Abstract
Pyridocoumarins are a class of synthetic and naturally occurring organic compounds with interesting biological activities. This review focuses on the synthetic strategies for the synthesis of pyridocoumarins and presents the biological properties of those compounds. The synthesis involves the formation of the pyridine ring, at first, from a coumarin derivative, such as aminocoumarins, hydroxycoumarins, or other coumarins. The formation of a pyranone moiety follows from an existing pyridine or piperidine or phenol derivative. For the above syntheses, [4 + 2] cycloaddition reactions, multi-component reactions (MCR), as well as metal-catalyzed reactions, are useful. Pyridocoumarins present anti-cancer, anti-HIV, antimalarial, analgesic, antidiabetic, antibacterial, antifungal, anti-inflammatory, and antioxidant activities.
1. Introduction
Coumarin derivatives are extensively distributed in plants and trees in nature [1,2,3,4,5,6,7,8]. Natural or synthetic coumarins display a vast array of biological and/or pharmacological activities [9,10,11,12], such as anticoagulant [13,14,15], anti-inflammatory [16,17], anti-HIV and antiviral [18,19,20,21], anticancer [22,23,24,25], antibiotic [26,27,28], antioxidant [29,30,31], antidiabetic [29,32,33], antimicrobial [30,34,35,36], antitubercular [35,37,38], multitarget agents on neurodegenerative diseases [39], etc. Fused coumarins also present biological activity, and many of them, including pyranocoumarins [40], furocoumarins [41,42] and pyrrolocoumarins [41,42], have been isolated from natural sources. Fused pyridocoumarins exhibit varied biological activities, such as antibacterial [43,44,45], antifungal [43,44,45], cytotoxic [46,47], antiproliferative [48], anti-inflammatory [49], analgesic [49], antimalarial [50], antidiabetic [51,52], etc. Some of the fused pyridocoumarins have been extracted from plants. Especially, goniothaline A and goniothaline B (Figure 1) have been isolated from the aerial parts of the Australian rainforest plant Goniothalamus Australis and evaluated for in vitro antimalarial activity [53,54,55]. Ganocochliarine F has been isolated from the fruiting bodies of the Chinese fungus Ganoderma cochlear and evaluated for inhibition effects on proliferation of fibroblasts NRK-49F [56]. Santiagonamine has been extracted from the stems and branches of Berberis darwinii Hook, a South American shrub, and shows wound-healing activity [57]. Polynemoraline C has been isolated from the ethanol extracts of the branches and leaves of Polyalthia nemoralis A DC, collected from Hainan province in China [58]. Pharmacokinetic study of polynemoraline C in mouse plasma has been performed for its further preclinical investigation [59]. Schumanniophytine and the isomer isoschumanniophytine have been isolated from the rootbark of Schumanniophyton magnificum Harms. (Rubiaceae), a tree found in west central Africa, and possess anti-HIV activity [60,61,62,63]. Even though several reviews referring the chemistry and biological aspects of coumarins and fused coumarins have been published to date, there are few reviews containing topics on the chemistry and biological activity of fused pyridocoumarins [11,42,64,65,66,67]. In this review, we present an overview of the advances described in the literature on the synthesis and biological evaluation of fused pyridocoumarins. The design and synthesis of those derivatives will be presented, accompanied by their biological properties.
Figure 1.
Representative fused pyridocoumarins found in nature.
2. Synthetic Strategies for the Preparation of Fused Pyridocoumarins
The synthesis of fused pyridocoumarins has been achieved by two main routes. One is the formation of a pyridine moiety from a coumarin derivative. The other is the formation of a pyranone moiety from a pyridine or piperidine or phenol derivative.
2.1. Pyridine-Ring Formation
The coumarin precursors for the formation of a pyridine ring are aminocoumarins, hydroxycoumarins or other coumarin derivatives.
2.1.1. Synthesis from Aminocoumarins
Skraup Reaction
The Skraup reaction is used for the synthesis of quinolines [68,69]. The 3H-pyrano [3,2-f]quinoline-3-one (6) was the first fused pyridocoumarin, prepared in 1919 under the Skraup reaction [70], upon heating of 6-nitrocoumarin (1) with glycerol (2) in the presence of concentrated sulfuric acid at 145–150 °C and then at 160–170 °C for 6 h in 14% yield [71]. During this reaction, an oxidation of 2 to acrolein (4), in parallel to the reduction of 1 to 6-aminocoumarin (3), occurred (Scheme 1), followed by the addition of 3 to 4, the formation of the intermediate aldehyde 5, cyclization of this and dehydration to dihydro pyridocoumarin 6, which oxidized to give pyridocoumarin 7 [69].
Scheme 1.
Synthesis of pyridocoumarin 7 under a Skraup reaction.
Reaction with α,β-Unsaturated Carbonyl Compounds (Skraup–Doebner–von Miller Reaction)
The yield of the above Skraup reaction is relatively low. Doebner and von Miller, by replacing glycerol with α,β-unsaturated ketones in the presence of an acid catalyst, increased the yield of the resulted quinoline derivatives [72,73]. The Skraup–Doebner–von Miller reaction of anilines with 3-substituted α,β-unsaturated carbonyl compounds in the presence of protic acids or Lewis acids resulted mainly in 2-substituted quinolines. Ιntroducing an electron-withdrawing group in the α,β-unsaturated carbonyl (as is the case for 3-subsituted α,β-unsaturated esters), in the presence of TFA, reversed the regioselectivity to give 4-substituted quinolines [73].
In 1994, Heber and Berghaus reported the synthesis of fused pyridocoumarins 11a–d and the azacannabinoidal tetrahydro derivatives 12a–d [74]. The Michael reaction of 4-aminocoumarin moiety of 8a,b with the double bond of arylvinylketone 9a,b gave an intermediate enaminone, which underwent an internal cyclization to form the 1,4-dihydro-adduct 10a–d. The disproportionation of the latter under the applied conditions afforded the mixture of 11a–d (26–36% yield) and 12a–d (23–45% yield) (Scheme 2). The reduction of 11a–d with NaBH3CN in glacial acetic acid led to the tetrahydropyrido [3,2-c]coumarins 12a–d in 70–85% yield.
Scheme 2.
Synthesis of fused pyridocoumarins 11a–d and the azacannabinoidal tetrahydropyrido [3,2-c]coumarin derivatives 12a–d.
In 2014, Hamama et al., studied the reactions of 4-aminocoumarin (13) with α,β-unsaturated ketones in ethanol/acetic acid (1:1) under reflux [47]. The outcome of those reactions is a regiochemistry reversal to Skraup–Doebner–von Miller reaction (Scheme 3). The reaction started from a Michael addition of 13 to α,β-unsaturated ketone 14 to give A and B, tautomerization of the latter to C, followed by cyclization of C and removal of water to dihydropyridocoumarin D, which by oxidation led to pyridocoumarin 15 in 58% yield. The synthesis of 17 was achieved in 76% yield by the reaction of 13 with dibenzylideneacetone (16). The similar reaction of 2,6-dibenzylidenecyclohexanone (18) resulted in pyridocoumarin 19 in 73% yield. The new compounds were tested for their antitumor activity in vitro against Ehrlich ascites carcinoma cells (EAC) and were found to be three times more toxic than 5-fluorouracile 5-FU.
Scheme 3.
Reactions of 4-aminocoumarin (13) with the α,β-unsaturated ketones 14, 16, 18 for the synthesis of pyridocoumarins 15, 17, 19.
In 2017, Samanta and coworkers reported the Cu(OTf)2 (10 mol%)-catalyzed synthesis of fused pyridocoumarins 22a–z from aminocoumarins 13, 23a–d and β,γ-unsaturated α-ketoesters 20a–l under solvent-free conditions, microwave irradiation and open atmosphere [75]. The reaction mechanism was similar with the above applied. A Michael addition of 4-aminocoumarin (13) to the Lewis acid, Cu(Otf)2, activated 20′, led to the Michael adduct C (Scheme 4). The 1,4-dihydropyridocoumarin 21 was formed by the cyclization of the latter and water elimination. Oxidation of 21 in the presence of Cu(Otf)2 under the reaction conditions afforded the pyridocoumarin 22a. It must be mentioned that the yield of this conversion was only 19% without the presence of the catalyst.
Scheme 4.
Synthesis of pyridocoumarins 22a–z by the reactions of aminocoumarins 13, 23a–d with β,γ-unsaturated α-ketoesters 20a–l in the presence of Cu(Otf)2 under MW irradiation.
The following year, Adib et al., synthesized a series of fused pyridocoumarins 26a–p by the reactions of 4-aminocoumarins 13, 24a (prepared in situ from 4-hydroxycoumarin and ammonium acetate) with α-azidolactones 25a–j in the presence of NaOH under heating at 60 °C for 20 min [52]. According to the mechanism proposed (Scheme 5), the aminocoumarin 13 deprotonated by NaOH and the conjugate base A added in a Michael addition to the α-azidolactone 25a to give the intermediate B under removal of a nitrogen molecule. An imine–enamine tautomerization of the latter followed by cyclization led to tricyclic intermediate C, which by water elimination and tautomerization of imine resulted in amino-substituted pyridocoumarin 26a. The synthesized compounds were evaluated for their α-glucosidase inhibitory activity and exhibited in vitro yeast α-glucosidase inhibition with IC50 = 101.0–227.3 μM, better than the standard drug acarbose (IC50 = 750.0 μM). Compound 26i was the most potent.
Scheme 5.
Synthesis of fused pyridocoumarins 26a–p by the reactions of 4-aminocoumarins 13, 24a with α-azidochalcones 25a–j.
In 2019, Osyanin and coworkers received regioselectively the 3-substituted pyridocoumarins 28a–I by the reaction of 4-aminocoumarin (13), with the β-formyl substituted 4H-chromenes 27a–i in 52–74% yield [76]. The reaction proceeds through a Michael addition of 13 to the α-carbon of chromene carbaldehyde, e.g., 27i, leading to the Michael adduct A, according to their former work [77]. The condensation of the latter under cyclization possibly led to dihydropyridine B (Scheme 6). Aromatization of the pyridine ring under opening of the pyran ring furnished the final product 28i.
Scheme 6.
Synthesis of fused pyridocoumarins 28a–i by the reaction of 4-aminocoumarin (13) with β-formyl substituted 4H-chromenes 27a–i.
Povarov Reaction
A Povarov reaction is a Diels–Alder reaction between an N-aryl imine and an electron-rich dienophile in the presence of Lewis acid as catalyst, used for the synthesis of quinolines [78,79,80,81,82]. The reaction is an inverse electron demand Diels–Alder (IEDDA). The one-pot synthesis using aromatic amine, aldehyde, and electron-rich alkene as a MCR is an advance of the Povarov reaction, leading to quinolines [83,84].
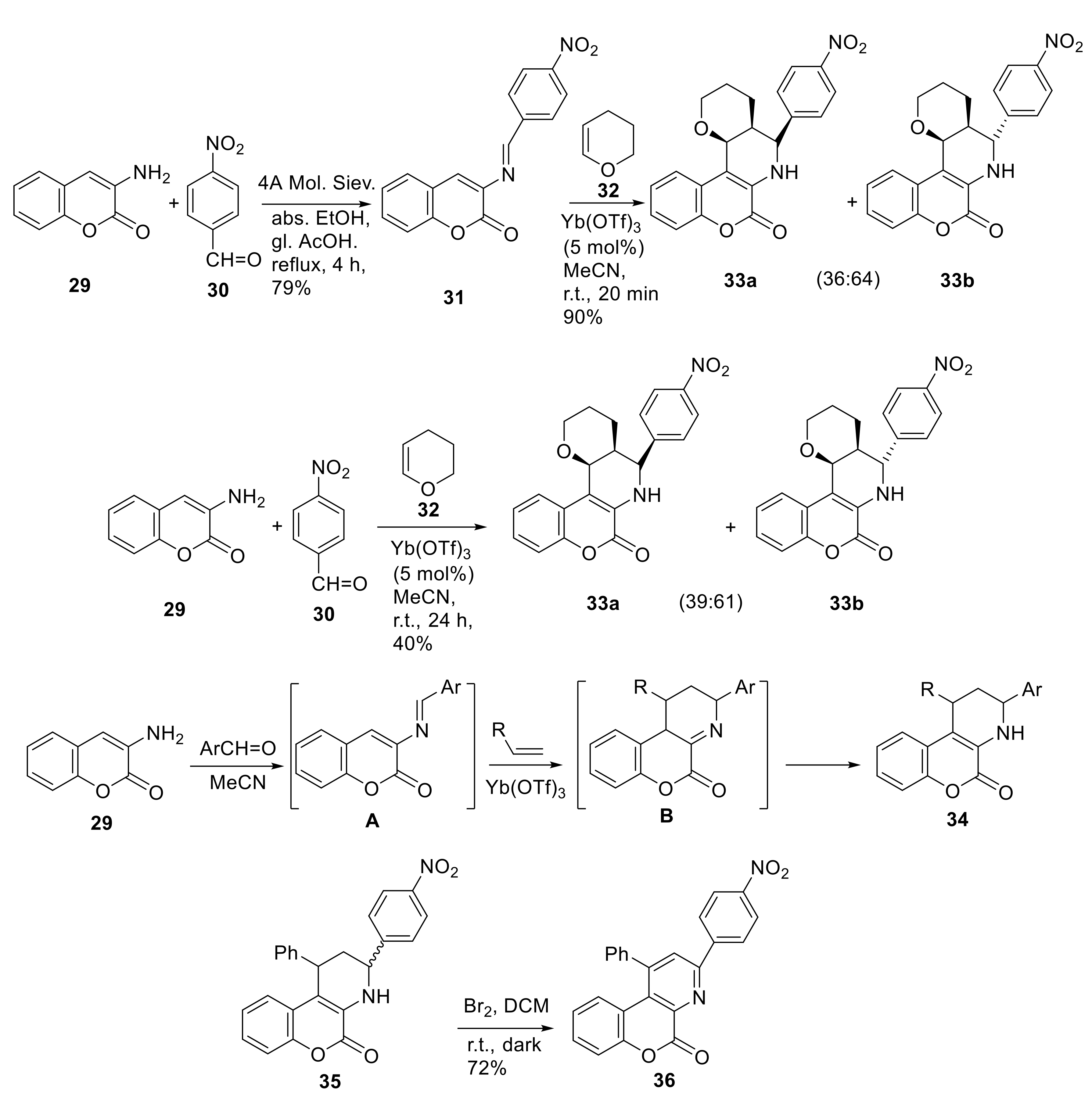
In 2008, Bodwell and coworkers prepared the 1,2,3,4-tetrahydopyridocoumarins 33a,b (36:64) from the Povarov reaction of imine 31, synthesized by the reaction of 3-aminocoumarin (29) with p-nitrobenzaldehyde (30), and the 3,4-dihydro-2H-pyran (32) in the presence of Yb(OTf)3 as a catalyst (Scheme 7). Similar reactions of 31 with various electron-rich dienophiles resulted in the corresponding tetrahydropyridocoumarins in good yields and variable diastereomeric ratios [85]. They also prepared some of the products, such as 33a,b, by the one-pot three component version of this reaction. The reaction proceeds by an IEDDA [4 + 2] cycloaddition reaction of alkene to the imine A, catalyzed by Yb(OTf)3, to B, which upon tautomerization gave the products 34. Oxidation of these products led to the pyridocoumarins, e.g., 35 resulted in 36 by oxidation with bromine.
Scheme 7.
Synthesis of fused pyridocoumarins 33a,b by a Povarov reaction and a one-pot three component Povarov reaction.
The same group, in 2011, synthesized the fused pyridocoumarins 40, 45 by the intramolecular Povarov reaction of 3-aminocoumarin (29) and the unsaturated ethers of salicylaldehyde 37, 42, respectively, in the presence of 5 mol% Yb(OTf)3 [86]. In the case of 37 the cis-tetrahydropyridocoumarin 39 was isolated along with the reduction product 41 of the intermediate imine 38. The reactions of 3-aminocoumarin derivatives with O-cinnamylsalicylaldehydes, e.g., 46, resulted in the trans,trans-tetrahydropyridocoumarins, such as 47, in the presence of 10 mol% Yb(OTf)3 at r.t. (Scheme 8). In the case of N-cinnamyl-2-pyrrolcarbaldehyde 48, the cis,trans-adduct 49 with [5,6] fused ring system was obtained.
Scheme 8.
Intramolecular Povarov reaction for the synthesis of pentacyclic fused pyridocoumarins.
In 2015, Khan and coworkers utilized the 10 mol% Yb(OTf)3 in an one-pot three component Povarov reaction of 3-aminocoumarins, aldehydes and 5,6-unsubstituted 1,4-dihydropyridine derivatives [87]. The products, hexahydro-1H-chromeno [3,4-h] [1,6]naphthyridine-3-carboxylate derivatives 53a–y, isolated in 72–91% yield, have the exo-conformation, as is suggested by 1H-NMR spectra and X-ray diffraction analysis of compound 53a (Scheme 9).
Scheme 9.
Synthesis of exo-hexahydro-1H-chromeno [3,4-h][1,6]naphthyridine-3-carboxylate derivatives 53a–y from 3-aminocoumarins, aldehydes and 1,4-dihydropyridines via an one-pot Povarov reaction.
The same group, in 2012, prepared the pyrido [2,3-c]coumarin derivatives 36, 55a–n by the molecular iodine catalyzed one-pot Povarov reaction of 3-aminocoumarins 29, 50a,c with aromatic aldehydes 30, 51a–c,e–h,m and alkynes 54, 56a–e [88]. The condensation reaction of 29 with 51a led to the formation of imine A. The [4 + 2] Povarov reaction of A with alkyne 56 gave 1,4-dihydropyridocoumarin B, which upon tautomerization to C and oxidation by air resulted in the pyridocoumarin 55 (Scheme 10).
Scheme 10.
Synthesis of pyrido [2,3-c]coumarins 36, 55a–u by a molecular iodine catalyzed three component Povarov reaction.
In 2011, Majumdar and coworkers used the BF3.Et2O (10 mol%) as a catalyst for the Povarov three-component reaction of 6-aminocoumarin (57a) with aromatic aldehydes 51 and phenylacetylene (54) to prepare the angular pyrido [3,2-f]coumarins 58a–c [89]. The similar reaction of 7-amino-4-methylcoumarin (59a) with the anisaldehyde 51c and 54 resulted in linear pyridocoumarin 60 (Scheme 11). The intermediate imine A underwent a Diels–Alder reaction with 54 to give the dihydropyridine B. Tautomerization of the latter to C followed by oxidation by the air afforded the final product 58.
Scheme 11.
Synthesis of fused pyridocoumarins 58a–c, 60 by a BF3.Et2O catalyzed Povarov reaction of aminocoumarins 57a, 59a with aldehydes 51 and phenylacetylene (54).
In 2013, our group reported the synthesis of fused pyridocoumarins 62a–f, 63a,b and 64 under a three component Povarov-type reaction of 6- or 7-aminocoumarins 57a–f, 59a,b with n-butyl vinyl ether (61) in the presence of 10 mol% molecular iodine [90]. Iodine, a mild Lewis acid, catalyzes the reaction of 61 with the aminocoumarin 57b for the formation of the intermediate imine A (Scheme 12). The intermediate B is formed by an aza-Diels–Alder reaction of A with a second molecule of 61, under iodine catalysis, and tautomerization. Elimination of n-butanol resulted in 1,2-dihydropyridocoumarin C, which upon oxidation led to the final product 62b.
Scheme 12.
Synthesis of [5,6]- or [7,8]-fused pyridocoumarins 62a–f, 63a,b from the reaction of aminocoumarins 57a–f, 59a,b and n-butyl vinyl ether (61) under molecular iodine catalysis.
In 2014, Ganguli and Chandra synthesized the [5,6]- and [6,7]-fused pyridocoumarins 66a–i, 67a–f, respectively, under an iodine-catalyzed three-component reaction of 6-aminocoumarin (57a), aldehydes and styrene (65) in aqueous micellar conditions in the presence of sodium dodecyl sulfate (SDS) [91]. During this process, the 6-benzylaminocoumarins 68a–i were isolated. The intermediate aldimine A reacted with 65 in an inverse electron demand Diels–Alder reaction to give the Povarov adducts B and C (Scheme 13). These adducts aromatized to pyridocoumarins 66 and 67, respectively, by a hydrogen transfer to aldimine A, which gave the benzylaminocoumarin 68.
Scheme 13.
Synthesis of [5,6]- and [6,7]-fused pyridocoumarins through three-component reaction of 6-aminocoumarin (57a), aldehydes and styrene (65) under iodine catalysis in aqueous micellar conditions.
In 2014, our group used FeCl3 as a catalyst for the three component domino reactions of 6- or 7-aminocoumarins 57 or 59 with benzaldehyde (51a) and phenylacetylene (54). The reactions were performed in toluene under reflux or under microwave irradiation at 170 °C in the presence of air or p-benzoquinone leading to the synthesis of 2,4-diphenyl-substituted fused pyridocoumarins 66, 67, 69 or 71, 72 [92]. The intermediate imine A underwent nucleophilic addition from alkynylated complex B to give propargylamine complex C. The C, through intramolecular arylation afforded the vinyl complex D, which on decomposition resulted in 1,4-dihydropyridocoumarin E. Tautomerization of the latter and oxidation by air led to pyridocoumarin 66a (Scheme 14). We had tested the new compounds as inhibitors of lipid peroxidation. Compound 66a, 67a, 69b presented 100% inhibition of antilipid peroxidation at 0.1 mM.
Scheme 14.
FeCl3-catalyzed three-component reaction of aminocoumarins with benzaldehyde and phenylacetylene to 2,4-diphenyl substituted fused pyridocoumarins.
The same year, Khan and coworkers synthesized furo- and pyrano-tetrahydropyrido [2,3-c]coumarin derivatives by the one-pot three-component reactions of 3-aminocoumarin (29) with aromatic aldehydes 30, 51 and 2,3-dihydrofuran or 3,4-dihydropyran (32) in the presence of Fe2(SO4)3.xH2O in refluxing acetonitrile [93]. The reactions with 3,4-dihydropyran (32) resulted in tetrahydropyridocoumarins 74a–j and 75a–j as endo–exo and endo–endo diastereomeric products, respectively (Scheme 15). The 74 were the major products, while the 75 were the minor products, as established by the coupling constants of the 1H-NMR spectra. The XRD crystallographic data of 74e revealed the endo–exo configuration. From the performed docking studies, it was found that most of the derivatives 75 present inhibition activity against human dopamine D3 receptor. The blockage of this receptor is effective for potential pharmacotherapy of several neuropsychiatric disorders.
Scheme 15.
Synthesis of pyrano-tetrahydropyrido [2,3-c]coumarin derivatives by three-component reactions of 3-aminocoumarin (29), aldehydes 30, 51 and 3,4-dihydropyran (32) in the presence of hydrated ferric sulfate.
In 2015, the same group reported an intramolecular Povarov reaction of 2-propargyloxybenzaldehydes 42, 76a–d with 3-aminocoumarins 29, 50a–f catalyzed by triflic acid (10 mol%) in acetonitrile under reflux for the synthesis of fused pyridocoumarin derivatives 45, 77a–p (Scheme 16). The structure of 45 and 77m was confirmed by X-ray diffraction analysis [94]. The plausible mechanism for this reaction is similar to the mechanism proposed in Scheme 7 with formation of intermediate imine, intramolecular Diels–Alder reaction, tautomerization and aromatization through air oxidation.
Scheme 16.
Synthesis of the substituted pyrido [2,3-c]coumarin derivatives 45, 77a–p by an intramolecular Povarov reaction.
In 2015, Xi and Liu synthesized ferrocenyl-substituted pyrido [3,2-g]coumarins 80a–o by Povarov three-component reaction of 7-amino-4-methylcoumarin (59a) with aromatic aldehydes 51,78 and ferrocenylacetylene (79) in the presence of Ce(OTf)3 as a catalyst [95] under refluxing toluene (Scheme 17). They studied the antioxidant activity of the ferrocenylcoumarin derivatives and it was found that these compounds can trap radicals and inhibit DNA oxidation. Derivatives with electron-donating group at 8-position, such as 80d, 80n, 80o, possess higher inhibitory effect on AAPH-induced oxidation of DNA.
Scheme 17.
Synthesis of ferrocenyl-substituted pyrido [3,2-g]coumarins 80a–o by Povarov reaction in the presence of Ce(OTf)3 as a catalyst.
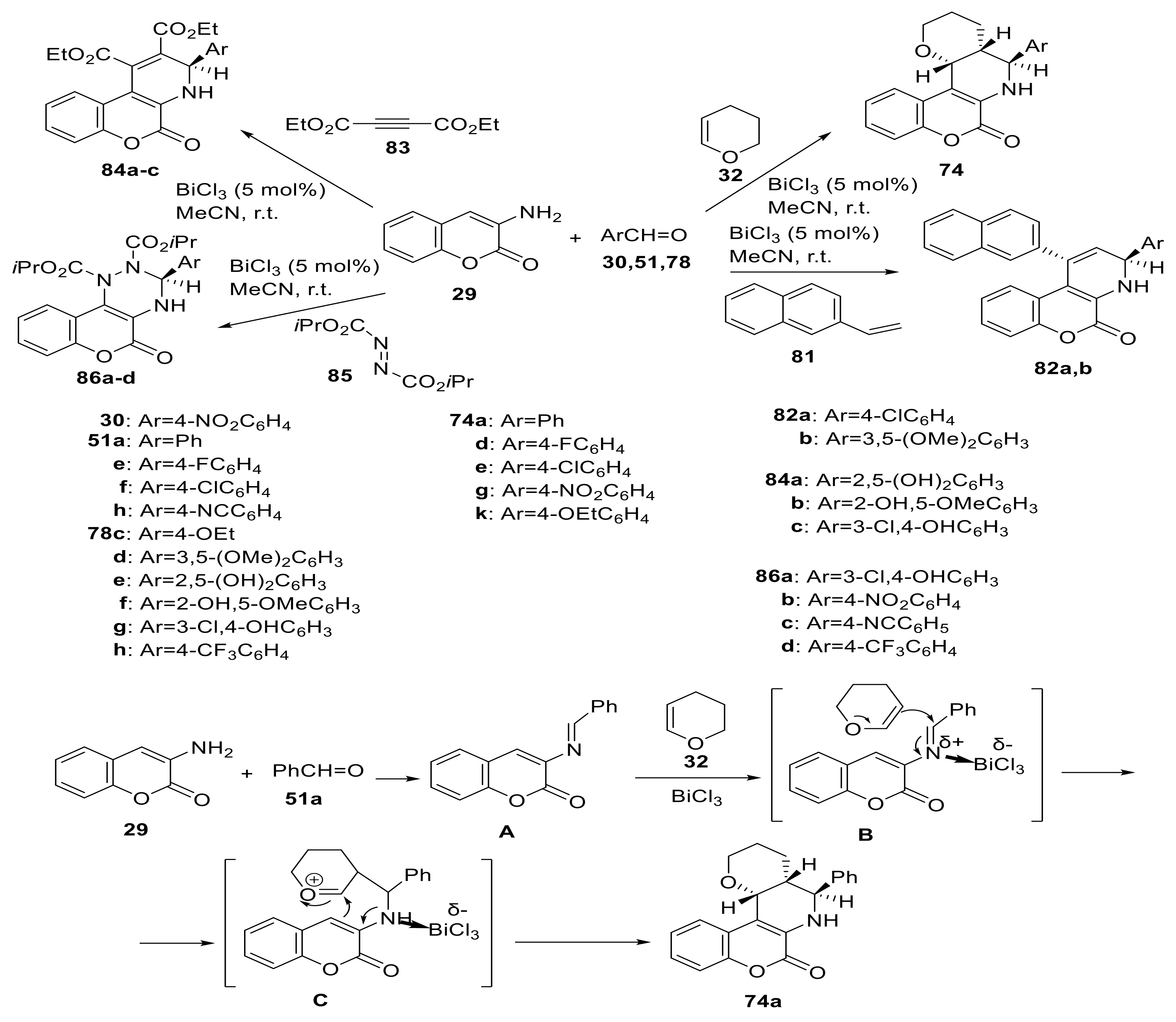
In 2016, Gurumurthy et al., synthesized tetrahydropyrido [2,3-c]coumarin derivatives 74 and dihydropyrido [2,3-c]coumarin derivatives 82a,b, 84a–c by the one-pot three component Povarov reaction of 3-aminocoumarin (29) with aromatic aldehydes 30, 51, 78 and 3,4-dihydropyran (32) or 2-vinylnaphthalene (81) or diethylacetylenedicarboxylate (83) under BiCl3 catalysis in acetonitrile at room temperature [96]. The reactions gave, stereoselectively, the endo–exo products 74, as it was established by 1H-NMR experiments. The similar reaction with diisopropyldiazadicarboxylate (85) resulted in the fused triazinocoumarin derivatives 86a–d. A stepwise mechanism has been proposed for this reaction (Scheme 18). By the electrophilic interaction of 3,4-dihydropyran (32) to the intermediate imine A, activated as B by the Lewis acid, BiCl3, the intermediate C was formed. The latter underwent a ring closure in anti-mode via an intermolecular attack by the carbon-4 of coumarin ring to give the endo–exo product 74a. The synthesized compounds were evaluated for their antioxidant activity, determined by the DPPH radical scavenging activity. Compounds 84b and 86a exhibited good free radical scavenging activity, but lower than the reference compounds α-tocopherol and butylated hydroxytoluene (BHT).
Scheme 18.
Synthesis of dihydro- and tetrahydropyrido [2,3-c]coumarin derivatives via a one-pot three-component Povarov reaction catalyzed by BiCl3.
In 2016, Chen et al., reported the synthesis of substituted pyrido [2,3-c]coumarins 55a, 88a–x by a one-pot three-component reaction of acetophenones (mainly), aromatic aldehydes and 3-aminocoumarin (29) in the presence of equimolar amount methanesulfonic acid in refluxing acetonitrile [97]. As a plausible mechanism, they proposed the addition of enol 87a′, formed in the presence of acid by the tautomerization of acetophenone 87a, to the intermediate imine A, the condensation product from 29 and benzaldehyde 51a, in an asynchronous [4 + 2] cycloaddition reaction. Subsequently, the coumarin ring of B added to the ketone carbonyl to give the intermediate C. The latter by tautomerization, elimination of water and oxidation under air resulted in the product 55a (Scheme 19).
Scheme 19.
Synthesis of substituted pyrido [2,3-c]coumarins 55a, 88a–x by a one-pot three-component reaction of 3-aminocoumarin (29) with aromatic aldehydes and acetophenones 87a–n in the presence of methanesulfonic acid.
Friedlander Reaction
Friedlander reaction is the reaction of o-aminobenzaldehydes with carbonyl compounds containing α-methylene group in the presence of base or acid, or without catalyst under heating, leading to the synthesis of quinolines [98,99,100]. For the mechanism of this reaction two routes are accepted, Schiff base formation or intermolecular aldol reaction. In both cases, a cyclodehydration follows to give quinoline.
In 2013, Siddiqui and Khan applied the Friedlander reaction of 4-amino-3-formylcoumarin (89) with active methylene carbonyl compounds 90a–m or malononitrile (91) under solvent-free conditions at 80 °C in the presence of chitosan as a green catalyst to get the fused pyrido [3,2-c]coumarin 92a–n [101]. Barbituric acid (90b), Meldrum’s acid (90e), 1,3-indandione (90f), dimedone (90g), 4-hydroxycoumarin (90h), ethyl acetoacetate (90k), acetylacetone (90l) were between the active methylene carbonyls. As a plausible mechanism the chitosan abstracted a hydrogen to give carbanion A, which added to the electrophilic carbon of formyl-group of B (Scheme 20). Elimination of water from the resulted specie C led to unsaturated coumarin intermediate D. A 1,2-Addition of the 4-NH2 group to the carbonyl of D and elimination of water from the intermediate E afforded the product 92.
Scheme 20.
Synthesis of pyrido [3,2-c]coumarins 92a–n by the Friedlander reaction of 4-amino-3-formylcoumarin (89) with active methylene carbonyl compounds 90a–m, 91.
From Propargylaminocoumarins
In 2007, Lee and coworkers synthesized 9,10-Di-O-camphanoyl-4,8,8-trimethyl-7,8,9,10-tetrahydro-2H-pyrano [2,3-f]quinolin-2-one (97) by the esterification of aza-cis-khellactone 96 with (S)-(-)-camphanoyl chloride [102]. The latter was prepared by the asymmetric Sharpless dihydroxylation with AD-mix-α of 4-methyl-1′-azaseselin (95), which was formed by the aza-Claisen rearrangement and cyclization of propargylaminocoumarin 94 in the presence of CuCl in refluxing THF (Scheme 21). The substitution of 3-chlorobutyne 93 by the aminocoumarin 59a resulted in adduct 94. Compound 97 as well as analog pyran derivatives have been studied for their ant-HIV activity using the HIV-1 IIIB strain in H9 lymphocytes. It was found that 97 has an anti-HIV activity with EC50 = 0.77 μM and therapeutic index (TI) > 42.
Scheme 21.
Synthesis of dihydropyridocoumarin 95 from the aza-Claisen rearrangement-cyclization of propargylaminocoumarin 94 under heating in the presence of CuCl.
In 2011, Majumdar and coworkers used iodine for the Claisen rearrangement and cyclization of 6-propargylaminocoumarins 102a–c and 105 to obtain selectively the angular dihydropyridocoumarins 103a–c and the pyridocoumarin 106, respectively [103]. For the mechanism, they suggested an initial formation of the iodonium intermediate A, followed by the nucleophilic attack of the 5-carbon of aromatic ring to the activated triple bond. Hydrogen abstraction by the base from the intermediate B led to the final product 103 (Scheme 22). In the case of non-N-substituted dihydro-intermediate C the oxidation by the iodine might be responsible for the synthesis of pyridocoumarin 106.
Scheme 22.
Synthesis of dihydropyridocoumarins 103a–c and pyridocoumarin 106 from the propargylaminocoumarins 102a–c and 105, respectively, under treatment by iodine and NaHCO3.
The same year, our group using BF3.Et2O under microwave irradiation obtained, also selectively, the angular [5,6]-fused pyridocoumarins 108a,b through the aza-Claisen rearrangement of propargylaminocoumarins 107a,b [104]. The pyridocoumarins 110a,b were isolated similarly from the propargylaminocoumarins 109a–c. The imino-adduct A was formed through the aza-Claisen rearrangement of 107a, followed by tautomerization to B (Scheme 23). 1,5-H Shift of the latter gave the intermediate C, which by a Diels–Alder intramolecular reaction furnished the 1,2-dihydropyridocoumarin D. Oxidation of D led to the final product 108a.
Scheme 23.
Synthesis of [5,6]-fused pyridocoumarins through aza-Claisen rearrangement of the corresponding propargylaminocoumarins in the presence of BF3. Et2O under microwave irradiation.
In 2013, our group utilized the Au-NPs for the catalyzed synthesis of the pyridocoumarins 108a,b and 110a,c–e in excellent yields from the propargylaminocoumarins 107a,b and 109a–d, respectively [105]. A plausible mechanism with electrophilic aromatic substitution of the benzene ring of coumarin with the activated alkyne-π complex of A to the vinyl-Au intermediate B through a 6-endo-dig cyclization is presented in Scheme 24. 1,3-H Shift under regeneration of the catalyst gave 1,2-dihydropyridocoumarin C, which by air-oxidation resulted in the isolation of [5,6]-fused pyridocoumarin.
Scheme 24.
Synthesis of [5,6]-fused pyridocoumarins from propargylaminocoumarins under Au-NPs catalysis.
In 2014 Majumdar and Ponra synthesized the dihydropyrido [3,2-f]coumarins 111d–j from the propargylaminocoumarins 102d–j in the presence of FeCl3 [106]. The expected pyrido [3,2-f]coumarins were not isolated during the above reactions. For the proposed mechanism, FeCl3 activates the alkyne moiety of 102 to give the intermediate π-complex A (Scheme 25). An intramolecular 6-endo-dig cyclization of A produced the charged species B. Upon deprotonation of the latter, followed by an 1,3-H shift and elimination of FeCl3 the final product 111 was formed.
Scheme 25.
Synthesis of dihydropyrido [3,2-f]coumarins 111d–j from the propargylaminocoumarins 102d–j in the presence of FeCl3.
In 2019, Han and coworkers prepared goniothaline A (118) through the Ag-catalyzed cycloisomerization of propargylaminocoumarin 117, while by the following regioselective demethylation due to neighboring pyridine nitrogen goniothaline B (119) was obtained [53]. Propargylamino-compound 117 has been synthesized by propargylation of aminocoumarin 116. which has been prepared via a five-step procedure starting from 2,5-dihydroxybenzaldehyde (78e) (Scheme 26).
Scheme 26.
Synthesis of goniothalines A (118) and B (119).
In continuation of their work, the same group reported the synthesis of pyrido [3,2-c]coumarins 124a–i by the AgNO3 catalyzed cycloisomerization of 4-propargylaminocoumarins 123a–i [107]. Propargylaminocoumarins have been synthesized by the nucleophilic substitution of 4-chlorocoumarins 121a–g with the propargylamine salts 122a–c (Scheme 27). Polynemoraline C (124i) is a natural product synthesized by this method. As a plausible mechanism, the alkyne moiety of 123a coordinated with silver catalyst to give intermediate A. An intramolecular attack of the enamine carbon atom to the electrophilic alkyne bond of A via a 6-endo-dig cyclization resulted in the 6-membered B. 1,3-H Shift under demetallation gave the 1,2-dihydro pyridocoumarin C, which oxidized to afford the final product 124a.
Scheme 27.
Synthesis of pyrido [3,2-c]coumarins 124a–h and polynemoraline C (124i).
Very recently, our group synthesized bis-fused pyridopyranocoumarins 128a,b, 131, 134a,b from the propargylaminocoumarin derivatives 126a,b, 127a,b, 120, 133a,b in excellent yields under Au-NPs catalyzed cycloisomerization reaction followed by air oxidation [108]. The propargylaminocoumarins have been synthesized from aminohydroxycoumarins 125a,b and 129 under propargylation with propargyl bromide (99) or 3-chloro-3-methylbutyne (93) (Scheme 28). The compounds were tested for their antioxidant and anti-AChE activities. The derivatives 128a, 132a, 134a,b presented promising anti-lipid peroxidation and anti-AChE activities.
Scheme 28.
Synthesis of fused dipyranoquinolinones 128a,b, 131, 134a,b.
Multi Component Reactions (MCR) of Aminocoumarin
Multicomponent reactions (MCRs) are an important method for the one-pot synthesis of organic compounds under atom economy of the three or more participating starting materials [109,110,111,112,113]. Povarov reaction, as we have mentioned earlier, is an application of MCRs for the synthesis of pyridocoumarins.
In 2012, Khan and Das utilized the MCR of 3-aminocoumarins 29, 50a,b, aldehydes 30, 51, 78 and cyclic 1,3-diketones 90m, 135a,b to prepare 1,4-dihydropyrido[2,3-c]coumarin derivatives 136a–s in the presence of catalytic amount (20 mol%) of p-toluenesulfonic acid (p-TSA) [114]. The Knoevenagel condensation of benzaldehyde (51a) with dimedone (90g) gave the adduct A, which underwent a Michael addition of 3-aminocoumarin (29) leading to the intermediate C (Scheme 29). An intramolecular ring closure reaction of the latter followed by dehydration of the intermediate D resulted in the final product 136a.
Scheme 29.
Synthesis of 1,4-dihydropyrido [2,3-c]coumarins via MCRs of aldehydes, 1,3-cyclic diketones and 3-aminocoumarins.
The same year, Paul and Das via a MCR of 4-aminocoumarin (13), aromatic aldehydes 30, 51 and indandione (90f) or dimedone (90g) in the presence of the organic catalyst, (±)-lactic acid, in a green solvent, ethyl-L-lactate, obtained the 1,4-dihydropyrido [3,2-c]coumarin derivatives 137a–h and 138a–h, respectively [115]. At first, a Knoevenagel condensation led to the intermediate A. The formation of a H-bond between lactic acid and the carbonyls of A may increase the electrophilicity of the carbonyls, accelerating the Michael addition of 4-aminocoumarin (13) (Scheme 30). The intermediate B formed, upon tautomerization to adduct C and elimination of water, resulted in the final products 137 or 138.
Scheme 30.
Synthesis of 1,4-dihydropyrido [3,2-c]coumarin derivatives 137a–h and 138a–h via a MCR of aldehydes and indandione or dimedone.
In 2013, the same group prepared the pyrido [3,2-c]coumarin derivatives 139a–d by a MCR domino process from 4-aminocoumarin (13), aldehydes and malononitrile (91) under heating in water at 80 °C in the presence of triethanolamine, a Lewis-base-surfactant combined catalyst (LBSC), which acted as a catalyst to activate the substrates and as a surfactant forming colloidal particles [116]. A Knoevenagel condensation of aldehyde 51a with 91 gave the α,β-unsaturated nitrile A, which upon Michael addition of 4-aminocoumarin (13) afforded the intermediate B (Scheme 31). Tautomerization of the latter to C followed by intramolecular cyclization, catalyzed by triethanolamine, led to the intermediate D. Air oxidation resulted in the final product 139a.
Scheme 31.
Synthesis of pyrido [3,2-c]coumarin derivatives 139a–d by a MCR domino process from 4-aminocoumarin (13), aldehydes and malononitrile (91).
In 2014, Kar and coworkers reported the synthesis of pyranoquinolin-3-ones 142a,b, 143a,b, 149 and pyranoacridin-3-ones 146a–c by the thermolysis of enamino imine hydrochloride derivatives of 7-aminocoumarin 141a,b, 148 and 145a–c, respectively [117]. These derivatives were prepared by the three-component reaction of 7-aminocoumarin (57a) with β-chloroacrolein derivatives 140a,b or 1-chloro-3,4-dihydronaphthalene-2-crabaldehydes 144a–c or 2-chloroacenaphthylene-1-carbaldehyde 147 (Scheme 32). Oxidation of compounds 146a–c with DDQ resulted in the fully aromatic 3H-benzo[h]pyrano [3,2-a]acridine-3-one derivatives 150a–c. A few years later, in 2017, Patra performed a modification of the above three-component reaction by using only one equivalent of 7-aminocoumarin (57a) and β-chloro-α,β-unsaturated aldehydes in methanol at 15 °C without the presence of hydrochloric acid [118]. This procedure led to the preparation of the intermediate chlorovinyl imine derivatives 151a,b and 152a–d (Scheme 33). Thermolysis of the latter at 230–260 °C resulted in the synthesis of pyranoquinoline-3-one derivatives 142a,b and pyranoacricine-3-one derivatives 146a–d with better yields.
Scheme 32.
Synthesis of pyranoquinolin-3-ones 142a,b, 143a,b, 149 and pyranoacridin-3-ones 146a–c.
Scheme 33.
Synthesis of pyranoquinoline-3-one and pyranoacricine-3-one derivatives 142a,b and 146a–d, respectively, via the intermediate chlorovinyl imine derivatives 151a,b and 152a–d.
In 2017, Kausar and Das reported the synthesis of pyrido [2,3-c]coumarin derivatives using the three-component reaction of 3-aminocoumarins, aldehydes and phenylacetylene in the presence of CuI-Zn(OAc)2 as catalyst without solvent, under ball milling green conditions [119]. The reaction involves one C-N coupling and two C-C couplings in a combo–catalysis cycle (Scheme 34) in the proposed mechanism. The activation of terminal alkyne produced the copper carbide A. By a C-C and C-N bond formation between aminocoumarin (29), benzaldehyde (51a) and carbide A under the Lewis acid Zn(OAc)2 catalysis the propargylamino intermediate B was formed. Oxidative C-H insertion after the activation of triple bond, and the π-bond of B by CuI, led to the seven-membered intermediate C, which underwent a C–C coupling under reductive elimination to give CuI and the 1,2-dihydropyrido [3,2-c]coumarin D. Oxidation of the latter resulted in the final product 55a.
Scheme 34.
Synthesis of pyrido [2,3-c]coumarin derivatives 3-aminocoumarins, aldehydes and phenylacetylene in the presence of CuI-Zn(OAc)2 as catalyst without solvent under ball milling.
Recently, Rad-Moghadam and coworkers obtained the spiro 1,4-dihydropyrido [3,2-c]coumarin derivatives 156a–f via a three-component reaction of 4-aminocoumarin (13), isatin derivatives 154a–f and 3-methyl-1H-pyrazol-5-amine (155) in the presence of p-TSA in ethanol under sonication or heating [120]. They proposed two possible pathways (Scheme 35). In each path, A or B condensation of isatin (154a) with 13 or 155 led to the formation of the corresponding intermediates A or E. Nucleophilic addition of 155 or 13 to the A or E, respectively, gave the adducts B or F. The [3,3]-Sigmatropic rearrangement to C or G, followed by elimination of ammonia, afforded D or H. Tautomerization of both intermediates resulted in the final spiro compound 156a.
Scheme 35.
Synthesis of spiro 1,4-dihydropyrido [3,2-c]coumarin derivatives 156a–f via a three-component reaction of 4-aminocoumarin (13), isatin derivatives 154a–f and 3-methyl-1H-pyrazol-5-amine (155) in the presence of p-TSA.
The same year, Bregadiolli and coworkers synthesized chromeno [4,3-b]pyridine derivatives 158a–i from a MCR between 4-aminocoumarin (13), aromatic benzaldehydes and ethyl benzoylacetate (157) catalyzed by NbCl5 [121]. In the proposed mechanism, a Knoevenagel condensation occurred between the enolic form of ethyl benzoylacetate (157) and benzaldehyde complexed with niobium, leading to the unsaturated intermediate B (Scheme 36). The complexation of NbCl5 with carbonyl-oxygen of C reduced the electron density of the double bond facilitating the attack of NH2-group of 13 to give the intermediate D. After removing of a proton from the ammonium group and cyclization of the resulting E under elimination of water to F, followed by deprotonation, the 1,4-dihydropyrido [3,2-c]coumarin 158a was formed.
Scheme 36.
Synthesis of chromeno [4,3-b]pyridines 158a–i via a MCR of 4-aminocoumarin (13), aromatic benzaldehydes and ethyl benzoylacetate (157) catalyzed by NbCl5.
Metal-Catalyzed Reactions of Aminocoumarin Derivatives
In 2008, Majumdar and coworkers utilized the Pd-catalyzed intramolecular Heck reaction of 6- or 7-benzoylaminocoumarins 162a–c or 164a–c for the regioselective synthesis of angular 3H-pyrano [3,2-a]phenanthridine-3,8(7H)-diones 165a–c or linear 11-methyl-5H-pyrano [3,2-b]phenanthridine-5,9(6H)-dione 166a–c, respectively [122]. In the case of no N-substituted amides 162a and 164a the Ag2CO3 was used as a base in the place of KOAc at 160 °C (Scheme 37).
Scheme 37.
Synthesis of 3H-pyrano [3,2-a]phenanthridine-3,8(7H)-diones 165a–c and 11-methyl-5H-pyrano [3,2-b]phenanthridine-5,9(6H)-dione 166a–c by an intramolecular Heck reaction.
In 2012, Majumdar et al., reported the synthesis of pyrido [3,2-f]coumarins 168a–f by the Indium (III) chloride-catalyzed reaction of 5-allyl-6-aminocoumarin (167) with benzaldehydes 51 [123]. In the proposed mechanism, the imine A formed from 167 and 51a in the presence of InCl3 at first, followed by an 1,5-H shift to the intermediate B. The aromatization of benzene ring to C via an 1,7-H shift followed by an 6π-electrocyclization to intermediate D and a subsequent 1,5-H shift to E, which was oxidized, led to the final product 168a (Scheme 38).
Scheme 38.
Indium (III) chloride catalyzed synthesis of pyrido [3,2-f]coumarins 168a–f.
In 2017, Nath, a coworker of Majumdar, extended the former [66] regioselective Pd-catalyzed synthesis of linear 11-methyl-5H-pyrano [3,2-b]phenanthridine-5,9(6H)-diones 166a–g using Cs2CO3 as a base at lower temperature, 95 °C for 6 h [124]. In the case of amidocoumarin 164a, the base was a mixture of Ag2CO3 (2 equivalents) and Cs2CO3 (2 equivalents) and the intramolecular Heck reaction performed at the elevated temperature of 120 °C (Scheme 39).
Scheme 39.
Synthesis of 11-methyl-5H-pyrano [3,2-b]phenanthridine-5,9(6H)-dione 166a–g by a Pd-catalyzed intramolecular Heck reaction.
In 2017 also, Xie, Su and coworkers synthesized 6H-chromeno [4,3-b]quinoline-6-ones 170a–t by a copper-catalyzed cyclization of 4-arylaminocoumarins 169a–t using the N-methyl moiety of DMF as the source of methine group [125]. They tested N,N-dimethylacetamide and N,N-dimethylaniline as a possible source of methine moiety, obtaining low yields of the product, while N,N-diethylformamide did not give any conversion. A possible mechanism has been proposed with addition of 4-phenylaminocoumarin (169a) to the iminium salt A, generated from DMF (Scheme 40). The intermediate B formed after elimination of MeNHCH=O gave the α,β-unsaturated imine D, which upon attack from NaHSO3 to adduct E followed by intramolecular cyclization generated the dihydropyridine intermediate F (path A). Another possibility is the 6π electrocyclization of D to afford intermediate F (path B). Oxidation, next, of F led to the final product 170a.
Scheme 40.
Synthesis of 6H-chromeno [4,3-b]quinoline-6-ones 157a–t by a copper-catalyzed cyclization of 4-arylaminocoumarins 156a–t in the presence of DMF.
Recently, Ackermann and coworkers utilized 4-arylaminocoumarins 169, 171 for the synthesis of 6H-chromeno [4,3-b]quinoline-6-ones 170, 172 through electro-oxidative cyclization in the presence of DMF as a methine source in a glassy carbon (GC) anode and a platinum (Pt) cathode [126]. In the proposed mechanism, iodine radicals, generated anodically, afforded intermediate A from 169a, which is converted to radical B, releasing iodine anion (Scheme 41). The iminium intermediate C, formed by anodic oxidation of DMF, reacted as an electrophile with B to give intermediate D. Elimination of MeNHCHO furnished the imine E, which was attacked by NaHSO3 to afford intermediate F. Intramolecular cyclization to G, followed by oxidation, led to the final product 170a.
Scheme 41.
Synthesis of 6H-chromeno [4,3-b]quinoline-6-ones 170, 172 through electrooxidative cyclization of 4-arylaminocoumarins 169, 171.
In 2019, Samanta, Kumar and coworkers reported the synthesis of substituted chromeno [4,3-b]pyridines 174a–p from 4-aminocoumarins 13, 23a–d and α-alkynyl-β-aryl nitroolefins 173a–e in the presence of copper acetate by heating in 2-methyltetrahydrofuran, as a green solvent, under aerobic conditions [127]. This reaction is a domino protocol via a [3 + 3] annulation reaction promoted by Cu(OAc)2, as is suggested by the authors (Scheme 42). The compounds were tested against CAG repeat RNAs that cause Hantington’s disease. Derivatives 174c and 174o presented higher affinity (nanomolar) and selectivity for diseased r(CAG)exp RNA compared to regular duplex AU-paired RNA.
Scheme 42.
Synthesis of pyrido [3,2-c]coumarins 174a–p from 4-aminocoumarins and α-alkynyl-β-aryl nitroolefins 173a–e.
2.1.2. Synthesis from Hydroxycoumarins
Multi Component Reactions (MCR) of Hydroxycoumarins
In 2004, Kidwai et al. synthesized the bis(benzopyrano) fused 1,4-dihydropyridines 176a–f by a three-component reaction of 4-hydroxycoumarin (120a), aromatic aldehydes 51, 78 and ammonium acetate under one-step procedure using acidic alumina and silica gel as solid support under MW irradiation (Method A) [128]. This method was faster and had better yields than the two-step procedure (Method B) (Scheme 43). In method B, the arylidene compounds 175a–f were formed at first and reacted under reflux in acetic acid with 120a in the presence of NH4OAc. It seems that 4-hydroxycoumarin (120a) reacted with NH4OAc to give 4-aminocoumarin, which then added to 175a–f in a Michael addition reaction type, followed by cyclization via dehydration to give the 1,4-dihydro pyridine derivatives 176a–f.
Scheme 43.
Multicomponent synthesis of bis(benzopyrano) fused dihydropyridines using solid support media.
In 2009 Tu et al., prepared naphtho [2,3-f]quinoline derivatives by a one-pot three-component reaction of 2-aminoanthracene (177), aromatic aldehydes and 1,3-diketones under microwave irradiation in order to test their luminescent properties [129]. The derivative 4-Hydroxycoumarin (120a) resulted in the fused coumarin derivatives 178a–f. These compounds exhibited good luminescent properties (Scheme 44). In the mechanism proposed [130], a condensation of 177 with aldehyde gave imine intermediate A, which underwent addition of 4-hydroxycoumarin (120a) to the adduct B, The latter after tautomerization to C, and removing of amine 177, led to α,β-unsaturated intermediate D. Addition of amine 177 to D and cyclization of the tautomer F of E resulted in adduct G. Water was eliminated from the latter and the final product 178 was obtained. Compounds 178a–f exhibited good luminescent properties in ethanol solution and could be used as organic electroluminescent media.
Scheme 44.
Synthesis of coumarin derivatives 178a–f by the one-pot reaction of 2-aminoanthracene (177), aldehydes and 4-hydroxycoumarin (120a) under MW irradiation.
In 2011, Shafiee and coworkers prepared 4-aminocoumarin (13) by melting of 4-hydroxycoumarin (120a) in the presence of ammonium acetate. Then, they synthesized the chromeno [4,3-b]quinoline derivatives 180a–m by the reaction of 13 with 2-arylidenecyclohexano1,3-dione derivatives 179a–m under heating at high temperature without solvent [131]. The Michael addition of 4-aminocoumarin (13) to α,β-unsaturated compound 179 gave the intermediate A, according to the proposed mechanism (Scheme 45). Isomerization of A to B, followed by intramolecular cycloaddition to C and subsequent elimination of water resulted in the final 1,4-dihydropyridocoumarin derivatives 180. The synthesized compounds were tested for their cytotoxic activity in human cancer cell lines (Hela, K562, LS180 and MCF-7). Some of them showed moderate cytotoxic capacity and, in parallel, very low calcium channel antagonist activity. Compound 180a presented the highest antitumorial activity (IC50 = 25.4–58.6 μM).
Scheme 45.
Synthesis of chromeno [4,3-b]quinoline derivatives 180a–m.
In 2013, Su and coworkers prepared the dihydrochromeno [4,3-b]quinoline derivatives 182a–t via the three-component reaction of 4-hydroxycoumarin (120a) with aldehydes and anilines 181a–g catalyzed by the ionic liquid L-2-(2-hydroxymethyl)-1-(4-sulfobutyl)pyrrolidinium hydrogen sulfate ([HYSBPI].H2SO4 in water under microwave irradiation [132]. In the proposed mechanism, according to reference [130], a condensation of aniline (181a) with benzaldehyde (51a) gave the imine A. The intermediate B was formed by the addition of 120a to A, followed by the removal of aniline to give the benzylidene intermediate C. Addition of aniline to C, followed by intermolecular cyclization, led to the cyclized adduct E. Elimination of water from the latter resulted in the final product 182a (Scheme 46). Oxidation of 182a with DDQ afforded the pyridocoumarin 183a. The antitumor activity of the prepared compounds was evaluated in human cancer cell lines (A-549 and MCF-7). They exhibited moderate antitumor activities with IC50 = 0.05–100 μmol/L.
Scheme 46.
Synthesis of dihydrochromeno [4,3-b]quinoline derivatives 182a–t.
Next year, Choudhury and coworkers prepared similar dihydrochromeno [4,3-b]quinoline derivatives by the multi-component reaction of 4-hydroxycoumarin (120a) with aldehydes and anilines in water catalyzed by Bi(OTf)3 (10 mol%) under microwave irradiation [133]. For the mechanism, they proposed the 1,2-addition of aniline to the alkylidene intermediate C, for the formation of imine D, followed by 6 π electrocyclization to the intermediate E. Tautomerization of the latter led to the dihydropyridine derivative 182a (Scheme 47). When some of the above reactions were performed without solvent by conventional heating at 140 °C, for 2–4 h the chromeno [4,3-b]quinoline-6-ones 183 were received, possibly by a radical mechanism. Treatment of some of the dihydropyridocoumarin derivatives with NBS at room temperature resulted rapidly in a more clean reaction to the chromeno [4,3-b]quinoline-6-ones 183. The fluorescent properties of the synthesized compounds were studied in different solvents. It was found that derivatives 182, 184 are more fluorescent than the corresponding 183 analogs.
Scheme 47.
Synthesis of dihydrochromeno [4,3-b]quinoline derivatives 182, 184 and chromeno [4,3-b]quinoline-6-ones 183.
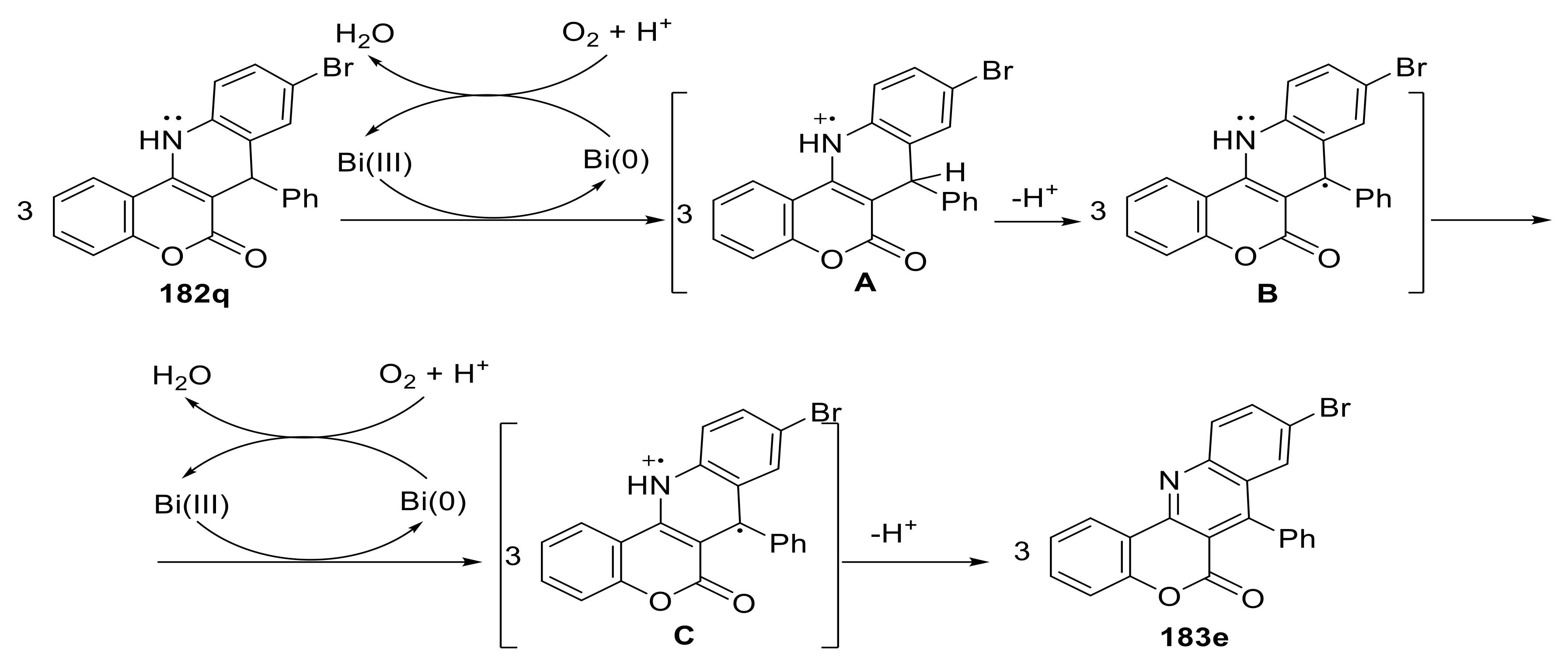
For the transformation of the above referred solvent-free oxidation of compounds 182, 184 to the chromeno [4,3-b]quinoline-6-ones 183, the authors suggested that a radical mechanism is taking place with the parallel reduction of Bi(III) to Bi(0), as depicted in Scheme 48.
Scheme 48.
Mechanism for the solvent-free transformation of dihydrochromeno [4,3-b]quinoline derivatives 182 to chromeno [4,3-b]quinoline-6-ones 183 in the presence of Bi(OTf)3.
The same year, Pal and coworkers utilized Fe3O4@SiO2 nanoparticles as catalyst for the synthesis of 1,4-dihydropyridocoumarins 176g–m from the one-pot multi-component reaction of 4-hydroxycoumarin (120a), aldehydes and NH4OAc on water [134]. The catalyst could be removed with a magnet and reused further. A plausible mechanism is depicted in Scheme 46. By the binding of Fe3O4@SiO2 nanoparticles to the carbonyl oxygen, the carbonyl activity increased, facilitating the nucleophilic attack to the aldehyde and the formation of the intermediate Knoevenagel alkylidene product 175 (Scheme 49). This adduct underwent a Michael addition from another molecule of 120a to give intermediate C. Then ammonia reacted with C and amino-intermediate D was obtained, which under cyclization and elimination of water resulted in the desired product 176.
Scheme 49.
Synthesis of 1,4-dihydropyridocoumarin derivative on water using Fe3O4@SiO2 nanoparticles as catalyst.
In 2015, Sashidhara et al., demonstrated a one-pot procedure for the synthesis of chromeno [4,3-b]quinoline-6-ones 183, 185 under microwave irradiation in the presence of molecular iodine (10 mol%) via a three-component reaction of 4-hydroxycoumarin (120a), aromatic aldehydes and anilines [135]. Condensation of aldehydes with aniline led to the Schiff base A. Nucleophilic attack of 4-hydroxycoumarin on imine A gave unstable adduct B, which then underwent rearrangement to afford the intermediate E via the transition states C and D (Scheme 50). A 1,3-H shift resulted in the 1,4-dihydropyridocoumarin F, which upon oxidation in the presence of iodine furnished the final product 183.
Scheme 50.
Synthesis of chromeno [4,3-b]quinoline-6-ones catalyzed by molecular iodine under MW irradiation.
In 2016, Yin and coworkers presented the three component synthesis of dihydrochromeno [4,3-b]pyrazolo [4,3-e]pyridines 188a–n or chromeno [4,3-b]pyrazolo[4,3-e]pyridines 189a–g from 4-hydroxycoumarin (120a), aldehydes and 5-amino-3-methyl-N-phenylpyrazole (187a)/5-amino-3-methylisoxazole (187b), depending on the conditions, refluxing in AcOH-MeCN or heating at 140 °C in AcOH-DMSO [136]. According to the proposed mechanism, a Knoevenagel reaction of 4-hydroxycoumarin (120a) with benzaldehyde (51a) gave the benzylidene-adduct A, which reacted 187a in a Michael reaction furnishing intermediate B (Scheme 51). Intramolecular cyclization by the addition of amine group to the coumarin 4-carbonyl and elimination of water resulted in the intermediate C. Tautomerization of the latter gave dihydro derivative 188a, which upon oxidation led to the pyridocoumarin product 189a.
Scheme 51.
Three-component synthesis of chromeno [4,3-b]pyrazolo [4,3-e]pyridines 189a–g.
The same year, Khurana and coworkers reported an analogous synthesis of dihydrochromeno [3,4-e]isoxazolo [5,4-b]pyridine-6-ones 188n, 190a–n in excellent yields via a one-pot three-component reaction of 4-hydroxycoumarin (120a), aldehydes and 5-amino-3-methylisoxazole (187b) in the ionic liquid 1-butyl-3-methylimidazolium hydrogen sulfate ([C4mim] [HSO4]) under heating at 80 °C or ultrasonic irradiation at room temperature [137]. For the mechanism, a different approach has been proposed, in comparison to the above reaction. The iminium intermediate A was formed by the condensation of 5-amino-3-methylisoxazole (187b) with benzaldehyde (51a) in the presence of acidic ionic liquid. Nucleophilic addition of 120a to A gave the unstable transition state B, which underwent cleavage furnishing the benzylidene intermediate C (Scheme 52). A 1,3-Addition of 5-amino-3-methylisoxazole (187b) to C resulted in the intermediate D, which under intramolecular cyclization led to the intermediate E. By the 1,3-H shift of the latter the final product 188n was obtained. The authors confirmed the above mechanism performing the reaction of preformed alkylidene compound A with 187b, which resulted in the expected final product 188n.
Scheme 52.
Synthesis of dihydrochromeno [3,4-e]isoxazolo [5,4-b]pyridine-6-ones 188n, 190a–n in ionic liquid [C4mim][HSO4].
Ionic liquid, functionalized by silica@γ-Fe2O3 magnetic nanoparticles (MNP), was used also by Mahdavi and coworkers as a catalyst for the synthesis of 6H-chromeno [4,3-b]quinoline-6-ones 182, 184 via multi-component reaction of 4-hydroxycoumarin (120a), aromatic aldehydes and aromatic amines (Scheme 53). The catalyst (IL-SiO2@MNP) was prepared by the reaction of 1-butyl-3-(3-(trimethoxysilyl)propyl-1H-imidazol-3-ium chloride with iron oxide nanoparticles coated by silica. The nanocatalyst could be separated after the completion of the reaction by a magnet and showed activity up to 10 times [138].
Scheme 53.
Synthesis of 6H-chromeno [4,3-b]quinoline-6-ones catalyzed by ionic liquid immobilized on magnetic nanoparticles.
The same year, Foroumadi and coworkers synthesized the coumarin-fused dihydropyridinones 192a–i via a multi-component reaction of 4-hydroxycoumarin (120a), ammonia, aromatic aldehydes, and Meldrum’s acid (90e) in refluxing propan-1-ol [139]. In the proposed mechanism, the benzylidene intermediate A was formed by the Knoevenagel reaction of Meldrum’s acid (90e) with aldehyde 51a (Scheme 54). The amination reaction of 4-hydroxycoumarin with ammonia generated the 4-aminocoumarin (13), which by a Michael reaction to A led to the intermediate B. Intramolecular cyclization of the latter under loss of acetone and CO2 resulted in the final product 192a.
Scheme 54.
Synthesis of coumarin-fused dihydropyridinones 192a–i by a multi-component reaction in refluxing propan-1-ol.
In 2018, Sayahi et al., demonstrated the same multi-component reaction for the synthesis of coumarin-fused dihydropyridinones 192a–h in the presence of SBA-15-SO3H, a mesoporous material with nanochannels, as catalyst [140]. This reaction completed in less reaction time with better yield than in the former work (Scheme 55).
Scheme 55.
Synthesis of coumarin-fused dihydropyridinones 192a–i by a multicomponent reaction in refluxing propan-1-ol in the presence of SBA-15-SO3H.
In 2019, Mohammadpoor-Baltork and coworkers demonstrated the synthesis of chromeno [4,3-b]quinoline-6-one derivatives 183, 185 via a one-pot three-component reaction of 4-hydroxycoumarin (120a) with aldehydes and anilines catalyzed by halloysite nanoclay under solvent-free conditions [141]. Except for the products presented in Scheme 56, they also prepared analogous derivatives using two different anilines with aldehydes, or two different aldehydes with aniline or aromatic diamines with aldehydes or dialdehydes with anilines. In the proposed mechanism, the activated benzaldehyde A condensed with aniline to give imine B. The nucleophilic attack of 120a afforded the intermediate C, which upon elimination of aniline resulted in the benzylidene intermediate D. Recondensation with aniline led to E. Electrocyclisation afforded F, and by an 1,3-H shift, dihydro-adduct G was formed. Anomeric-based oxidation in the presence of the catalyst, through H, resulted in the final product 185i.
Scheme 56.
Synthesis of chromeno [4,3-b]quinoline-6-one derivatives via a three-component reaction catalyzed by halloysite nanotubes.
The same year, Zeynizadeh and Rahmani reported the Hantzsch synthesis of 1,4-dihydropyridocoumarin derivatives 176, via the multi-component reaction of 4-hydroxycoumarin, aromatic aldehydes and ammonia, in the presence of a clay magnetic nanocatalyst [(NiFe2O4@Cu)SO2(MMT)] resulted from the reaction of sulfonated montmorillonite SO2(MMT) with copper immobilized nickel ferrite (NiFe2O4@Cu) [142]. The activated with clay nanocatalyst benzaldehyde A reacted in a Knoevenagel reaction with 120a to the benzylidene adduct B, which reacted with ammonia to give the imine C. This by activation with clay reacted with a second molecule of 120a and furnished the Michael adduct D. Tautomerization of the latter led to the enamine E, which under cyclization resulted in the final product 176a (Scheme 57).
Scheme 57.
Hantzsch synthesis of 1,4-dihydropyridocoumarins via multi-component reaction catalyzed by the clay magnetic nanocatalyst [(NiFe2O4@Cu)SO2(MMT)].
The same research group reported, in 2019, the use of another magnetic nanocatalyst, the sulfonated Ni-nanocatalyst NiFe2O4SiO2@SO3H, for the Hantsch synthesis of the same 1,4-dihydropyridocoumarins 176 (Scheme 58) [143]. A similar mechanism such as Scheme 53 was proposed under activation with the sulfonated Ni-nanocatalyst.
Scheme 58.
Hantsch synthesis of the 1,4-dihydropyridocoumarins 176 catalyzed by the sulfonated Ni-nanocatalyst NiFe2O4SiO2@SO3H.
Recently, Ghosh and coworkers utilized graphene oxide (GO) as a catalyst for the one-pot three component synthesis of chromeno [4,3-b]quinoline-6-one derivatives 183, 185 from 4-hydroxycoumarin (120a), aldehydes and anilines under solvent-free conditions [144]. GO could be recovered and reused up to five runs without losing the catalytic activity. In the proposed mechanism, the condensation of the activated benzaldehyde A with 4-hydroxycoumarin (120a) furnished after dehydration the unstable adduct C, which underwent nucleophilic attack from p-toluidine (181b) to give intermediate D (Scheme 59). After cyclization to E and dehydration, the intermediate F oxidized in the presence of GO and finally resulted in 9-methyl-7-phenyl-6H-chromeno [4,3-b]quinoline-6-one (183o).
Scheme 59.
Synthesis of chromeno [4,3-b]quinoline-6-one derivatives 183, 185 via three-component reaction catalyzed by graphene oxide.
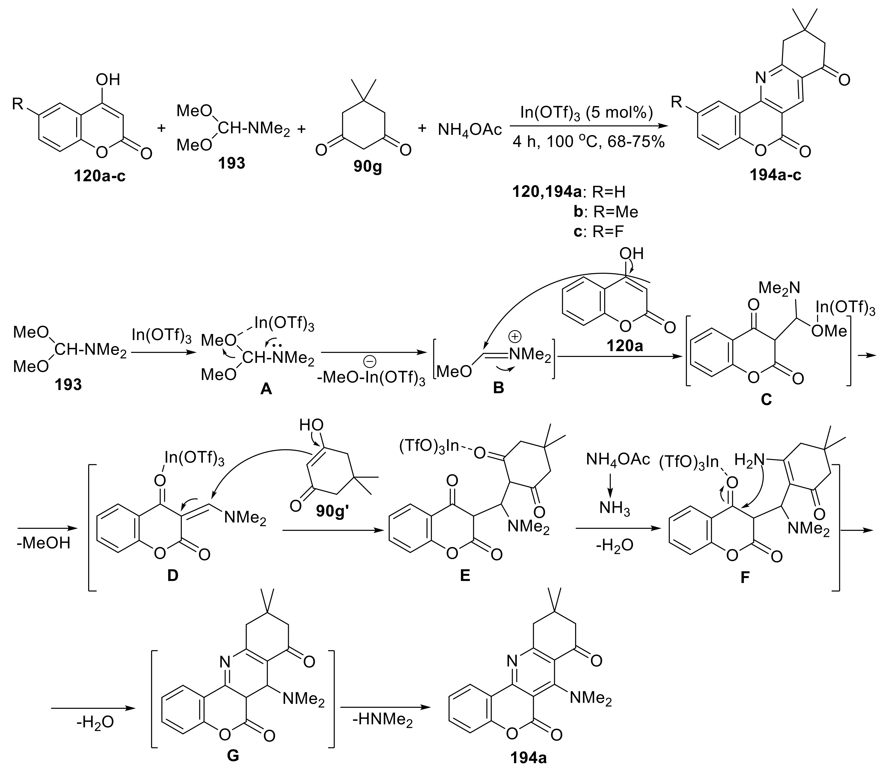
The same year, Lee and coworkers reported the synthesis, between other fused pyridine derivatives, of pyrido [3,2-c]coumarin derivatives 194a–c via the one-pot multi-component reaction of 4-hydroxycoumarin (120a), N,N-dimethylformamide dimethyl acetal, dimedone and ammonium acetate catalyzed by In(OTf)3 under solvent-free conditions [145]. The derivatives were tested for their photophysical properties as photoluminescent probes. 4-Hydroxycoumarin (120a) attacked the iminium ion B generated from 193 under In(OTf)3 catalysis (Scheme 60). Elimination of methanol from the intermediate C formed led to the intermediate D, which was isolated by the authors in the control experiment. Nucleophilic addition of the enol 90g′ gave Michael’s reaction adduct E. The latter reacted with ammonia, generated from ammonium acetate, to afford intermediate F. Intramolecular condensation furnished the dihydro-intermediate G. Elimination of dimethylamine resulted in the final product 194a.
Scheme 60.
Synthesis of pyrido [3,2-c]coumarin derivatives via one-pot multi-component reaction catalyzed by In(OTf)3.
In 2003, Guillaumet and coworkers synthesized pyrido [2,3-c] and pyrido [3,2-c]coumarins by the reactions of 3-hydroxycoumarins 195a–e or 4-hydroxycoumarin (120a) with β-aminoketones 196a–f, having the carbonyl group protected [146]. Condensation of 195a with the amine 196a in the presence of catalytic amount of camphorsulfonic acis (CSA) in toluene under reflux and Dean–Stark apparatus gave the intermediate A (Scheme 61). Cyclization in the presence of BF3 etherate under reflux led to intermediate B, which under disproportionation resulted in a mixture of 197a/198a (56:44). The similar reactions of 120a with 196a,b,f afforded the pyrido [3,2-c]coumarins 199a–c. When 198a was treated with DDQ, this furnished pyrido [2,3-c]coumarin (197a). When the reactions of 195a with protected aminoketones, 196a,b,d, were treated in the third step with NaBH3CN, the tetrahydopyrido [2,3-c]coumarins 198a–c were isolated.
Scheme 61.
Synthesis of pyrido [2,3-c] and pyrido [3,2-c]coumarin derivatives.
Synthesis with Krohnke’s-Type Reaction
Krohnke’s reaction is the reaction of α-pyridinium methyl ketone salts with α,β-unsaturated ketones in the presence of ammonium acetate in acetic acid for the synthesis of substituted pyridines [147,148,149]. 1,3-Dicarbonyl compounds are used also in place of pyridinium salts for the synthesis of pyridines under these reactions [149].
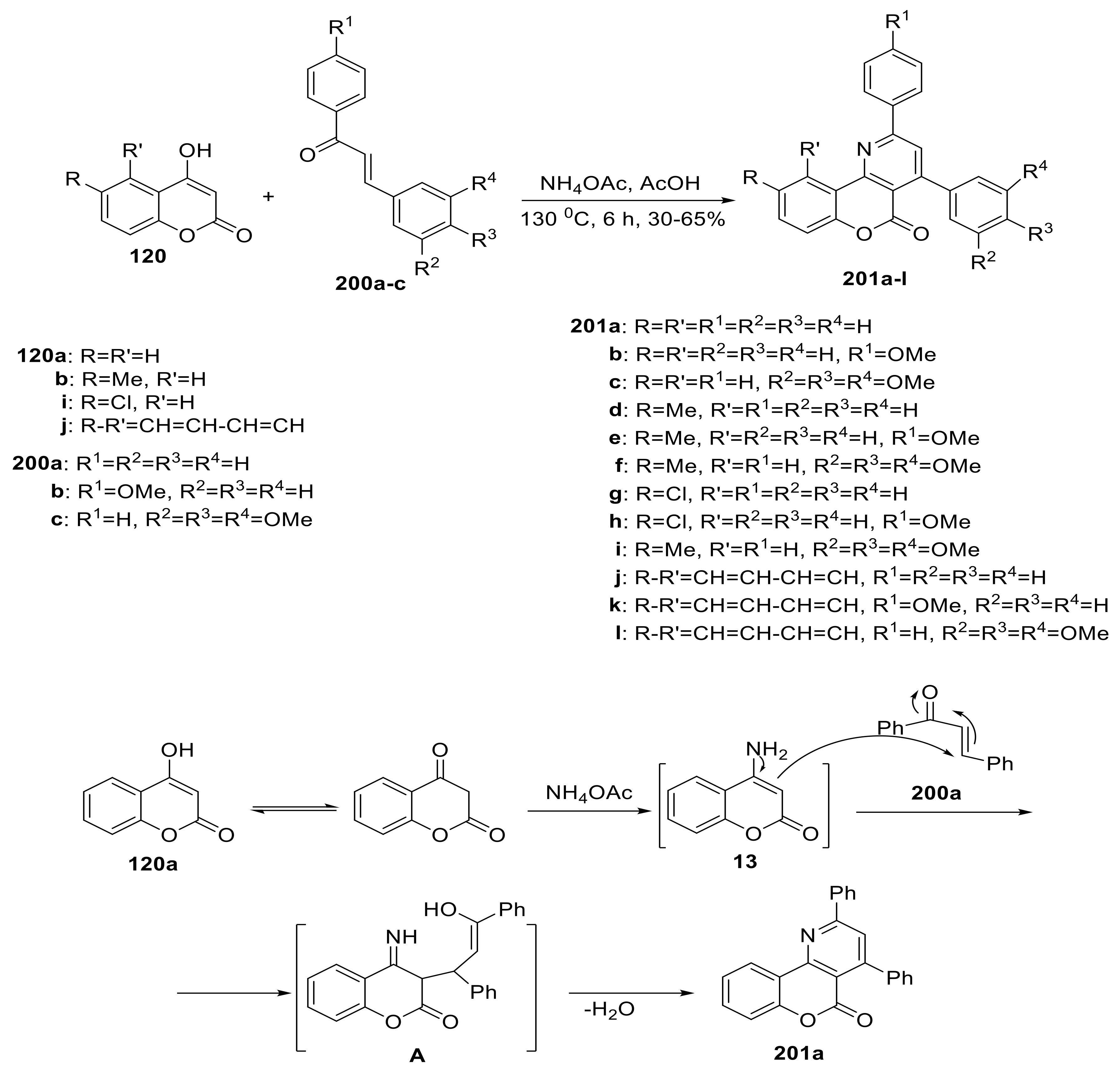
Application of Krohnke’s reaction in the case of 4-hydroxycoumarins 120 as a one-pot reaction with chalcones 200 and ammonium acetate resulted in the fused pyrido [3,2-c]coumarins 201 [150]. In this reaction, the enamine 13, in situ formed from 120a and ammonium acetate, added in a Michael reaction to the chalcone 200a and gave the intermediate A (Scheme 62). Tautomerization of the latter, dehydration and aromatization furnished the final product 201a.
Scheme 62.
Synthesis of diaryl pyrido [3,2-c]coumarins 201 by the Krohnke’s reaction of 4-hydroxycoumarins with chalcones.
In 2010, Dawane, Konda and coworkers reported an analogous Krohnke’s reaction of 4-hydroxy-7-methylcoumarin (120j) with chalcones 202, containing a pyrazole moiety, in poly(ethylene glycol) (PEG-400) in the presence of ammonium acetate for the synthesis of the pyrido [3,2-c]coumarins 203 (Scheme 63) [45]. The proposed mechanism for this reaction was the same as that presented in Scheme 62. The synthesized derivatives were evaluated for their antimicrobial properties. The antibacterial activity was checked against bacteria Escherichia coli, Salmonella typhi, Staphylococcus aureus and Bacillus subtilis. Salmonella typhimurium, Antifungal activity was tested against Aspergillus niger, Aspergillus flavus, Penicillium chrysogenum, and Fusarium moniliforme. Compounds 203b, 203d–f, 203h, 203j, 203l showed good antibacterial activity against one or more bacteria. Most of the compounds presented inhibitory effect against fungi.
Scheme 63.
Synthesis of aryl, pyrazolyl pyrido [3,2-c]coumarins 203 by the Krohnke’s reaction of 4-hydroxycoumarins with chalcones.
In 2011, Brahmbhadtt and coworkers applied Krohnke’s reaction, changing the chalcone to 2-arylidene tetralones 204a–c, and synthesized the fused aza-phenanthrocoumarins 205a–l [151]. According to the proposed mechanism, the anion A formed from 4-hydroxycoumarin (120a) and ammonium acetate reacted with 204a in a Michael addition to give intermediate B (Scheme 64). Addition of ammonia furnished the adduct C, which cyclized to D, through the addition of amine-group to the coumarin carbonyl. Dehydration led to the 1,4-dihydro intermediate E. Oxidation of the latter resulted in the final product 205a. Recently, the same group demonstrated the crystal structure of compound 205a [152]. All the compounds were tested for their antibacterial activity against Escherichia coli (gram − ve bacteria) and Bacillus subtilis (gram + ve bacteria) and antifungal activity against Candida albicans (Fungi). Compounds 205i–l, with chlorine atom in coumarin moiety, showed better activity against E. coli and B. subtilis. All the compounds presented moderate activity against fungi C. albicans, except compound 205e with poor activity and 205b with no activity.
Scheme 64.
Synthesis of fused aza-phenanthrocoumarins 205a–l via a Krohnke’s reaction.
In 2014, Yin and coworkers demonstrated the one-pot synthesis of pentacycle coumarin derivatives 207a–k from the multi-component reaction of 4-hydroxycoumarin (120a), 2-hydroxychalcones 206a–k and aqueous ammonia in refluxing n-propanol under catalyst-free conditions [153]. In the proposed mechanism, the intermediate A was formed by a Michael reaction of 120a to the chalcone 206a (Scheme 65). Amination with ammonia furnished the intermediate B, which through the tautomer C cyclized to dihydropyridocoumarin D under elimination of water. Intramolecular addition of a hydroxyl group to the imino moiety resulted in the final pentacycle product 207a.
Scheme 65.
Synthesis of pentacycle coumarin derivatives 207a–k by a catalyst-free three-component reaction.
In 2019, Giri and Brahmbhadtt synthesized bipyridyl-fused coumarins 209a–l by the Krohnke’ reaction of 4-hydroxycoumarins 120 with chalcones 208a–c and ammonium acetate in glacial acetic acid [154]. In the proposed plausible mechanism, the intermediate B was formed by the Michael reaction of carbanion A to the chalcone 208a. Addition of ammonia to the 4-carbonyl of coumarin (Scheme 66), and not to the benzoyl carbonyl as in Scheme 62, gave the intermediate C, which cyclized to D upon nucleophilic addition of amine to the benzoyl carbonyl. Dehydration of the latter gave 1,4-dihydropyridocoumarin E, which by oxidation resulted in the final product 209a. The synthesized compounds were tested for their antimicrobial activity against gram-positive bacteria (Bacillus subtilis and Staphylococcus aureus) and gram-negative bacteria (Escherichia coli and Salmonella typhimurium) and antifungal activity against Aspergillus niger and Candida albicans. Compounds 209c, 209f, 209i exhibited the better antimicrobial activity.
Scheme 66.
Synthesis of bipyridyl-fused coumarins 209a–l by the Krohnke’ reaction.
2.1.3. Synthesis from Various Coumarin Derivatives
In 1994, Heber and Berghaus reported the synthesis of pyridocoumarins 212a–c by the treatment of 4-aminocoumarin derivatives 210a–c with a mixture of DMF and phosphorus oxychloride under Vilsmeier conditions [74]. Reduction of 212b,c with sodium cyanoborohydride resulted in azacannabinoids 213b,c (Scheme 67).
Scheme 67.
Synthesis of pyridocoumarins 212a–c and azacannabinoides 213b,c.
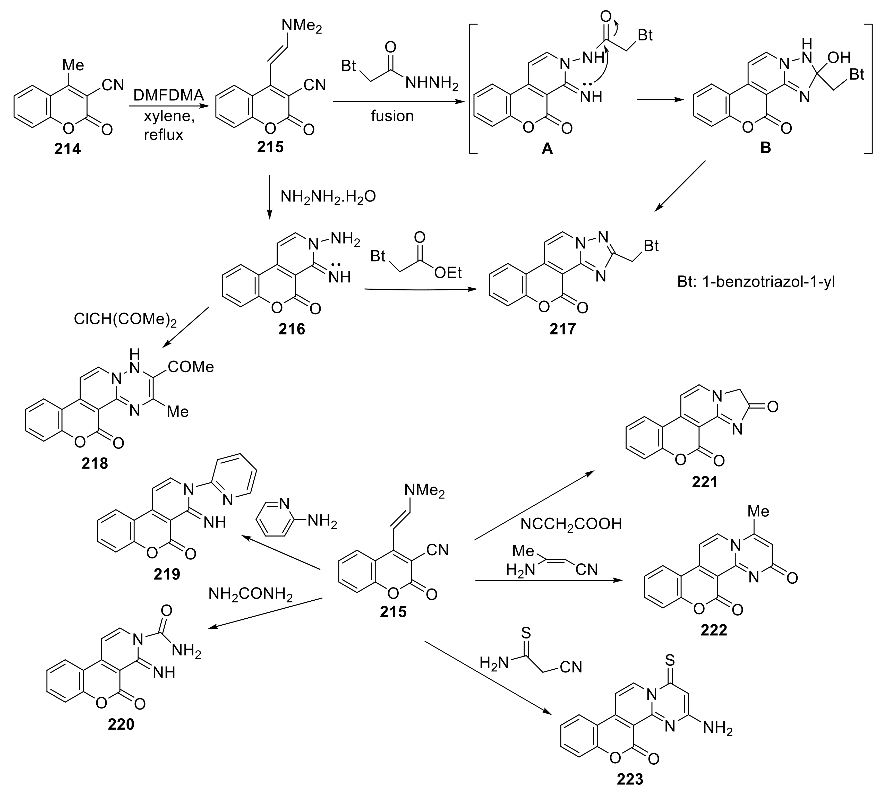
In 2003, Al-Omran et al., synthesized coumarin derivative 215 by the reaction of 3-cyano-4-methylcoumarin (214) with dimethylformamide dimethylacetal (DMFDMA) under reflux in xylene [155]. Coumarin derivative 215 reacted with benzotriazole-1-ylacetic acid hydrazide under fusion to give the triazolo-fused pyridocoumarin 217 through the intermediates A and B (Scheme 68). The reaction of 215 with hydrazine hydrate resulted in N-aminopyridine derivative 216. Treatment of 216 with chloroacetylacetone led to pyridotriazine derivative 218. The reaction of 215 with 2-aminopyridine, urea, glycine, 2-aminocrotonitrile or cyanothioacetamide resulted in the pyridocoumarin derivatives 219–223. The compounds were tested for their antifungal activity against Aspergillus niger and for their antibacterial activity against Escherichia coli, Staphylococcus aureus and Bacillus subtilis. Most of the products showed antibacterial and fungicidal activities.
Scheme 68.
Synthesis of fused pyridocoumarins 216–223.
In 2005, Ismail and Noaman synthesized the chromeno [3,4-c]pyridone 226 by the treatment of 3-carboxamidocoumarin 225 with malonitrile (91) in the presence of ammonium acetate in refluxing ethanol [156]. Coumarin derivative 225 was obtained by the Perkin reaction of 2-ethyl cyanoacetanilide (224) with salicylaldehyde (51w) in acetic anhydride and sodium acetate under reflux (Scheme 69). The compound 226 was tested for antifibrotic activity, but it showed high fibrotic potential.
Scheme 69.
Synthesis of chromeno [3,4-c]pyridone 226.
The same year, Sun and coworkers isolated, in a three-step procedure, the angularly-fused benzofuropyridinocoumarins 230 in 70–80% yield by refluxing of 2′-cyano-4-phenoxycoumarins 229 with excess of orthoesters [157]. The reaction proceeded through the imine A (Scheme 70). The products 230a–g were tested for their anti-inflammatory, analgesic and anti-microbial activities. Compounds 230b and 230f showed significant inhibition of inflammation (78–97%), whereas compounds 230a, 230b, 230f, 230g presented interesting analgesic activity (one-third of the protection caused by acetylsalicylic acid). Compound 230f was the most promising.
Scheme 70.
Synthesis of angularly-fused benzofuropyridinocoumarins 230.
In 2008, Glasnov and Ivanov synthesized dimethyl and diethyl 5-oxo-1,2-dihydro-5H-chromeno [4,3-b]pyridine-2,3-carboxylates 233a–n by the reaction of 4-amino-3-formylcoumarins 231a–g with acetylenedicarboxylates 232 and 83 in the presence of triphenylphosphine [158]. The final products were formed by an intramolecular Wittig reaction of the intermediate A (Scheme 71).
Scheme 71.
Synthesis of dimethyl and diethyl 5-oxo-1,2-dihydro-5H-chromeno [4,3-b]pyridine-2,3-carboxylates 233a–n.
The same year, Majumdar et al., reported the synthesis of 6a,7,8,12b-tetrahydro-6H-chromeno [3,4-c]quinolin-6-ones 237a–f from 3-(2-bromoanilinomethyl)coumarins 236a–f [159]. The latter were prepared by the reaction of 2-bromoanilines 235a–f with 3-chloromethylcoumarin (234). The formation of products 237 could be explained by the generation of aryl radical A, which by a 6-endo trig cyclization produce the radical B, stabilized by the adjacent carbonyl (Scheme 72). Protonation of B led to the final compound 237.
Scheme 72.
Synthesis of 6a,7,8,12b-tetrahydro-6H-chromeno [3,4-c]quinolin-6-ones 237a–f.
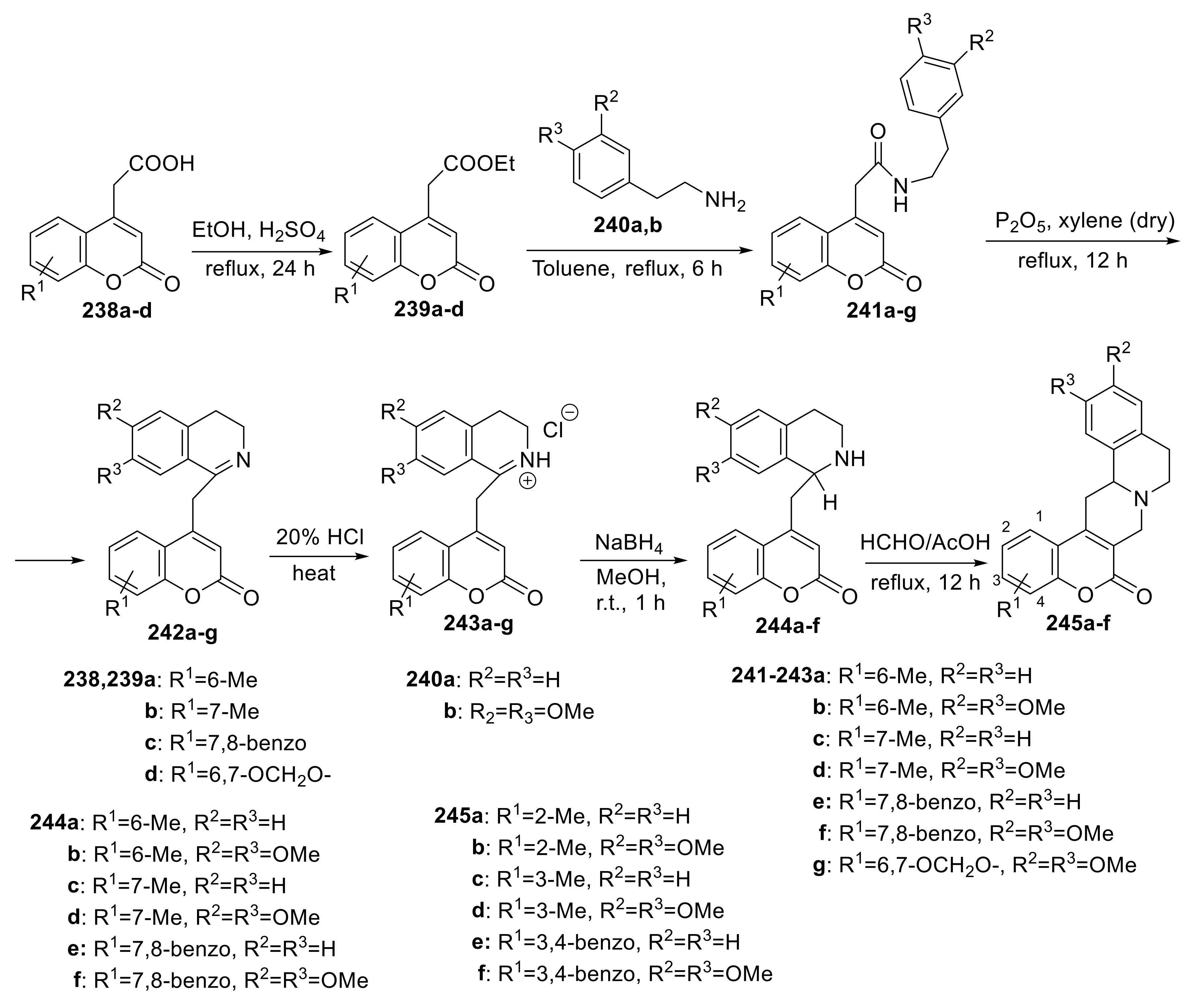
In 2010, Kulkarni and coworkers synthesized the coumarin analogues of protoberberine alkaloids 245a–f by a Mannich reaction of 1,2,3,4-tetrahydroisoquinoline derivatives of coumarin 244a–f [160]. Compounds 244 were obtained by the reduction of hydrochloric acid salts 243 with NaBH4. A Bischler–Napieralski reaction of amides 241 had furnished dihydroisoquinoline derivatives 242 (Scheme 73). Compounds 244 and 245 were tested for their antibacterial activity. Compounds 244e,f and 245e,f presented selectivity towards gram-positive bacteria Staphylococcus aureus and Aspergillus niger.
Scheme 73.
Synthesis of 1,2,3,4-tetrahydroisoquinolinocoumarin derivatives 244a–f and protoberberines 245a–f.
In 2012, Ghorab and coworkers reported the synthesis of benzo-fused chromeno [3,4-c]pyridone 248 by the treatment of 3-carboxamidocoumarin derivative 247 with malonitrile (91) [161] following the above presented similar work [99]. A Perkin reaction of 3-ethyl cyanoacetanilide (246) with 2-hydroxy-1-naphthaldehyde furnished the coumarin derivative 247 (Scheme 74). Compound 248 presented low anticancer activity (IC50 = 245.7 μM) against Ehrlich Ascites carcinoma (EAC).
Scheme 74.
Synthesis of benzo-fused chromeno [3,4-c]pyridone 248.
In 2017, Shi and coworkers utilized silica sulfuric acid (SSA) as a catalyst to synthesize the coumarin derivatives 250a–g with hetero [5]helicene-like conformation [162]. This synthesis was achieved by the reaction of 3-ketobenzo[f]coumarin derivatives 249a–e with aminopyrazoles 187 in the presence of DDQ in DMF under microwave irradiation (Scheme 75).
Scheme 75.
Synthesis of hetero [5]helicene-like coumarin derivatives 250a–g.
In 2018, Borah synthesized the fused 1,2,3,4-tetrahydropyridocoumarin derivatives 255a–d using the hetero Diels–Alder strategy [163]. The hetero Diels–Alder reaction of the Knoevenagel condensation adducts 254a–d under reflux resulted in the final products 255a–d. Compounds 254a–d were achieved from the reaction of 3-allylamino-3-formyl coumarins 253a,b with N,N-dimethylbarbituric acid (90a) and barbituric acid (90b) in the presence of piperidine as a base (Scheme 76). The 3-allylamino-3-formylcoumarins 253a,b were prepared from the reaction of 4-chloro-3-formylcoumarin (251a) with allylamines 252a,b.
Scheme 76.
Synthesis of fused 1,2,3,4-tetrahydropyridocoumarin derivatives 255a–d using the hetero Diels–Alder reaction.
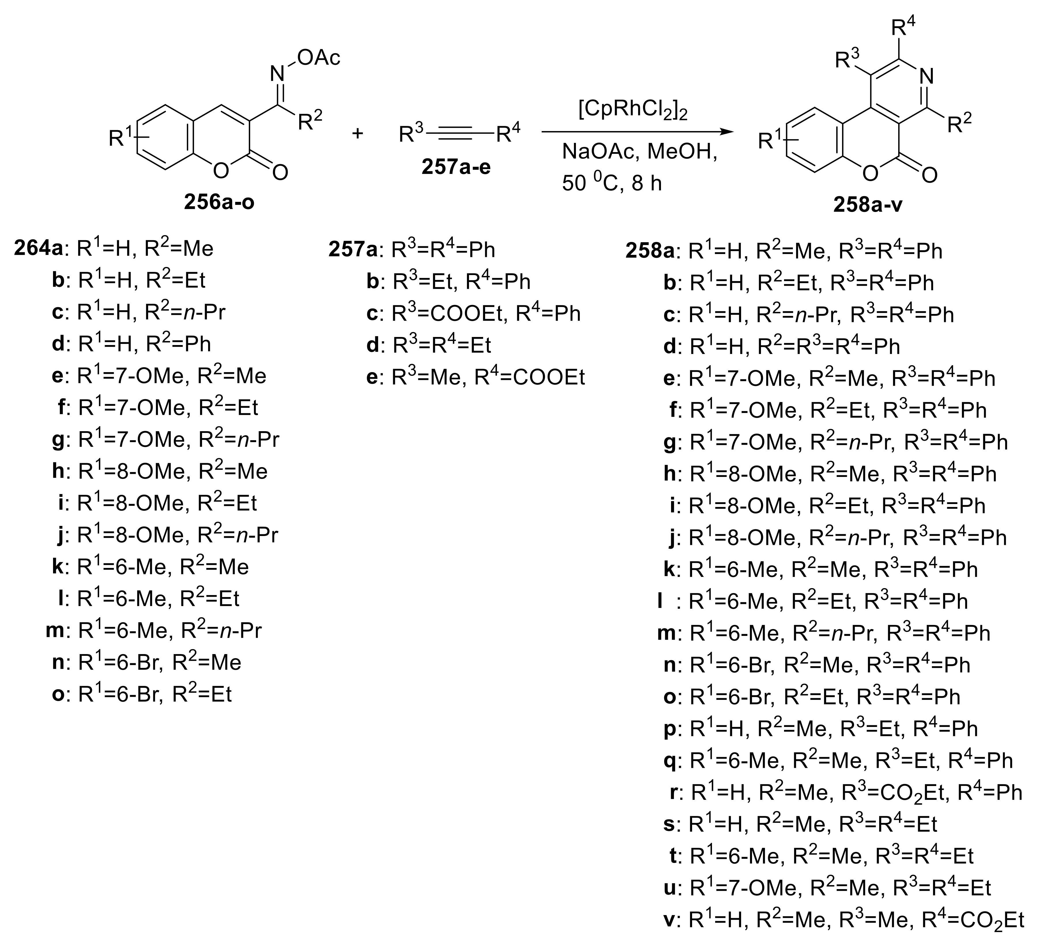
In a Chinese patent of 2019 [164], Li, Yang and Chen referred the synthesis of pyrido [3,4-c]coumarins 258a–v by the Diels–Alder reaction of 3-acetoxyiminocoumarins 256a–o with intermediate alkynes 257a–e in the presence of dichloro(pentamethylcyclopentadienyl)rhodium(III) dimer as a catalyst (2.5 mol%) (Scheme 77).
Scheme 77.
Synthesis of pyrido [3,4-c]coumarins 258a–v.
In 2020, Vala and coworkers performed the reaction of 3-ethylaminomethyl-4-hydroxycoumarins 259a–d with aroylmethyl pyridinium salts 261a–d in the presence of ammonium acetate and acetic acid and synthesized the 2-arylpyrido [3,2-c]coumarins 262a–p [165]. Compounds 259 were prepared by a Mannich reaction of 4-hydroxycoumarins 120 with formaldehyde and ethylamine, while the pyridinium salts 261 were obtained by treating phenacyl bromides 260 with pyridine (Scheme 78).
Scheme 78.
Synthesis of 2-arylpyrido [3,2-c]coumarins 262a–p.
In 2013, Brahmbhatt and coworkers utilized, also, the 3-ethylaminomethyl-4-hydroxycoumarins 259a–d to synthesize in moderate yields 2-(2-oxo-2H-chromen-3-yl)-5H-chromeno [4,3-b]pyridin-5-ones 264a–l through the reaction with the pyridinium salts 263a–c, in the presence of ammonium acetate and acetic acid [43]. For the reaction pathway, decomposition of 259a resulted in the intermediate coumarin methide A, which then reacted with 263a in the presence of NH4OAc and AcOH to give the 1,5-dicarbonyl intermediate B. The latter was converted to the final product 264a via a Krohnke’s-type reaction (Scheme 79). The new compounds 264a–l were tested for their antibacterial activity and presented potent inhibitory activity against gram-positive bacteria, Bacillus subtilis and Staphylococcus aureus. They showed also appreciable activity against gram-negative bacteria, Escherichia coli and Salmonella typhimurium, as well as antifungal activity against Aspergillus niger and Candida albicans. Compounds 264e, 264f, 264i, 264k, 264l were found to be the more proficient.
Scheme 79.
Synthesis of 2-(2-oxo-2H-chromen-3-yl)-5H-chromeno [4,3-b]70yridine-5-ones 264a–l by two methods.
In the same presentation, Brahmbhatt and coworkers used another route for the synthesis of compounds 264a–l with the 4-chloro-3-formylcoumarins 251a–d and pyridinium salts 263a–c as starting materials [43]. The reaction of 251a and 263a resulted in the intermediate C, which then was converted to the final product 264a (Scheme 79).
The 4-chloro-3-formylcoumarins 251, used in the above reactions, are very versatile tools for the synthesis of fused pyridocoumarins [67]. In 1995, Heber et al., synthesized 3-substituted [1]benzopyrano [4,3-b]pyridine-5-ones 28j–l from the treatment of 4-alkylamino-3-alkenylcoumarins 268a–k under Vilsmeier conditions [166]. This reaction proceeded probably via the intermediate dimethyliminium salt 269, followed by a nucleophilic attack of chloride anion to the N-alkyl moiety with subsequent electrocyclization and elimination of alkyl chloride and dimethylamine (Scheme 80). Compounds 268a–k were obtained by the conjugated addition–elimination reaction of 3-alkenyl-4-chlorocoumarins 266a–d with alkylamines 267a–h. The coumarin derivatives 266a–d were prepared by the Wittig reaction of 251a with the ylides 265a–d.
Scheme 80.
Synthesis of 3-substituted [1]benzopyrano [4,3-b]pyridine-5-ones 28j–l.
In 2006, Wu et al., reported that the reaction of 4-chloro-3-formylcoumarin 251 with aryl isocyanides 270a–c led to the synthesis of chromeno [4,3-b]quinolin-6-ones 170, 172 [167]. A possible mechanistic pathway was proposed according to Scheme 81. The amine B was formed from the addition of methanol to isocyanide 270. 1,4-Addition of B to 251, followed by elimination of the chloride anion, gave the intermediate C (Scheme 81). After cyclization through attack to aldehyde moiety the intermediate D was formed, which led to the alcohol derivative E. Elimination of water resulted in the products 170, 172. In the case of 4-diethylaminophenyl isocyanide (270c) the dihydro derivatives 271a,b were isolated possibly via 1,3-H shift from the intermediate E.
Scheme 81.
Synthesis of chromeno [4,3-b]quinolin-6-ones 170, 172 from the reaction of 4-chloro-3-formylcoumarin 251 with aryl isocyanides 270a–c.
In 2011, Gopikrishna and coworkers reported the synthesis of fused chromeno [4,3-b]quinolin-6-ones 170, 172 by the one-pot reaction of anilines 181 with 4-chloro-3-formylcoumarin (251a) [168]. In the plausible proposed mechanism, the nucleophilic addition of aniline (181a), followed by elimination of chlorine, furnished N-aryl intermediate A (Scheme 82). Activation of the formyl group with the in-situ generated HCl gave through the B the cyclization intermediate C. Elimination of water from the isomerization intermediate D led to the final product 170a.
Scheme 82.
Synthesis of chromeno [4,3-b]quinolin-6-ones by the one-pot reaction of anilines 181 with 4-chloro-3-formylcoumarin (251a).
One year later, Pal and coworkers performed an analogous reaction preparing the 6H-1-benzopyrano[[4,3-b]quinolin-6-ones 170, 172 by sonication in methanol (Scheme 83). Compounds 170, 172 were tested for their antiproliferative properties against human chronic myeloid leukemia cells, human colon carcinoma cells, breast cancer cells and human neuroblastoma cells, and some of them were found to be active [48].
Scheme 83.
Preparation of 6H-1-benzopyrano[[4,3-b]quinolin-6-ones 170, 172 by sonication.
The same year, Bhuyan and coworkers prepared the tetrazole-fused pyrido [3,2-c]coumarin derivatives 273a–j by the one-pot three-component reaction via the intramolecular 1,3-cycloaddition reaction of azides to nitriles [169]. The intermediate azides B was obtained by the reaction of sodium azide with 3-alkenyl-4-chlorocoumarin A (Scheme 84). The reaction of 4-chloro-3-formylcoumarin (251a) with the nitriles 91, 271a–i led to the intermediates A.
Scheme 84.
Synthesis of tetrazole fused pyrido [3,2-c]coumarin derivatives 273a–j.
In 2018, El-Agrody and coworkers synthesized derivatives containing indole fused with coumarin moiety such as 275 and 276 (Scheme 85). The reaction of 251a with 5-aminoindole (274) in the presence of Et3N under heating resulted in the synthesis of chromeno [4,3-b]pyrrolo [3,2-f]quinoline-12(3H)-one (275). The three-component reaction of 274 with 4-hydroxycoumarin (120a) and m-nitrobenzaldehyde (78k) in the presence of N-chlorosuccinimide under microwave irradiation led to 13-(3-nitrophenyl)-6,13-dihydrochromeno [4,3-b]pyrrolo [3,2-f]quinoline-12(3H)-one (276). The synthesized compounds were screened for their cytotoxic activity against the human cervix carcinoma cell line (KB-3-1) [170]. Compound 276 presented higher potent activity (IC50 = 7.9 μM) in comparison to the positive control compound (+)-Griseofulvin (IC50 = 19.2 μM).
Scheme 85.
Synthesis of fused coumarin derivatives containing indole and pyridine moieties.
The same year, Kolita and Bhuyan demonstrated the synthesis of pyrido [3,2-c]coumarins 262, or 92k, 277a,b or 279a–c from the reaction of 4-chloro-3-formylcoumarin (251a) with aryl methyl ketones 87 or ethyl acetoacetate (90k) or ethyl cyanoacetate (272b), respectively, in the presence of NH4OAc under microwave irradiation and solvent-free conditions [171]. An aldol condensation between 251a and 87a possibly occurred to give the intermediate A. The latter in the presence of NH4OAc furnished the 4-aminocoumarin intermediate B (path A) or the imine intermediate C (path B). Intramolecular condensation of B or intramolecular N-substitution of C led to the pyrido [3,2-c]coumarin 262a (Scheme 86). In the case of ethyl acetoacetate (90k), a Knoevenagel condensation to intermediate D followed by a condensation of amine group with carbonyl resulted in the final products 92k or 277a,b. When ethyl cyanoacetate (272b) was used, a condensation intermediate E again might have been formed. Addition of amide to cyanide group of E afforded via cyclization the products 278a–c. There was evidence from the H1-NMR for the imine tautomeric form of those compounds and not for the amine tautomers 279a–c.
Scheme 86.
Synthesis of pyrido [3,2-c]coumarins under microwave irradiation and solvent-free conditions.
In 2011, Iarosenko, Langer and coworkers used an analogue of 251a, the 3-acyl-4-chlorocoumarins 280a,b, for the synthesis of 3,4-fused pyridocoumarins 283a–c, 285a,b, 287a–l, 289, 290 by cyclocondensation with electron-rich aminoheterocycles [172]. The reactions of amines 281a,b, 284a,b, 286a–g, 288 resulted in fused pyrido [2,3-c]coumarin derivatives via an attack of the internal enamine β-carbon of A for the formation of intermediate B (Scheme 87). Intramolecular attack of amine to the carbonyl of B led, under cyclization, to C and elimination of water to the final products. In the case of 5-amino-3-methyl-1-phenylpyrazole (187a), the regio-isomer of the fused pyrido [3,2-c]coumarin derivative 290 was synthesized probably due to the more aromatic character of amine.
Scheme 87.
Synthesis of 3,4-fused pyridocoumarins 283a–c, 285a,b, 287a–l, 289, 290.
Earlier in 2004, Trimarco and coworkers utilized another 3-formylcoumarin derivative, the 4-azido-3-formylcoumarin (291), for the synthesis of fused pyrido [3,2-c]coumarin derivatives 294a–f [173]. The reaction of 291 with the enamines 292a–f resulted in the amidines 293a–f via the 1,3-cycloaddition intermediate A (Scheme 88). The amidines, by treating with catalytic amount of MeONa in refluxing MeOH, led to the final products 294a–f. The intermediates 295e,f (30%) were isolated in 2 h in the case of 293e,f, along with the hydrolysis adduct, 4-amino-3-formylcoumarin (231a) (35%) and then refluxed for an additional time of 2 h to give 294e,f.
Scheme 88.
Synthesis of fused pyrido [3,2-c]coumarin derivatives 294a–f from 4-azido-3-formylcoumarin (291).
2.2. Pyranone Ring Formation
The formation of a pyranone ring could be obtained using the cyclization of suitable aryl-substituted pyridine or piperidine derivatives. Phenol derivatives, also, as well as salicylaldehydes could be the starting material, resulting in the construction of the pyranone ring.
2.2.1. Synthesis from Pyridine or Piperidine Derivatives
Khan et al., isolated the pyrido [3,4-c]coumarin 297 via the cyclization of the chloride of 4-(o-methoxyphenyl)lutidine-3-carboxylic acid sulfate 296 with aluminum chloride in nitrobenzene at 50 °C for 2 h [174], in an attempt to prepare 2-azafluorenone derivatives. The intermediate chloride was prepared by refluxing 296 in thionyl chloride for 10 min (Scheme 89).
Scheme 89.
Synthesis of pyrido [3,4-c]coumarin 297 by the formation of pyranone ring.
An analogous starting material, the 3,5-dicyano-4-(o-methoxyphenyl) pyridines 298a–c, were used by Courts and Petrow for the synthesis of pyrido [3,4-c]coumarin 299a–c [175]. The cyclization was performed by refluxing in hydrobromic acid for 2 h via the intermediate imine A (Scheme 90).
Scheme 90.
Synthesis of pyrido [3,4-c]coumarin 299a–c by the cyclization of 3,5-dicyano-4-(o-methoxyphenyl)pyridines 298a–c.
Gorlinger and coworkers, in 2006, utilized the pyridine derivative 300 to synthesize the pyrido [3,4-c]coumarin 302 by the reaction with novaldiamine (301) (Scheme 91). These compounds together with other prepared were tested for in vitro antimalarial activity against Plasmodium falciparum strain Dd2 and 3D7 [50]. Compounds 302 and 303 presented quite good activity with IC50 = 1.1 μM, 3.4 μM and 6.2 μM, 7.0 μM, respectively.
Scheme 91.
Synthesis of pyrido [3,4-c]coumarin derivative 302.
In 2007, Kelly and coworkers synthesized the natural product santiagonamine (315) using the pyridine derivative 304 (prepared from pyridine-3-carboxylic acid) as starting material, and benzaldehyde derivatives 305 or 307 (prepared from isovanillin) via a Pd-catalyzed Ullmann cross-coupling reaction [57]. After deprotection of 306, Wittig reaction of 308 to 309, bromination to 310, cyclization in the presence of TFA to the pyrido [2,3-c]coumarin 311, the 312 was obtained by photocyclization. Stille reaction of 312 with allyl tributyltin gave the allyl derivative 313. Transformation of the latter with OsO4 and sodium periodate afforded aldehyde 314, which under reductive amination with dimethylamine led to santiagonamine (315) (Scheme 92). This was the first total synthesis of santiagonamine in 12 steps from isovanillin and 2.6% overall yield.
Scheme 92.
Synthesis of santiagonamine (315).
In 1966, Pars et al., synthesized the nitrogen analogs of tetrahydrocannabinol 319 [176]. The Pechmann-type reaction of olivetol (316) with 4-carbethoxy-N-methyl-piperid-3-one hydrochloride (317) in the presence of concentrated sulfuric acid and phosphorus oxychloride resulted in the tetrahydropyrido [4,5-c]coumarin 318 (Scheme 93). Treatment of the latter with MeMgI in anisole led to 319.
Scheme 93.
Synthesis of tetrahydrocannabinol analog 319.
Mandal et al., used the piperidin-4-one derivatives 320 for the synthesis of fused tetrahydropyrido [3,4-c]coumarin derivatives 322a–c and 324a–d in order to study their fungicidal activity against Xanthomonas malvacearum, Fusarium maniliform, Rhizoctonia solanis, Powdery mildew of cucumber, Phytopthora infection of tomatoes and grey mold of beans [177]. The Pechmann reaction of 320 with m-cresol (321) or a-naphthol (323) led to the fused coumarin derivatives 322a and 324a, respectively (Scheme 94). Methylation of them with Me2SO4 or MeI resulted in the N-methyl derivatives 322b or 324b, while N-acylation with acetic anhydride or propionic anhydride gave N-acyl derivatives 322c or 324c,d, respectively. Tetrahydrobenzopyridicoumarins 324 presented higher fungicidal activity than compounds 322. The substituents in the amine group led to a lowering of the fungicidal action in green plants.
Scheme 94.
Synthesis of fused tetrahydropyrido [3,4-c]coumarin 322a–c and 324a–d from the piperidin-4-one derivatives 320.
The phenols A derived after the base-catalyzed rearrangement of 3-carbomethoxy N-(aryloxy) pyridinium tetrafluoroborate 327a,b cyclized spontaneously to the fused pyrido [3,2-c]coumarins 124d,k, according to Abramovitch and coworkers [178]. The N-(aryloxy) pyridinium salts 327a,b were prepared by the reaction of pyridine-N-oxide 325 with the diazonium salts 326a,b in dry acetonitrile (Scheme 95).
Scheme 95.
Synthesis of fused pyrido [3,2-c]coumarins 124d,k from 3-carbomethoxy N-(aryloxy)pyridinium tetrafluoroborate 327a,b.
In 2007, the fused pyrido [3,2-h]coumarin 330 and pyrido [3,2-f]coumarin 332 were prepared by our group from the reaction of triphenylphosphine (329) and DMAD (232) with quinolinol-8 (328) and quinolinol-6 (331), respectively, as starting material [179]. The coumarin skeleton is possibly produced by lactonization of the intermediate D, according to an analogous reaction of phenols by Yavari et al. [180]. Intermediate D was achieved by an 1,2-H shift and elimination of PPh3 from C, which was formed by the reaction of intermediates A and B (Scheme 96).
Scheme 96.
Synthesis of fused pyrido [3,2-h]coumarin 330 and pyrido [3,2-f]coumarin 332 from the reaction of quinolinols with DMAD (232) and PPh3 (329).
2.2.2. Synthesis from Phenol or Salicylaldehyde Derivatives
In 1998, El-Saghier et al. reported the synthesis of dihydro pyrido [3,4-c]coumarin derivatives 335a–d starting from o-hydroxyarylidenemalononitrile 333a,c or o-hydroxyarylidenecyanoester 333b,d and ethyl 2-(4-aminosulfonylcarbanilide)acetate (334) in the presence of piperidine [181]. A transesterification of 334 with phenol followed by addition of the produced carbanion to the vinyl group is probably responsible for the formation of intermediate A. Addition of amine of benzanilide moiety to the cyano group led to the product 335a–d, as referred in the reference (Scheme 97). Possibly, these products are in the tautomeric form of 337a–d, due to the proton peak of the dihydropyridine moiety at 4.50–5.10 ppm. The same products were synthesized, also, by the reaction of coumarin-3-(4-aminosulfonyl) carbanilide (336a) or benzo[f] coumarin-3-(4-aminosulfonyl) carbanilide (336b) with malononitrile (91) or ethyl cyanoacetate (272b). Analogous coumarin derivatives were obtained also in this work from the reaction of 336a,b with some active methylene compounds.
Scheme 97.
Synthesis of dihydro pyrido [3,4-c]coumarin derivatives 335a–d starting from o-hydroxyarylidenemalononitrile 333a,c or o-hydroxyarylidenecyanoester 333b,d.
Hosni et al., synthesized the fused pyrido [3,4-c]coumarins 339a–f with thienyl or furyl substituents and studied their anti-inflammatory and analgesic activity [49]. The stirring of propenones 338–c and malononitrile (91) in alcoholic potassium hydroxide at room temperature resulted in 338a–f via the intermediate A (Scheme 98). The compounds showed moderate potency in anti-inflammatory activity. They exhibited also analgesic activity more than the diclofenac, the standard reference. Compounds 339f and 339e were safer than diclofenac, having higher LD50.
Scheme 98.
Synthesis of fused pyrido [3,4-c]coumarins 338a–f with thienyl or furyl substituents.
Sviripa et al., prepared fused tetrahydropyrido [3,4-c]coumarins, such as 344, 345, 348, 349a,b, 350a–c, 351 via a Pictet–Spengler condensation of 4-(2-aminoethyl)coumarins, such as 343, 347, which have a C-7 activating amino or N,N-dialkylamino group [182]. 4-(2-Aminoethyl)coumarins were prepared from the corresponding phenols by treating with methyl sulfonic acid and methyl ester 341 (Scheme 99). They studied, also, reactions of 343, 347 with 5α-androstane-3-ones. Computational modelling has been used for the new molecules, analogs to 5α-dihydrotestosterone, as a tool to study 17-oxidoreductases for intracrine, androgen metabolism. The mechanism of the Pictet–Spengler reaction is interpreted for the case of cyclohexanone with 347 through the intermediates A, B and C for the synthesis of 349b (Scheme 99).
Scheme 99.
Synthesis of fused tetrahydropyrido [3,4-c]coumarins by a Pictet–Spengler condensation of 4-(2-aminoethyl)coumarins.
In 1969, Sakurai and Midorikawa utilized the condensation of salicylaldehydes with active methylene compounds for the synthesis of fused benzoquinazoline derivatives [183]. In the case of ethyl acetoacetate (90k) they have synthesized the fused pyrido [3,2-c]coumarin 353 from salicylaldehyde (51w) in the presence of ammonium acetate (Scheme 100). Sakurai et al., also, synthesized the pyrido [3,4-c]coumarins 356a–z and 357a–d by the reaction of salicylaldehydes with ethyl cyanoacetate (272b) and aliphatic ketones 355 [184]. Salicylaldehydes and 272b via the condensation intermediate A and the cyclization intermediate B resulted in 3-amidinocoumarin 354, isolated during the heating for several min. When the heating was performed for 0.5–2 h, the reaction led to the final products 356a–z and 357a–d, through condensation with ketones, reaction of methylene group with C-4 of coumarin and subsequent dehydrogenation (Scheme 100).
Scheme 100.
Synthesis of fused pyrido [3,2-c]coumarin 353 and pyrido [3,4-c]coumarins 356a–z and 357a–d.
The same group studied the reaction of salicylaldehydes with ethyl cyanoacetate (272b) in the presence of aldehydes 186 and ammonium acetate to obtain the amino-substituted pyrido [3,4-c]coumarins 358a–j [185]. The reflux in ethanol was for 0.5–1.5 h. 3-Amidinocoumarin 354 was the intermediate for the reaction (Scheme 101).
Scheme 101.
Synthesis of amino-substituted pyrido [3,4-c]coumarins 358a–j.
Sakurai et al., using malononitrile (91) with salicylaldehydes and acetophenones 87 in the presence of ammonium acetate, also synthesized benzopyrido [3,4-c]coumarinimides 360a–e and benzopyranopyridopirimidines 359a–g [186]. The 3-Amidinocoumarinimide (A), analogous to the abovementioned 354, was the proposed intermediate for these reactions (Scheme 102).
Scheme 102.
Synthesis of amino-substituted pyrido [3,4-c]coumarins 362a,b from salicylaldehydes malononitrile and acetophenones.
In 1987, O’Callaghan studied the reaction of salicylaldehydes with alkyl acetoacetate and excess of ammonia in acetic acid at room temperature, which yielded the dihydropyridine derivatives 365a–h and their zwitterions 364a–d. Zwitterions in solution changed slowly to the hydroxy derivatives [187]. Mild oxidation of them with 2 N HNO3 resulted in pyrido [3,2-c]coumarin derivatives 367a–e. The same derivatives were obtained by the reaction of salicylaldehydes with alkyl 3-aminocrotonate (Scheme 103).
Scheme 103.
Synthesis of pyrido [3,2-c]coumarin derivatives 367a–e by mild oxidation of dihydropyridine derivatives 365a–h.
Navarrete-Encina et al., performed, also, the reaction of salicylaldehydes with ethyl 3-aminocrotonate (368a) to get pyrido [3,4-c]coumarin 371a,b or pyrido [5,6-c]coumarin derivatives 372a–l [188]. Using acetic acid in ethanol they obtained dihydropyrido derivatives 370a,b, which upon oxidation with CrO3 led to 371a,b. With glacial acetic acid and heating, they synthesized the pyridocoumarins 372a–l. In the proposed mechanism, a condensation of carbonyl group of salicylaldehyde (51w) with the 3-aminocrotonate 368a gave the intermediate A, which upon cyclization led to coumarin intermediate imine B (Scheme 104). In glacial acetic acid 1,4-addition of amine group of 368a to the coumarin B, followed by intramolecular cyclization of the isomer D of intermediate C to E and elimination of ammonia afforded to the dihydropyridine moiety F. Oxidation of the latter furnished the pyridocoumarin 372a. Upon 1,4-addition of the α-carbon of 3-aminocrotonate to B in acetic acid/ethanol with decreased acidity the intermediate G was formed. Intramolecular cyclization of its isomer H to tetrahydropyridine I, followed by elimination of ammonia from intermediate J, led to dihydropyridocoumarin 370a.
Scheme 104.
Synthesis of pyrido [3,4-c]coumarin 371a,b and pyrido [5,6-c]coumarin derivatives 372a–l from salicylaldehydes and ethyl 3-aminocrotonate (368a).
In 2011, Magedov and coworkers utilized a multi-component reaction of salicylaldehydes with 3-aminopyrazol-5-ones 373a–c and ethyl acetoacetate for the formation of 2,3-dihydrochromeno [4,3-d]pyrazolo [3,4-b]pyridine-1,6-diones 374a–o, in order to study their antibacterial properties [189]. They synthesized, also, fused pyrido [3,4-c]coumarin derivatives 375, 379 and the pyrimidino [3,4-c]coumarin 377 using as heterocyclic amines 3-amino-5-methyl-2-phenylpyrazole (187a), 6-aminouracil (378) and 3-amino [1,2,4]triazole (376), respectively (Scheme 105). In the proposed mechanism, 3-acetylcoumarin (380) was formed in situ from salicylaldehyde and ethyl acetoacetate followed by a condensation with aminopyrazole. The compounds were tested for their antibacterial activity against gram(+)-strains. Compounds 374i and 374o inhibited the growth of Staphylococcus epidermidis with MIC = 6.3 and 25 μM, respectively. Derivative 374i was also active against methicillin-resistant Staphylococcus aureus, inhibiting the growth of this pathogen with MIC = 25 μM.
Scheme 105.
Multicomponent synthesis of 2,3-dihydrochromeno [4,3-d]pyrazolo [3,4-b]pyridine-1,6-diones 374a–o.
Gomha and Riyadh reported analogous reactions of salicylaldehyde (51w) and ethyl acetoacate (90k) with heterocycle amines such as 381a–g, 385a–c and 387a,b [190]. They had isolated the intermediate 3-acetylcoumarin (380), which reacted further with pyrimidine derivative 383 to give the fused compound 384 (Scheme 106).
Scheme 106.
Synthesis of chromen [4′,3′:4,5]pyrido [2,3-d][1,2,4]triazolo [4,3-a]pyrimidine-6,14-diones 382a–g.
Palacios et al., synthesized the pyrido [3,2-c]coumarin 395 by oxidation of 5H-benzopyrano [4,3-b]pyridine 394 with ruthenium chloride in the presence of sodium periodate [191]. A Diels–Alder reaction of allyloxy-derivative 391 or propargyloxy-derivative 393 furnished the compound 394 (Scheme 107). Derivatives 391 and 393 were obtained by a Wittig reaction of aza-ylide 389 with the derivatives of salicylaldehyde 390 and 392, respectively.
Scheme 107.
Synthesis of benzopyrido [3,2-c]coumarin 395 by oxidation of 394 with RuCl3 in the presence of NaIO4.
Keskin and Balci used an oxidation with CrO3 for the synthesis of pyrido [3,2-c]coumarins 399a–f from the chromenopyridines 398a–f [192]. A [4 + 2] Diels–Alder cycloaddition reaction of the adduct A from the reaction of 2-propargyloxybenzaldehyde (392) with propargylamine (397) resulted in 398a (Scheme 108). A base-catalyzed isomerization of the terminal alkyne of the imine moiety by DBU resulted to the intermediate allene B, followed by a Diels–Alder reaction to the dihydropyridine intermediate C. 1,5-H shift of the latter afforded 398a.
Scheme 108.
Synthesis of pyrido [3,2-c]coumarins 399a–f via oxidation with CrO3 of chromenopyridines 398a–f.
3. Conclusions
From the literature review, pyridocoumarins, naturally occurring or synthetic, were found to have interesting biological activities. The synthetic strategies for the synthesis of pyridocoumarins involve two main routes. The formation of the pyridine ring in one route is achieved from a coumarin derivative, such as aminocoumarins, hydroxycoumarins, or other coumarins. In the other route, the pyranone moiety is formed from an existing pyridine or piperidine or phenol derivative. [4 + 2] Cycloaddition reactions, multi-component reactions (MCR), as well as metal-catalyzed reactions are useful for the above syntheses. Name reactions, such as Skraup, Skraup–Doebner–von Miller, Povarov, Friedlander, and Krohnke, are useful for these syntheses.
Pyridocoumarins present anti-cancer, anti-HIV, antimalarial, analgesic, antidiabetic, antibacterial, antifungal, antioxidant, and anti-inflammatory activities. Especially, pyrido [3,4-c]coumarin 302 presented good antimalarial activity. Some pyrido [3,2-c]coumarins had better antitumor activity than 5-fluorouracile, while dihydrochromeno [4,3-b]quinoline derivatives exhibited very good antitumor activity. Pyrido [3,2-c]coumarin and pyrido [3,4-c]coumarin derivatives showed antibacterial and antifungal activities. Pyrano [2,3-f]quinolin-2-one 97 had excellent anti-HIV activity.
We hope that this review will benefit researchers, not only in the field of pyridocoumarin derivatives, but generally, in the area of coumarins.
Author Contributions
The contribution of the authors is equal investigation, writing, original draft preparation, review, and editing. All authors have read and agreed to the published version of the manuscript.
Funding
This research received no external funding.
Institutional Review Board Statement
Not applicable.
Informed Consent Statement
Not applicable.
Data Availability Statement
Not applicable.
Conflicts of Interest
The authors declare no conflict of interest.
References
- Abdelmohsen, U.R.; Albohy, A.; Abdulrazik, B.S.; Bayoumi, S.A.L.; Malak, L.G.; Khallaf, I.S.A.; Bringmann, G.; Farag, S.F. Natural coumarins as potential anti-SARS-CoV-2 agents supported by docking analysis. RSC Adv. 2021, 11, 16970–16979. [Google Scholar] [CrossRef] [PubMed]
- Stringlis, I.A.; de Jonge, R.; Pieterse, C.M.J. The age of coumarins in plant-microbe interactions. Plant Cell Physiol. 2019, 60, 1405–1419. [Google Scholar] [CrossRef] [PubMed]
- Voges, M.J.E.E.E.; Baic, Y.; Schulze-Lefert, P.; Sattely, E.S. Plant-derived coumarins shape the composition of an Arabidopsis synthetic root microbiome. Proc. Natl. Acad. Sci. USA 2019, 116, 12558–12565. [Google Scholar] [CrossRef] [PubMed]
- Matos, M.J.; Santana, L.; Uriarte, E.; Abreu, O.A.; Molina, E.; Yord, E.G. Coumarins—An Important Class of Phytochemicals. In Phytochemicals: Isolation, Characterisation and Role in Human Health; Rao, V.A., Rao, L.G., Eds.; IntechOpen: Rijeka, Croatia, 2015; Chapter 5. [Google Scholar]
- Venugopala, K.N.; Rashmi, V.; Odhav, B. Review on natural coumarin lead compounds for their pharmacological activity. BioMed. Res. Intern. 2013, 2013, 963248. [Google Scholar] [CrossRef] [PubMed]
- Awe, S.; Mikolasch, A.; Schauer, F. Formation of coumarines during the degradation of alkyl substituted aromatic oil components by the yeast Trichosporon asahii. Appl. Microbiol. Biotechnol. 2009, 84, 965–976. [Google Scholar] [CrossRef] [PubMed]
- Su, X.-H.; Zhang, M.-L.; Li, L.-G.; Huo, C.-H.; Gu, Y.-C.; Shi, Q.-W. Chemical Constituents of the Plants of the Genus Calophyllum. Chem. Biodivers. 2008, 5, 2579–2608. [Google Scholar] [CrossRef] [PubMed]
- Murray, D.H.; Mendez, J.; Brown, S.A. The Natural Coumarins: Occurrence, Chemistry and Biochemistry; John Wiley & Sons: New York, NY, USA, 1982. [Google Scholar]
- O’Kennedy, R.; Thornes, R.D. Coumarins: Biology, Applications and Mode of Action; John Wiley & Sons: Chichester, UK, 1997. [Google Scholar]
- Kontogiorgis, C.; Detsi, A.; Hadjipavlou-Litina, D. Coumarin-based drugs: A patent review (2008–present). Expert Opin. Ther. Pat. 2012, 22, 437–454. [Google Scholar] [CrossRef] [PubMed]
- Medina, F.G.; Marrero, J.G.; Macías-Alonso, M.; González, M.C.; CórdovaGuerrero, I.; Teissier García, A.G.; Osegueda-Robles, S. Coumarin heterocyclic derivatives: Chemical synthesis and biological activity. Nat. Prod. Rep. 2015, 32, 1472–1507. [Google Scholar] [CrossRef] [PubMed]
- Borah, B.; Dwivedi, K.D.; Kumar, B.; Chowhan, L.R. Recent advances in the microwave- and ultrasound-assisted green synthesis of coumarin-heterocycles. Arab. J. Chem. 2022, 15, 103654. [Google Scholar] [CrossRef]
- O’Reilly, R.; Aggeler, P.M. Studies on Coumarin Anticoagulant Drugs. Initiation of Warfarin Therapy Without a Loading Dose. Circulation 1968, 38, 169–177. [Google Scholar] [CrossRef] [PubMed]
- Lowenthal, J.; Birnbaum, H. Vitamin K and coumarin anticoagulants: Dependence of anticoagulant effect on inhibition of vitamin K transport. Science 1969, 164, 181–183. [Google Scholar] [CrossRef] [PubMed]
- Fisher, P.; Campbell, K.J.; Howald, G.R.; Warburton, B. Anticoagulant Rodenticides, Islands, and Animal Welfare Accountancy. Animals 2019, 9, 919. [Google Scholar] [CrossRef] [PubMed]
- Fylaktakidou, K.C.; Hadjipavlou-Litina, D.J.; Litinas, K.E.; Nicolaides, D.N. Natural and synthetic coumarin derivatives with anti-inflammatory/antioxidant activities. Curr. Pharm. Des. 2004, 10, 3813–3833. [Google Scholar] [CrossRef] [PubMed]
- Kontogiorgis, C.; Hadjipavlou-Litina, D.J. Synthesis and antiinflammatory activity of coumarin derivatives. J. Med. Chem. 2005, 48, 6400–6408. [Google Scholar] [CrossRef] [PubMed]
- Yu, D.; Suzuki, M.; Xie, L.; Morris-Natschke, S.L.; Lee, K.H. Recent progress in the development of coumarin derivatives as potent anti-HIV agents. Res. Rev. 2003, 23, 322–345. [Google Scholar] [CrossRef]
- Wang, L.; Ma., T.; Liu, G. Recent progress in calophyllum coumarins as potent anti-HIV agents. In Medicinal Chemistry of Bioactive Natural Products; Liang, X.T., Fang, W.S., Eds.; John Wiley & Sons: Hoboken, NJ, USA, 2006; p. 326. [Google Scholar]
- Xu, Z.; Chen, Q.; Zhang, Y.; Liang, C. Coumarin-based derivatives with potential anti-HIV activity. Fitoterapia 2021, 150, 104863. [Google Scholar] [CrossRef] [PubMed]
- Zhao, L.; Hu, D.; Wu, Z.; Wei, C.; Wu, S.; Song, B. Coumarin Derivatives Containing Sulfonamide and Dithioacetal Moieties: Design, Synthesis, Antiviral Activity, and Mechanism. J. Agric. Food Chem. 2022, 70, 5773–5783. [Google Scholar] [CrossRef]
- Lacy, A.; O’Kennedy, R. Studies on coumarins and coumarin-related compounds to determine their therapeutic role in the treatment of cancer. Curr. Pharm. Des. 2004, 10, 3797–3811. [Google Scholar] [CrossRef]
- Promsuwan, P.; Yenjai, C. Synthesis and Cytotoxicity of Coumarin Derivatives and Nordentatin. Asian J. Chem. 2013, 25, 3629–3632. [Google Scholar] [CrossRef]
- Thakur, A.; Singla, R.; Jaitak, V. Coumarins as anticancer agents: A review on synthetic strategies, mechanism of action and SAR studies. Eur. J. Med. Chem. 2015, 101, 476–495. [Google Scholar] [CrossRef]
- Rubab, L.; Afroz, S.; Ahmad, S.; Hussain, S.; Nawaz, I.; Irfan, A.; Batool, F.; Kotwica-Mojzych, K.; Mojzych, M. An Update on Synthesis of Coumarin Sulfonamides as Enzyme Inhibitors and Anticancer Agents. Molecules 2022, 27, 1604. [Google Scholar] [CrossRef] [PubMed]
- May, J.M.; Owens, T.W.; Mandler, M.D.; Simpson, B.W.; Lazarus, M.B.; Sherman, D.J.; Davis, R.M.; Okuda, S.; Massefski, W.; Ruiz, N.; et al. The Antibiotic Novobiocin Binds and Activates the ATPase That Powers Lipopolysaccharide Transport. J. Am. Chem. Soc. 2017, 139, 17221–17224. [Google Scholar] [CrossRef]
- Madeiro, S.A.L.; Borges, N.H.P.B.; Souto, A.L.; de Figueiredo, P.T.R.; Siqueira-Junior, J.P.; Tavares, J.F. Modulation of the antibiotic activity against multidrug resistant strains of coumarins isolated from Rutaceae species. Microb. Pathogen. 2017, 104, 151–154. [Google Scholar] [CrossRef] [PubMed]
- Zou, J.; Liu, Y.; Guo, R.; Tang, Y.; Shi, Z.; Zhang, M.; Wu, W.; Chen, Y.; Hou, K. An in-vitro coumarin antibiotic combination treatment of Pseudomonas aeruginosa biofilms. Nat. Prod. Commun. 2021, 16, 1–7. [Google Scholar] [CrossRef]
- Basile, A.; Sorbo, S.; Spadaro, V.; Bruno, M.; Maggio, A.; Faraone, N.; Rosselli, S. Antimicrobial and Antioxidant Activities of Coumarins from the Roots of Ferulago campestris (Apiaceae). Molecules 2009, 14, 939–952. [Google Scholar] [CrossRef] [PubMed]
- Domínguez-Mendoza, E.A.; Cornejo-Garrido, J.; Burgueño-Tapia, E.; Ordaz-Pichardo, C. Antidiabetic effect, antioxidant activity, and toxicity of 3′,4′-Di-O-acetyl-cis-khellactone in Streptozotocin-induced diabetic rats. Bioorg. Med. Chem. Lett. 2016, 26, 4086–4091. [Google Scholar] [CrossRef] [PubMed]
- Alshibl, H.M.; Al-Abdullah, E.S.; Haiba, M.E.; Alkahtani, H.M.; Awad, G.E.A.; Mahmoud, A.H.; Ibrahim, B.M.M.; Bari, A.; Villinger, A. Synthesis and Evaluation of New Coumarin Derivatives as Antioxidant, Antimicrobial, and Anti-Inflammatory Agents. Molecules 2020, 25, 3251. [Google Scholar] [CrossRef] [PubMed]
- Arumugam, S.; Kavimani, S.; Kadalmani, B.; Ahmed, A.B.A.; Akbarsha, M.A.; Rao, M.V. Antidiabetic activity of leaf and callus extracts of Aegle marmelos in rabbit. Sci. Asia 2008, 34, 317–321. [Google Scholar] [CrossRef]
- Li, H.; Yao, Y.; Li, L. Coumarins as potential antidiabetic agents. J. Pharm. Pharmacol. 2017, 69, 1253–1264. [Google Scholar] [CrossRef]
- Ojala, T.; Remes, S.; Haansuu, P.; Vuorela, H.; Hiltunen, R.; Haatela, K.; Vuorela, P. Antimicrobial activity of some coumarin containing herbal plants growing in Finland. J. Ethnopharmacol. 2000, 73, 299–305. [Google Scholar] [CrossRef]
- Giri, R.R.; Lad, H.B.; Bhila, V.G.; Patel, C.V.; Brahmbhatt, D.I. Modified pyridine-substituted coumarins: A new class of antimicrobial and antitubercular agents. Synth. Commun. 2015, 45, 363–375. [Google Scholar] [CrossRef]
- Al-Majedy, Y.K.; Kadhum, A.A.H.; Al-Amiery, A.A.; Mohamad, A.B. Coumarins: The Antimicrobial. Rev. Pharm. 2017, 8, 62–70. [Google Scholar] [CrossRef]
- Hu, Y.-Q.; Xu, Z.; Zhang, S.; Wu, X.; Ding, J.-W.; Lv, Z.S.; Feng, L.S. Recent developments of coumarin-containing derivatives and their anti-tubercular activity. Eur. J. Med. Chem. 2017, 136, 122–130. [Google Scholar] [CrossRef] [PubMed]
- Reddy, D.S.; Kongot, M.; Kumar, A. Coumarin hybrid derivatives as promising leads to treat tuberculosis: Recent developments and critical aspects of structural design to exhibit anti-tubercular activity. Tuberculosis 2021, 127, 102050. [Google Scholar] [CrossRef] [PubMed]
- Stefanachi, A.; Leonetti, F.; Pisani, L.; Catto, M.; Carotti, A. Coumarin: A Natural, Privileged and Versatile Scaffold for Bioactive Compounds. Molecules 2018, 25, 250. [Google Scholar] [CrossRef]
- Vlachou, E.-E.N.; Litinas, K.E. An overview on pyranocoumarins: Synthesis and biological activities. Curr. Org. Chem. 2019, 23, 2679–2721. [Google Scholar] [CrossRef]
- El-Sawy, E.R.; Abdelwahab, A.B.; Kirsch, G. Synthetic Routes to Coumarin (Benzopyrone)-Fused Five-Membered Aromatic Heterocycles Built on the α-Pyrone Moiety. Part 1: Five-Membered Aromatic Rings with One Heteroatom. Molecules 2021, 26, 483. [Google Scholar] [CrossRef]
- Salehian, F.; Nadri, H.; Jalili-Baleh, L.; Youseftabar-Miri, L.; Bukhari, S.N.A.; Foroumadi, A.; Küçükkilinç, T.T.; Sharifzadeh, M.; Khoobi, M. A review: Biologically active 3,4-heterocycle-fused coumarins. Eur. J. Med. Chem. 2021, 212, 113034. [Google Scholar] [CrossRef] [PubMed]
- Patel, A.A.; Lad, H.B.; Pandya, K.R.; Patel, C.V.; Brahmbhatt, D.I. Synthesis of a new series of 2-(2-oxo-2H-chromen-3-yl)-5H-chromeno[4,3-b]pyridin-5-ones by two facile methods and evaluation of their antimicrobial activity. Med. Chem. Res. 2013, 22, 4745–4754. [Google Scholar] [CrossRef]
- Patel, M.A.; Bhila, V.G.; Patel, N.H.; Patel, A.K.; Brahmbhatt, D.I. Brahmbhatt Synthesis, characterization and biological evaluation of some pyridine and quinoline fused chromenone derivatives. Med. Chem. Res. 2012, 21, 4381–4388. [Google Scholar] [CrossRef]
- Dawane, B.S.; Konda, S.G.; Bodade, R.G.; Bhosale, R.B. An efficient one-pot synthesis of some new 2,4-diaryl pyrido[3,2-c]coumarins as potent antimicrobial agents. J. Heterocycl. Chem. 2010, 47, 237–241. [Google Scholar] [CrossRef]
- Goswami, L.; Gogoi, S.; Gogoi, J.; Baruah, R.K.; Boruah, R.; Gogoi, P. Facile Diversity-Oriented Synthesis of Polycyclic Pyridines and Their Cytotoxicity Effects in Human Cancer Cell Lines. ACS Comb. Sci. 2016, 18, 253–261. [Google Scholar] [CrossRef] [PubMed]
- Hamama, W.S.; Ibrahim, M.E.; Metwalli, A.E.; Zoorob, H.H. New synthetic approach to coumarino[4,3-b]pyridine systems and potential cytotoxic evaluation. Med. Chem. Res. 2014, 23, 2615–2621. [Google Scholar] [CrossRef]
- Mulakayala, N.; Rambabu, D.; Raja, M.R.; Chaitanya, M.; Kumar, C.S.; Kalle, A.M.; Krishna, G.R.; Reddy, C.M.; Rao, M.V.B.; Pal, M. Ultrasound mediated catalyst free synthesis of 6H-1-benzopyrano[4,3-b]quinolin-6-ones leading to novel quinoline derivatives: Their evaluation as potential anti-cancer agents. Bioorg. Med. Chem. 2012, 20, 759–768. [Google Scholar] [CrossRef]
- Hosni, H.M.; Abdulla, M.M. Anti-inflammatory and analgesic activities of some newly synthesized pyridinedicarbonitrile and benzopyranopyridine derivatives. Acta Pharm. 2008, 58, 175–186. [Google Scholar] [CrossRef] [PubMed]
- Görlitzer, K.; Enge, C.; Jones, P.G.; Jomaa, H.; Wiesner, J. Benzo[c][2,7]naphthyridine-2-yl-, 5-yl- and 2,5-diyl novaldiamines--synthesis and investigation of anti-malarial activity. Pharmazie 2006, 61, 975–980. [Google Scholar] [PubMed]
- Heber, D. Reaktionen an Heterocyclen mit 2-Acyl-2-propenon-Teilstruktur, 3. Mitt. Pyrido[3,2-c]cumarine aus 3-substituierten 1-Benzopyranen und Enaminen. Arch. Pharm. 1987, 320, 402–406. [Google Scholar] [CrossRef]
- Adib, M.; Peytam, F.; Rahmanian-Jazi, M.; Mohammadi-Khanaposhtani, M.; Mahernia, S.; Bijanzadeh, H.R.; Jahani, M.; Imanparast, S.; Faramarzi, M.A.; Mahdavig, M.; et al. Design, synthesis and in vitro α-glucosidase inhibition of novel coumarin-pyridines as potent antidiabetic agents. New J. Chem. 2018, 42, 7268–17278. [Google Scholar] [CrossRef]
- Ahn, S.; Yoon, J.A.; Han, Y.T. Total Synthesis of the Natural Pyridocoumarins Goniothaline A and B. Synthesis 2019, 51, 552–556. [Google Scholar] [CrossRef]
- Aslam, M.S.; Ahmad, M.A.; Mamat, A.S.; Ahmad, M.Z.; Salam, F. Goniothalamus: Phytochemical and Ethnobotanical Review. Rec. Adv. Biol. Med. 2016, 2, 34–47. [Google Scholar] [CrossRef]
- Levrier, C.; Balastrier, M.; Beattle, K.D.; Carroll, A.R.; Martin, F.; Choomuenwai, V.; Davis, R.A. Pyridocoumarin, aristolactam and aporphine alkaloids from the Australian rainforest plant Goniothalamus australis. Phytochemistry 2013, 86, 121–126. [Google Scholar] [CrossRef]
- Wang, X.-L.; Dou, M.; Luo, Q.; Cheng, L.-Z.; Yan, Y.-M.; Li, R.-T.; Cheng, Y.-X. Racemic alkaloids from the fungus Ganoderma cochlear. Fitoterapia 2017, 116, 93–98. [Google Scholar] [CrossRef] [PubMed]
- Markey, M.D.; Fu, Y.; Kelly, T.R. Synthesis of Santiagonamine. Org. Lett. 2007, 9, 3255–3257. [Google Scholar] [CrossRef] [PubMed]
- Lu, Z.M.; Zhang, Q.J.; Chen, R.Y.; Yu, D.Q. Four new alkaloids from Polyalthia nemoralis (Annonaceae). J. Asian Nat. Prod. Res. 2008, 10, 656–664. [Google Scholar] [CrossRef]
- Pang, M.; Lee, J.; Jeon, J.-H.; Song, I.-S.; Han, Y.T.; Choi, M.-K. Development of a Sensitive Analytical Method of Polynemoraline C Using LCMS/MS and Its Application to a Pharmacokinetic Study in Mice. Mass Spectrom. Lett. 2021, 12, 200–205. [Google Scholar] [CrossRef]
- Houghton, P.J.; Woldemariam, T.Z.; Khan, A.I.; Burke, A.; Mahmood, N. Antiviral activity of natural and semi-synthetic chromone alkaloids. Antivir. Res. 1994, 25, 235–244. [Google Scholar] [CrossRef]
- Houghton, P.J.; Hairon, Y. Further chromone alkaloids from Schumanniophyton magnificum. Planta Med. 1987, 53, 262–264. [Google Scholar] [CrossRef]
- Houghton, P.J. Revision of structures of some Schumanniophyton alkaloids. Planta Med. 1987, 53, 264–266. [Google Scholar] [CrossRef] [PubMed]
- Houghton, P.J.; Hairong, Y. Novel Chromone Alkaloids from Schumanniophyton magnificum. Planta Med. 1985, 51, 23–27. [Google Scholar] [CrossRef]
- Darbavar, M.; Sundaramurthy, V. Synthesis of Coumarins with 3:4-Fused Ring Systems and their Physiological Activity. Synthesis 1982, 1982, 337–388. [Google Scholar] [CrossRef]
- Rawat, A.; Reddy, A.V.B. Recent advances on anticancer activity of coumarin derivatives. Eur. J. Med. Chem. Rep. 2022, 5, 100038. [Google Scholar] [CrossRef]
- Patra, P. A Concise Review on Pyridocoumarin/Azacoumarin Derivatives: Synthesis and Biological Activity. Chem. Sel. 2019, 4, 2024–2043. [Google Scholar] [CrossRef]
- Patra, P. 4-Chloro-3-formylcoumarin as a multifaceted building block for the development of various bio-active substituted and fused coumarin heterocycles: A brief review. New J. Chem. 2021, 45, 14269–14327. [Google Scholar] [CrossRef]
- Manske, R.H. The chemistry of quinolines. The Chemistry of Quinolines. Chem. Rev. 1942, 30, 113–144. [Google Scholar] [CrossRef]
- Manske, R.H.F.; Kulka, M. The Skraup Synthesis of Quinolines in Organic Reactions; John Wiley & Sons: New York, NY, USA, 1953; Volume 7, pp. 59–98. [Google Scholar]
- Dey, D.B.; Goswami, M.N. XXXIX. ψ-1:8-isoNaphthoxazone. J. Chem. Soc. 1919, 115, 531–541. [Google Scholar] [CrossRef]
- Liska, K.J.; Fentiman, A.F., Jr.; Foltz, R.L. Use of tris-(dipivalomethanato)europium as a shift reagent in the identification of 3-H-pyrano[3,2-f]quinoline-3-one. Tetrahedron Lett. 1970, 53, 4657–4660. [Google Scholar] [CrossRef]
- Denmark, S.E.; Venkatraman, S. On the Mechanism of the Skraup−Doebner−Von Miller Quinoline Synthesis. J. Org. Chem. 2006, 71, 1668–1676. [Google Scholar] [CrossRef]
- Wu, Y.-C.; Liu, L.; Li, H.-J.; Wang, D.; Chen, Y.-J. Skraup−Doebner−Von Miller Quinoline Synthesis Revisited: Reversal of the Regiochemistry for γ-Aryl-β,γ-unsaturated α-Ketoesters. J. Org. Chem. 2006, 71, 6592–6595. [Google Scholar] [CrossRef] [PubMed]
- Heber, D.; Berghaus, T. Synthesis of 5H-[1]benzopyrano[4,3-b]pyridin-5-ones containing an azacannabinoidal structure. J. Heterocycl. Chem. 1994, 31, 1353–1359. [Google Scholar] [CrossRef]
- Yadav, A.; Biswas, S.; Mobin, S.M.; Samanta, S. Efficient Cu(OTf)2-catalyzed and microwave-assisted rapid synthesis of 3,4-fused chromenopyridinones under neat conditions. Tetrahedron Lett. 2017, 58, 3634–3639. [Google Scholar] [CrossRef]
- Osipov, D.V.; Artyomenko, A.A.; Osyanin, V.A.; Klimochkin, Y.N. The reaction of 4-aminocoumarin with β-carbonyl-substituted 4H-chromenes: Synthesis of 5H-chromeno [4,3-b] pyridin-5-one derivatives. Chem. Heterocycl. Comp. 2019, 55, 261–265. [Google Scholar] [CrossRef]
- Osipov, D.V.; Osyanin, V.A.; Klimochkin, Y.N. Synthesis of β-(o-hydroxybenzyl) pyridines by three-component condensation of ammonia, carbonyl-substituted 4H-chromenes, and CH acids. Chem. Heterocycl. Comp. 2018, 54, 1121–1126. [Google Scholar] [CrossRef]
- Povarov, L.S. α,β-Unsaturated ethers and their analogues in reactions of diene synthesis. Russ. Chem. Rev. 1967, 36, 656–670. [Google Scholar] [CrossRef]
- Kouznetsov, V.V. Recent synthetic developments in a powerful imino Diels–Alder reaction (Povarov reaction): Application to the synthesis of N-polyheterocycles and related alkaloids. Tetrahedron 2009, 65, 2721–2750. [Google Scholar] [CrossRef]
- Wang, X.-S.; Yin, M.-Y.; Wang, W.; Tu, S.-J. A Stereoselective Povarov Reaction Leading to exo-Tetrahydroindolo[3,2-c]quinoline Derivatives Catalyzed by Iodine. Eur. J. Org. Chem. 2012, 2012, 4811–4818. [Google Scholar] [CrossRef]
- Domingo, L.R.; Aurell, M.J.; Saez, J.A.; Mekelleche, S.M. Understanding the mechanism of the Povarov reaction. A DFT study. RSC Adv. 2014, 4, 25268–25278. [Google Scholar] [CrossRef]
- Clerigué, J.; Ramos, M.T.; Menéndez, J.C. Enantioselective catalytic Povarov reactions. Org. Biomol. Chem. 2022, 20, 1550–1581. [Google Scholar] [CrossRef]
- Kobayashi, S.; Ishitani, H.; Nagayama, S. Lanthanide Triflate Catalyzed Imino Diels-Alder Reactions; Convenient Syntheses of Pyridine and Quinoline Derivatives. Synthesis 1995, 1995, 1195–1202. [Google Scholar] [CrossRef]
- Ma, Y.; Qian, C.; Xie, M.; Sun, J. Lanthanide Chloride Catalyzed Imino Diels−Alder Reaction. One-Pot Synthesis of Pyrano[3,2-c]- and Furo[3,2-c]quinolines. J. Org. Chem. 1999, 64, 6462–6467. [Google Scholar] [CrossRef]
- Kudale, A.A.; Kendall, J.; Miller, D.O.; Collins, J.L.; Bodwell, G.J. Povarov Reactions Involving 3-Aminocoumarins: Synthesis of 1,2,3,4-Tetrahydropyrido[2,3-c]coumarins and Pyrido[2,3-c]coumarins. J. Org. Chem. 2008, 73, 8437–8447. [Google Scholar] [CrossRef]
- Kudale, A.A.; Miller, D.O.; Dawe, L.N.; Bodwell, G.J. Intramolecular Povarov reactions involving 3-aminocoumarins. Org. Biomol. Chem. 2011, 9, 7196–7206. [Google Scholar] [CrossRef]
- Islam, K.; Das, D.K.; Akram, E.; Khan, A.T. Exploration of C5–C6-Unsubstituted 1,4-Dihydropyridines for the Construction of exo-Hexahydro-1H-chromeno[3,4-h][1,6]naphthyridine-3-carboxylates Using a Stereoselective Povarov Reaction. Synthesis 2015, 47, 2745–2755. [Google Scholar] [CrossRef]
- Khan, A.T.; Das, D.K.; Islam, K.; Das, P. A simple and expedient synthesis of functionalized pyrido[2,3-c] coumarin derivatives using molecular iodine catalyzed three-component reaction. Tetrahedron Lett. 2012, 53, 6418–6422. [Google Scholar] [CrossRef]
- Majumdar, K.C.; Ponra, S.; Ghosh, D.; Taher, A. Efficient one-pot synthesis of substituted 4, 7-phenanthroline, pyrano-[3, 2-f] quinoline and pyrano [3, 2-g] quinoline derivatives by aza-diels-alder reaction. Synth. Lett. 2011, 1, 104–110. [Google Scholar] [CrossRef]
- Symeonidis, T.S.; Litinas, K.E. Synthesis of methyl substituted [5,6]- and [7,8]-fused pyridocoumarins via the iodine-catalyzed reaction of aminocoumarins with n-butyl vinyl ether. Tetrahedron Lett. 2013, 54, 6517–6519. [Google Scholar] [CrossRef]
- Ganguli, N.C.; Chandra, S. One-pot access to pyridocoumarins via Povarov-hydrogen transfer cascade under auto-tandem catalysis of iodine in aqueous micelles. Tetrahedron Lett. 2014, 55, 1564–1568. [Google Scholar] [CrossRef]
- Symeonidis, T.S.; Hadjipavlou-Litina, D.J.; Litinas, K.E. Synthesis Through Three-Component Reactions Catalyzed by FeCl3 of Fused Pyridocoumarins as Inhibitors of Lipid Peroxidation. J. Heterocycl. Chem. 2014, 51, 642–647. [Google Scholar] [CrossRef]
- Das, D.K.; Sarkar, S.; Khan, A.T.; Saravanan, P.; Patra, S. Synthesis of fused tetrahydropyrido[2,3-c]coumarin derivatives as potential inhibitors for dopamine d3 receptors, catalyzed by hydrated ferric sulfate. RSC Adv. 2014, 4, 3581–3590. [Google Scholar] [CrossRef]
- Belal, M.; Das, D.K.; Khan, A.T. Synthesis of Pyrido[2,3-c]coumarin Derivatives by an Intramolecular Povarov Reaction. Synthesis 2015, 47, 1109–1116. [Google Scholar] [CrossRef]
- Xi, G.-L.; Liu, Z.-Q. Coumarin sharing the benzene ring with quinoline for quenching radicals and inhibiting DNA oxidation. Eur. J. Med. Chem. 2015, 95, 416–423. [Google Scholar] [CrossRef]
- Gurumurthy, C.; Fatima, N.; Reddy, G.N.; Kumar, C.G.; Sabitha, G.; Ramakrishna, K.V.S. A diastereoselective synthesis of tetrahydro- and dihydro-pyrido[2,3-c]coumarin derivatives via a one-pot three-component Povarov reaction catalyzed by bismuth(III) chloride. Bioorg. Med. Chem. Lett. 2016, 26, 5119–5125. [Google Scholar] [CrossRef] [PubMed]
- Chen, Z.; Hu, L.; Peng, F. Efficient Synthesis of Functionalized Pyrido[2,3-c]coumarin Derivatives by a One-Pot Three-Component Reaction. Synth. Lett. 2016, 27, 1888–1892. [Google Scholar] [CrossRef][Green Version]
- Cheng, C.-C.; Yan, S.-J. The Friedlander Synthesis of Quinolines in Organic Reactions; John Wiley & Sons: New York, NY, USA, 1982; Volume 28, pp. 37–201. [Google Scholar]
- Marco-Contelles, J.; Pérez-Mayoral, E.; Samadi, A.; do Carmo Carreiras, M.; Soriano, E. Recent Advances in the Friedländer Reaction. Chem. Rev. 2009, 109, 2652–2671. [Google Scholar] [CrossRef] [PubMed]
- Ghobadi, N.; Nazari, N.; Gholamzadeh, P. The Friedlander reaction: A powerful strategy for the synthesis of heterocycles. Adv. Heterocycl. Chem. 2020, 132, 85–134. [Google Scholar] [CrossRef]
- Siddiqui, Z.N.; Khan, K. Friedlander synthesis of novel benzopyranopyridines in the presence of chitosan as heterogeneous, efficient and biodegradable catalyst under solvent-free conditions. New J. Chem. 2013, 39, 1595–1602. [Google Scholar] [CrossRef]
- Suzuki, M.; Yu, D.; Morris-Natschke, S.L.; Smith, P.C.; Lee, K.-H. Anti-AIDS agents 66: Syntheses and anti-HIV activity of phenolic and aza 3′,4′-di-O-(−)-camphanoyl-(+)-cis-khellactone (DCK) derivatives. Bioorg. Med. Chem. 2007, 15, 6852–6858. [Google Scholar] [CrossRef]
- Majumdar, K.C.; Ansary, I.; Samanta, S.; Roy, B.; Ansary, I.; Samanta, S.; Roy, B. Regioselective synthesis of pyridoquinolones and pyridocoumarins via molecular iodine-mediated 6-endo-dig electrophilic cylization. Tetrahedron Lett. 2011, 52, 411–414. [Google Scholar] [CrossRef]
- Symeonidis, T.S.; Kallitsakis, M.G.; Litinas, K.E. Synthesis of [5,6]-fused pyridocoumarins through aza-Claisen rearrangement of 6-propargylaminocoumarins. Tetrahedron Lett. 2011, 52, 5452–5455. [Google Scholar] [CrossRef]
- Symeonidis, T.S.; Lykakis, I.N.; Litinas, K.E. Synthesis of quinolines and fused pyridocoumarins from N-propargylanilines or propargylaminocoumarins by catalysis with gold nanoparticles supported on TiO2. Tetrahedron 2013, 69, 4612–4616. [Google Scholar] [CrossRef]
- Majumdar, K.C.; Ponra, S. Regioselective Synthesis of Dihydropyridocoumarin and Phenanthrolinone Derivatives via Iron(III) Chloride Mediated Intramolecular Cyclization. Synthesis 2014, 46, 1413–1420. [Google Scholar] [CrossRef][Green Version]
- Yoon, Y.A.; Ha, Y.T. Efficient Synthesis of Pyrido[3,2-c]coumarins via Silver Nitrate Catalyzed Cycloisomerization and Application to the First Synthesis of Polyneomarline C. Synthesis 2019, 51, 4611–4618. [Google Scholar] [CrossRef]
- Vlachou, E.-E.N.; Fotopoulos, I.; Gabriel, C.; Pontiki, E.; Hadjipavlou-Litina, D.J.; Litinas, K.E. Synthesis and biological evaluation of fused dipyranoquinolinones as inhibitors of acetylcholinesterase with antioxidant properties. Eur. J. Med. Chem. Rep. 2022, 5, 100063. [Google Scholar] [CrossRef]
- Zhu, J.; Bienaymé, H. (Eds.) Multicomponent Reactions; Wiley-VCH: Weinheim, Germany, 2005. [Google Scholar]
- Dömling, A.; Wang, W.; Wang, K. Chemistry and Biology of Multicomponent Reactions. Chem. Rev. 2012, 112, 3083–3135. [Google Scholar] [CrossRef]
- da Silveira Pinto, L.S.; Couri, M.R.C.; de Souza, M.V.N. Multicomponent Reactions in the Synthesis of Complex Fused Coumarin Derivatives. Curr. Org. Synth. 2018, 15, 21–37. [Google Scholar] [CrossRef]
- Bhaskaruni, S.V.H.S.; Maddila, S.; Gangu, K.K.; Jonnalagadda, S.B. A review on multi-component green synthesis of N-containing heterocycles using mixed oxides as heterogeneous catalysts. Arab. J. Chem. 2020, 13, 1142–1178. [Google Scholar] [CrossRef]
- John, S.E.; Gulati, S.; Shankaraiah, N. Recent advances in multi-component reactions and their mechanistic insights: A triennium review. Org. Chem. Front. 2021, 8, 4237–4287. [Google Scholar] [CrossRef]
- Khan, A.T.; Das, D.K. Michael Initiated Ring Closure (MIRC) reaction on in situ generated benzylidenecyclohexane-1,3-diones for the construction of chromeno[3,4-b]quinoline derivatives. Tetrahedron Lett. 2012, 53, 2345–2351. [Google Scholar] [CrossRef]
- Paul, S.; Das, A.R. An efficient green protocol for the synthesis of coumarin fused highly decorated indenodihydropyridyl and dihydropyridyl derivatives. Tetrahedron Lett. 2012, 53, 2206–2210. [Google Scholar] [CrossRef]
- Bhattacharyya, P.; Paul, S.; Das, A.R.E. Facile synthesis of pyridopyrimidine and coumarin fused pyridine libraries over a Lewis base-surfactant-combined catalyst TEOA in aqueous medium. RSC. Adv. 2013, 3, 3203–3208. [Google Scholar] [CrossRef]
- Patra, P.; Kar, G.K.; Khatua, B. Thermolysis of N-Aryl Enaminoimine Hydrochloride Derivatives: A Short and General Method for the Synthesis of Pyranoquinolin-3-one and Pyranoacridin-3-one Derivatives. J. Heterocycl. Chem. 2014, 51, 1306–1310. [Google Scholar] [CrossRef]
- Patra, P. Thermolysis of Chlorovinyl Imines as an Alternate Route for the Synthesis of Pyranoquinolin-3-one and Pyranoacridin-3-one Derivatives. J. Heterocycl. Chem. 2017, 54, 3656–3662. [Google Scholar] [CrossRef]
- Kausar, N.; Das, A.R. CuI–Zn(OAc)2 catalyzed C(sp2)–H activation for the synthesis of pyridocoumarins through an uncommon CuI–CuIII switching mechanism: A fast, solvent-free, combo-catalytic, ball milling approach. Tetrahedron Lett. 2017, 58, 2602–2607. [Google Scholar] [CrossRef]
- Najafizadeh, F.; Rad-Moghadam, K.; Kalurazi, S.Y. A derivatization-directed three-component synthesis of fluorescent spiro [dihydropyridine-4,3ʹ-indoline]s. J. Chem. Res. 2020, 44, 527–531. [Google Scholar] [CrossRef]
- Oshiro, P.B.; Bregadiolli, B.A.; da Silva-Filho, L.C. A facile one-step synthesis of chromeno[4,3-b]pyridine derivatives promoted by niobium pentachloride. J. Heterocycl. Chem. 2020, 57, 2795–2800. [Google Scholar] [CrossRef]
- Majumdar, K.C.; Chattopadhyay, B.; Nath, S. New Heck coupling strategies for the arylation of secondary and tertiary amides via palladium-catalyzed intramolecular cyclization. Tetrahedron Lett. 2008, 49, 1609–1612. [Google Scholar] [CrossRef]
- Majumdar, K.C.; Nandi, R.K.; Ponra, S. Indium (III) Chloride Catalyzed Convergent, Regioselective Synthesis of Annulated Quinoline and Pyridine Derivatives. Synth. Lett. 2012, 23, 113–119. [Google Scholar] [CrossRef]
- Nath, S. Synthesis of pyridocoumarin derivative by arylation of tertiary and secondary amide via Palladium catalyzed intramolecular cyclization. J. Appl. Chem. 2017, 10, 80–85. [Google Scholar] [CrossRef]
- Weng, Y.; Zhou, H.; Sun, C.; Xie, Y.; Su, W. Copper-Catalyzed Cyclization for Access to 6H-Chromeno[4,3-b]quinolin-6-ones Employing DMF as the Carbon Source. J. Org. Chem. 2017, 82, 9047–9053. [Google Scholar] [CrossRef] [PubMed]
- Weng, Y.; Chen, H.; Li, N.; Yang, L.; Ackermann, L. Electrooxidative Metal-Free Cyclization of 4-Arylaminocoumarins with DMF as C1-Source. Adv. Synth. Catal. 2021, 363, 2773–2777. [Google Scholar] [CrossRef]
- Khan, E.; Biswas, S.; Mishra, S.K.; Mishra, R.; Samanta, S.; Mishra, A.; Tawani, A.; Kumar, A. Rationally designed small molecules targeting toxic CAG repeat RNA that causes Huntington’s disease (HD) and spinocerebellar ataxia (SCAs). Biochimie 2019, 163, 21–32. [Google Scholar] [CrossRef]
- Kidwai, M.; Rastogi, S.; Mohan, R. A Novel Route to New Bis(benzopyrano) Fused Dihydropyridines Using Dry Media. Bull. Korean J. Chem. 2004, 25, 119–121. [Google Scholar] [CrossRef][Green Version]
- Tu, S.; Wu, S.; Yan, S.; Hao, W.; Zhang, X.; Cao, X.; Han, Z.; Jiang, B.; Shi, F.; Xia, M.; et al. Design and Microwave-Assisted Synthesis of Naphtho[2,3-f]quinoline Derivatives and Their Luminescent Properties. J. Comb. Chem. 2009, 11, 239–242. [Google Scholar] [CrossRef]
- Tu, S.; Zhang, Y.; Zhang, J.; Jiang, B.; Jia, R.; Zhang, J.; Ji, S. A Simple Procedure for the Synthesis of 4-Aza-podophyllotoxin Derivatives in Water under Microwave Irradiation Conditions. Synlett 2006, 17, 2785–2790. [Google Scholar] [CrossRef]
- Miri, R.; Motamedi, R.; Rezaei, M.R.; Firuzi, O.; Javidnia, A.; Shafiee, A. Design, Synthesis and Evaluation of Cytotoxicity of Novel Chromeno[4,3-b]quinoline Derivatives. Arch. Pharm. Chem. Life Sci. 2011, 2, 111–118. [Google Scholar] [CrossRef]
- Chen, Z.; Bi, J.; Su, W. Synthesis and Antitumor Activity of Novel Coumarin Derivatives via a Three-component Reaction in Water. Chin. J. Chem. 2013, 31, 507–514. [Google Scholar] [CrossRef]
- Khan, M.N.; Pal, S.; Karamthulla, S.; Choudhury, L.H. Multicomponent reactions for facile access to coumarin-fused dihydroquinolines and quinolines: Synthesis and photophysical studies. New J. Chem. 2014, 38, 4722–4729. [Google Scholar] [CrossRef]
- Dam, B.; Nandi, S.; Pal, A.K. An efficient ‘on-water’ synthesis of 1,4-dihydropyridines using Fe3O4@SiO2 nanoparticles as a reusable catalyst. Tetrahedron Lett. 2014, 55, 5236–5240. [Google Scholar] [CrossRef]
- Sashidhara, K.V.; Palnati, G.R.; Singh, L.R.; Upadhyay, A.; Avula, S.R.; Kumara, A.; Kant, R. Molecular iodine catalysed one-pot synthesis of chromeno[4,3-b]quinolin-6-ones under microwave irradiation. Green Chem. 2015, 17, 3766–3770. [Google Scholar] [CrossRef]
- Liu, M.; Yin, G.; Zhu, C.; Yao, C. Selective Synthesis of New Tetracyclic Coumarin-fused Pyrazolo[3,4-b]pyridines and Pyrazolo[3,4-b]pyridin-6(7H)-ones. J. Heterocycl. Chem. 2016, 53, 1617–1625. [Google Scholar] [CrossRef]
- Kumari, S.; Rajeswari, M.; Khurana, J.M. A Green Approach for the Synthesis of Novel 7, 11-Dihydro-6H-chromeno [3, 4-e] isoxazolo [5,4-b] pyridin-6-one Derivatives Using Acidic Ionic Liquid [C4mim][HSO4]. Aust. J. Chem. 2016, 69, 1049–1053. [Google Scholar] [CrossRef]
- Rahimzadeh, G.; Bahadorikhalili, S.; Kianmehr, E.; Mahdavi, M. Ionic liquid-functionalized magnetic nanostructures as an efficient catalyst for the synthesis of 6H-chromeno[4,3-b]quinolin-6-ones. Mol. Divers. 2017, 21, 597–609. [Google Scholar] [CrossRef] [PubMed]
- Firoozpour, L.; Nikookar, H.; Moghimi, S.; Mahdavi, M.; Asadipour, A.; Ranjbar, P.R.; Foroumadi, A. An efficient approach to the synthesis of coumarin-fused dihydropyridinones. J. Heterocycl. Commun. 2017, 23, 305–308. [Google Scholar] [CrossRef]
- Sayahi, M.H.; Saghanezhad, S.J.; Mahdavi, M. SBA-15-SO3H-assisted preparation of 4-aza-phenanthrene-3, 10-dione derivatives via a one-pot, four-component reaction. Res. Chem. Interm. 2018, 44, 739–747. [Google Scholar] [CrossRef]
- Ataee-Kachouei, T.; Nasr-Esfahani, M.; Mohammadpoor-Baltork, I.; Mirkhani, V.; Moghadam, M.; Tangestaninejad, S.; Kia, R. Facile and Green One-Pot Synthesis of Fluorophore Chromeno[4,3-b]quinolin-6-one Derivatives Catalyzed by Halloysite Nanoclay under Solvent-free Conditions. ChemistrySelect 2019, 4, 2301–2306. [Google Scholar] [CrossRef]
- Zeynizadeh, B.; Rahmani, S. Sulfonyl-bridged (copper-immobilized nickel ferrite) with activated montmorillonite, [(NiFe2O4@Cu)SO2(MMT)]: A new class of magnetically separable clay nanocomposite systems towards Hantzsch synthesis of coumarin-based 1,4-dihydropyridines. RSC Adv. 2019, 9, 8002–8015. [Google Scholar] [CrossRef]
- Zeynizadeh, B.; Rahmani, S.; Eghbali, E. Anchored sulfonic acid on silica-layered NiFe2O4: A magnetically reusable nanocatalyst for Hantzsch synthesis of 1,4-dihydropyridines. Polyhedron 2019, 168, 57–66. [Google Scholar] [CrossRef]
- Singha, R.; Islam, A.; Ghosh, P. One-pot three-component tandem annulation of 4-hydroxycoumarine with aldehyde and aromatic amines using graphene oxide as an efficient catalyst. Sci. Rep. 2021, 11, 19891. [Google Scholar] [CrossRef]
- Jamshaid, S.; Mohandoss, S.; Lee, Y.R. Indium(iii)-catalyzed solvent-free multicomponent [2 + 2 + 1 + 1]-annulation to polycyclic functionalized fused pyridines as potential optical chemosensors. Green Chem. 2021, 23, 5113–5119. [Google Scholar] [CrossRef]
- Pave, G.; Ghalard, P.; Viaud-Massuard, M.-C.; Troin, Y.; Guillaumet, G. New efficient synthesis of pyrido [2, 3-c] and pyrido [3, 2-c] coumarin derivatives. Synlett 2003, 7, 987–990. [Google Scholar] [CrossRef]
- Zecher, W.; Krohnke, F. Eine neue Synthese substituierter Pyridine, I. Grundzüge der Synthese. Chem. Ber. 1961, 94, 690–697. [Google Scholar] [CrossRef]
- Krohnke, F.; Zecher, W.; Kurtze, J.; Drechsler, D.; Pfleghar, K.; Schnalke, K.E.; Weis, W. Syntheses Using the Michael Adddition of Pyridinium Salts. Angew. Chem. Internat. Edit. 1962, 1, 626–632. [Google Scholar] [CrossRef]
- Krohnke, F. The Specific Synthesis of Pyridines and Oligopyridines. Synthesis 1976, 1976, 1–24. [Google Scholar] [CrossRef]
- Pandya, S.; Pandya, U.R.; Hirani, B.R.; Brahmbhatt, D.I. One pot synthesis of diarylpyrido[3,2-c]coumarins. J. Heterocycl. Chem. 2006, 43, 795–798. [Google Scholar] [CrossRef]
- Brahmbhatt, D.I.; Patel, N.H.; Patel, A.K.; Patel, M.A.; Patel, V.G. Synthesis and antimicrobial activity of some 7-aryl-5,6-dihydro-14-aza[1]benzopyrano[3,4-b]phenanthren-8H-ones. J. Heterocycl. Chem. 2011, 48, 840–844. [Google Scholar] [CrossRef]
- Sharma, D.; Sharma, N.; Patel, N.H.; Brahmbhatt, D.I.; Gupta, V.K. Crystal Structure of 7-Phenyl-5, 6-Dihydro-14-Aza-[1]benzopyrano [3, 4-b] phenanthren-8H-One. Crystallogr. Rep. 2021, 66, 1223–1226. [Google Scholar] [CrossRef]
- Rao, Y.; Liu, M.; Wu, L.; Yin, G. Catalyst-free one-pot domino reactions for selective synthesis of functionalized 2,8-oxazabicyclo[3.3.1]-nonanes and 5H-indeno[1,2-b]pyridin-5-ones. RSC Adv. 2014, 4, 64551–64558. [Google Scholar] [CrossRef]
- Giri, R.R.; Brahmbhadtt, D.I. A Convenient Synthesis of Bipyrido-Fused Coumarins and Their Biological Evaluation. J. Heterocycl. Chem. 2019, 56, 2630–2636. [Google Scholar] [CrossRef]
- Al-Omran, F.; Elassar, A.-Z.A.; ElKhair, A.A. Synthesis and biological effects of new derivatives of azines incorporating coumarin. J. Heterocycl. Chem. 2003, 40, 249–254. [Google Scholar] [CrossRef]
- Ismail, M.M.F.; Noaman, E. Novel Pirfenidone Analogs as Antifibrotic Agents: Synthesis and Antifibrotic Evaluation of 2-Pyridones and Fused Pyridones. Med. Chem. Res. 2005, 14, 382–403. [Google Scholar] [CrossRef]
- Khan, I.A.; Kulkarni, M.V.; Gopal, M.; Shahabuddin, M.S.; Sun, C.-M. Synthesis and biological evaluation of novel angularly fused polycyclic coumarins. Bioorg. Med. Chem. Lett. 2005, 15, 3584–3587. [Google Scholar] [CrossRef] [PubMed]
- Glasnov, T.N.; Ivanov, I.C. A Convenient Approach to the Synthesis of Dialkyl 5-Oxo-1,2-dihydro-5H-chromeno [4,3-b]pyridine-2,3-dicarboxylates. Synth. Commun. 2008, 38, 1579–1588. [Google Scholar] [CrossRef]
- Majumdar, K.C.; Debnath, P.; Chottopadhyay, S.K. Aryl Radical Cyclization: Regioselective Synthesis of 6a,7,8,12b-Tetrahydro-6H-chromeno[3,4-c]quinolin-6-one. Synth. Commun. 2008, 38, 1768–1777. [Google Scholar] [CrossRef]
- Jadhav, V.B.; Nayak, S.K.; Guru Row, T.N.; Kulkarni, M.V. Synthesis, structure and DNA cleavage studies of coumarin analogues of tetrahydroisoquinoline and protoberberine alkaloids. Eur. J. Med. Chem. 2010, 45, 3575–3580. [Google Scholar] [CrossRef] [PubMed]
- El-Said, M.S.; El-Gazzar, M.G.; Al-Dosari, M.S.; Ghorab, M.M. Synthesis, anticancer activity and radiosensitizing evaluation of some new 2-pyridone derivatives. Arzneimittelforschung 2012, 62, 149–156. [Google Scholar] [CrossRef] [PubMed]
- Lin, W.; Hu, X.; Song, S.; Cai, Q.; Wang, Y.; Shi, D. Microwave-assisted synthesis of novel hetero[5]helicene-like molecules and coumarin derivatives. Org. Biomol. Chem. 2017, 15, 7909–7916. [Google Scholar] [CrossRef]
- Borah, P. Synthesis of some novel annulated coumarins by exploring intramolecular Hetero Diels-Alder reaction strategy. J. Appl. Fundam. Sci. 2018, 4, 81–83. [Google Scholar]
- Li, J.; Yang, Q.; Chen, G. Synthesis method of (3,4-dihydro-2H-pyrano[2,3-b]pyridin-6-yl)methanol. Patent No. CN 110283180 (A), 27 September 2019. [Google Scholar]
- Pandya, M.K.; Parekh, T.H.; Chhasatia, M.R.; Vala, N.D. Synthesis and characterization of some novel coumarin based various 2-aryl-pyrido [3,2-c] coumarins. J. Drug Deliv. Therap. 2020, 10, 158–163. [Google Scholar] [CrossRef]
- Heber, D.; Ivanov, I.C.; Karagiosov, S.K. The vilsmeier reaction in the synthesis of 3-substituted [1]benzopyrano[4,3-b]pyridin-5-ones. An unusual pyridine ring closure. J. Heterocycl. Chem. 1995, 32, 505–509. [Google Scholar] [CrossRef]
- Wu, J.; Wang, X. Facile synthesis of chromeno[4,3-b]quinolin-6-ones from unexpected reactions of aryl isocyanides with 4-chloro-2-oxo-2H-chromene-3-carbaldehyde. Org. Biomol. Chem. 2006, 4, 1348–1351. [Google Scholar] [CrossRef]
- Prasad, J.V.; Reddy, J.S.; Kumar, N.R.; Solomon, K.A.; Gopikrishna, G. An efficient ultrasound promoted catalyst-free protocol for the synthesis of chromeno[4,3-b]quinolin-6-ones. J. Chem. Sci. 2011, 123, 673–679. [Google Scholar] [CrossRef]
- Borah, P.; Naidu, P.S.; Bhuyan, P.J. Synthesis of some tetrazole fused pyrido[2,3-c]coumarin derivatives from a one-pot three-component reaction via intramolecular 1,3-dipolar cycloaddition reaction of azide to nitriles. Tetrahedron Lett. 2012, 53, 5034–5037. [Google Scholar] [CrossRef]
- Halawa, A.H.; El-Gilil, S.M.A.; Bedair, A.H.; Eliwa, E.M.; Frese, M.; Sewald, N.; Shaaban, M.; El-Agrody, A.M. Synthesis of diverse amide linked bis-indoles and indole derivatives bearing coumarin-based moiety: Cytotoxicity and molecular docking investigations. Med. Chem. Res. 2018, 27, 796–806. [Google Scholar] [CrossRef]
- Kolita, S.; Bhuyan, P.J. An Efficient Synthesis of Pyrido[3,2-c]coumarins under Microwave Irradiation in Solvent-Free Conditions. ChemistrySelect 2018, 3, 1411–1414. [Google Scholar] [CrossRef]
- Iarohsenko, V.O.; Erben, F.; Mrktchyan, S.; Hakobyan, A.; Vilches-Herrera, M.; Dudkin, S.; Bunescu, A.; Villiger, A.; Sosnovskikh, V.Y.; Lange, P. 4-Chloro-3-(trifluoroacetyl)- and 4-chloro-3-(methoxalyl)coumarins as novel and efficient building blocks for the regioselective synthesis of 3,4-fused coumarins. Tetrahedron 2011, 67, 7946–7955. [Google Scholar] [CrossRef]
- Becalli, E.M.; Contini, A.; Trimarco, P. New synthetic approach to [1]benzopyrano[4,3-b]pyridin-5-one derivatives. Tetrahedron Lett. 2004, 45, 3447–3449. [Google Scholar] [CrossRef]
- Khan, H.J.; Petrow, V.; Rewald, E.L.; Sturgeon, B. 452. Some derivatives of 1:3-dimethyl-2-azafluorenone. J. Chem. Soc. 1949, 452, 2128–2134. [Google Scholar] [CrossRef]
- Courts, A.; Petrow, V. 69. New syntheses of heterocyclic compounds. Part XV. 9: 10-Dihydro-10-keto-1:3-dimethyl-2-aza-9-oxaphenanthrenes. J. Chem. Soc. 1952, 200, 334–337. [Google Scholar] [CrossRef]
- Pars, H.G.; Grancelli, F.E.; Keller, J.K.; Razdan, R.K. Physiologically Active Nitrogen Analogs of Tetrahydrocannabinols. Tetrahydrobenzopyrano[3,4-d]pyridines. J. Am. Chem. Soc. 1966, 88, 3664–3665. [Google Scholar] [CrossRef]
- Mandal, T.K.; Soldatenkov, A.T.; Ageev, E.A.; Stashenko, E.V.; Denisov, E.N.; Andreeva, E.I.; Prostakov, N.S. Synthesis and fungicidal activity of substituted tetrahydro-[3,4-c]- and benzo[h]tetrahydropyrido[3,4-c]coumarins. Pharm. Chem. J. 1990, 24, 145–149. [Google Scholar] [CrossRef]
- Abramovitch, R.A.; Inbasekaran, M.N.; Kato, S.; Radzikowska, T.A.; Tomasik, P. Base-catalyzed rearrangement of N-(aryloxy)pyridinium salts. Effect of a 3-substituent in the pyridine ring upon orientation. Synthesis of novel tricyclic rings. J. Org. Chem. 1983, 48, 690–695. [Google Scholar] [CrossRef]
- Galariniotou, E.; Fragos, V.; Makri, A.; Litinas, K.E.; Nicolaides, D.N. Synthesis of novel pyridocoumarins and benzo-fused 6-azacoumarins. Tetrahedron 2007, 63, 8298–8304. [Google Scholar] [CrossRef]
- Yavari, I.; Adib, M.; Hojabri, L. Vinyltriphenylphosphonium salt mediated synthesis of 1,4-benzoxazine and coumarin derivatives. Tetrahedron 2002, 58, 6895–6899. [Google Scholar] [CrossRef]
- El-Saghier, A.M.; Mo, E.-J.I.; Al-Afaleq, E.-J.I. Synthetic Reactions of Coumarin-3-(4- Aminosulfonyl)-Carbanilide Derivatives With Reactive Methylene Compounds. Phosphorus Sulfur Silicon 1998, 139, 67–75. [Google Scholar] [CrossRef]
- Sviripa, V.M.; Fiandalo, M.V.; Begley, K.L.; Wyrebek, P.; Kril, L.M.; Balia, A.G.; Parkin, S.R.; Subramanian, V.; Chen, X.; Williams, A.H.; et al. Pictet–Spengler condensations using 4-(2-aminoethyl)coumarins. New J. Chem. 2020, 44, 13415–13429. [Google Scholar] [CrossRef] [PubMed]
- Sakurai, A.; Midorikawa, H. Condensation of active methylene compounds with hydroxybenzaldehydes by ammonium acetate. J. Org. Chem. 1969, 34, 3612–3615. [Google Scholar] [CrossRef]
- Sakurai, A.; Midorikawa, H.; Hashimoto, Y. The cyclization of ethyl cyanoacetate and salicylaldehyde or 3-methoxysalicylaldehyde with ketones by means of ammonium acetate. Bull. Chem. Soc. Jpn. 1970, 43, 2925–2933. [Google Scholar] [CrossRef]
- Sakurai, A.; Midorikawa, H.; Hashimoto, Y. Substituted Benzopyranopyridine and Pyrimidine Ring Syntheses by the Ternary Condensation of Ethyl Cyanoacetate, Salicylaldehyde, and Certain Aldehydes in the presence of ammonium acetate. Bull. Chem. Soc. Jpn. 1971, 44, 1677–1682. [Google Scholar] [CrossRef]
- Sakurai, A.; Motomura, Y.; Midorikawa, H. Substituted benzopyranopyridopyrimidine ring syntheses by the ternary condensation of malononitrile, salicylaldehyde, and aromatic ketones in the presence of ammonium acetate. J. Org. Chem. 1972, 37, 1523–1526. [Google Scholar] [CrossRef]
- O’Callaghan, M. Synthesis of Dialkyl 2-(2-Hydroxyphenyl)-4,6-dimethyl-1,2-dihydropyridine-3,5-dicarboxylates and Alkyl 2,4-Dimethyl-5-oxo-5H-[1]benzopyrano[4,3-b]-pyridine-3-carboxylates. Synthesis 1987, 1987, 499–503. [Google Scholar] [CrossRef]
- Navarrete-Encina, P.; Salazar, R.; Vega-Retter, C.; Perez, K.; Squella, J.A.; Nunez-Vergara, L.J. On the one pot syntheses of chromeno [4, 3-b] pyridine-3-carboxylate and chromeno [3, 4-c] pyridine-3-carboxylate and dihydropyridines. J. Braz. Chem. Soc. 2010, 21, 413–418. [Google Scholar] [CrossRef]
- Frolova, L.V.; Malik, I.; Uglinskii, P.Y.; Rogelj, S.; Kornienko, A.; Magedov, I.V. Multicomponent synthesis of 2,3-dihydrochromeno[4,3-d]pyrazolo[3,4-b]pyridine-1,6-diones: A novel heterocyclic scaffold with antibacterial activity. Tetrahedron Lett. 2011, 52, 6643–6645. [Google Scholar] [CrossRef] [PubMed]
- Gomha, S.M.; Riyadh, S.M. Multicomponent Synthesis of Novel Penta-Heterocyclic Ring Systems Incorporating a Benzopyranopyridine Scaffold. Synthesis 2014, 46, 258–262. [Google Scholar] [CrossRef]
- Palacios, F.; Alonso, C.; Amezua, P.; Rubiales, G. Synthesis of Aza Polycyclic Compounds Derived from Pyrrolidine, Indolizidine, and Indole via Intramolecular Diels−Alder Cycloadditions of Neutral 2-Azadienes. J. Org. Chem. 2002, 67, 1941–1946. [Google Scholar] [CrossRef] [PubMed]
- Keskin, S.; Balci, M. Intramolecular Heterocyclization of O-Propargylated Aromatic Hydroxyaldehydes as an Expedient Route to Substituted Chromenopyridines under Metal-Free Conditions. Org. Lett. 2015, 17, 964–967. [Google Scholar] [CrossRef] [PubMed]
Publisher’s Note: MDPI stays neutral with regard to jurisdictional claims in published maps and institutional affiliations. |
© 2022 by the authors. Licensee MDPI, Basel, Switzerland. This article is an open access article distributed under the terms and conditions of the Creative Commons Attribution (CC BY) license (https://creativecommons.org/licenses/by/4.0/).












































































































