Isolation of Phenolic Compounds from Raspberry Based on Molecular Imprinting Techniques and Investigation of Their Anti-Alzheimer’s Disease Properties
Abstract
1. Introduction
2. Results
2.1. Optimization of Synthesis Conditions for Molecularly Imprinted Polymers
2.1.1. Optimization of the Volume of the Pore-Forming Solvent (Carbon Tetrachloride) Volume
2.1.2. Optimization of Response Time
2.1.3. Optimization of Microwave Power
2.2. Characterization of the Polymer Structure
2.2.1. FTIR Analysis
2.2.2. SEM Analysis
2.2.3. XRD Analysis
2.2.4. TGA Analysis
2.3. Adsorption Capacity and Adsorption Kinetics Results
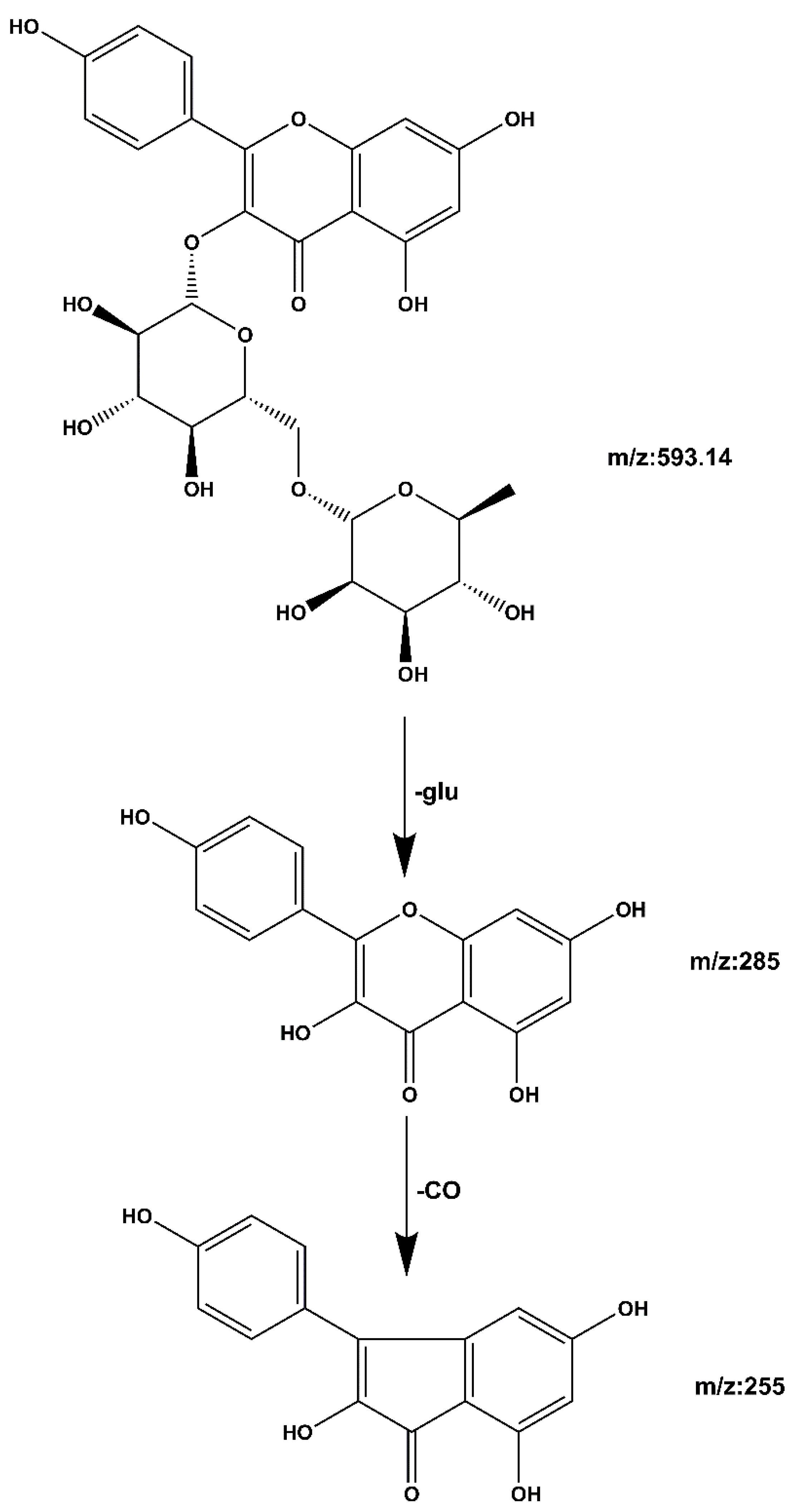
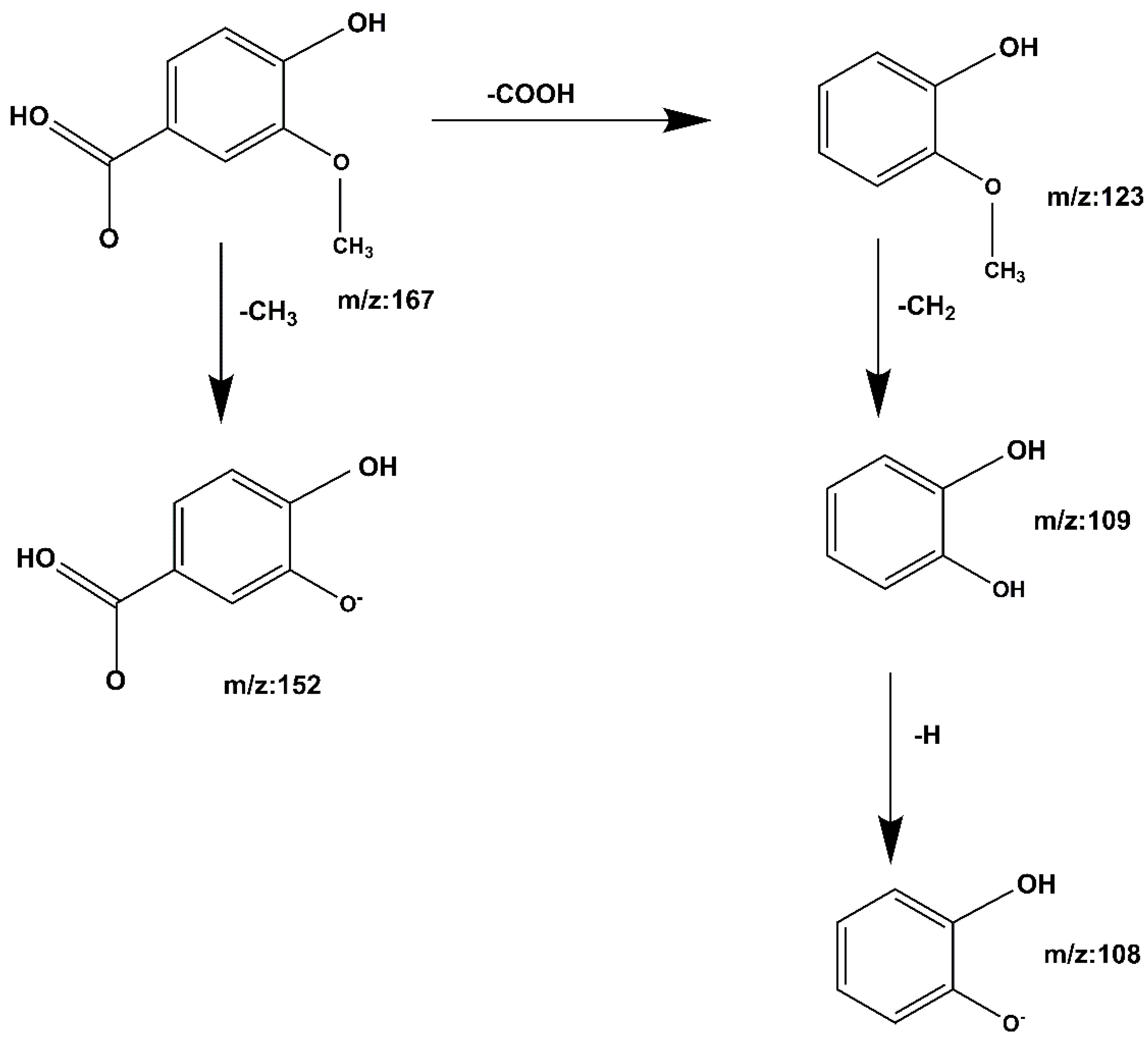
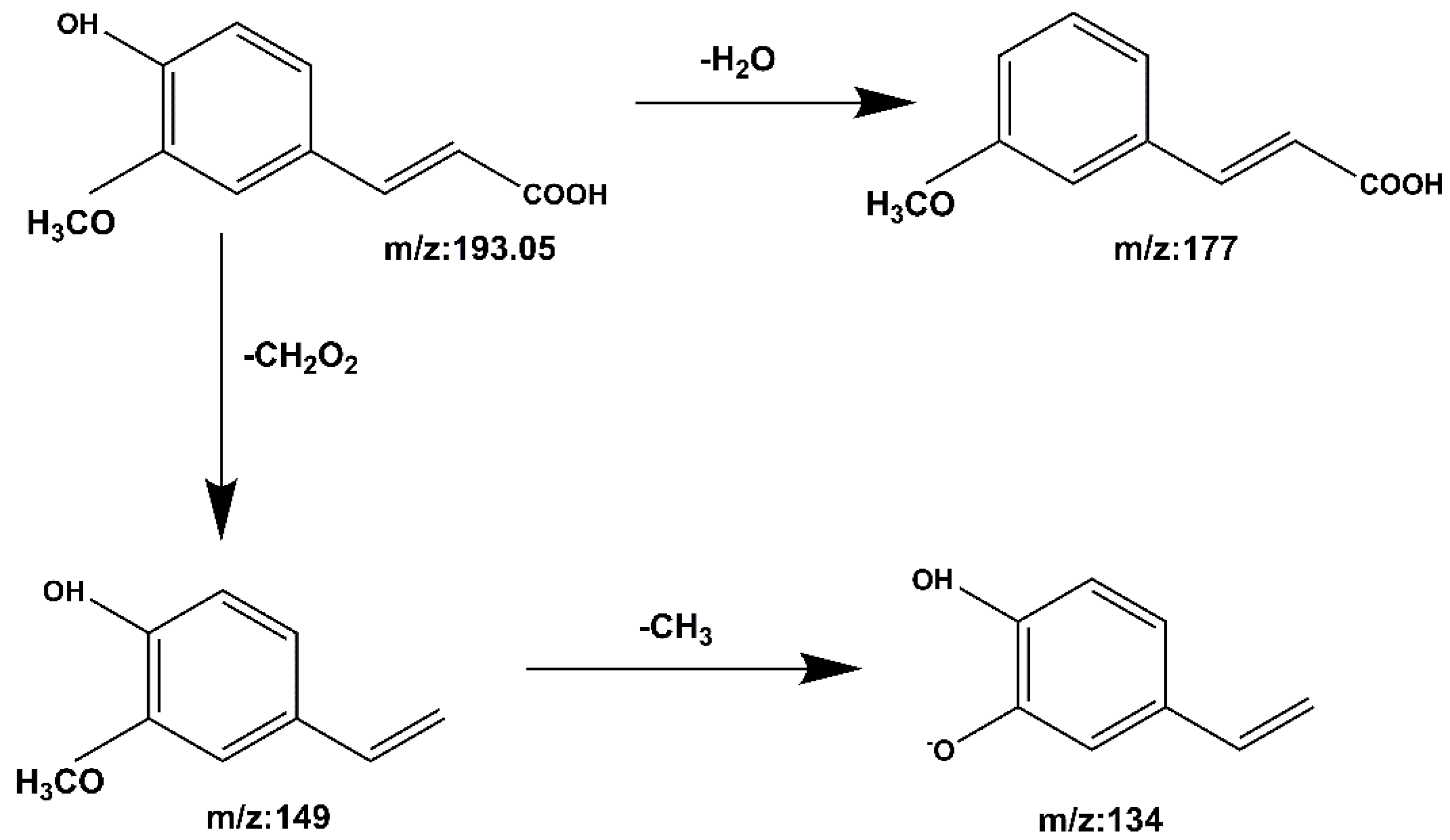
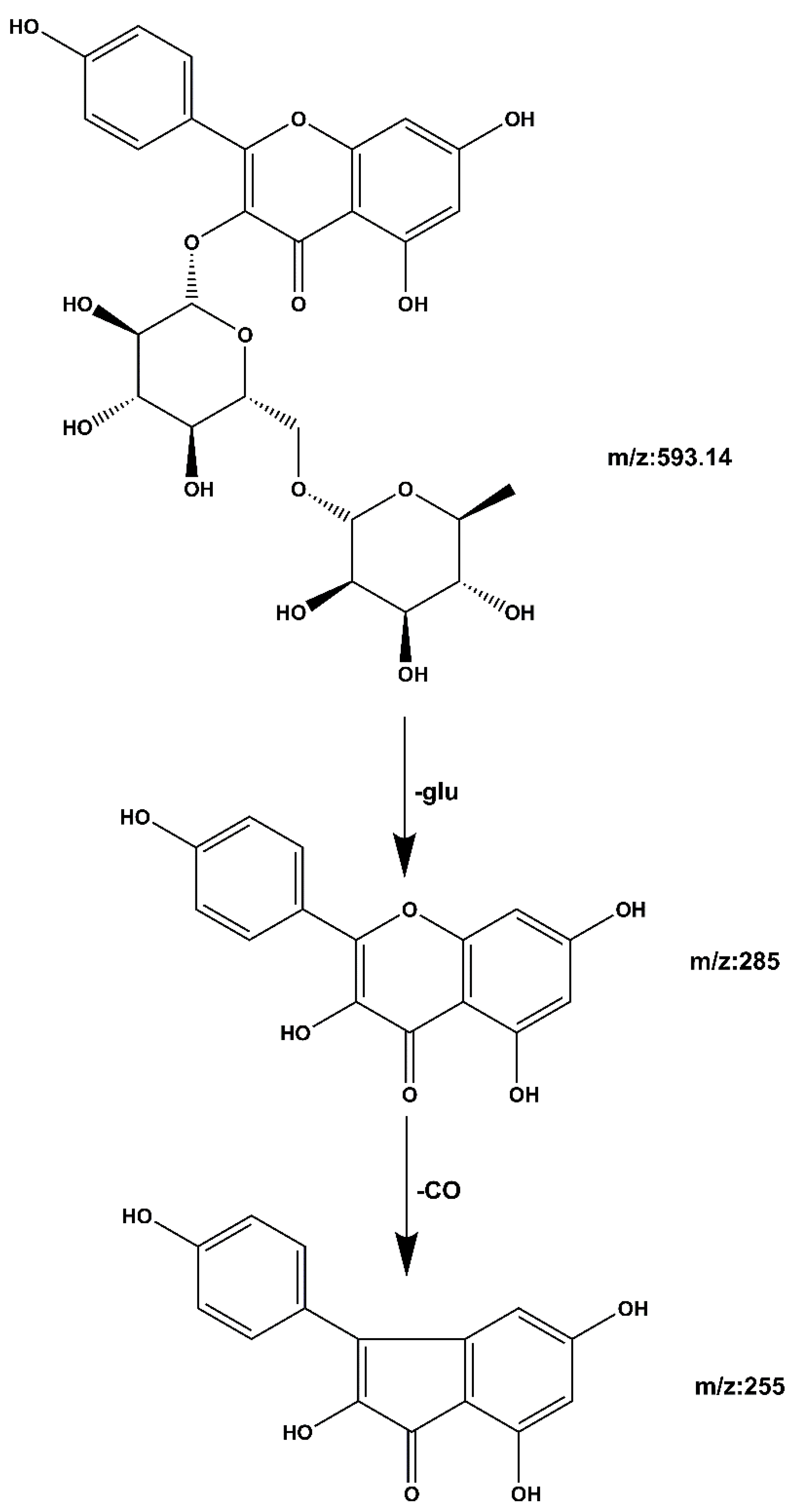
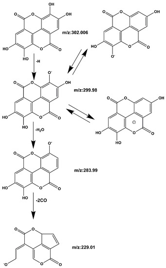
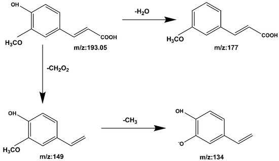
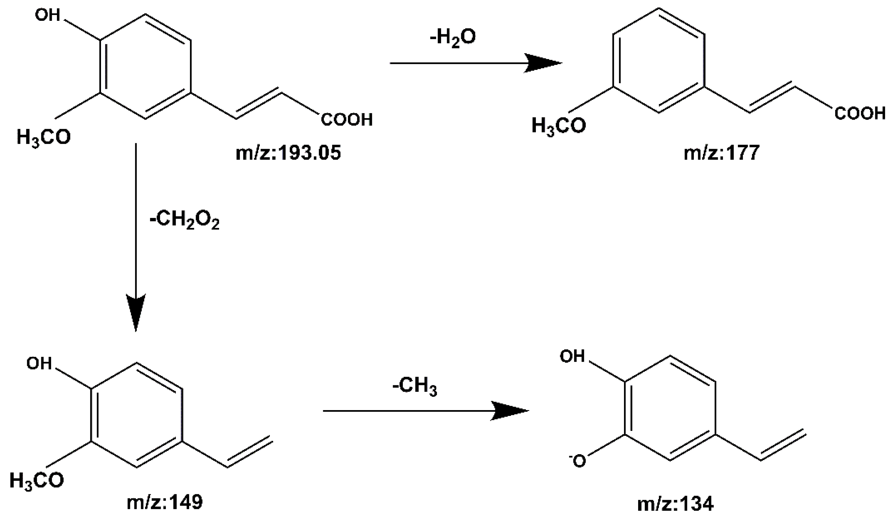
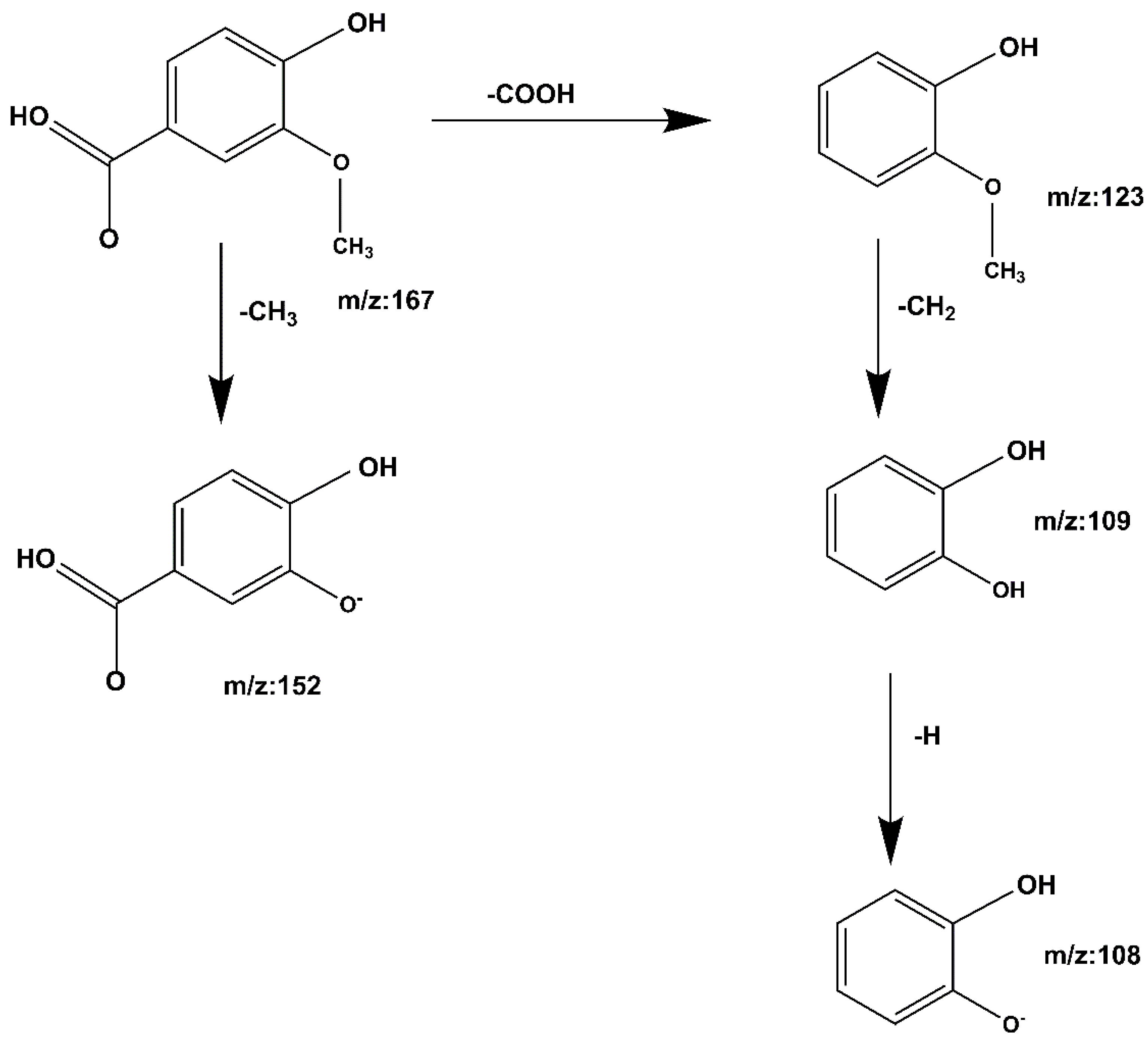
2.4. Qualitative Analysis of the Isolated Compounds by UPLC-Q-TOF-MS
2.5. Molecular Docking Results
2.5.1. Molecular Docking Results of Six Phenolic Components with TNF-α, IL-1β, and IL-6 Target Proteins
2.5.2. Molecular Docking of Six Phenolic Components with Alzheimer’s Disease Targets
2.6. Effects of the Isolated Six Compounds and LPS on the Secretion of Inflammatory Mediators in BV2 Cells
2.6.1. Effects of the Six Compounds and LPS on the Viability of BV2 Cells
2.6.2. Effects of Six Phenolic Compounds on LPS-Induced NO Levels in BV2 Cells
2.6.3. Effects of Six Phenolic Compounds on LPS-Induced TNF-α, IL-1 β, and IL-6 Levels in BV2 Cells
3. Discussion
4. Materials and Methods
4.1. Chemicals and Reagents
4.2. Instruments
4.3. Synthesis of Ellagic Acid Imprinted Polymers by Silica Gel Surface Polymerization
4.3.1. Silica Gel Acid Activation
4.3.2. Silanization of the Silica Gel Surface
4.3.3. Preparation of Ellagic Acid Imprinted Polymer on the Silica Gel Surface
4.4. Characterization of the Polymer Structure
4.4.1. Fourier Transform Infrared Spectroscopy (FTIR)
4.4.2. Scanning Electron Microscope (SEM)
4.4.3. X-ray Diffraction (XRD)
4.4.4. Thermogravimetric Analysis (TGA)
4.5. Dynamic and Static Adsorption Experiments
4.6. Solid Phase Extraction from Raspberry (Ethyl Acetate Extract) Using Ellagic Acid-Imprinted Polymers
4.7. Identification of Isolated and Enriched Compounds Based on UPLC-Q-TOF-MS
4.7.1. UPLC-Q-TOF-MS Conditions
4.7.2. Qualitative Analysis Using UPLC-Q-TOF-MS
4.8. Molecular Docking
4.9. In Vitro Anti-Alzheimer Studies of Isolated and Identified Components
4.9.1. Effects of Isolated Components on the Proliferation of LPS Treated BV2 Cells
4.9.2. NO Level Detection Using Griess Method
4.9.3. Detection of TNF-α, IL-1 β, IL-6 Levels by ELISA
4.10. Data Processing and Statistical Analysis
5. Conclusions
Supplementary Materials
Author Contributions
Funding
Institutional Review Board Statement
Informed Consent Statement
Data Availability Statement
Acknowledgments
Conflicts of Interest
Sample Availability
References
- Brookmeyer, R.; Johnson, E.; Ziegler-Grahamm, K.; Arrighi, H.M. O1–02–01: Forecasting the global prevalence and burden of Alzheimer’s disease. Alzheimer’s Dement. 2007, 3, S168. [Google Scholar] [CrossRef]
- Schneider, L.S.; Mangialasche, F.; Andreasen, N.; Feldman, H.; Giacobini, E.; Jones, R.; Mantua, V.; Mecocci, P.; Pani, L.; Winblad, B. Clinical trials and late-stage drug development for Alzheimer’s disease: An appraisal from 1984 to 2014. J. Intern. Med. 2014, 275, 251–283. [Google Scholar] [CrossRef] [PubMed]
- Assadeck, H.; Daouda, M.T.; Omar, E.A.; Mamadou, Z.; Djibo, F.H.; Maiga, D.D. Inflammatory demyelinating diseases of the central nervous system in Niger. Rev. Neurol. 2019, 175, 261–268. [Google Scholar] [CrossRef] [PubMed]
- Ma, H.; Johnson, S.L.; Liu, W.; DaSilva, N.A.; Meschwitz, S.; Dain, J.A.; Seeram, N.P. Evaluation of polyphenol anthocyanin-enriched extracts of blackberry, black raspberry, blueberry, cranberry, red raspberry, and strawberry for free radical scavenging, reactive carbonyl species trapping, anti-glycation, anti-β-amyloid aggregation, and microglial neuroprotective effects. Int. J. Mol. Sci. 2018, 19, 461. [Google Scholar]
- Yirmiya, R.; Rimmerman, N.; Reshef, R. Depression as a microglial disease. Trends Neurosci. 2015, 38, 637–658. [Google Scholar] [CrossRef]
- Bagyinszky, E.; Van Giau, V.; Shim, K.; Suk, K.; An, S.S.A.; Kim, S. Role of inflammatory molecules in the Alzheimer’s disease progression and diagnosis. J. Neurol. Sci. 2017, 376, 242–254. [Google Scholar] [CrossRef]
- Sheng, J.-Y.; Si-Qi, W.; Kao-Hua, L.; Bo, Z.; Zhang, Q.-Y.; Lu-Ping, Q.; Jian-Jun, W. Rubus chingii Hu: An overview of botany, traditional uses, phytochemistry, and pharmacology. Chin. J. Nat. Med. 2020, 18, 401–416. [Google Scholar] [CrossRef]
- Ali, N.; Shaoib, M.; Shah, S.W.A.; Shah, I.; Shuaib, M. Pharmacological profile of the aerial parts of Rubus ulmifolius Schott. BMC Complement. Altern. Med. 2017, 17, 59. [Google Scholar] [CrossRef]
- Burton-Freeman, B.M.; Sandhu, A.K.; Edirisinghe, I. Red raspberries and their bioactive polyphenols: Cardiometabolic and neuronal health links. Adv. Nutr. 2016, 7, 44–65. [Google Scholar] [CrossRef]
- Chen, W.; Li, Y.; Bao, T.; Gowd, V. Mulberry Fruit Extract Affords Protection against Ethyl Carbamate-Induced Cytotoxicity and Oxidative Stress. Oxidative Med. Cell. Longev. 2017, 2017, 1594963. [Google Scholar] [CrossRef]
- Vasapollo, G.; Sole, R.D.; Mergola, L.; Lazzoi, M.R.; Scardino, A.; Scorrano, S.; Mele, G. Molecularly imprinted polymers: Present and future prospective. Int. J. Mol. Sci. 2011, 12, 5908–5945. [Google Scholar] [CrossRef] [PubMed]
- Cheong, W.J.; Yang, S.H.; Ali, F. Molecular imprinted polymers for separation science: A review of reviews. J. Sep. Sci. 2013, 36, 609–628. [Google Scholar] [CrossRef] [PubMed]
- Turiel, E.; Martín-Esteban, A. Molecularly imprinted polymers for sample preparation: A review. Anal. Chim. Acta 2010, 668, 87–99. [Google Scholar] [CrossRef] [PubMed]
- Xing, R.; Wang, S.; Bie, Z.; He, H.; Liu, Z. Preparation of molecularly imprinted polymers specific to glycoproteins, glycans and monosaccharides via boronate affinity controllable–oriented surface imprinting. Nat. Protoc. 2017, 12, 964–987. [Google Scholar] [CrossRef] [PubMed]
- Morris, C.J.; Corte, D.D. Using molecular docking and molecular dynamics to investigate protein-ligand interactions. Mod. Phys. Lett. B 2021, 35, 2130002. [Google Scholar] [CrossRef]
- Trott, O.; Olson, A. Software news and update AutoDock Vina: Improving the speed and accuracy of docking with a new scoring function. Effic. Optim. Multithreading 2009. [Google Scholar]
- Wu, Q.; Ping, Y.; Zou, J.; Huang, L.; Naeem, A.; Chen, J.; Wang, Y. Study on the Separation and Cytotoxicity of Raspberry Phenolic Compounds Based on Molecular Imprinting Technology. Available online: https://ssrn.com/abstract=4128845 (accessed on 1 September 2022).
- Xie, Y.H.; Ding, Y.H.; Liu, W.Q.; Bai, W.T.; Huang, L.P. Microwave assisted synthesis of quercetin-selective MIPs grafted on silica gel surface. Adv. Mater. Res. 2015, 1120, 608–614. [Google Scholar] [CrossRef]
- Li, Y.; Zhao, X.; Zu, Y.; Zhang, Y.; Ge, Y.; Zhong, C.; Wu, W. Preparation and characterization of micronized ellagic acid using antisolvent precipitation for oral delivery. Int. J. Pharm. 2015, 486, 207–216. [Google Scholar] [CrossRef]
- Zhang, H.; Zhao, S.; Zhang, L.; Han, B.; Yao, X.; Chen, W.; Hu, Y. Preparation of ellagic acid molecularly imprinted polymeric microspheres based on distillation–precipitation polymerization for the efficient purification of a crude extract. J. Sep. Sci. 2016, 39, 3098–3104. [Google Scholar] [CrossRef]
- Xiao, Y.; Zhou, L.; Hao, H.; Bao, Y.; Yin, Q.; Xie, C. Cocrystals of propylthiouracil and nutraceuticals toward sustained-release: Design, structure analysis, and solid-state characterization. Cryst. Growth Des. 2021, 21, 1202–1217. [Google Scholar] [CrossRef]
- Rekondo, A.; Irusta, L.; Fernández-Berridi, M. Characterization of silanized poly (ether-urethane) hybrid systems using thermogravimetric analysis (TG). J. Therm. Anal. Calorim. 2010, 101, 331–337. [Google Scholar] [CrossRef]
- Rui, C.; He, J.; Li, Y.; Liang, Y.; You, L.; He, L.; Li, K.; Zhang, S. Selective extraction and enrichment of aflatoxins from food samples by mesoporous silica FDU-12 supported aflatoxins imprinted polymers based on surface molecularly imprinting technique. Talanta 2019, 201, 342–349. [Google Scholar] [CrossRef] [PubMed]
- Gao, C.; Liu, S.; Zhang, X.; Liu, Y.; Qiao, C.; Liu, Z. Two-photon fluorescence and fluorescence imaging of two styryl heterocyclic dyes combined with DNA. Spectrochim. Acta. Part A Mol. Biomol. Spectrosc. 2016, 156, 1–8. [Google Scholar] [CrossRef] [PubMed]
- Zeng, Y.; Zhou, Y.; Kong, L.; Zhou, T.; Shi, G. A novel composite of SiO2-coated graphene oxide and molecularly imprinted polymers for electrochemical sensing dopamine. Biosens. Bioelectron. 2013, 45, 25–33. [Google Scholar] [CrossRef]
- Nowicka, A.; Kucharska, A.Z.; Sokół-Łętowska, A.; Fecka, I. Comparison of polyphenol content and antioxidant capacity of strawberry fruit from 90 cultivars of Fragaria× ananassa Duch. Food Chem. 2019, 270, 32–46. [Google Scholar] [CrossRef]
- Bursal, E.; Köksal, E.; Gülçin, İ.; Bilsel, G.; Gören, A.C. Antioxidant activity and polyphenol content of cherry stem (Cerasus avium L.) determined by LC–MS/MS. Food Res. Int. 2013, 51, 66–74. [Google Scholar] [CrossRef]
- Abad-García, B.; Garmón-Lobato, S.; Berrueta, L.A.; Gallo, B.; Vicente, F. On line characterization of 58 phenolic compounds in Citrus fruit juices from Spanish cultivars by high-performance liquid chromatography with photodiode-array detection coupled to electrospray ionization triple quadrupole mass spectrometry. Talanta 2012, 99, 213–224. [Google Scholar] [CrossRef]
- Cheiran, K.P.; Raimundo, V.P.; Manfroi, V.; Anzanello, M.J.; Kahmann, A.; Rodrigues, E.; Frazzon, J. Simultaneous identification of low-molecular weight phenolic and nitrogen compounds in craft beers by HPLC-ESI-MS/MS. Food Chem. 2019, 286, 113–122. [Google Scholar] [CrossRef]
- Huang, X.; Li, J.; Li, M.; Huang, J.; Jiang, X.; Fu, H.; Wu, J.; Bao, M.; Wang, S.; Zhang, M. Polyphenol-Enriched Extracts from Trapa acornis Husks Inhibit Her2-Positive SK-BR-3 Breast Cancer Cell Proliferation and In Vivo Tumor Angiogenesis. Nutr. Cancer 2021, 73, 1145–1156. [Google Scholar] [CrossRef]
- Gruz, J.; Novák, O.; Strnad, M. Rapid analysis of phenolic acids in beverages by UPLC–MS/MS. Food Chem. 2008, 111, 789–794. [Google Scholar] [CrossRef]
- Zhang, G.; Chen, S.; Zhou, W.; Meng, J.; Deng, K.; Zhou, H.; Hu, N.; Suo, Y. Rapid qualitative and quantitative analyses of eighteen phenolic compounds from Lycium ruthenicum Murray by UPLC-Q-Orbitrap MS and their antioxidant activity. Food Chem. 2018, 269, 150–156. [Google Scholar] [CrossRef] [PubMed]
- Zhou, Z.-M.; Yan, D.-M.; Wang, Y.-K.; Zhang, T.; Xiao, X.-R.; Dai, M.-Y.; Zhang, S.-W.; Liu, H.-N.; Li, F. Discovery of quality markers in Rubus chingii Hu using UPLC-ESI-QTOF-MS. J. Pharm. Biomed. Anal. 2021, 203, 114200. [Google Scholar] [CrossRef] [PubMed]
- Zan, T.; Piao, L.; Wei, Y.; Gu, Y.; Liu, B.; Jiang, D. Simultaneous determination and pharmacokinetic study of three flavonoid glycosides in rat plasma by LC–MS/MS after oral administration of Rubus chingii Hu extract. Biomed. Chromatogr. 2018, 32, e4106. [Google Scholar] [CrossRef] [PubMed]
- Forli, S.; Huey, R.; Pique, M.E.; Sanner, M.F.; Goodsell, D.S.; Olson, A.J. Computational protein–ligand docking and virtual drug screening with the AutoDock suite. Nat. Protoc. 2016, 11, 905–919. [Google Scholar] [CrossRef] [PubMed]
- Lu, S.-H.; Wu, J.W.; Liu, H.-L.; Zhao, J.-H.; Liu, K.-T.; Chuang, C.-K.; Lin, H.-Y.; Tsai, W.-B.; Ho, Y. The discovery of potential acetylcholinesterase inhibitors: A combination of pharmacophore modeling, virtual screening, and molecular docking studies. J. Biomed. Sci. 2011, 18, 8. [Google Scholar] [CrossRef] [PubMed]
- Shi, X.; Yu, W.; Yang, T.; Liu, W.; Zhao, Y.; Sun, Y.; Chai, L.; Gao, Y.; Dong, B.; Zhu, L. Panax notoginseng saponins provide neuroprotection by regulating NgR1/RhoA/ROCK2 pathway expression, in vitro and in vivo. J. Ethnopharmacol. 2016, 190, 301–312. [Google Scholar] [CrossRef] [PubMed]
- Bussi, C.; Peralta Ramos, J.M.; Arroyo, D.S.; Gaviglio, E.A.; Gallea, J.I.; Wang, J.M.; Celej, M.S.; Iribarren, P. Autophagy down regulates pro-inflammatory mediators in BV2 microglial cells and rescues both LPS and alpha-synuclein induced neuronal cell death. Sci. Rep. 2017, 7, 43153. [Google Scholar] [CrossRef]
- Liu, Y.; Song, M.; Che, T.; Bravo, D.; Pettigrew, J. Anti-inflammatory effects of several plant extracts on porcine alveolar macrophages in vitro. J. Anim. Sci. 2012, 90, 2774–2783. [Google Scholar] [CrossRef]
- Daniel, D.; Ana, R.; Jeremy, P.; Massimiliano, T.; Gina, B.; Alan, C. Dietary (poly) phenolics in human health: Structures, bioavaility, and evidence of protective effects against chronic diseases. Antioxid Redox Signal. 2013, 18, 1818–1892. [Google Scholar]
- Ríos Cañavate, J.L.; Giner Pons, R.M.; Marín Vázquez, M.; Recio Iglesias, M.C. A pharmacological update of ellagic acid. Planta Med. 2018, 84, 1068–1093. [Google Scholar]
- García-Niño, W.R.; Zazueta, C. Ellagic acid: Pharmacological activities and molecular mechanisms involved in liver protection. Pharmacol. Res. 2015, 97, 84–103. [Google Scholar] [CrossRef] [PubMed]
- Chen, L.; Wang, X.; Lu, W.; Wu, X.; Li, J. Molecular imprinting: Perspectives and applications. Chem. Soc. Rev. 2016, 45, 2137–2211. [Google Scholar] [CrossRef] [PubMed]
- Gokulakrishnan, S.; Arthanareeswaran, G.; Gnanasekaran, G.; László, Z.; Veréb, G.; Kertész, S.; Taweepreda, W. Advanced extraction and separation approaches for the recovery of dietary flavonoids from plant biomass: A review. Biomass Convers. Biorefinery 2022, 1–23. [Google Scholar] [CrossRef]
- Baker, Z.K.; Sardari, S. Molecularly imprinted polymer (MIP) applications in natural product studies based on medicinal plant and secondary metabolite analysis. Iran. Biomed. J. 2021, 25, 68. [Google Scholar] [CrossRef]
- Kaewkaen, P.; Tong-Un, T.; Wattanathorn, J.; Muchimapura, S.; Kaewrueng, W.; Wongcharoenwanakit, S. Mulberry fruit extract protects against memory impairment and hippocampal damage in animal model of vascular dementia. Evid. -Based Complement. Altern. Med. 2012, 2012. [Google Scholar] [CrossRef]
- Najafi, M.; Yousefi, Y.; Rafati, A. Synthesis, characterization and adsorption studies of several heavy metal ions on amino-functionalized silica nano hollow sphere and silica gel. Sep. Purif. Technol. 2012, 85, 193–205. [Google Scholar] [CrossRef]
- Baggiani, C.; Baravalle, P.; Giovannoli, C.; Anfossi, L.; Giraudi, G. Molecularly imprinted polymers for corticosteroids: Analysis of binding selectivity. Biosens. Bioelectron. 2010, 26, 590–595. [Google Scholar] [CrossRef]
- Bulani, V.D.; Kothavade, P.S.; Nagmoti, D.M.; Kundaikar, H.S.; Degani, M.S.; Juvekar, A.R. Characterisation and anti-inflammatory evaluation of the inclusion complex of ellagic acid with hydroxypropyl-β-cyclodextrin. J. Incl. Phenom. Macrocycl. Chem. 2015, 82, 361–372. [Google Scholar] [CrossRef]
- Foroughirad, S.; Haddadi-Asl, V.; Khosravi, A.; Salami-Kalajahi, M. Synthesis of magnetic nanoparticles-decorated halloysite nanotubes/poly ([2-(acryloyloxy) ethyl] trimethylammonium chloride) hybrid nanoparticles for removal of Sunset Yellow from water. J. Polym. Res. 2020, 27, 320. [Google Scholar] [CrossRef]
- Chowdhury, P.; Mondal, P.; Roy, K. Synthesis of polyaniline nanoparticle grafted silica gel and study of its Cr (VI) binding property. J. Appl. Polym. Sci. 2011, 119, 823–829. [Google Scholar] [CrossRef]
- Miura, C.; Li, H.; Matsunaga, H.; Haginaka, J. Molecularly imprinted polymer for chlorogenic acid by modified precipitation polymerization and its application to extraction of chlorogenic acid from Eucommia ulmodies leaves. J. Pharm. Biomed. Anal. 2015, 114, 139–144. [Google Scholar] [CrossRef] [PubMed]
- Cho, J.-Y.; Kim, S.-J.; Lee, H.-J.; Kim, J.-Y.; Lym, I.-J.; Kang, S.-K.; Park, K.-H.; Moon, J.-H. Isolation and identification of low molecular volatile compounds from ethyl acetate layer of Korean black raspberry (Rubus coreanus Miq.) wine. Korean J. Food Sci. Technol. 2011, 43, 558–563. [Google Scholar] [CrossRef]
- Cho, J.-Y.; Yoon, I.; Jung, D.-H.; Hyun, S.H.; Lee, K.-H.; Moon, J.-H.; Park, K.-H. Jaboticabin and flavonoids from the ripened fruit of black rasberry (Rubus coreanum). Food Sci. Biotechnol. 2012, 21, 1081–1086. [Google Scholar] [CrossRef]
- Zhi, K.; Wang, L.; Zhang, Y.; Jiang, Y.; Zhang, L.; Yasin, A. Influence of size and shape of silica supports on the sol–gel surface molecularly imprinted polymers for selective adsorption of gossypol. Materials 2018, 11, 777. [Google Scholar] [CrossRef]
- Bortolato, A.; Fanton, M.; Mason, J.S.; Moro, S. Molecular docking methodologies. In Biomolecular Simulations; Springer: Berlin/Heidelberg, Germany, 2013; pp. 339–360. [Google Scholar]
- Tomaselli, S.; La Vitola, P.; Pagano, K.; Brandi, E.; Santamaria, G.; Galante, D.; D’Arrigo, C.; Moni, L.; Lambruschini, C.; Banfi, L. Biophysical and in vivo studies identify a new natural-based polyphenol, counteracting Aβ oligomerization in vitro and Aβ oligomer-mediated memory impairment and neuroinflammation in an acute mouse model of Alzheimer’s disease. ACS Chem. Neurosci. 2019, 10, 4462–4475. [Google Scholar] [CrossRef]
- Windsor, P.K.; Plassmeyer, S.P.; Mattock, D.S.; Bradfield, J.C.; Choi, E.Y.; Miller III, B.R.; Han, B.H. Biflavonoid-induced disruption of hydrogen bonds leads to amyloid-β disaggregation. Int. J. Mol. Sci. 2021, 22, 2888. [Google Scholar] [CrossRef]
- Wang, Y.; Xu, W.; Yan, Z.; Zhao, W.; Mi, J.; Li, J.; Yan, H. Metformin induces autophagy and G0/G1 phase cell cycle arrest in myeloma by targeting the AMPK/mTORC1 and mTORC2 pathways. J. Exp. Clin. Cancer Res. CR 2018, 37, 63. [Google Scholar] [CrossRef]
- Lutz, M.B.; Suri, R.M.; Niimi, M.; Ogilvie, A.L.; Kukutsch, N.A.; Rößner, S.; Schuler, G.; Austyn, J.M. Immature dendritic cells generated with low doses of GM-CSF in the absence of IL-4 are maturation resistant and prolong allograft survival in vivo. Eur. J. Immunol. 2000, 30, 1813–1822. [Google Scholar] [CrossRef]
- Bai, L.; Hu, H.; Zhang, W.; Fu, J.; Lu, Z.; Liu, M.; Jiang, H.; Zhang, L.; Chen, Q.; Tan, P. Amine/acid catalyzed synthesis of a new silica-aminomethyl pyridine material as a selective adsorbent of copper. J. Mater. Chem. 2012, 22, 17293–17301. [Google Scholar] [CrossRef]
- Wada, L.; Ou, B. Antioxidant activity and phenolic content of Oregon caneberries. J. Agric. Food Chem. 2002, 50, 3495–3500. [Google Scholar] [CrossRef]
- Bae, J.Y.; Choi, J.S.; Kang, S.W.; Lee, Y.J.; Park, J.; Kang, Y.H. Dietary compound ellagic acid alleviates skin wrinkle and inflammation induced by UV-B irradiation. Exp. Dermatol. 2010, 19, e182–e190. [Google Scholar] [CrossRef] [PubMed]
- Zheng, P.; Zhang, B.; Luo, Z.; Du, W.; Guo, P.; Zhou, Y.; Chang, R.; Chang, C.; Fu, Q. Facile preparation of polydopamine-coated imprinted polymers on the surface of SiO2 for estrone capture in milk samples. J. Sep. Sci. 2018, 41, 2585–2594. [Google Scholar] [CrossRef] [PubMed]
- Cormack, P.A.; Elorza, A.Z. Molecularly imprinted polymers: Synthesis and characterisation. J. Chromatogr. B 2004, 804, 173–182. [Google Scholar] [CrossRef] [PubMed]
- Hidayat, A.R.P.; Sulistiono, D.O.; Murwani, I.K.; Endrawati, B.F.; Fansuri, H.; Zulfa, L.L.; Ediati, R. Linear and nonlinear isotherm, kinetic and thermodynamic behavior of methyl orange adsorption using modulated Al2O3@ UiO-66 via acetic acid. J. Environ. Chem. Eng. 2021, 9, 106675. [Google Scholar] [CrossRef]



















| S. No | tR | Quality Score | Deviation | Mode | Secondary Fragment Ions | Molecular Formula | Chemical Name |
|---|---|---|---|---|---|---|---|
| 1 | 14.1 | 302.006 | −2.4 | [M − H]− | 299.9, 283.99, 229.01 | C14H6O8 | Ellagic acid |
| 2 | 19.39 | 594.1585 | −4.6 | [M − H]− | 593.1, 285.04, 255.02 | C27H30O15 | Kaempferol 3-rutinoside |
| 3 | 2.16 | 170.0215 | 4.2 | [M − H]− | 169.0, 125.02, 97.03, 81.04 | C7H6O5 | Gallic acid |
| 4 | 11.22 | 168.0423 | 2.6 | [M − H]− | 167.0, 152.01, 123.04, 108.02 | C8H8O4 | Vanillic acid |
| 5 | 13.4 | 194.0579 | 2.6 | [M − H]− | 193.05, 178.0,149.05, 134.03 | C10H10O4 | Ferulic acid |
| 6 | 48.15 | 594.1373 | −1.9 | [M − H]− | 593.1, 285.04 | C30H26O13 | Tiliroside |
| Components | Binding Energies (kcal/mol) | ||
|---|---|---|---|
| IL-6 | IL-1β | TNF-α | |
| Ferulic acid | −5.1 | −5.5 | −6.5 |
| Tiliroside | −6.4 | −7.8 | −9.7 |
| Gallic acid | −5.8 | −5.2 | −6.5 |
| Ellagic acid | −7 | −6.7 | −10 |
| Kaempferol-3-o-rutoside | −7.3 | −7.3 | −8.5 |
| Vanillic acid | −5.6 | −4.9 | −6.4 |
Publisher’s Note: MDPI stays neutral with regard to jurisdictional claims in published maps and institutional affiliations. |
© 2022 by the authors. Licensee MDPI, Basel, Switzerland. This article is an open access article distributed under the terms and conditions of the Creative Commons Attribution (CC BY) license (https://creativecommons.org/licenses/by/4.0/).
Share and Cite
Wu, Q.; Naeem, A.; Zou, J.; Yu, C.; Wang, Y.; Chen, J.; Ping, Y. Isolation of Phenolic Compounds from Raspberry Based on Molecular Imprinting Techniques and Investigation of Their Anti-Alzheimer’s Disease Properties. Molecules 2022, 27, 6893. https://doi.org/10.3390/molecules27206893
Wu Q, Naeem A, Zou J, Yu C, Wang Y, Chen J, Ping Y. Isolation of Phenolic Compounds from Raspberry Based on Molecular Imprinting Techniques and Investigation of Their Anti-Alzheimer’s Disease Properties. Molecules. 2022; 27(20):6893. https://doi.org/10.3390/molecules27206893
Chicago/Turabian StyleWu, Qian, Abid Naeem, Jiamei Zou, Chengqun Yu, Yingjie Wang, Jingbin Chen, and Yuhui Ping. 2022. "Isolation of Phenolic Compounds from Raspberry Based on Molecular Imprinting Techniques and Investigation of Their Anti-Alzheimer’s Disease Properties" Molecules 27, no. 20: 6893. https://doi.org/10.3390/molecules27206893
APA StyleWu, Q., Naeem, A., Zou, J., Yu, C., Wang, Y., Chen, J., & Ping, Y. (2022). Isolation of Phenolic Compounds from Raspberry Based on Molecular Imprinting Techniques and Investigation of Their Anti-Alzheimer’s Disease Properties. Molecules, 27(20), 6893. https://doi.org/10.3390/molecules27206893
