Hydroxy-3-Phenylcoumarins as Multitarget Compounds for Skin Aging Diseases: Synthesis, Molecular Docking and Tyrosinase, Elastase, Collagenase and Hyaluronidase Inhibition, and Sun Protection Factor
Abstract
1. Introduction
2. Results and Discussion
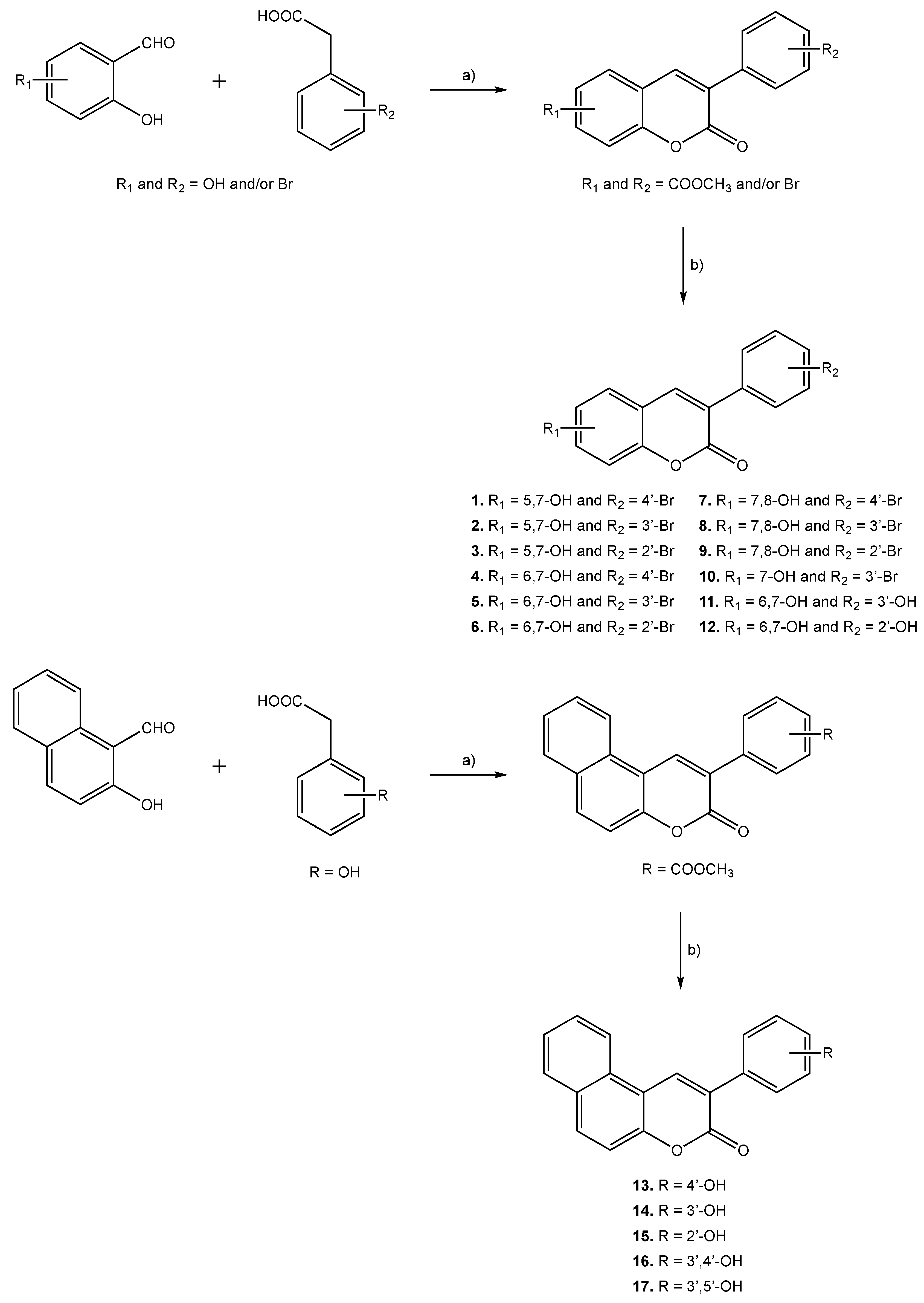
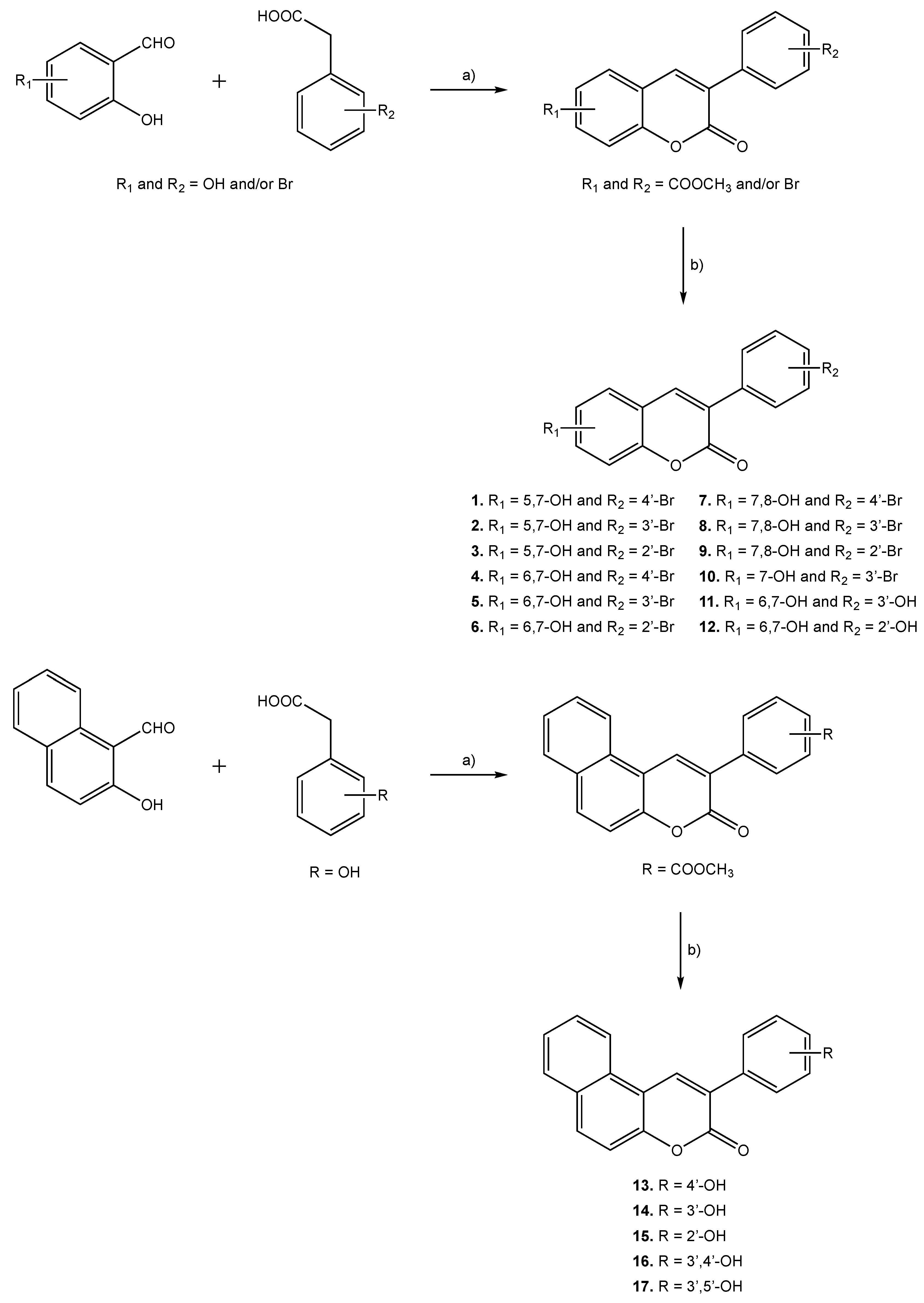
2.1. Chemistry
2.2. Biological Assays
2.2.1. Enzyme Inhibition
2.2.2. Structure–Activity Relationship (SAR)
2.2.3. Sun Protection Factor (SPF)
2.2.4. Cell Viability
2.3. Molecular Docking
3. Materials and Methods
3.1. Chemistry
3.1.1. General Information
3.1.2. General Procedure for the Synthesis of Acetoxy-3-Phenylcoumarins
3.1.3. General Procedure for the Synthesis of Hydroxy-3-Phenylcoumarins (1–17)
- 3-(4′-Bromophenyl)-5,7-dihydroxycoumarin (1) [11].
- 3-(3′-Bromophenyl)-5,7-dihydroxycoumarin (2). Yield: 89%. Rf (Hexane/Ethyl Acetate 5:5): 0.17. Mp: 273–275 °C. 1H NMR (DMSO-d6) δ (ppm), J (Hz): 6.20–6.27 (m, 2H, H-6, H-8), 7.35 (t, 1H, H-5′, J = 7.6), 7.52 (d, 1H, H-6′, J = 7.6), 7.65 (d, 1H, H-4′, J = 7.6), 7.86 (s, 1H, H-2′), 8.08 (s, 1H, H-4), 10.48 (s, 1H, OH), 10.78 (s, 1H, OH). 13C NMR (DMSO-d6) δ (ppm): 93.9, 98.5, 102.4, 121.5, 125.5, 127.2, 130.5, 130.8, 133.3, 136.9, 137.9, 156.0, 156.6, 160.2, 162.7. MS m/z (%): 335.1 (16), 333.9 (90), 332.0 (92).
- 3-(2′-Bromophenyl)-5,7-dihydroxycoumarin (3). Yield: 89%. Rf (Hexane/Ethyl Acetate 5:5): 0.15. Mp: 233–235 °C. 1H NMR (DMSO-d6) δ (ppm), J (Hz): 6.24–6.27 (m, 2H, H-6, H-8), 7.27–7.42 (m, 3H, H-4′, H-5′, H-6′), 7.66 (d, 1H, H-3′, J = 7.7), 7.81 (s, 1H, H-4), 10.57 (s, 1H, OH), 10.85 (s, 1H, OH). 13C NMR (DMSO-d6) δ (ppm): 94.0, 101.7, 110.3, 120.3, 123.7, 127.9, 130.2, 132.1, 132.5, 132.5, 136.8, 138.2, 156.3, 156.4, 162.5. MS m/z (%): 335.1 (17), 333.9 (96), 332.0 (91).
- 3-(4′-Bromophenyl)-6,7-dihydroxycoumarin (4). Yield: 82%. Rf (Hexane/Ethyl Acetate 5:5): 0.06. Mp: 260–262 °C. 1H NMR (DMSO-d6) δ (ppm), J (Hz): 6.74 (s, 1H, H-8), 7.02 (s, 1H, H-5), 7.58–7.61 (m, 4H, H-2′, H-3′, H-5′, H-6′), 8.11 (s, 1H, H-4), 9.47 (s, 1H, OH), 10.29 (s, 1H, OH). 13C NMR (DMSO-d6) δ (ppm): 102.4, 111.6, 121.0, 121.3, 130.4, 131.2, 134.7, 137.7, 141.5, 143.3, 148.3, 150.9, 160.2. MS m/z (%): 335.1 (16), 334.0 (100), 333.0 (18), 332.0 (99).
- 3-(3′-Bromophenyl)-6,7-dihydroxycoumarin (5). Yield: 86%. Rf (Hexane/Ethyl Acetate 5:5): 0.06. Mp: 255–257 °C. 1H NMR (DMSO-d6) δ (ppm), J (Hz): 6.73–6.76 (m, 1H, H-8), 7.02–7.05 (m, 1H, H-5), 7.31–7.49 (m, 1H, H-6′), 7.50 (d, 1H, H-5′, J = 8.5), 7.66 (d, 1H, H-4′, J = 8.5), 7.86–7.89 (m, 1H, H-2′), 8.16 (s, 1H, H-4), 9.50 (s, 1H, OH), 10.31 (s, 1H, OH). 13C NMR (DMSO-d6) δ (ppm): 102.3, 111.5, 121.5, 127.4, 130.4, 130.7, 130.8, 130.8, 137.8, 139.8, 142.1, 143.2, 148.4, 151.1, 166.0. MS m/z (%): 335.0 (16), 333.9 (99), 332.9 (14), 332.0 (100).
- 3-(2′-Bromophenyl)-6,7-dihydroxycoumarin (6). Yield: 86 Rf (Hexane/Ethyl Acetate 5:5): 0.08. Mp: 248–250 °C. 1H NMR (DMSO-d6) δ (ppm), J (Hz): 6.67 (s, 1H, H-8), 7.33 (s, 1H, H-5), 7.38–7.42 (m, 3H, H-4′, H-5′, H-6′), 7.65–7.68 (m, 1H, H-3′), 7.86 (s, 1H, H-4), 9.46 (s, 1H, OH), 10.29 (s, 1H, OH). 13C NMR (DMSO-d6) δ (ppm): 102.6, 110.9, 112.6, 123.6, 123.7, 127.8, 130.2, 130.7, 132.0, 136.9, 143.2, 150.8, 153.9, 156.7, 164.6. MS m/z (%): 385.1 (12), 384.2 (30), 383.1 (100).
- 3-(4′-Bromophenyl)-7,8-dihydroxycoumarin (7). Yield: 90%. Rf (Hexane/Ethyl Acetate 5:5): 0.14. Mp: 230–233 °C. 1H NMR (DMSO-d6) δ (ppm), J (Hz): 6.78–6.83 (m, 1H, H-6), 7.00–7.09 (m, 1H, H-5), 7.55–7.71 (m, 4H, H-2′, H-3′, H-5′, H-6′), 8.12 (s, 1H, H-4), 9.38 (s, 1H, OH), 10.15 (s, 1H, OH). 13C NMR (DMSO-d6) δ (ppm): 113.0, 119.5, 127.8, 128.3, 130.5, 131.2, 132.2, 136.1, 139.7, 143.4, 147.9, 150.0, 157.5. MS m/z (%): 335.1 (16), 334.0 (100), 332.9 (18), 332.0 (98).
- 3-(3′-Bromophenyl)-7,8-dihydroxycoumarin (8). Yield: 86%. Rf (Hexane/Ethyl Acetate 5:5): 0.11. Mp: 252–254 °C. 1H NMR (DMSO-d6) δ (ppm), J (Hz): 6.82 (d, 1H, H-6, J = 8.3), 7.09 (d, 1H, H-5, J = 8.3), 7.37 (t, 1H, H-6′, J = 7.7), 7.55 (d, 1H, H-5′, J = 7.7), 7.70 (d, 1H, H-4′, J = 7.7), 7.90 (s, 1H, H-2′), 8.19 (s, 1H, H-4), 9.46 (s, 1H, OH), 10.23 (s, 1H, OH). 13C NMR (DMSO-d6) δ (ppm): 108.0, 112.8, 113.1, 119.6, 120.3, 121.6, 127.5, 130.4, 130.9, 132.0, 137.7, 147.6, 150.1, 150.8, 166.5, 169.3. MS m/z (%): 335.1 (16), 334.0 (100), 333.0 (18), 332.0 (98).
- 3-(2′-Bromophenyl)-7,8-dihydroxycoumarin (9) [18].
- 3-(3′-Bromophenyl)-7-hydroxycoumarin (10). Yield: 72%. Rf (Hexane/Ethyl Acetate 5.5): 0.09. Mp: 224–225 °C. 1H NMR (DMSO-d6) δ (ppm), J (Hz): 6.71–6.79 (m, 2H, H-6, H-8), 7.34–7.67 (m, 4H, H-5, H-4′, H-5′, H-6′), 7.86 (s, 1H, H-2′), 8.19 (s, 1H, H-4′), 10.67 (s, 1H, OH). 13C NMR (DMSO-d6) δ (ppm): 101.9, 112.0, 113.7, 120.6, 121.6, 127.4, 130.4, 130.4, 130.9, 137.6, 142.1, 153.3, 155.2, 160.0, 161.7. MS m/z (%): 318.0 (99), 317.1 (21), 316.0 (100).
- 6,7-Dihydroxy-3-(3′-hydroxyphenyl)coumarin (11) [19].
- 6,7-Dihydroxy-3-(2′-hydroxyphenyl)coumarin (12). Yield: 80%. Rf (Hexane/Ethyl Acetate 5:5): 0.05. Mp: 265–267 °C. 1H NMR (DMSO-d6) δ (ppm), J (Hz): 6.76–6.88 (m, 3H, H-5, H-8, H-5′), 6.97–7.03 (m, 1H, H-4′), 7.18–7.22 (m, 2H, H-2′, H-3′), 7.82 (s, 1H, H-4), 9.40 (s, 1H, OH), 9.46 (s, 1H, OH). 13C NMR (DMSO-d6) δ (ppm): 102.4, 111.4, 112.4, 115.8, 118.8, 123.0, 129.3, 131.1, 142.5, 143.0, 148.2, 150.1, 155.2, 155.6, 166.7. MS m/z (%): 392.1 (16), 391.1 (29), 390.0 (100).
- 3-(4′-Hydroxyphenyl)benzo[f]coumarin (13) [20].
- 3-(3′-Hydroxyphenyl)benzo[f]coumarin (14) [20].
- 3-(2′-Hydroxyphenyl)benzo[f]coumarin (15) [20].
- 3-(3′,4′-Dihydroxyphenyl)benzo[f]coumarin (16) [20].
- 3-(3′,5′-Dihydroxyphenyl)benzo[f]coumarin (17) [20].
3.2. Biological Assays
3.2.1. Enzyme Inhibition
Tyrosinase Inhibition Assay
Elastase Inhibition Assay
Collagenase Inhibition Assay
Hyaluronidase Inhibition Assay
In Vitro Determination of the Sun Protection Factor
Cell Culture
3.3. Docking Simulations
4. Conclusions
Supplementary Materials
Author Contributions
Funding
Data Availability Statement
Conflicts of Interest
References
- Gallo, R.L. Human Skin Is the Largest Epithelial Surface for Interaction with Microbes. J. Investig. Dermatol. 2017, 137, 1213–1214. [Google Scholar] [CrossRef] [PubMed]
- Franco, A.C.; Aveleira, C.; Cavadas, C. Skin senescence: Mechanisms and impact on whole-body aging. Trends Mol. Med. 2022, 28, 97–109. [Google Scholar] [CrossRef]
- Tundis, R.; Loizzo, M.R.; Bonesi, M.; Menichini, F. Potential role of natural compounds against skin aging. Curr. Med. Chem. 2015, 22, 1515–1538. [Google Scholar] [CrossRef] [PubMed]
- Rosa, G.P.; Palmeira, A.; Resende, D.I.S.P.; Almeida, I.F.; Kane-Pagès, A.; Barreto, M.C.; Sousa, E.; Pinto, M.M.M. Xanthones for melanogenesis inhibition: Molecular docking and QSAR studies to understand their anti-tyrosinase activity. Biorg. Med. Chem. 2021, 29, 115873. [Google Scholar] [CrossRef] [PubMed]
- Searle, T.; Al-Niaimi, F.; Ali, F.R. The top 10 cosmeceuticals for facial hyperpigmentation. Dermatol. Ther. 2020, 33, 1–12. [Google Scholar] [CrossRef]
- Jesumani, V.; Du, H.; Pei, P.; Zheng, C.; Cheong, K.L.; Huang, N. Unravelling property of polysaccharides from Sargassum sp. as an anti-wrinkle and skin whitening property. Int. J. Biol. Macromol. 2019, 140, 216–224. [Google Scholar] [CrossRef]
- Imokawa, G.; Ishida, K. Biological mechanisms underlying the ultraviolet radiation-induced formation of skin wrinkling and sagging I: Reduced skin elasticity, highly associated with enhanced dermal elastase activity, triggers wrinkling and sagging. Int. J. Mol. Sci. 2015, 16, 7753–7775. [Google Scholar] [CrossRef]
- Andrade, J.M.; Domínguez-Martín, E.M.; Nicolai, M.; Faustino, C.; Rodrigues, L.M.; Rijo, P. Screening the dermatological potential of plectranthus species components: Antioxidant and inhibitory capacities over elastase, collagenase and tyrosinase. J. Enzyme Inhib. Med. Chem. 2021, 36, 257–269. [Google Scholar] [CrossRef]
- Son, M.H.; Park, S.W.; Jung, Y.K. Antioxidant and anti-aging carbon quantum dots using tannic acid. Nanotechnology 2021, 32, 415102. [Google Scholar] [CrossRef]
- Pintus, F.; Matos, M.J.; Vilar, S.; Hripcsak, G.; Varela, C.; Uriarte, E.; Santana, L.; Borges, F.; Medda, R.; di Petrillo, A.; et al. New insights into highly potent tyrosinase inhibitors based on 3-heteroarylcoumarins: Anti-melanogenesis and antioxidant activities, and computational molecular modeling studies. Bioorgan. Med. Chem. 2017, 25, 1687–1695. [Google Scholar] [CrossRef]
- Matos, M.J.; Varela, C.; Vilar, S.; Hripcsak, G.; Borges, F.; Santana, L.; Uriarte, E.; Fais, A.; di Petrillo, A.; Pintus, F.; et al. Design and discovery of tyrosinase inhibitors based on a coumarin scaffold. RSC Adv. 2015, 5, 94227–94235. [Google Scholar] [CrossRef]
- Matos, M.J.; Santana, L.; Uriarte, E.; Serra, S.; Corda, M.; Fadda, M.B.; Era, B.; Fais, A. Tyrosine-like condensed derivatives as tyrosinase inhibitors. J. Pharm. Pharmacol. 2012, 64, 742–746. [Google Scholar] [CrossRef] [PubMed]
- Matos, M.J.; Santana, L.; Uriarte, E.; Delogu, G.; Corda, M.; Fadda, M.B.; Era, B.; Fais, A. New halogenated phenylcoumarins as tyrosinase inhibitors. Bioorg. Med. Chem. Lett. 2011, 21, 3342–3345. [Google Scholar] [CrossRef] [PubMed]
- Fais, A.; Corda, M.; Era, B.; Fadda, M.B.; Matos, M.J.; Quezada, E.; Santana, L.; Picciau, C.; Podda, G.; Delogu, G. Tyrosinase inhibitor activity of coumarin-resveratrol hybrids. Molecules 2009, 14, 2514–2520. [Google Scholar] [CrossRef]
- Adasme, M.F.; Linnemann, K.L.; Bolz, S.N.; Kaiser, F.; Salentin, S.; Haupt, V.J.; Schroeder, M. PLIP 2021: Expanding the scope of the protein-ligand interaction profiler to DNA and RNA. Nucleic Acids Res. 2021, 49, W530–W534. [Google Scholar] [CrossRef]
- Mechqoq, H.; Hourfane, S.; El Yaagoubi, M.; Hamdaoui, A.E.; da Almeida, J.R.G.S.; Rocha, J.M.; Aouad, N.E. Molecular Docking, Tyrosinase, Collagenase, and Elastase Inhibition Activities of Argan By-Products. Cosmetics 2022, 9, 24. [Google Scholar] [CrossRef]
- Jung, H.J.; Noh, S.G.; Park, Y.; Kang, D.; Chun, P.; Chung, H.Y.; Moon, H.R. In vitro and in silico insights into tyrosinase inhibitors with (E)-benzylidene-1-indanone derivatives. Comput. Struct. Biotechnol. J. 2019, 17, 1255–1264. [Google Scholar] [CrossRef]
- Ashihara, E.; Nakamura, S.M.; Yamashita, M. Cancer metastasis inhibitor containing phenyl coumarin derivative, and its combinational use. PCT Int. Appl. 2020, 130120, 20200625. [Google Scholar]
- Juvonen, R.O.; Jokinen, E.M.; Javaid, A.; Lehtonen, M.; Raunio, H.; Pentikäinen, O.T. Inhibition of human CYP1 enzymes by a classical inhibitor α-naphthoflavone and a novel inhibitor N-(3, 5-dichlorophenyl)cyclopropanecarboxamide: An in vitro and in silico study. Chem. Biol. Drug Des. 2020, 95, 520–533. [Google Scholar] [CrossRef]
- Matos, M.J.; Janeiro, P.; Franco, R.M.G.; Vilar, S.; Tatonetti, N.P.; Santana, L.; Uriarte, E.; Borges, F.; Fontanela, J.A.; Dolores, V. Synthesis, pharmacological study and docking calculations of new benzo[f]coumarin derivatives as dual inhibitors of enzymatic systems involved in neurodegenerative diseases. Future Med. Chem. 2014, 6, 371–383. [Google Scholar] [CrossRef]
- Chompoo, J.; Upadhyay, A.; Fukuta, M.; Tawata, S. Effect of Alpinia zerumbet components on antioxidant and skin diseases-related enzymes. BMC Complement. Altern. Med. 2012, 12, 106. [Google Scholar] [CrossRef] [PubMed]
- Era, B.; Floris, S.; Sogos, V.; Porcedda, C.; Piras, A.; Medda, R.; Fais, A.; Pintus, F. Anti-aging potential of extracts from Washingtonia filifera seeds. Plants 2021, 10, 151. [Google Scholar] [CrossRef]
- Mansur, J.S.; Breder, M.N.R.; Mansur, M.C.A.; Azulay, R.D. Determinação Do Fator De Proteção Solar Por Espectrofotometria. An. Bras. Dermatol. 1986, 61, 121–124. [Google Scholar]
- Sayre, R.M.; Agin, P.P.; LeVee, G.J.; Marlowe, E. Comparison of in Vivo and in Vitro Testing of Sunscreening Formulas. Photochem. Photobiol. 1979, 29, 559–566. [Google Scholar] [CrossRef] [PubMed]
- Borkakot, N.; Winkler, F.K.; Williams, D.H.; D’arcy, A.; Broadhurst, M.J.; Brown, P.A.; Johnson, W.H.; Murray, E.J. Structure of the catalytic domain of human fibroblast collagenase complexed with an inhibitor. Nat. Struct. Biol. 1994, 1, 106–110. [Google Scholar] [CrossRef] [PubMed]
- Ismaya, W.T.; Rozeboom, H.J.; Weijn, A.; Mes, J.J.; Fusetti, F.; Wichers, H.J.; Dijkstra, B.W. Crystal structure of agaricus bisporus mushroom tyrosinase: Identity of the tetramer subunits and interaction with tropolone. Biochemistry 2011, 50, 5477–5486. [Google Scholar] [CrossRef] [PubMed]
- Available online: https://chemaxon.com/ (accessed on 1 September 2022).
- O’Boyle, N.M.; Banck, M.; James, C.A.; Morley, C.; Vandermeersch, T.; Hutchison, G.R. Open Babel: An Open chemical toolbox. J. Cheminform. 2011, 3, 33. [Google Scholar] [CrossRef]
- Kumar, A.; Baccoli, R.; Fais, A.; Cincotti, A.; Pilia, L.; Gatto, G. Substitution effects on the optoelectronic properties of coumarin derivatives. Appl. Sci. 2020, 10, 144. [Google Scholar] [CrossRef]
- Wu, Q.; Peng, Z.; Zhang, Y.; Yang, J. COACH-D: Improved protein-ligand binding sites prediction with refined ligand-binding poses through molecular docking. Nucleic Acids Res. 2018, 46, W438–W442. [Google Scholar] [CrossRef]
- Trott, O.; Olson, A.J. AutoDock Vina: Improving the speed and accuracy of docking with a new scoring function, efficient optimization, and multithreading. J. Comput. Chem. 2010, 31, 455–461. [Google Scholar] [CrossRef]





| Compound | IC50 (μM) a | |||
|---|---|---|---|---|
| Tyrosinase | Elastase | Collagenase | Hyaluronidase | |
| 1 | 1.05 ± 0.06 b | >50 | 123.4 ± 2.2 | >200 |
| 2 | 7.0 ± 0.7 | >50 | 110.4 ± 2.8 | >200 |
| 3 | >50 | >50 | 124.6 ± 10.2 | >200 |
| 4 | 39.9 ± 0.7 | >50 | >150 | 112.0 ± 6.4 |
| 5 | 8.3 ± 0.1 | 37.4 ± 1.9 | >150 | >200 |
| 6 | >50 | >50 | 140.2 ± 8.0 | >200 |
| 7 | >50 | >50 | >150 | >200 |
| 8 | >50 | >50 | 122.0 ± 4.8 | >200 |
| 9 | >50 | >50 | >150 | >200 |
| 10 | 42.0 ± 1.1 | >50 | >150 | >200 |
| 11 | >50 | >50 | 143.3 ± 7.1 | 227.7 ± 9.5 |
| 12 | >50 | >50 | 133.5 ± 6.6 | >200 |
| 13 | >50 | >50 | 96.8 ± 5.9 | >200 |
| 14 | >50 | >50 | >150 | >200 |
| 15 | >50 | >50 | >150 | >200 |
| 16 | >50 | >50 | >150 | >200 |
| 17 | >50 | >50 | >150 | >200 |
| Kojic acid | 17.9 ± 0.98 | - | - | - |
| Oleanolic acid | - | 25.7 ± 1.4 | - | 212.4 ± 9.2 |
| Epigallocatechin gallate | - | - | 120.8 ± 6.2 | - |
| Compound | SPF |
|---|---|
| 1 | 6.43 ± 0.84 |
| 2 | 4.52 ± 0.22 |
| 3 | 5.89 ± 0.21 |
| 4 | 8.23 ± 0.14 |
| 5 | 8.23 ± 0.64 |
| 6 | 8.08 ± 0.01 |
| 7 | 5.88 ± 1.35 |
| 8 | 6.94 ± 2.57 |
| 9 | 4.27 ± 0.91 |
| 10 | 6.70 ± 1.30 |
| 11 | 5.44 ± 0.64 |
| 12 | 5.64 ± 1.43 |
| 13 | 6.40 ± 1.53 |
| 14 | 5.08 ± 0.46 |
| 15 | 6.89 ± 3.28 |
| 16 | 5.09 ± 1.35 |
| 17 | 4.34 ± 0.66 |
| Compounds | Energy Score (kcal/mol) | Interacting Residues |
|---|---|---|
| 1 | −5.6 | Hydrophobic: N180, L181, V215, Y240 Hydrogen bonds: N180, Y240 Halogen bonds: R214 |
| 2 | −6.2 | Hydrophobic: L181, V215, Y240 Hydrogen bonds: G179 Pi-stacking: H218 Salt bridge: H218 |
| 13 | −6.4 | Hydrophobic: L181, V215, H218 Pi-stacking: His 218 |
| Compounds | Energy Score (kcal/mol) | Interacting Residues |
|---|---|---|
| 1 | −6.0 | H-phobic: H85, F264, V283 H-bonds: H244, E256, N260, V283 Salt bridge: H263 |
| 2 | −5.7 | H-phobic: H85, F264, V283 H-bonds: E256 Salt bridge: H263 |
| 5 | −5.3 | H-phobic: F264, V283 H-bonds: H244, E256 Salt bridge: H263 |
| Wavelength (nm) | EE × I |
|---|---|
| 290 | 0.0150 |
| 295 | 0.0817 |
| 300 | 0.2874 |
| 305 | 0.3278 |
| 310 | 0.1864 |
| 315 | 0.0837 |
| 320 | 0.0180 |
Publisher’s Note: MDPI stays neutral with regard to jurisdictional claims in published maps and institutional affiliations. |
© 2022 by the authors. Licensee MDPI, Basel, Switzerland. This article is an open access article distributed under the terms and conditions of the Creative Commons Attribution (CC BY) license (https://creativecommons.org/licenses/by/4.0/).
Share and Cite
Pintus, F.; Floris, S.; Fais, A.; Era, B.; Kumar, A.; Gatto, G.; Uriarte, E.; Matos, M.J. Hydroxy-3-Phenylcoumarins as Multitarget Compounds for Skin Aging Diseases: Synthesis, Molecular Docking and Tyrosinase, Elastase, Collagenase and Hyaluronidase Inhibition, and Sun Protection Factor. Molecules 2022, 27, 6914. https://doi.org/10.3390/molecules27206914
Pintus F, Floris S, Fais A, Era B, Kumar A, Gatto G, Uriarte E, Matos MJ. Hydroxy-3-Phenylcoumarins as Multitarget Compounds for Skin Aging Diseases: Synthesis, Molecular Docking and Tyrosinase, Elastase, Collagenase and Hyaluronidase Inhibition, and Sun Protection Factor. Molecules. 2022; 27(20):6914. https://doi.org/10.3390/molecules27206914
Chicago/Turabian StylePintus, Francesca, Sonia Floris, Antonella Fais, Benedetta Era, Amit Kumar, Gianluca Gatto, Eugenio Uriarte, and Maria João Matos. 2022. "Hydroxy-3-Phenylcoumarins as Multitarget Compounds for Skin Aging Diseases: Synthesis, Molecular Docking and Tyrosinase, Elastase, Collagenase and Hyaluronidase Inhibition, and Sun Protection Factor" Molecules 27, no. 20: 6914. https://doi.org/10.3390/molecules27206914
APA StylePintus, F., Floris, S., Fais, A., Era, B., Kumar, A., Gatto, G., Uriarte, E., & Matos, M. J. (2022). Hydroxy-3-Phenylcoumarins as Multitarget Compounds for Skin Aging Diseases: Synthesis, Molecular Docking and Tyrosinase, Elastase, Collagenase and Hyaluronidase Inhibition, and Sun Protection Factor. Molecules, 27(20), 6914. https://doi.org/10.3390/molecules27206914

