A Specific Interaction between Ionic Liquids’ Cations and Reichardt’s Dye
Abstract
1. Introduction
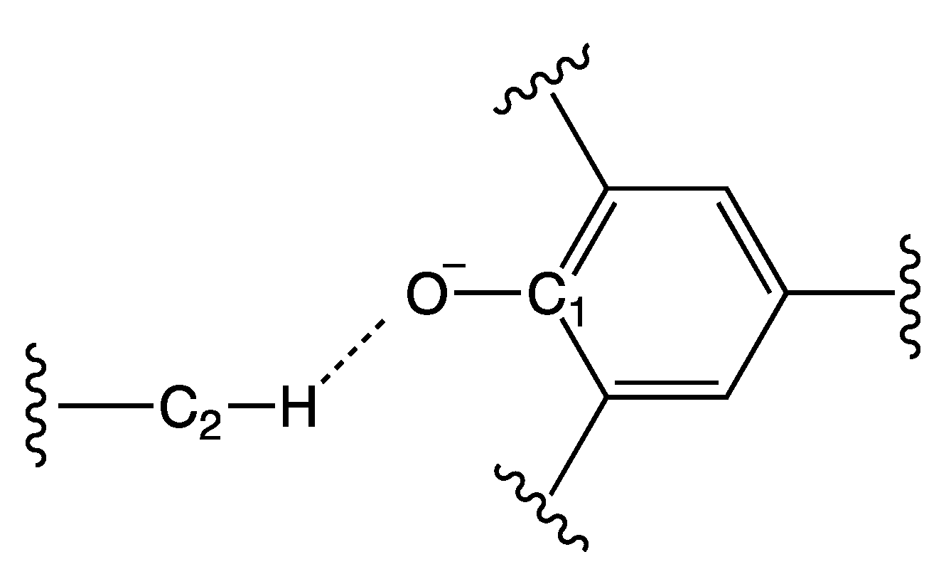
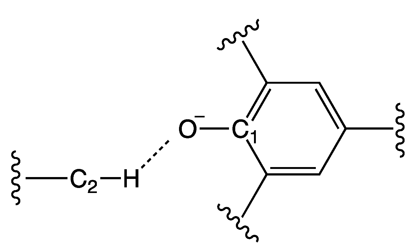
- The negatively charged phenate groups are at the center of a large pocket, and up to two cations interact with the strong electrostatic and hydrogen bond interactions within the phenate groups.
- The pyridinium charge is sterically hindered by the ortho- and para-phenyl groups. The formally positive nitrogen atom lies at the bottom of two symmetric narrow holes. Two anions can interact electrostatically on both sides of the probe, but the amount of this interaction is determined by their size [17,18]. Smaller ions such as halogenides are able to be nearest, leading to a stronger interaction.
- Other ions are placed in order to balance the electrostatic interactions.
2. Experimental Part
2.1. Synthesis of Trioctylmethylphosphonium Bis-(Trifluoromethylsulfonyl)Imide ([TOMP]Tf2N) (1)
2.2. Synthesis of N,N-Ethylmethylmorpholinium Bromide ([C1C2Mor]Br) (12)
2.3. Synthesis of N-Butylpyridinium Bromide ([C4Pyr]Br) (13)
2.4. Synthesis of 1-Methyl-3-(Naphthalen-2-Ylmethyl)-1H-Imidazolium Bromide ([Naphc1im]Br) (14)
2.5. Synthesis of N-Butylpicolinium Bromides ([o-C4Pic]Br (15); [M-C4Pic]Br (16); [P-C4Pic]Br (17))
2.6. Synthesis of 1-Butyl-3-Methylimidazolium Bromide ([C4C1Im]Br) (18)
2.7. Synthesis of 1,3-Bis-(Phenylmethyl)Imidazolium Bromide ([(Bz)2Im]Br) (19)
2.8. General Procedure for The Synthesis of 3,3′-(Hexane-1,6-Diyl)Bis-(1-Alkylimidazolium) Bromides (20–21)
2.9. General Procedure for The Preparation of Bis-(Trifluoromethylsulfonyl)Imide Ils 2–11
3. Results and Discussion
4. Conclusions
Supplementary Materials
Author Contributions
Funding
Institutional Review Board Statement
Informed Consent Statement
Data Availability Statement
Conflicts of Interest
Sample Availability
References
- Welton, T.; Reichardt, C. Solvents and Solvent Effects in Organic Chemistry, 4th ed.; Wiley: Hoboken, NJ, USA, 2010. [Google Scholar]
- Reichardt, C. Polarity of ionic liquids determined empirically by means of solvatochromic pyridinium N-phenolate betaine dyes. Green Chem. 2005, 7, 339. [Google Scholar] [CrossRef]
- Reichardt, C. Empirical Parameters of solvent polarity as linear free-energy relationships. Angew. Chem. Int. Ed. Engl. 1979, 18, 98–110. [Google Scholar] [CrossRef]
- Reichardt, C. Solvatochromic dyes as solvent polarity indicators. Chem Rev. 1994, 94, 2319–2358. [Google Scholar] [CrossRef]
- Karmakar, N.K.; Pandey, S.; Pandey, R.K.; Shukla, S.S. Solvatochromism: A tool for solvent discretion for UV-Vis spectroscopic studies. Appl. Spectrosc. Rev. 2021, 56, 513–529. [Google Scholar] [CrossRef]
- Machado, V.G.; Stock, R.I.; Reichardt, C. Pyridinium N -Phenolate Betaine dyes. Chem. Rev. 2014, 114, 10429–10475. [Google Scholar] [CrossRef]
- Tada, E.B.; Novaki, L.P.; el Seoud, O.A. Solvatochromism in pure and binary solvent mixtures: Effects of the molecular structure of the zwitterionic probe. J. Phys. Org. Chem. 2000, 13, 679–687. [Google Scholar] [CrossRef]
- Chiappe, C.; Pomelli, C.S.; Rajamani, S. Influence of structural variations in cationic and anionic moieties on the polarity of ionic liquids. J. Phys. Chem. B 2011, 115, 9653–9661. [Google Scholar] [CrossRef]
- Spange, S.; Lienert, C.; Friebe, N.; Schreiter, K. Complementary interpretation of ET (30) Polarity Parameters of ionic liquids. Phys. Chem. Chem. Phys. 2020, 22, 9954–9966. [Google Scholar] [CrossRef]
- Crowhurst, L.; Mawdsley, P.R.; Perez-Arlandis, J.M.; Salter, P.A.; Welton, T. Solvent–Solute interactions in ionic liquids. Phys. Chem. Chem. Phys. 2003, 5, 2790–2794. [Google Scholar] [CrossRef]
- Fletcher, K.A.; Storey, I.A.; Hendricks, A.E.; Pandey, S.; Pandey, S. Behavior of the solvatochromic probes Reichardt’s Dye, pyrene, dansylamide, nile red and 1-Pyrenecarbaldehyde within the room-temperature ionic liquid BmimPF6. Green Chem. 2001, 3, 210–215. [Google Scholar] [CrossRef]
- Ab Rani, M.A.; Brant, A.; Crowhurst, L.; Dolan, A.; Lui, M.; Hassan, N.H.; Hallett, J.P.; Hunt, P.A.; Niedermeyer, H.; Perez-Arlandis, J.M.; et al. Understanding the polarity of ionic liquids. Phys. Chem. Chem. Phys. 2011, 13, 16831. [Google Scholar] [CrossRef] [PubMed]
- Reichardt, C. Pyridinium-N-Phenolate Betaine Dyes as empirical indicators of solvent polarity: Some new findings. Pure Appl. Chem. 2008, 80, 1415–1432. [Google Scholar] [CrossRef]
- Dzyuba, S.V.; Bartsch, R.A. Expanding the polarity range of ionic liquids. Tetrahedron Lett. 2002, 43, 4657–4659. [Google Scholar] [CrossRef]
- Mellein, B.R.; Aki, S.N.V.K.; Ladewski, R.L.; Brennecke, J.F. Solvatochromic studies of ionic liquid/organic mixtures. J. Phys. Chem. B 2007, 111, 131–138. [Google Scholar] [CrossRef] [PubMed]
- Cláudio, A.F.M.; Swift, L.; Hallett, J.P.; Welton, T.; Coutinho, J.A.P.; Freire, M.G. Extended scale for the hydrogen-bond basicity of ionic liquids. Phys. Chem. Chem. Phys. 2014, 16, 6593. [Google Scholar] [CrossRef]
- Chiappe, C.; Pomelli, C.S. The first solvation shell of reichardt’s dye in ionic liquids: A semiempirical study. Theor. Chem. Acc. 2012, 131, 1195. [Google Scholar] [CrossRef]
- Pomelli, C.S.; Chiappe, C. A computational study of the effect of ionic liquid anions on Reichardt’s dye solvatochromism. Theor. Chem. Acc. 2018, 137, 95. [Google Scholar] [CrossRef]
- Guido, C.A.; Chrayteh, A.; Scalmani, G.; Mennucci, B.; Jacquemin, D. Simple protocol for capturing both linear-response and state-specific effects in excited-state calculations with continuum solvation models. J. Chem. Theory Comput. 2021, 17, 5155–5164. [Google Scholar] [CrossRef]
- Frediani, L.; Pomelli, C.S.; Tomasi, J. N-alkyl alcohols at the water/vapour and water/benzene interfaces: A study on phase transfer energies. Phys. Chem. Chem. Phys. 2000, 2, 4876–4883. [Google Scholar] [CrossRef]
- Pomelli, C.S.; Tomasi, J. Ab initio study of the SN 2 reaction CH3Cl + Cl− → Cl− + CH3Cl in supercritical water with the polarizable continuum model. J. Phys. Chem. A 1997, 101, 3561–3568. [Google Scholar] [CrossRef]
- Bortolini, O.; Chiappe, C.; Fogagnolo, M.; Massi, A.; Pomelli, C.S. Formation, oxidation, and fate of the breslow intermediate in the N-heterocyclic carbene-catalyzed aerobic oxidation of aldehydes. J. Org. Chem. 2017, 82, 302–312. [Google Scholar] [CrossRef] [PubMed]
- Bortolini, O.; Chiappe, C.; Fogagnolo, M.; Giovannini, P.P.; Massi, A.; Pomelli, C.S.; Ragno, D. An insight into the mechanism of the aerobic oxidation of aldehydes catalyzed by N-heterocyclic carbenes. Chem. Commun. 2014, 50, 2008–2011. [Google Scholar] [CrossRef] [PubMed]
- Mancuso, R.; Pomelli, C.S.; Chiappetta, P.; Gioia, K.F.; Maner, A.; Marino, N.; Veltri, L.; Chiappe, C.; Gabriele, B. Divergent Syntheses of (Z)-3-alkylideneisobenzofuran-1(3 H)-ones and 1 H-isochromen-1-ones by copper-catalyzed cycloisomerization of 2-alkynylbenzoic acids in ionic liquids. J. Org. Chem. 2018, 83, 6673–6680. [Google Scholar] [CrossRef] [PubMed]
- Mancuso, R.; Pomelli, C.S.; Chiappe, C.; Larock, R.C.; Gabriele, B. A recyclable and base-free method for the synthesis of 3-iodothiophenes by the iodoheterocyclisation of 1-mercapto-3-alkyn-2-ols in ionic liquids. Org. Biomol. Chem. 2014, 12, 651–659. [Google Scholar] [CrossRef]
- TeraChem, version 1.94; PetaChem, LLC: Los Altos Hills, CA, USA, 2022.
- Ufimtsev, I.S.; Martinez, T.J. Quantum chemistry on graphical processing units. 3. analytical energy gradients, geometry optimization, and first principles molecular dynamics. J. Chem. Theory Comput. 2009, 5, 2619–2628. [Google Scholar] [CrossRef]
- Grimme, S.; Antony, J.; Ehrlich, S.; Krieg, H. A consistent and accurate ab initio parametrization of density functional dispersion correction (DFT-D) for the 94 elements H-Pu. J. Chem. Phys. 2010, 132, 154104. [Google Scholar] [CrossRef]
- Guglielmero, L.; Mero, A.; Mezzetta, A.; Tofani, G.; D’Andrea, F.; Pomelli, C.S.; Guazzelli, L. Novel access to ionic liquids based on trivalent Metal–EDTA complexes and their thermal and electrochemical characterization. J. Mol. Liq. 2021, 340, 117210. [Google Scholar] [CrossRef]
- Harjani, J.R.; Singer, R.D.; Garcia, M.T.; Scammells, P.J. Biodegradable pyridinium ionic liquids: Design, synthesis and evaluation. Green Chem. 2009, 11, 83–90. [Google Scholar] [CrossRef]
- Kakiuchi, F.; Kochi, T.; Mizushima, E.; Murai, S. Room-temperature regioselective C-H/Olefin coupling of aromatic ketones using an activated ruthenium catalyst with a carbonyl ligand and structural elucidation of key intermediates. J. Am. Chem. Soc. 2010, 132, 17741–17750. [Google Scholar] [CrossRef]
- Das, P.J.; Das, J. Selective O-methylation of phenols and benzyl alcohols in simple pyridinium based ionic liquids. J. Mol. Liq. 2015, 209, 94–98. [Google Scholar] [CrossRef]
- Eduque, R.M.; Creencia, E.C. Microwave-assisted fischer indole synthesis of 1,2,3,4-tetrahydrocarbazole using pyridinium-based ionic liquids. Procedia Chem. 2015, 16, 413–419. [Google Scholar] [CrossRef]
- Guglielmero, L.; Langroudi, M.M.; Khatib, M.A.; de Oliveira, M.A.C.; Mecheri, B.; de Leo, M.; Mezzetta, A.; Guazzelli, L.; Giglioli, R.; D’Epifanio, A.; et al. Electrochemical and spectroscopic study of vanadyl acetylacetonate–ionic liquids interactions. Electrochim. Acta 2021, 373, 137865. [Google Scholar] [CrossRef]
- Gruzdev, M.S.; Ramenskaya, L.M.; Chervonova, U.V.; Kumeev, R.S. Preparation of 1-Butyl-3-Methylimidazolium salts and study of their phase behavior and intramolecular intractions. Russ. J. Gen. Chem 2009, 79, 1720–1727. [Google Scholar] [CrossRef]
- Leclercq, L.; Simard, M.; Schmitzer, A.R. 1,3-Dibenzylimidazolium salts: A paradigm of water and anion effect on the supramolecular h-bonds network. J. Mol. Struct. 2009, 918, 101–107. [Google Scholar] [CrossRef]
- Guglielmero, L.; Mezzetta, A.; Guazzelli, L.; Pomelli, C.S.; D’Andrea, F.; Chiappe, C. Systematic synthesis and properties evaluation of dicationic ionic liquids, and a glance into a potential new field. Front. Chem. 2018, 6, 612. [Google Scholar] [CrossRef]
- Mezzetta, A.; Guglielmero, L.; Mero, A.; Tofani, G.; D’Andrea, F.; Pomelli, C.S.; Guazzelli, L. Expanding the chemical space of benzimidazole dicationic ionic liquids. Molecules 2021, 26, 4211. [Google Scholar] [CrossRef]
- Freire, M.G.; Neves, C.M.S.S.; Shimizu, K.; Bernardes, C.E.S.; Marrucho, I.M.; Coutinho, J.A.P.; Lopes, J.N.C.; Rebelo, L.P.N. Mutual solubility of water and structural/positional isomers of N -Alkylpyridinium-based ionic liquids. J. Phys. Chem. B 2010, 114, 15925–15934. [Google Scholar] [CrossRef]
- Tao, R.; Tamas, G.; Xue, L.; Simon, S.L.; Quitevis, E.L. Thermophysical properties of imidazolium-based ionic liquids: The effect of aliphatic versus aromatic functionality. J. Chem. Eng. Data 2014, 59, 2717–2724. [Google Scholar] [CrossRef]
- Mezzetta, A.; Rodriguez Douton, M.J.; Guazzelli, L.; Pomelli, C.S.; Chiappe, C. Microheterogeneity in ionic liquid mixtures: Hydrogen bonding, dispersed ions, and dispersed ion clusters. Aust. J. Chem. 2019, 72, 106. [Google Scholar] [CrossRef]
- Kulkarni, P.S.; Branco, L.C.; Crespo, J.G.; Nunes, M.C.; Raymundo, A.; Afonso, C.A.M. Comparison of physicochemical properties of new ionic liquids based on imidazolium, quaternary ammonium, and guanidinium cations. Chem.-A Eur. J. 2007, 13, 8478–8488. [Google Scholar] [CrossRef]
- Guglielmero, L.; Guazzelli, L.; Toncelli, A.; Chiappe, C.; Tredicucci, A.; Pomelli, C.S. An insight into the intermolecular vibrational modes of dicationic ionic liquids through far-infrared spectroscopy and DFT calculations. RSC Adv. 2019, 9, 30269–30276. [Google Scholar] [CrossRef] [PubMed]
- Mezzetta, A.; Perillo, V.; Guazzelli, L.; Chiappe, C. Thermal behavior analysis as a valuable tool for comparing ionic liquids of different classes. J. Therm. Anal. Calorim. 2019, 138, 3335–3345. [Google Scholar] [CrossRef]








| IL | RO-H/Å | RC1-O/Å | RC2-H/Å | ∡C1-O-H/˚ | ∡C2-H-O/˚ |
|---|---|---|---|---|---|
| none | - | 1.293 | - | - | - |
| [TOMP]Tf2N (1) | 3.635 | 1.253 | 1.089 | 96.7 | 167.9 |
| [C1C2Mor]Tf2N (2) | 2.503 | 1.254 | 1.086 | 80.4 | 85.8 |
| [C4Pyr]Tf2N (3) | 1.793 | 1.268 | 1.097 | 110.8 | 139.7 |
| [o-C4Pic]Tf2N (4) | 2.310 | 1.261 | 1.083 | 103.0 | 133.3 |
| [m-C4Pic]Tf2N (5) | 2.265 | 1.263 | 1.087 | 116.4 | 133.1 |
| [p-C4Pic]Tf2N (6) | 2.061 | 1.267 | 1.091 | 134.3 | 144.1 |
| [C4C1Im]Tf2N (7) | 1.729 | 1.268 | 1.099 | 146.2 | 146.9 |
| [NaphC1Im]Tf2N (8) | 1.732 | 1.271 | 1.099 | 146.1 | 140.2 |
| [(Bz)2Im]Tf2N (9) | 1.770 | 1.271 | 1.099 | 145.6 | 138.2 |
| [C1Im-C6-C1Im]Tf2N (10) | 1.821 | 1.277 | 1.096 | 153.1 | 125.5 |
| [C4Im-C6-C4Im]Tf2N (11) | 1.812 | 1.278 | 1.098 | 153.4 | 125.3 |
| IL | λ1/nm | osc1 | λ2/nm | osc2 | N |
|---|---|---|---|---|---|
| none | 659.8 | 0.4076 | - | - | - |
| [TOMP]Tf2N (1) | 589.4 | 0.2343 | - | - | - |
| [C1C2Mor]Tf2N (2) | 563.5 | 0.2008 | 289.8 | 0.0001 | + 2 |
| [C4Pyr]Tf2N (3) | 505.5 | 0.1669 | 416.2 | 0.0031 | + 2 |
| [o-C4Pic]Tf2N (4) | 527.6 | 0.1916 | 446.3 | 0.0006 | + 2 |
| [m-C4Pic]Tf2N (5) | 522.9 | 0.2200 | 432.7 | 0.0142 | + 2 |
| [p-C4Pic]Tf2N (6) | 518.3 | 0.1769 | 429.7 | 0.0161 | + 2 |
| [C4C1Im]Tf2N (7) | 502.0 | 0.1823 | 309.1 | 0.1933 | + 2 |
| [NaphC1Im]Tf2N (8) | 502.7 | 0.1964 | 309.9 | 0.1882 | + 2 |
| [(Bz)2Im]Tf2N (9) | 506.3 | 0.1873 | 308.7 | 0.1890 | + 2 |
| [C1Im-C6-C1Im]Tf2N (10) | 429.4 | 0.2343 | 324.8 | 0.1391 | + 1 |
| [C4Im-C6-C4Im]Tf2N (11) | 424.2 | 0.1619 | 327.2 | 0.1214 | + 1 |
| IL | λ1/nm | H1/nm | λ2/nm | A2/A1 | H2/nm | λ3/nm | A3/A1 | H3/nm | a | b |
|---|---|---|---|---|---|---|---|---|---|---|
| [TOMP]Tf2N (1) | 598.9 | 59.9 | - | - | - | 151.3 | 152.4 | 105.1 | 0.0 | 0.3 |
| [C1C2Mor]Tf2N (2) | 569.9 | 75.6 | 406.9 | 27.6 | 20.4 | 314.3 | 441.4 | 56.5 | 0.0 | 0.1 |
| [C4Pyr]Tf2N (3) | 535.6 | 68.1 | 322.0 | 2.60 | 12.4 | 85.3 | 409.7 | 119.3 | 0.0 | 0.0 |
| [o-C4Pic]Tf2N (4) | 390.1 | 16.8 | 371.7 | 0.75 | 10.2 | 321.5 | 18.8 | 26.9 | 0.0 | 0.2 |
| [m-C4Pic]Tf2N (5) | 582.0 | 55.8 | 383.9 | 1.54 | 24.3 | 315.9 | 16.1 | 28.35 | 0.0 | 0.2 |
| [p-C4Pic]Tf2N (6) | 483.7 | 21.2 | 362.9 | 0.56 | 17.5 | 309.4 | 11.5 | 22.3 | 0.0 | 0.3 |
| [C4C1Im]Tf2N (7) | 554.1 | 72.2 | 393.3 | 52.1 | 24.2 | 274.4 | 1589.8 | 55.0 | 0.0 | 0.1 |
| [NaphC1Im]Tf2N (8) | 586.0 | 44.7 | 358.7 | 1052.8 | 27.2 | 340.9 | 490.8 | 8.5 | 0.0 | 0.3 |
| [(Bz)2Im]Tf2N (9) | 547.3 | 98.6 | 371.3 | 46.1 | 21.2 | 322.7 | 368.1 | 61.3 | 0.0 | 0.9 |
| [C1Im-C6-C1Im]Tf2N (10) | 554.8 | 60.0 | 379.8 | 1.70 | 24.6 | 312.0 | 15.7 | 25.9 | 0.0 | 0.1 |
| [C4Im-C6-C4Im]Tf2N (11) | 569.2 | 57.3 | 383.7 | 1.68 | 20.4 | 314.3 | 23.35 | 28.7 | 0.0 | 0.1 |
Publisher’s Note: MDPI stays neutral with regard to jurisdictional claims in published maps and institutional affiliations. |
© 2022 by the authors. Licensee MDPI, Basel, Switzerland. This article is an open access article distributed under the terms and conditions of the Creative Commons Attribution (CC BY) license (https://creativecommons.org/licenses/by/4.0/).
Share and Cite
Mero, A.; Guglielmero, L.; Guazzelli, L.; D’Andrea, F.; Mezzetta, A.; Pomelli, C.S. A Specific Interaction between Ionic Liquids’ Cations and Reichardt’s Dye. Molecules 2022, 27, 7205. https://doi.org/10.3390/molecules27217205
Mero A, Guglielmero L, Guazzelli L, D’Andrea F, Mezzetta A, Pomelli CS. A Specific Interaction between Ionic Liquids’ Cations and Reichardt’s Dye. Molecules. 2022; 27(21):7205. https://doi.org/10.3390/molecules27217205
Chicago/Turabian StyleMero, Angelica, Luca Guglielmero, Lorenzo Guazzelli, Felicia D’Andrea, Andrea Mezzetta, and Christian Silvio Pomelli. 2022. "A Specific Interaction between Ionic Liquids’ Cations and Reichardt’s Dye" Molecules 27, no. 21: 7205. https://doi.org/10.3390/molecules27217205
APA StyleMero, A., Guglielmero, L., Guazzelli, L., D’Andrea, F., Mezzetta, A., & Pomelli, C. S. (2022). A Specific Interaction between Ionic Liquids’ Cations and Reichardt’s Dye. Molecules, 27(21), 7205. https://doi.org/10.3390/molecules27217205

