossRef] [PubMed]
- International Olive Council. Commercial Standard Applicable to Olive Oils and Olive-Pomace Oils; IOC/T.15/NC N°3/Rev 14; 2019; Available online: https://www.internationaloliveoil.org/wp-content/uploads/2019/12/trade-standard-REV-14-Eng.pdf (accessed on 25 May 2022).
- Grebenteuch, S.; Kroh, L.W.; Drusch, S.; Rohn, S. Formation of Secondary and Tertiary Volatile Compounds Resulting from the Lipid Oxidation of Rapeseed Oil. Foods 2021, 10, 2417. [Google Scholar] [CrossRef] [PubMed]
- Rabadán, A.; Gallardo-Guerrero, L.; Gandul-Rojas, B.; Álvarez-Ortí, M.; Pardo, J.E. Effect of Roasting Conditions on Pigment Composition and Some Quality Parameters of Pistachio Oil. Food. Chem. 2018, 264, 49–57. [Google Scholar] [CrossRef] [PubMed]
- Pérez-Gálvez, A.; Viera, I.; Roca, M. Carotenoids and Chlorophylls as Antioxidants. Antioxidants 2020, 9, 505. [Google Scholar] [CrossRef]
- Crowe, T.D.; White, P.J. Oxidative Stability of Walnut Oils Extracted with Supercritical Carbon Dioxide. J. Am. Oil Chem. Soc. 2003, 80, 575–578. [Google Scholar] [CrossRef]
- Marc, F.; Davin, A.; Deglène-Benbrahim, L.; Ferrand, C.; Baccaunaud, M.; Fritsch, P. Méthodes d’évaluation Du Potentiel Antioxydant Dans Les Aliments. Médecine Sci. 2004, 20, 387–490. [Google Scholar] [CrossRef][Green Version]
- Wiesner, M.; Hanschen, F.S.; Maul, R.; Neugart, S.; Schreiner, M.; Baldermann, S. Nutritional Quality of Plants for Food and Fodder. In Encyclopedia of Applied Plant Sciences; Elsevier: Amsterdam, The Netherlands, 2017; Volume 1, pp. 285–291. [Google Scholar]
- Stevenson, D.G.; Eller, F.J.; Wang, L.; Jane, J.L.; Wang, T.; Inglett, G.E. Oil and Tocopherol Content and Composition of Pumpkin Seed Oil in 12 Cultivars. J. Agric. Food Chem. 2007, 55, 4005–4013. [Google Scholar] [CrossRef]
- KOPSELL, D.; KOPSELL, D. Accumulation and Bioavailability of Dietary Carotenoids in Vegetable Crops. Trends Plant Sci. 2006, 11, 499–507. [Google Scholar] [CrossRef]
- Rodriguez-Amaya, D.B. Changes in Carotenoids during Processing and Storage of Foods. Arch. Latinoam. Nutr. 1999, 49, 38S–47S. [Google Scholar]
- Agyare, A.N.; An, C.H.; Liang, Q. Goji Berry (Lycium barbarum L.) Carotenoids Enrichment through ‘Green’ Extraction Method Improves Oxidative Stability and Maintains Fatty Acids of Yak Ghee with Microwave Heating and Storage. Foods 2022, 11, 369. [Google Scholar] [CrossRef] [PubMed]
- El Moudden, H.; El Idrissi, Y.; El Guezzane, C.; Belmaghraoui, W.; El Yadini, A.; Harhar, H.; Tabyaoui, M. Tradition Mills’ Picholine Olive Oil Physicochemical Characterization and Chemical Profiling across Different Cities in Morocco. Sci. World J. 2020, 2020, 1804723. [Google Scholar] [CrossRef] [PubMed]
- Isabel Minguez-Mosquera, M.; Rejano-Navarro, L.; Gandul-Rojas, B.; SanchezGomez, A.H.; Garrido-Fernandez, J. Color-pigment Correlation in Virgin Olive Oil. J. Am. Oil Chem. Soc. 1991, 68, 332–336. [Google Scholar] [CrossRef]
- Allouche, Y.; Jiménez, A.; Gaforio, J.J.; Uceda, M.; Beltrán, G. How Heating Affects Extra Virgin Olive Oil Quality Indexes and Chemical Composition. J. Agric. Food Chem. 2007, 55, 9646–9654. [Google Scholar] [CrossRef] [PubMed]
- Conte, L.; Milani, A.; Calligaris, S.; Rovellini, P.; Lucci, P.; Nicoli, M.C. Temperature Dependence of Oxidation Kinetics of Extra Virgin Olive Oil (EVOO) and Shelf-Life Prediction. Foods 2020, 9, 295. [Google Scholar] [CrossRef] [PubMed]
- Geng, S.; Ning, D.; Ma, T.; Chen, H.; Zhang, Y.; Sun, X. Comprehensive Analysis of the Components of Walnut Kernel (Juglans regia L.) in China. J. Food Qual. 2021, 2021, 9302181. [Google Scholar] [CrossRef]
- Binici, H.İ.; Şat, İ.; Aoudeh, E. Nutritional Composition and Health Benefits of Walnut and Its Products. Atatürk Üniversitesi Ziraat Fakültesi Derg. 2021, 52, 224–230. [Google Scholar] [CrossRef]
- Gao, P.; Jin, J.; Liu, R.; Jin, Q.; Wang, X. Chemical Compositions of Walnut ( Juglans regia L.) Oils from Different Cultivated Regions in China. J. Am. Oil Chem. Soc. 2018, 95, 825–834. [Google Scholar] [CrossRef]
- Amaral, J.S.; Casal, S.; Pereira, J.A.; Seabra, R.M.; Oliveira, B.P.P. Determination of Sterol and Fatty Acid Compositions, Oxidative Stability, and Nutritional Value of Six Walnut (Juglans regia L.) Cultivars Grown in Portugal. J. Agric. Food Chem. 2003, 51, 7698–7702. [Google Scholar] [CrossRef]
- Gao, P.; Liu, R.; Jin, Q.; Wang, X. Comparative Study of Chemical Compositions and Antioxidant Capacities of Oils Obtained from Two Species of Walnut: Juglans regia and Juglans Sigillata. Food. Chem. 2019, 279, 279–287. [Google Scholar] [CrossRef]
- Shahidi, F.; de Camargo, A. Tocopherols and Tocotrienols in Common and Emerging Dietary Sources: Occurrence, Applications, and Health Benefits. Int. J. Mol. Sci. 2016, 17, 1745. [Google Scholar] [CrossRef]
- Zingg, J.-M. Modulation of Signal Transduction by Vitamin E. Mol. Aspects Med. 2007, 28, 481–506. [Google Scholar] [CrossRef] [PubMed]
- Kalender, Y.; Yel, M.; Kalender, S. Doxorubicin Hepatotoxicity and Hepatic Free Radical Metabolism in Rats. Toxicology 2005, 209, 39–45. [Google Scholar] [CrossRef] [PubMed]
- Hu, F.; Wu, Z.; Li, G.; Teng, C.; Liu, Y.; Wang, F.; Zhao, Y.; Pang, D. The Plasma Level of Retinol, Vitamins A, C and α-Tocopherol Could Reduce Breast Cancer Risk? A Meta-Analysis and Meta-Regression. J. Cancer Res. Clin. Oncol. 2015, 141, 601–614. [Google Scholar] [CrossRef] [PubMed]
- Tam, K.-W.; Ho, C.-T.; Lee, W.-J.; Tu, S.-H.; Huang, C.-S.; Chen, C.-S.; Lee, C.-H.; Wu, C.-H.; Ho, Y.-S. Alteration of α-Tocopherol-Associated Protein (TAP) Expression in Human Breast Epithelial Cells during Breast Cancer Development. Food. Chem. 2013, 138, 1015–1021. [Google Scholar] [CrossRef]
- Wada, S.; Satomi, Y.; Murakoshi, M.; Noguchi, N.; Yoshikawa, T.; Nishino, H. Tumor Suppressive Effects of Tocotrienol in Vivo and in Vitro. Cancer Lett. 2005, 229, 181–191. [Google Scholar] [CrossRef]
- Yu, W.; Simmons-Menchaca, M.; Gapor, A.; Sanders, B.G.; Kline, K. Induction of Apoptosis in Human Breast Cancer Cells by Tocopherols and Tocotrienols. Nutr. Cancer 1999, 33, 26–32. [Google Scholar] [CrossRef]
- Virtamo, J.; Taylor, P.R.; Kontto, J.; Männistö, S.; Utriainen, M.; Weinstein, S.J.; Huttunen, J.; Albanes, D. Effects of A-tocopherol and Β-carotene Supplementation on Cancer Incidence and Mortality: 18-Year Postintervention Follow-up of the Alpha-Tocopherol, Beta-Carotene Cancer Prevention Study. Int. J. Cancer 2014, 135, 178–185. [Google Scholar] [CrossRef]
- Kong, P.; Cai, Q.; Geng, Q.; Wang, J.; Lan, Y.; Zhan, Y.; Xu, D. Vitamin Intake Reduce the Risk of Gastric Cancer: Meta-Analysis and Systematic Review of Randomized and Observational Studies. PLoS ONE 2014, 9, e116060. [Google Scholar] [CrossRef]
- Jialal, I.; Fuller, C.J.; Huet, B.A. The Effect of α-Tocopherol Supplementation on LDL Oxidation. Arter. Thromb. Vasc. Biol. 1995, 15, 190–198. [Google Scholar] [CrossRef]
- Loffredo, L.; Perri, L.; di Castelnuovo, A.; Iacoviello, L.; de Gaetano, G.; Violi, F. Supplementation with Vitamin E Alone Is Associated with Reduced Myocardial Infarction: A Meta-Analysis. Nutr. Metab. Cardiovasc. Dis. 2015, 25, 354–363. [Google Scholar] [CrossRef] [PubMed]
- Christen, S.; Woodall, A.A.; Shigenaga, M.K.; Southwell-Keely, P.T.; Duncan, M.W.; Ames, B.N. γ-Tocopherol Traps Mutagenic Electrophiles Such as NO x and Complements α-Tocopherol: Physiological Implications. Proc. Natl. Acad. Sci. USA 1997, 94, 3217–3222. [Google Scholar] [CrossRef] [PubMed]
- Cittadini, M.C.; Martín, D.; Gallo, S.; Fuente, G.; Bodoira, R.; Martínez, M.; Maestri, D. Evaluation of Hazelnut and Walnut Oil Chemical Traits from Conventional Cultivars and Native Genetic Resources in a Non-Traditional Crop Environment from Argentina. Eur. Food Res. Technol. 2020, 246, 833–843. [Google Scholar] [CrossRef]
- Abdallah, I.B.; Tlili, N.; Martinez-Force, E.; Rubio, A.G.P.; Perez-Camino, M.C.; Albouchi, A.; Boukhchina, S. Content of Carotenoids, Tocopherols, Sterols, Triterpenic and Aliphatic Alcohols, and Volatile Compounds in Six Walnuts (Juglans regia L.) Varieties. Food Chem. 2015, 173, 972–978. [Google Scholar] [CrossRef] [PubMed]
- Vaidya, B.; Choe, E. Effects of Seed Roasting on Tocopherols, Carotenoids, and Oxidation in Mustard Seed Oil During Heating. J. Am. Oil Chem. Soc. 2011, 88, 83–90. [Google Scholar] [CrossRef]
- Lee, Y. Chemical Composition and Oxidative Stability of Safflower Oil Prepared from Safflower Seed Roasted with Different Temperatures. Food Chem. 2004, 84, 1–6. [Google Scholar] [CrossRef]
- de Jong, A.; Plat, J.; Mensink, R.P. Metabolic Effects of Plant Sterols and Stanols (Review). J. Nutr. Biochem. 2003, 14, 362–369. [Google Scholar] [CrossRef]
- Rodríguez-Yoldi, M.J. Anti-Inflammatory and Antioxidant Properties of Plant Extracts. Antioxidants 2021, 10, 921. [Google Scholar] [CrossRef]
- Hussain, S.Z.; Naseer, B.; Qadri, T.; Fatima, T.; Bhat, T.A. Fruits Grown in Highland Regions of the Himalayas; Springer International Publishing: Cham, Switzerland, 2021; ISBN 978-3-030-75501-0. [Google Scholar]
- Kreisz, S.; Arendt, E.K.; Hübner, F.; Zarnkov, M. Cereal-Based Gluten-Free Functional Drinks. In Gluten-Free Cereal Products and Beverages; Elsevier: Amsterdam, The Netherlands, 2008; pp. 373–392. [Google Scholar]
- Martínez, M.L.; Labuckas, D.O.; Lamarque, A.L.; Maestri, D.M. Walnut (Juglans regia L.): Genetic Resources, Chemistry, by-Products. J Sci Food Agric 2010, 90, 1959–1967. [Google Scholar] [CrossRef]
- Bada, J.C.; León-Camacho, M.; Prieto, M.; Copovi, P.; Alonso, L. Characterization of Walnut Oils (Juglans regia L.) from Asturias, Spain. J. Am. Oil Chem. Soc. 2010, 87, 1469–1474. [Google Scholar] [CrossRef]
- Rébufa, C.; Artaud, J.; le Dréau, Y. Walnut (Juglans regia L.) Oil Chemical Composition Depending on Variety, Locality, Extraction Process and Storage Conditions: A Comprehensive Review. J. Food Compos. Anal. 2022, 110, 104534. [Google Scholar] [CrossRef]
- Arab, R.; Casal, S.; Pinho, T.; Cruz, R.; Freidja, M.L.; Lorenzo, J.M.; Hano, C.; Madani, K.; Boulekbache-Makhlouf, L. Effects of Seed Roasting Temperature on Sesame Oil Fatty Acid Composition, Lignan, Sterol and Tocopherol Contents, Oxidative Stability and Antioxidant Potential for Food Applications. Molecules 2022, 27, 4508. [Google Scholar] [CrossRef] [PubMed]
- Waszkowiak, K.; Siger, A.; Rudzińska, M.; Bamber, W. Effect of Roasting on Flaxseed Oil Quality and Stability. J. Am. Oil Chem. Soc. 2020, 97, 637–649. [Google Scholar] [CrossRef]
- Grosso, A.L.; Asensio, C.M.; Nepote, V.; Grosso, N.R. Antioxidant Activity Displayed by Phenolic Compounds Obtained from Walnut Oil Cake Used for Walnut Oil Preservation. J. Am. Oil Chem. Soc. 2018, 95, 1409–1419. [Google Scholar] [CrossRef]
- Copolovici, D.; Bungau, S.; Boscencu, R.; Tit, D.M.; Copolovici, L. The Fatty Acids Composition and Antioxidant Activity of Walnut Cold Press Oil. Rev. De Chim. 2017, 68, 507–509. [Google Scholar] [CrossRef]
- Gao, P.; Ding, Y.; Chen, Z.; Zhou, Z.; Zhong, W.; Hu, C.; He, D.; Wang, X. Characteristics and Antioxidant Activity of Walnut Oil Using Various Pretreatment and Processing Technologies. Foods 2022, 11, 1698. [Google Scholar] [CrossRef]
- Ahmed, I.A.M.; Al-Juhaimi, F.Y.; Özcan, M.M.; Osman, M.A.; Gassem, M.A.; Salih, H.A.A. Effects of Cold-Press and Soxhlet Extraction Systems on Antioxidant Activity, Total Phenol Contents, Fatty Acids, and Tocopherol Contents of Walnut Kernel Oils. J. Oleo Sci. 2019, 68, 167–173. [Google Scholar] [CrossRef]
- Chandrasekara, N.; Shahidi, F. Effect of Roasting on Phenolic Content and Antioxidant Activities of Whole Cashew Nuts, Kernels, and Testa. J. Agric. Food. Chem. 2011, 59, 5006–5014. [Google Scholar] [CrossRef]
- el Guezzane, C.; el Moudden, H.; Harhar, H.; Warad, I.; Bellaouchou, A.; Guenbour, A.; Zarrouk, A.; Tabyaoui, M. Optimization of Roasting Conditions on the Bioactive Compounds and Their Antioxidant Power from Opuntia Fiscus-Indica Seeds Using Response Surface Methodology (RSM). Biointerface Res. Appl. Chem. 2020, 11, 10510–10532. [Google Scholar] [CrossRef]
- Ni, Z.-J.; Liu, X.; Xia, B.; Hu, L.-T.; Thakur, K.; Wei, Z.-J. Effects of Sugars on the Flavor and Antioxidant Properties of the Maillard Reaction Products of Camellia Seed Meals. Food. Chem. X 2021, 11, 100127. [Google Scholar] [CrossRef]
- Nooshkam, M.; Varidi, M.; Bashash, M. The Maillard Reaction Products as Food-Born Antioxidant and Antibrowning Agents in Model and Real Food Systems. Food. Chem. 2019, 275, 644–660. [Google Scholar] [CrossRef] [PubMed]
- Jahanban-Esfahlan, A.; Ostadrahimi, A.; Tabibiazar, M.; Amarowicz, R. A Comparative Review on the Extraction, Antioxidant Content and Antioxidant Potential of Different Parts of Walnut (Juglans regia L.) Fruit and Tree. Molecules 2019, 24, 2133. [Google Scholar] [CrossRef] [PubMed]
- Yang, H.; Xiao, X.; Li, J.; Wang, F.; Mi, J.; Shi, Y.; He, F.; Chen, L.; Zhang, F.; Wan, X. Chemical Compositions of Walnut (Juglans spp.) Oil: Combined Effects of Genetic and Climatic Factors. Forests 2022, 13, 962. [Google Scholar] [CrossRef]
- Gao, P.; Cao, Y.; Liu, R.; Jin, Q.; Wang, X. Phytochemical Content, Minor-Constituent Compositions, and Antioxidant Capacity of Screw-Pressed Walnut Oil Obtained from Roasted Kernels. Eur. J. Lipid Sci. Technol. 2019, 121, 1800292. [Google Scholar] [CrossRef]
- Niki, E.; Noguchi, N. Antioxidant Action of Vitamin E in Vivo as Assessed from Its Reaction Products with Multiple Biological Oxidants. Free Radic. Res. 2021, 55, 352–363. [Google Scholar] [CrossRef]


| C16:0 | C18:0 | C18:1 | C18:2 | C18:3 | SFA/UFA | |
|---|---|---|---|---|---|---|
| Unroasted Walnut (Juglans regia L.) Seed Oils | ||||||
| Initial | 9.90 ± 0.03 1,a | 2.67 ± 0.05 1,a | 14.65 ± 0.03 1,a | 58.86 ± 0.04 1,a | 13.42 ± 0.01 1,a | 0.1 |
| 10 | 8.58 ± 0.01 1,b | 2.41 ± 0.02 1,b | 14.83 ± 0.02 1,b | 60.23 ± 0.02 1,b | 13.28 ± 0.02 1,b | 0.1 |
| 20 | 8.61 ± 0.02 1,b | 2.37 ± 0.02 1,b | 14.61 ± 0.02 1,a | 60.28 ± 0.01 1,b,c | 13.52 ± 0.02 1,c | 0.1 |
| 30 | 8.43 ± 0.03 1,c | 2.34 ± 0.02 1,b | 14.67 ± 0.03 1,a | 60.48 ± 0.03 1,d | 13.52 ± 0.01 1,c | 0.1 |
| 40 | 8.23 ± 0.02 1,d | 2.39 ± 0.01 1,b | 14.77 ± 0.03 1,b | 60.35 ± 0.04 1,c | 13.66 ± 0.02 1,d | 0.1 |
| 50 | 8.32 ± 0.03 1,e | 2.38 ± 0.01 1,b | 14.83 ± 0.02 1,b | 60.50 ± 0.02 1,d | 13.58 ± 0.03 1,c,d | 0.1 |
| 60 | 8.57 ± 0.02 1,b | 2.41 ± 0.02 1,b | 15.01 ± 0.03 1,c | 60.99 ± 0.03 1,e | 12.54 ± 0.02 1,e | 0.1 |
| Roasted Walnut (Juglans regia L.) Seed Oils | ||||||
| Initial | 9.44 ± 0.02 2,A | 2.32 ± 0.03 2,A | 14.71 ± 0.03 1,A | 60.22 ± 0.02 2,A | 12.70 ± 0.04 2,A | 0.1 |
| 10 | 8.64 ± 0.02 1,B | 2.37 ± 0.02 1,A,B | 14.50 ± 0.03 2,B | 60.44 ± 0.01 2,B | 13.39 ± 0.05 2,B | 0.1 |
| 20 | 8.79 ± 0.03 2,C | 2.31 ± 0.01 1,A | 14.90 ± 0.03 2,C | 60.47 ± 0.02 2,B | 12.91 ± 0.03 2,C | 0.1 |
| 30 | 8.94 ± 0.02 2,D | 2.36 ± 0.02 1,A,B | 15.21 ± 0.02 2,D | 59.55 ± 0.02 2,C | 13.37 ± 0.02 2,B | 0.1 |
| 40 | 8.52 ± 0.01 2,E | 2.40 ± 0.01 1,B | 14.55 ± 0.01 2,B,E | 60.32 ± 0.01 1,D | 13.60 ± 0.02 1,D | 0.1 |
| 50 | 8.49 ± 0.01 2,E | 2.33 ± 0.02 1,A,B,C | 14.60 ± 0.02 2,E | 60.49 ± 0.01 1,B | 13.55 ± 0.03 1,D,E | 0.1 |
| 60 | 8.40 ± 0.02 2,F | 2.41 ± 0.03 1,B | 14.58 ± 0.01 2,E | 60.43 ± 0.02 1,B | 13.51 ± 0.01 2,E | 0.1 |
| α-Tocopherol | γ-Tocopherol | δ-Tocopherol | Total | |
|---|---|---|---|---|
| Unroasted Walnut (Juglans regia L.) Seed Oils | ||||
| Initial | 9.37 ± 0.08 1,a | 606.32 ± 1.80 1,a | 50.74 ± 0,93 1,a | 669.45 ± 2.50 1,a |
| 10 | 7.25 ± 0.10 1,b | 609.02 ± 2.40 1,a | 47.28 ± 1.65 1,a | 665.01 ± 3.33 1,a,b |
| 20 | 9.47 ± 0.06 1,a,d | 604.54 ± 1.90 1,a | 48.57 ± 1.54 1,a | 662.58 ± 2.13 1,b |
| 30 | 10.97 ± 0.13 1,c | 605.28 ± 1.60 1,a | 44.61 ± 0.90 1,b | 660.86 ± 1.96 1,b,c |
| 40 | 9.76 ± 0.05 1,d | 597.71 ± 0.90 1,b | 44.95 ± 1.05 1,b | 655.24 ± 2.85 1,c |
| 50 | 9.03 ± 0.05 1,e | 584.93 ± 2.80 1,c | 48.77 ± 0.85 1,a,c | 645.12 ± 3.09 1,d |
| 60 | 8.88 ± 0.11 1,e | 580.68 ± 3.20 1,c | 49.91 ± 1.30 1,c | 639.80 ± 1.45 1,d |
| Loss (%) = 4.43 | ||||
| Roasted Walnut (Juglans regia L.) Seed Oils | ||||
| Initial | 9.60 ± 0.20 1,A | 624.77 ± 2.30 2,A | 46.07 ± 0.75 2,A | 680.50 ± 2.05 2,A |
| 10 | 8.19 ± 0.13 2,B | 621.70 ± 1.90 2,A | 46.83 ± 1.20 1,A | 676.72 ± 1.60 2,A,B |
| 20 | 7.47 ± 0.05 2,C | 619.66 ± 0.93 2,A | 45.68 ± 1.05 1,A,B | 672.81 ± 0.95 2,B,C |
| 30 | 9.16 ± 0.08 2,D | 611.76 ± 1.50 2,B | 47.45 ± 0.80 1,A | 668.37 ± 0.88 2,C |
| 40 | 8.65 ± 0.11 2,E | 605.73 ± 2.50 1,B | 44.84 ± 1.44 1,A | 660.41 ± 0.53 1,D |
| 50 | 10.35 ± 0.12 2,F | 598.34 ± 1.70 2,C | 45.38 ± 0.43 1,A,B | 662.67 ± 0.90 2,C,D |
| 60 | 11.97 ± 0.09 2,G | 579.56 ± 2.20 1,D | 42.38 ± 0.94 2,B | 665.24 ± 1,10 2,C,D |
| Loss (%) = 2.24 | ||||
| Cholesterol | Campesterol | Stigmasterol | β-Sitosterol | Δ5-Avenasterol | Δ7-Stigmasterol | Δ7-Avenasterol | Total Sterols | |
|---|---|---|---|---|---|---|---|---|
| Unroasted Walnut (Juglans regia L.) Seed Oils | ||||||||
| Initial | 26.47 ± 0.03 1,a | 64.28 ± 0.15 1,a | 3.53 ± 0.001 1,a | 1058.09 ± 1.02 1,a | 70.58 ± 0.07 1,a | 0.63 ± 0.001 1,a | 1.51 ± 0.001 1,a | 1260.38 ± 1.22 1,a |
| 10 Days | 5.13 ± 0.01 1,b | 62.75 ± 0.07 1,b | 4.64 ± 0.001 1,b | 1048.85 ± 1.13 1,b | 72.52 ± 0.08 1,b | 4.40 ± 0.001 1,b | 1.10 ± 0.001 1,b | 1220.87 ± 1.31 1,b |
| 20 Days | 13.25 ± 0.02 1,c | 59.21 ± 0.07 1,c | 9.26 ± 0.01 1,c | 993.02 ± 1.19 1,c | 59.09 ± 0.07 1,c | 1.03 ± 0.001 1,c | 5.39 ± 0.01 1,c | 1172.4 ± 1.40 1,c |
| 30 Days | 29.05 ± 0.04 1,d | 64.21 ± 0.09 1,a | 11.46 ± 0.02 1,d | 957.01 ± 1.40 1,d | 65.04 ± 0.09 1,d | 1.14 ± 0.001 1,d | 2.88 ± 0.001 1,d | 1150.51 ± 1.68 1,d |
| 40 Days | 14.69 ± 0.01 1,e | 59.84 ± 0.05 1,d | 7.50 ± 0.01 1,e | 912.11 ± 0.81 1,e | 53.86 ± 0.05 1,e | 2.34 ± 0.001 1,e | 1.78 ± 0.001 1,e | 1072.39 ± 0.95 1,e |
| 50 Days | 13.53 ± 0.01 1,f | 60.36 ± 0.06 1,e | 6.61 ± 0.01 1,f | 919.54 ± 0.90 1,f | 53.80 ± 0.05 1,e | 1.97 ± 0.001 1,f | 1.51 ± 0.001 1,a | 1070.09 ± 1.05 1,e |
| 60 Days | 14.67 ± 0.02 1,e | 58.02 ± 0.07 1,f | 3.32 ± 0.01 1,g | 912.23 ± 1.14 1,e | 60.81 ± 0.07 1,f | 0.95 ± 0.001 1,g | 1.43 ± 0.001 1,f | 1070.57 ± 1.33 1,e |
| Roasted Walnut (Juglans regia L.) Seed Oils | ||||||||
| Initial | 6.06 ± 0.01 2,A | 59.98 ± 0.06 2,A | 4.82 ± 0.01 2,A | 1056.98 ± 1.10 1,A | 69.38 ± 0.07 2,A | 12.24 ± 0.01 2,A | 1.24 ± 0.001 2,A | 1236.66 ± 1.29 2,A |
| 10 Days | 14.10 ± 0.01 2,B | 59.00 ± 0.06 2,B | 2.96 ± 0.001 2,B | 1013.16 ± 0.95 2,B | 55.44 ± 0.05 2,B | 2.13 ± 0.001 2,B | 0.24 ± 0.001 2,B | 1184.7 ± 1.11 2,B |
| 20 Days | 10.09 ± 0.01 2,C | 56.56 ± 0.06 2,C | 2.99 ± 0.001 2,C | 977.70 ± 1.05 2,C | 62.89 ± 0.07 2,B | 0.97 ± 0.001 2,C | 1.25 ± 0.001 2,C | 1132.7 ± 1.21 2,C |
| 30 Days | 16.68 ± 0.02 2,D | 54.44 ± 0.07 2,D | 4.28 ± 0.01 2,D | 937.00 ± 1.17 2,D | 62.88 ± 0.08 2,C | 0.10 ± 0.001 2,D | 0.91 ± 0.001 2,D | 1097.32 ± 1.37 2,D |
| 40 Days | 9.56 ± 0.02 2,E | 53.80 ± 0.07 2,E | 2.94 ± 0.001 2,B | 902.25 ± 1.23 2,E | 60.94 ± 0.08 2,D | 0.95 ± 0.001 2,E | 1.37 ± 0.001 2,E | 1050.72 ± 1.43 2,E |
| 50 Days | 14.17 ± 0.02 2,F | 58.58 ± 0.06 2,F | 2.26 ± 0.001 2,E | 891.68 ± 0.97 2,F | 59.59 ± 0.06 2,E | 0.83 ± 0.001 2,F | 1.27 ± 0.001 2,F | 1038.51 ± 1.13 2,F |
| 60 Days | 15.52 ± 0.01 2,G | 50.66 ± 0.02 2,G | 3.98 ± 0.001 2,F | 872.07 ± 0.43 2,G | 58.52 ± 0.03 2,F | 0.09 ± 0.001 2,G | 0.84 ± 0.001 2,G | 1021.28 ± 0.50 2,G |
Publisher’s Note: MDPI stays neutral with regard to jurisdictional claims in published maps and institutional affiliations. |
© 2022 by the authors. Licensee MDPI, Basel, Switzerland. This article is an open access article distributed under the terms and conditions of the Creative Commons Attribution (CC BY) license (https://creativecommons.org/licenses/by/4.0/).
Share and Cite
Elouafy, Y.; El Idrissi, Z.L.; El Yadini, A.; Harhar, H.; Alshahrani, M.M.; AL Awadh, A.A.; Goh, K.W.; Ming, L.C.; Bouyahya, A.; Tabyaoui, M. Variations in Antioxidant Capacity, Oxidative Stability, and Physicochemical Quality Parameters of Walnut (Juglans regia) Oil with Roasting and Accelerated Storage Conditions. Molecules 2022, 27, 7693. https://doi.org/10.3390/molecules27227693
Elouafy Y, El Idrissi ZL, El Yadini A, Harhar H, Alshahrani MM, AL Awadh AA, Goh KW, Ming LC, Bouyahya A, Tabyaoui M. Variations in Antioxidant Capacity, Oxidative Stability, and Physicochemical Quality Parameters of Walnut (Juglans regia) Oil with Roasting and Accelerated Storage Conditions. Molecules. 2022; 27(22):7693. https://doi.org/10.3390/molecules27227693
Chicago/Turabian StyleElouafy, Youssef, Zineb Lakhlifi El Idrissi, Adil El Yadini, Hicham Harhar, Mohammed Merae Alshahrani, Ahmed Abdullah AL Awadh, Khang Wen Goh, Long Chiau Ming, Abdelhakim Bouyahya, and Mohamed Tabyaoui. 2022. "Variations in Antioxidant Capacity, Oxidative Stability, and Physicochemical Quality Parameters of Walnut (Juglans regia) Oil with Roasting and Accelerated Storage Conditions" Molecules 27, no. 22: 7693. https://doi.org/10.3390/molecules27227693
APA StyleElouafy, Y., El Idrissi, Z. L., El Yadini, A., Harhar, H., Alshahrani, M. M., AL Awadh, A. A., Goh, K. W., Ming, L. C., Bouyahya, A., & Tabyaoui, M. (2022). Variations in Antioxidant Capacity, Oxidative Stability, and Physicochemical Quality Parameters of Walnut (Juglans regia) Oil with Roasting and Accelerated Storage Conditions. Molecules, 27(22), 7693. https://doi.org/10.3390/molecules27227693

