Comparison of Different Volatile Extraction Methods for the Identification of Fishy Off-Odor in Fish By-Products
Abstract
:1. Introduction
2. Materials and Methods
2.1. Samples and Chemicals
2.2. Solid-phase Microextraction (SPME)
2.3. Solvent-Assisted Flavor Evaporation (SAFE)
2.4. Dynamic Headspace Sampling (DHS)
2.5. Stir Bar Sorptive Extraction (SBSE)
2.6. Liquid-Liquid Extraction (LLE)
2.7. Gas Chromatography-Olfactometry-Mass Spectrometry (GC-O-MS) Analysis
2.8. GC × GC-O-MS Analysis
2.9. Aroma Extraction Dilution Analysis (AEDA)
2.10. Qualitative and Quantitative Analysis
2.11. Relative Odor Activity Value (R-OAV) Calculation
2.12. Omission Experiment
2.13. Statistical Analysis
3. Results and discussion
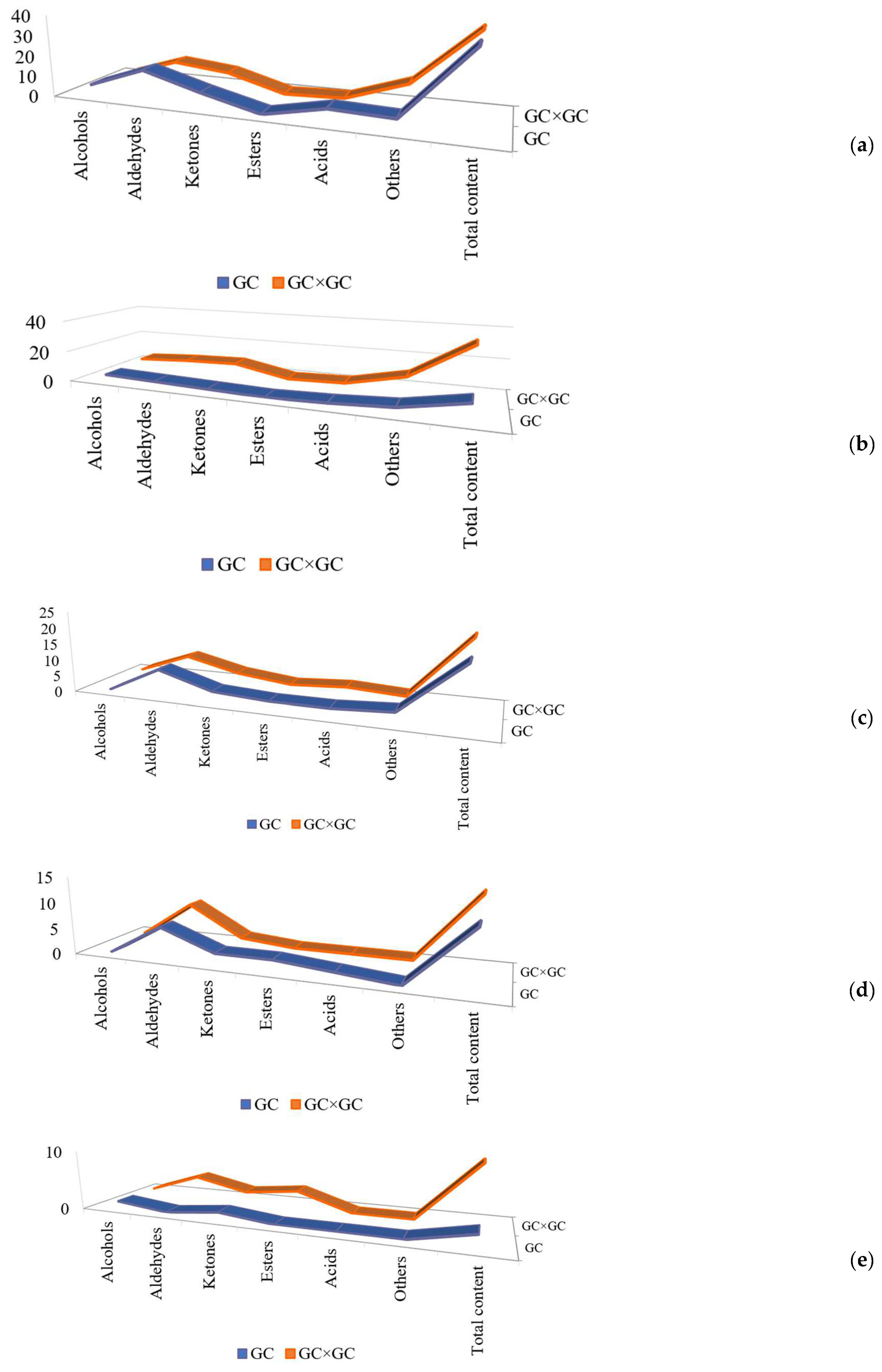
3.1. Comparison of Different Extraction Methods for Analysis of Odor Compounds
3.2. Comparison of Aroma Compounds between GC-O-MS and GC × GC-O-MS Analysis
3.3. Key Aroma-Active Compounds Identified by AEDA and r-OAV
3.4. Omission Experiment
4. Conclusions
Author Contributions
Funding
Institutional Review Board Statement
Informed Consent Statement
Data Availability Statement
Acknowledgments
Conflicts of Interest
Sample Availability
References
- Coppola, D.; Lauritano, C.; Esposito, F.; Riccio, G.; Pascale, D. Fish Waste: From Problem to Valuable Resource. Mar. Drugs 2021, 19, 116. [Google Scholar] [CrossRef] [PubMed]
- Shanthi, G.; Premalatha, M.; Anantharaman, N. Potential utilization of fish waste for the sustainable production of microalgae rich in renewable protein and phycocyanin-Arthrospira platensis/Spirulina. J. Clean. Prod. 2021, 294, 106–126. [Google Scholar] [CrossRef]
- Jiang, X.M.; Wang, J.; Pan, B.Z.; Li, D.B.; Wang, Y.Z.; Liu, X.Y. Assessment of heavy metal accumulation in freshwater fish of Dongting Lake, China: Effects of feeding habits, habitat preferences and body size. J. Environ. Sci. 2022, 112, 355–365. [Google Scholar] [CrossRef] [PubMed]
- Alfio, V.G.; Manzo, C.; Micillo, R. From Fish Waste to Value: An Overview of the Sustainable Recovery of Omega-3 for Food Supplements. Molecules 2021, 26, 1002. [Google Scholar] [CrossRef]
- Yasin, N.H.M.; Ahmad, N.A.N.; Hanapi, M.F.M. Extraction of FAME from fish waste by using modified soxhlet method. IOP Conf. Ser. Mater. Sci. Eng. 2021, 1092, 012015. [Google Scholar] [CrossRef]
- Liu, H.H.; Hu, F.; Li, P.F. Volatile Compositions Analysis of Tilapia (Oreochram niloticus) and Fishy Odour Development in the Muscle. Adv. Mater. Res. 2014, 1033, 767–776. [Google Scholar] [CrossRef]
- Li, Y.L.; Wang, X.J.; Xue, Y.; Ruan, S.Y.; Zhou, A.Q.; Huang, S.F.; Ma, H.L. The Preparation and Identification of Characteristic Flavour Compounds of Maillard Reaction Products of Protein Hydrolysate from Grass Carp (Ctenopharyngodon idella) Bone. J. Food Qual. 2021, 14, 8394152. [Google Scholar] [CrossRef]
- Cui, H.P.; Yu, J.Y.; Xia, S.Q.; Duhoranimana, E.; Huang, Q.R.; Zhang, X.M. Improved controlled flavor formation during heat-treatment with a stable Maillard reaction intermediate derived from xylose-phenylalanine. Food Chem. 2019, 271, 47–53. [Google Scholar] [CrossRef]
- Buyukkurt, O.K.; Selli, S. Factors affecting on the release of aroma compounds. Gida 2020, 45, 204–216. [Google Scholar] [CrossRef]
- Xue, D.D.; He, T.P.; You, M.C.; Song, H.L.; Gong, L.; Pan, W. Effects of different treatments on fishy odor of fish soups. J. Aquat. Food Prod. Technol. 2018, 27, 722–732. [Google Scholar] [CrossRef]
- Wang, X.J.; Guo, M.Y.; Song, H.L.; Meng, Q.; Guan, X. Characterization of key odor-active compounds in commercial high-salt liquid-state soy sauce by switchable GC/GC x GC-olfactometry-MS and sensory evaluation. Food Chem. 2021, 342, 128224. [Google Scholar] [CrossRef]
- Yang, P.; Yu, M.G.; Song, H.L.; Xu, Y.Q.; Lin, Y.P.; Granvogl, M. Characterization of Key Aroma-Active Compounds in Rough and Moderate Fire Rougui Wuyi Rock Tea (Camellia sinensis) by Sensory-Directed Flavor Analysis and Elucidation of the Influences of Roasting on Aroma. J. Agric. Food Chem. 2021, 70, 267–278. [Google Scholar] [CrossRef]
- Zhao, M.; Li, T.; Yang, F.; Cui, X.Y.; Zou, T.T.; Song, H.L.; Liu, Y. Characterization of key aroma-active compounds in Hanyuan Zanthoxylum bungeanum by GC-O-MS and switchable GC × GC-O-MS. Food Chem. 2022, 385, 132659. [Google Scholar] [CrossRef]
- Li, J.L.; Tu, Z.C.; Zhang, L.; Sha, X.M.; Wang, H.; Pang, J.J.; Tang, P.P. SPME-GC-MS Analysis of Changes in Volatile Compounds during Preparation of Grass Carp Soup. Food Sci. 2016, 37, 149–154. [Google Scholar] [CrossRef]
- Xi, Y.R.; Tang, K.; Xu, Y.; Wang, D.; Wang, Q.W.; Zhang, H.N. Aroma characterization of Cabernet sauvignon wine from Loess Plateau with quantitative description analysis and GC-O/MS. Food Ferment. Ind. 2016, 42, 192–197. [Google Scholar] [CrossRef]
- Zhang, Y.; Liu, Y.P.; Yang, W.X.; Huang, J.; Liu, Y.Q.; Huang, M.Q.; Sun, B.G.; Li, C.L. Characterization of potent aroma compounds in preserved egg yolk by gas chromatography−olfactometry, quantitative measurements, and odor activity value. J. Agric. Food Chem. 2018, 66, 6132–6141. [Google Scholar] [CrossRef]
- Zhang, Y.; Song, H.L.; Li, P.; Yao, J.; Xiong, J. Determination of potential off-flavour in yeast extract. LWT-Food Sci. Technol. 2017, 82, 184–191. [Google Scholar] [CrossRef]
- Yang, P.; Song, H.L.; Lin, Y.P.; Guo, T.Y.; Wang, L.J.; Granvogl, M.; Xu, Y.Q. Differences of characteristic aroma compounds in Rougui tea leaves with different roasting temperatures analyzed by switchable GC-O-MS and GC × GC-O-MS and sensory evaluation. Food Funct. 2021, 12, 4797–4807. [Google Scholar] [CrossRef]
- Gemert, L.J.V. Odour Thresholds-Compilations of Odour Threshold Values in Air, Water and Other Media, 2nd ed.; Oliemans Punter & Partners BV: Zeist, The Netherlands, 2011. [Google Scholar]
- Xu, Y.X.; Jiang, Z.D.; Du, X.P.; Zheng, M.J.; Yuan, F.Y.; Ni, H.; Chen, F. The identification of biotransformation pathways for removing fishy malodor from Bangia fusco-purpurea using fermentation with Saccharomyces cerevisiae. Food Chem. 2022, 380, 132103. [Google Scholar] [CrossRef]
- Liu, Y.; Huang, Y.Z.; Wang, Z.M.; Cai, S.H.; Zhu, B.W.; Dong, X.P. Recent advances in fishy odour in aquatic fish products, from formation to control. Int. J. Food Sci. Technol. 2021, 56, 4959–4969. [Google Scholar] [CrossRef]
- Gu, S.Q.; Dai, D.L.; Chong, Y.Q.; Ly, F.; Zhou, X.X.; Ding, Y.T. The binding of key fishy off-flavor compounds to silver carp proteins: A thermodynamic analysis. RSC Adv. 2020, 10, 11292–11299. [Google Scholar] [CrossRef]
- Duan, Z.H.; Zhang, M.; Hao, J. Preparation process of crispy bighead carp fillets. Food Ind. Technol. 2003, 24, 44–47. [Google Scholar]
- An, Y.Q.; Qian, Y.P.L.; Alcazar Magana, A.; Xiong, S.B.; Qian, M.C. Comparative characterization of aroma compounds in silver carp (Hypophthalmichthysmolitrix), pacific whiting (Merluccius productus), and alaska pollock (Theragra chalcogramma) surimi by aroma extract dilution analysis, odor activity value, and aroma recombination studies. J. Agric. Food Chem. 2020, 68, 10403–10413. [Google Scholar] [CrossRef]
- Chen, J.; Tao, L.; Zhang, T.; Zhang, J.; Wu, T.; Luan, D.L.; Ni, L.; Wang., X.C.; Zhong, J. Effect of four types of thermal processing methods on the aroma profiles of acidity regulator-treated tilapia muscles using E-nose, HS-SPME-GC-MS, and HS-GC-IMS. LWT-Food Sci. Technol. 2021, 147, 111585. [Google Scholar] [CrossRef]
- Liang, S.; Zhang, T.; Fu, X.; Zhu, C.; Mou, H. Partially degraded chitosan-based flocculation to achieve effective deodorization of oyster (Crassostrea gigas) hydrolysates. Carbohydr. Polym. 2020, 234, 115948. [Google Scholar] [CrossRef]
- Li, X.F.; Xie, W.; Bai, F.; Wang, J.L.; Zhou, X.D.; Gao, R.C.; Xu, X.X.; Zhao, Y.H. Influence of thermal processing on flavor and sensory profile of sturgeon meat. Food Chem. 2022, 347, 131689. [Google Scholar] [CrossRef]
- Liu, Y.; He, C.C.; Song, H.L. Comparison of SPME Versus SAFE Processes for the Analysis of Flavor Compounds in Watermelon Juice. Food Anal. Methods 2018, 11, 1677–1689. [Google Scholar] [CrossRef]
- Mahmoud, M.; Buettner, A. Characterisation of aroma-active and off-odour compounds in German rainbow trout (Oncorhynchus mykiss). Part II: Case of fish meat and skin from earthen-ponds farming. Food Chem. 2016, 232, 841–849. [Google Scholar] [CrossRef]
- Guo, Q.Y.; Yu, J.W.; Zhao, Y.Y.; Liu, T.T.; Su, M.; Jia, Z.Y.; Zhao, Y.; Mu, Z.; Yang, M. Identification of fishy odor causing compounds produced by Ochromonas sp. and Cryptomonas ovate with gas chromatography-olfactometry and comprehensive two-dimensional gas chromatography. Sci. Total Environ. 2019, 671, 149–156. [Google Scholar] [CrossRef]





| No. | Component | CAS | Odor | RI a | Method of Identification b | Relative Content (ng/g) c | |||||||||||
|---|---|---|---|---|---|---|---|---|---|---|---|---|---|---|---|---|---|
| SPME | SAFE | DHS | SBSE | LLE | |||||||||||||
| GC | GC × GC | GC | GC × GC | GC | GC × GC | GC | GC × GC | GC | GC × GC | GC | GC × GC | GC | GC × GC | ||||
| Alcohols | |||||||||||||||||
| 1 | 1-Pentanol | 71-41-0 | balsam | 1247 | 1239 | MS/RI | MS/RI | 50.54 ± 4.37 | 53.99 ± 6.18 | ND | 41.27 ± 12.73 | ND | ND | ND | ND | ND | ND |
| 2 | 2-Furanmethanol | 98-00-0 | musty | 1702 | 1697 | MS/RI | MS/RI | 229.61 ± 16.49 | 288.19 ± 23.04 | 165.24 ± 26.33 | ND | ND | 203.15 ± 35.86 | ND | ND | ND | 75.09 ± 8.39 |
| 3 | 2-Thiophenemethanol | 636-72-6 | roasted | 1885 | ND | MS/RI | ND | 23.83 ± 1.83 | ND | ND | ND | ND | ND | ND | ND | ND | ND |
| 4 | 1-Octen-3-ol | 3391-86-4 | mushroom | 1430 | 1418 | MS/RI | MS/RI/O | 6.08 ± 1.08 | 7.07 ± 0.98 | ND | 5.49 ± 2.04 | ND | 6.57 ± 4.19 | ND | ND | ND | ND |
| 5 | 1-Butanol | 71-36-3 | oil | ND | 1126 | ND | MS/RI | ND | ND | ND | ND | ND | ND | ND | ND | ND | ND |
| 6 | Linalool | 78-70-6 | floral | ND | 1509 | ND | MS/RI | ND | ND | ND | 12.48 ± 1.06 | ND | ND | ND | ND | ND | ND |
| 7 | α-Cumyl alcohol | 617-94-7 | green | 1743 | ND | MS/RI | ND | ND | ND | 2.05 ± 0.16 | ND | ND | ND | ND | ND | 0.16 ± 0.11 | ND |
| 8 | 2-Ethyl-1-hexanol | 104-76-7 | citrus | ND | 1492 | ND | MS/RI | ND | ND | ND | ND | ND | ND | ND | 0.96 ± 0.06 | ND | ND |
| Aldehydes | |||||||||||||||||
| 9 | Furfural | 98-01-1 | sweet woody | 1493 | ND | MS/RI/O | ND | 117.6 1± 5.40 | ND | ND | ND | ND | ND | ND | ND | ND | ND |
| 10 | 5-Methyl-2-thiophenecarboxaldehyde | 13679-70-4 | almond | 1764 | ND | MS/RI/O | ND | 33.50 ± 1.57 | ND | ND | ND | ND | ND | ND | ND | ND | ND |
| 11 | (E,Z)-2,6-Nonadienal | 557-48-2 | green fatty | 1590 | ND | MS/RI/O | ND | 3.06 ± 0.05 | ND | ND | ND | ND | ND | ND | ND | ND | ND |
| 12 | 2-Methylbutyraldehyde | 96-17-3 | musty cocoa | 987 | ND | MS/RI | ND | 25.10 ± 3.72 | ND | ND | ND | ND | ND | ND | ND | ND | ND |
| 13 | 3-Methylbutanal | 590-86-3 | chocolate | 924 | 935 | MS/RI | MS/RI | 110.01 ± 7.46 | 134.51 ± 11.36 | ND | ND | 58.19 ± 2.63 | 108.32 ± 4.27 | ND | ND | ND | ND |
| 14 | Pentanal | 110-62-3 | fermented | 956 | 944 | MS/RI | MS/RI | 159.20 ± 4.02 | 201.26 ± 18.43 | ND | ND | ND | ND | ND | ND | ND | ND |
| 15 | Hexanal | 66-25-1 | grass | 1062 | 1058 | MS/RI/O | MS/RI/O | 92.66 ± 1.17 | 118.80 ± 7.34 | ND | 88.63 ± 9.33 | 66.04 ± 8.39 | 74.68 ± 6.62 | 26.59 ± 1.95 | 29.27 ± 2.29 | ND | 32.64 ± 5.15 |
| 16 | Octanal | 124-13-0 | waxy citrus | 1279 | 1265 | MS/RI | MS/RI | 2.49 ± 0.36 | 23.31 ± 1.26 | ND | 3.91 ± 0.73 | ND | ND | 0.27±0.06 | 3.08 ± 0.74 | ND | ND |
| 17 | Nonanal | 124-19-6 | orange | 1384 | 1391 | MS/RI | MS/RI | 235.93 ± 12.73 | 304.04 ± 25.62 | 175.56 ± 14.76 | 209.37 ± 12.94 | 104.27 ± 9.26 | ND | ND | 52.60 ± 2.46 | ND | 17.40 ± 0.95 |
| 18 | (E)-2-Octenal | 2548-87-0 | cucumber | 1437 | 1426 | MS/RI | MS/RI/O | 8.71 ± 0.76 | 9.56 ± 0.38 | ND | ND | ND | ND | ND | ND | ND | ND |
| 19 | Benzaldehyde | 100-52-7 | sweet | 1503 | 1509 | MS/RI | MS/RI | 103.81 ± 8.25 | 144.38 ± 12.34 | ND | 73.29 ± 8.37 | 68.53 ± 10.55 | 71.27 ± 9.27 | 34.17 ± 2.91 | 63.26 ± 5.72 | ND | 9.63 ± 0.94 |
| 20 | 5-Methyl-2-furancarboxaldehyde | 620-02-0 | spice caramel | 1578 | 1554 | MS/RI | MS/RI | 352.37 ± 18.45 | 329.13 ± 18.23 | ND | 164.24 ± 24.53 | 228.72 ± 13.66 | 303.24 ± 36.81 | 73.02 ± 10.95 | 142.88 ± 11.91 | ND | ND |
| 21 | Phenylacetaldehyde | 122-78-1 | green | 1662 | ND | MS/RI | ND | 13.68 ± 2.33 | ND | ND | ND | ND | ND | ND | ND | ND | ND |
| 22 | Pentadecanal | 2765-11-9 | fresh waxy | 2019 | ND | MS/RI | ND | 10.82 ± 0.12 | ND | ND | ND | ND | ND | ND | ND | ND | ND |
| 23 | (Z)-4-Heptenal | 6728-31-0 | oily fatty | ND | 1287 | ND | MS/RI | ND | 8.46 ± 1.04 | ND | ND | ND | ND | ND | ND | ND | ND |
| 24 | Methional | 3268-49-3 | musty | ND | 1439 | ND | MS/RI | ND | 41.43 ± 6.12 | ND | ND | ND | ND | ND | ND | ND | ND |
| 25 | Decanal | 112-31-2 | sweet waxy | ND | 1538 | ND | MS/RI/O | ND | 25.18 ± 2.25 | ND | 9.73 ± 0.92 | ND | 11.04 ± 1.52 | 3.16 ± 0.06 | 3.95 ± 0.31 | ND | ND |
| 26 | 5-Methyl-2-thiophenecarboxaldehyde | 13679-70-4 | woody | ND | 1783 | ND | MS/RI/O | ND | 20.34 ± 1.59 | ND | ND | ND | ND | ND | ND | ND | ND |
| 27 | Dodecyl aldehyde | 112-54-9 | soapy waxy | 1745 | ND | MS/RI | ND | ND | ND | 18.77 ± 0.35 | ND | ND | ND | ND | ND | ND | ND |
| 28 | (E,E)-2,4-Heptadienal | 4313-03-5 | green | ND | 1497 | ND | MS/RI | ND | ND | ND | 6.38 ± 0.74 | ND | ND | ND | ND | ND | ND |
| 29 | Heptaldehyde | 111-71-7 | fresh | 1174 | 1165 | MS/RI | MS/RI | ND | 221.07 ± 14.28 | ND | ND | 84.93 ± 5.27 | 164.29 ± 12.63 | 43.28 ± 13.75 | 53.22 ± 2.76 | ND | 64.01 ± 6.37 |
| 30 | 3-Methylhexanal | 19269-28-4 | sweet green | 1102 | 1116 | MS/RI | MS/RI | ND | ND | ND | ND | 5.37 ± 1.10 | 12.84 ± 2.12 | ND | ND | ND | ND |
| 31 | 2-Undecenal | 2463-77-6 | fruity | 1793 | 1794 | MS/RI | MS/RI | ND | ND | ND | ND | ND | ND | 16.38 ± 0.97 | 9.96 ± 0.72 | ND | ND |
| Ketones | |||||||||||||||||
| 32 | Hydroxyacetone | 116-09-6 | caramel | 1272 | ND | MS/RI | ND | 522.52 ± 48.29 | ND | ND | ND | ND | ND | ND | ND | ND | ND |
| 33 | 4-Hydroxy-2,5-dimethyl-3(2H)furanone | 3658-77-3 | sweet | 2037 | ND | MS/RI/O | ND | 35.25 ± 1.45 | ND | ND | ND | ND | ND | ND | ND | ND | ND |
| 34 | 6-Methyl-5-hepten-2-one | 110-93-0 | citrus | 1342 | 1332 | MS/RI/O | MS/RI/O | 4.34 ± 0.03 | 8.06 ± 1.24 | ND | 2.96 ± 0.91 | 7.47 ± 0.26 | 9.26 ± 0.27 | 0.38 ± 0.05 | 5.67 ± 0.11 | ND | ND |
| 35 | 2-Butanone | 78-93-3 | camphor | 901 | 914 | MS/RI | MS/RI | 22.05 ± 9.25 | 29.37 ± 1.96 | ND | 19.62 ± 2.28 | ND | ND | ND | ND | ND | ND |
| 36 | 2,3-Pentanedione | 600-14-6 | pungent | 1047 | 1058 | MS/RI | MS/RI | 7.17 ± 0.45 | 16.54 ± 0.52 | ND | ND | ND | ND | ND | ND | ND | ND |
| 37 | Acetoin | 513-86-0 | sweet | 1284 | 1273 | MS/RI | MS/RI | 31.42 ± 3.72 | 35.21 ± 0.74 | ND | 17.82 ± 3.32 | 27.37 ± 3.56 | 29.52 ± 2.17 | ND | ND | ND | 5.83 ± 0.64 |
| 38 | 2-Dodecanone | 6175-49-1 | fruity | 1669 | ND | MS/RI | ND | 0.42 ± 0.07 | ND | ND | ND | ND | ND | ND | ND | ND | ND |
| 39 | 5-Ethyl-2(5H)-furanone | 2407-43-4 | spice | 1756 | ND | MS/RI | ND | 5.69 ± 1.65 | ND | ND | ND | ND | ND | ND | ND | ND | ND |
| 40 | 2,3-Butanedione | 431-03-8 | butter | ND | 961 | ND | MS/RI | ND | 46.93 ± 4.38 | ND | ND | ND | ND | ND | ND | ND | ND |
| 41 | 1-Penten-3-one | 1629-58-9 | peppery | ND | 1018 | ND | MS/RI | ND | 6.14 ± 0.47 | ND | ND | ND | ND | ND | ND | ND | ND |
| 42 | 2-Heptanone | 110-43-0 | fruity | ND | 1165 | ND | MS/RI | ND | 2.17 ± 0.02 | ND | ND | ND | ND | ND | ND | ND | ND |
| 43 | 1-Hydroxy-2-propanone | 116-09-6 | pungent | 1310 | 1307 | MS/RI/O | MS/RI | ND | 492.86 ± 42.74 | ND | 318.74 ± 41.17 | 148.02 ± 16.14 | 358.60 ± 22.61 | ND | ND | 74.26 ± 12.37 | 169.60 ± 19.95 |
| 44 | 1-Octen-3-one | 4312-99-6 | mushroom | ND | 1208 | O | MS/RI/O | ND | 0.12 ± 0.01 | ND | ND | ND | ND | ND | ND | ND | ND |
| 45 | Acetophenone | 98-86-2 | sweet | 1643 | 1637 | MS/RI | MS/RI | ND | ND | 0.97 ± 0.13 | 3.02 ± 1.05 | ND | ND | ND | ND | ND | ND |
| 46 | 2-Decanone | 693-54-9 | orange | ND | 1498 | ND | MS/RI | ND | ND | ND | 1.34 ± 0.07 | ND | ND | ND | ND | ND | ND |
| 47 | 1-Hydroxy-2-butanone | 5077-67-8 | coffee | ND | 1397 | ND | MS/RI | ND | ND | ND | 0.94 ± 0.19 | ND | ND | ND | ND | ND | ND |
| 48 | 2-Tridecanone | 593-08-8 | fatty | ND | 1809 | ND | MS/RI | ND | ND | ND | 9.48 ± 0.17 | ND | ND | ND | ND | ND | ND |
| 49 | Geranylacetone | 3796-70-1 | green | ND | 1853 | ND | MS/RI | ND | ND | ND | ND | ND | 7.47 ± 0.65 | ND | ND | ND | ND |
| 50 | 4-Hexen-3-one | 2497-21-4 | metallic | 1187 | 1164 | MS/RI/O | MS/RI/0 | ND | ND | ND | ND | ND | ND | 16.33 ± 3.61 | 15.27 ± 4.21 | ND | ND |
| 51 | 5-Ethyldihydro-2(3H)-furanone | 695-06-7 | herbal | 1692 | 1687 | MS/RI | MS/RI | ND | 9.11 ± 1.03 | ND | ND | ND | ND | 2.09 ± 0.95 | 7.14 ± 1.27 | ND | ND |
| Esters | |||||||||||||||||
| 52 | Triethyl phosphate | 78-40-0 | cider | ND | 1674 | ND | MS/RI | ND | ND | ND | 0.14 ± 0.03 | ND | ND | ND | ND | ND | ND |
| 53 | Allyl 2-ethylbutyrate | 7493-69-8 | nut | 1252 | 1246 | MS/RI/O | MS/RI/O | ND | ND | ND | ND | 9.27 ± 1.15 | 9.83 ± 1.63 | ND | ND | ND | ND |
| 54 | geranyl isovalerate | 109-20-6 | green | 1934 | 1948 | MS/RI/O | MS/RI/O | ND | ND | ND | ND | 14.38 ± 1.91 | 47.26 ± 3.25 | 21.22 ± 1.57 | 27.81 ± 4.38 | ND | ND |
| 55 | Nitrous acid, ethyl ester | 109-95-5 | sweet | ND | 1417 | ND | MS/RI | ND | ND | ND | ND | ND | ND | ND | ND | ND | 0.56 ± 0.27 |
| 56 | Acetic acid, butyl ester | 123-86-4 | banana | ND | 1049 | ND | MS/RI | ND | ND | ND | ND | ND | ND | ND | ND | ND | 19.47 ± 3.26 |
| 57 | Butyrolactone | 96-48-0 | oily | ND | 1634 | ND | MS/RI | ND | ND | ND | ND | ND | ND | ND | ND | ND | 5.22 ± 0.84 |
| Acids | |||||||||||||||||
| 58 | Propionic acid | 79-09-4 | pungent | 1509 | 1528 | MS/RI/O | MS/RI | 20.387 ± 2.65 | ND | ND | ND | ND | ND | ND | ND | ND | ND |
| 59 | 3-Methylpentanoic Acid | 105-43-1 | sweaty | 1761 | ND | MS/RI/O | ND | 49.50 ± 2.73 | ND | ND | 15.63 ± 3.68 | ND | ND | ND | ND | ND | ND |
| 60 | Acetic acid | 64-19-7 | sour | 1452 | 1433 | MS/RI/O | MS/RI/O | 487.86 ± 36.94 | 461.79 ± 54.27 | ND | ND | 268.38 ± 34.76 | 322.47 ± 29.81 | 173.28 ± 14.25 | 236.73 ± 25.77 | ND | ND |
| 61 | Butyric acid | 107-92-6 | cheese | 1631 | 1642 | MS/RI | MS/RI | 38.72 ± 6.28 | 41.76 ± 3.14 | ND | ND | ND | ND | ND | ND | ND | ND |
| 62 | Hexanoic acid | 142-62-1 | fatty | 1859 | 1846 | MS/RI | MS/RI | 69.13 ± 4.92 | ND | ND | ND | 27.48 ± 3.25 | 36.91 ± 2.44 | ND | ND | ND | ND |
| 63 | Octanoic acid | 124-07-2 | waxy | 2056 | ND | MS/RI | ND | 27.44 ± 1.74 | ND | ND | ND | ND | ND | ND | ND | ND | ND |
| 64 | 3-Methylbutanoic acid | 503-74-2 | sweaty | 1646 | ND | MS/RI/O | ND | ND | ND | ND | 7.30 ± 1.93 | ND | ND | ND | ND | ND | ND |
| 65 | Valeric acid | 109-52-4 | sickening | ND | 1850 | ND | MS/RI | ND | ND | ND | ND | ND | 0.78 ± 0.16 | ND | ND | ND | ND |
| Others | |||||||||||||||||
| 66 | Styrene | 100-42-5 | sweet | 1264 | 1239 | MS/RI | MS/RI | 9.00 ± 0.37 | ND | 5.46 ± 1.58 | 17.29 ± 2.73 | ND | ND | ND | ND | ND | ND |
| 67 | 2-Ethenyl-6-methylpyrazine | 13925-09-2 | hazelnut | 1486 | 1502 | MS/RI | MS/RI | 21.00 ± 1.25 | 28.09 ± 3.38 | ND | 8.63 ± 1.35 | ND | ND | ND | ND | ND | ND |
| 68 | 2-Pentylfuran | 3777-69-3 | fruity | 1231 | 1226 | MS/RI/O | MS/RI/O | 19.93 ± 0.05 | 19.46 ± 2.77 | ND | ND | ND | ND | ND | ND | ND | ND |
| 69 | 2,6-Di-tert-butyl-4-methylphenol | 128-37-0 | camphor | 1905 | ND | MS/RI | ND | 6.33 ± 0.42 | ND | ND | ND | ND | ND | ND | ND | ND | ND |
| 70 | 2,6-Dimethylpyrazine | 108-50-9 | cocoa | 1309 | ND | MS/RI | ND | 51.84 ± 10.47 | ND | ND | ND | ND | ND | ND | ND | ND | ND |
| 71 | Pyrrole | 109-97-7 | sweet | ND | 1528 | ND | MS/RI | ND | 11.89 ± 0.99 | ND | ND | ND | ND | ND | ND | ND | ND |
| 72 | Dimethyl disulfide | 624-92-0 | vegetable | ND | 1082 | ND | MS/RI | ND | 33.50 ± 1.16 | ND | 18.43 ± 2.55 | ND | ND | ND | ND | ND | ND |
| 73 | Dimethyl trisulfide | 3658-80-8 | sulfurous | ND | 1365 | ND | MS/RI/O | ND | 6.04 ± 0.53 | ND | 0.58 ± 0.17 | ND | ND | ND | ND | ND | ND |
| 74 | Benzene | 71-43-2 | aromatic | ND | 955 | ND | MS/RI | ND | 7.39 ± 0.56 | ND | 7.73 ± 0.36 | ND | ND | ND | ND | ND | ND |
| 75 | 2-Ethylfuran | 3208-16-0 | burnt | ND | 945 | ND | MS/RI | ND | 11.25 ± 0.97 | ND | ND | ND | ND | ND | ND | ND | ND |
| 76 | 2,5-Dimethylpyrazine | 123-32-0 | roasted | ND | 1329 | ND | MS/RI/O | ND | 63.21 ± 3.24 | ND | ND | ND | ND | ND | ND | ND | ND |
| 77 | 2,6-Dimethylpyrazine | 108-50-9 | cocoa | 1352 | 1351 | MS/RI | MS/RI | ND | 1.36 ± 0.17 | ND | 0.06 ± 0.02 | 1.63 ± 0.16 | 5.37 ± 0.68 | ND | ND | ND | ND |
| 78 | 3-Ethyl-2,5-dimethylpyrazine | 13360-65-1 | potato | ND | 1430 | ND | MS/RI/O | ND | 34.18 ± 1.25 | ND | ND | ND | ND | ND | ND | ND | ND |
| 80 | Toluene | 108-88-3 | sweet | 1039 | 1034 | MS/RI | MS/RI | ND | ND | 3.28 ± 0.53 | 7.58 ± 0.95 | ND | ND | ND | ND | ND | ND |
| 81 | 1,2-Xylene | 95-47-6 | geranium | 1171 | 1164 | MS/RI | ND | ND | ND | 7.94 ± 1.27 | ND | ND | ND | ND | ND | ND | ND |
| 82 | Pyridine | 110-86-1 | sour | ND | 1169 | ND | MS/RI | ND | ND | ND | 0.93 ± 0.03 | ND | ND | ND | ND | ND | ND |
| 84 | Naphthalene | 91-20-3 | pungent | ND | 1701 | ND | MS/RI | ND | ND | ND | 16.39 ± 1.55 | ND | ND | ND | ND | ND | ND |
| 85 | Benzothiazole | 95-16-9 | sulfury | 1933 | 1930 | MS/RI | MS/RI | ND | ND | ND | ND | 0.27 ± 0.06 | 3.05 ± 0.74 | ND | ND | ND | ND |
| 86 | Dimethyl trisulfide | 624-92-0 | onion | ND | 1365 | ND | MS/RI/O | ND | 1.69 ± 0.03 | ND | ND | ND | ND | ND | ND | ND | ND |
| No. | RI a | Odor | Compound | FD Factors b | Odor Threshold in Water (mg/kg) c | r-OAV | |
|---|---|---|---|---|---|---|---|
| DB-WAX | DB-5 | ||||||
| 1 | 1279 | 974 | mushroom | 1-Octen-3-one | 729 | 0.000016 | 7500 |
| 2 | 1209 | 992 | fruity | 2-Pentylfuran | 729 | 0.0058 | 3436 |
| 3 | 1440 | 1032 | cucumber | (E)-2-Octenal | 243 | 0.006 | 1452 |
| 4 | 1062 | 793 | grass | Hexanal | 243 | 0.098 | 1212 |
| 5 | 1960 | 1112 | sweet | 4-Hydroxy-2,5-dimethylfuran-3(2H)-one | 243 | 0.039 | 904 |
| 6 | 1424 | 957 | mushroom | 1-Octen-3-ol | 243 | 0.007 | 869 |
| 7 | 1430 | 1092 | potato | 3-Ethyl-2,5-dimethylpyrazine | 27 | 0.0086 | 486 |
| 8 | 1582 | 1178 | green fatty | (E,Z)-2,6-nonadienal | 27 | 0.008 | 383 |
| 9 | 1325 | 954 | citrus | 6-Methylhept-5-en-2-one | 81 | 0.025 | 202 |
| 10 | 1761 | 951 | sweaty | 3-Methylpentanoic acid | 27 | 0.28 | 177 |
| 11 | 1428 | 668 | sour | Acetic acid | 9 | 22 | 40 |
| 12 | 1309 | 944 | cocoa | 2,6-Dimethylpyrazine | 9 | 1.5 | 35 |
| 13 | 1493 | 802 | sweet woody | Furfural | 3 | 23 | 5 |
| 14 | 1764 | 1149 | almond | 5-Methyl-2-thiophenecarboxaldehyde | 9 | - | - |
| 15 | 1365 | 972 | sulfurous | Dimethyl trisulfide | 3 | - | - |
| No. | Compounds a | N b | Significant c |
|---|---|---|---|
| 1 | 2-Pentylfuran | 12 | *** |
| 2 | 1-Octen-3-one | 11 | *** |
| 3 | Acetic acid | 6 | - |
| 4 | 4-Hydroxy-2,5-dimethylfuran-3(2H)-one | 4 | - |
| 5 | (E)-2-Octenal | 10 | *** |
| 6 | 1-Octen-3-ol | 11 | ** |
| 7 | Hexanal | 12 | *** |
| 8 | 6-Methylhept-5-en-2-one | 10 | ** |
| 9 | (E,Z)-2,6-Nonadienal | 8 | * |
| 10 | 2-Ethyl-3,5-dimethylpyrazine | 8 | * |
| 11 | 3-Methylpentanoic acid | 6 | - |
Publisher’s Note: MDPI stays neutral with regard to jurisdictional claims in published maps and institutional affiliations. |
© 2022 by the authors. Licensee MDPI, Basel, Switzerland. This article is an open access article distributed under the terms and conditions of the Creative Commons Attribution (CC BY) license (https://creativecommons.org/licenses/by/4.0/).
Share and Cite
Zhang, Y.; Tang, L.; Zhang, Y.; Song, H.; Raza, A.; Pan, W.; Gong, L.; Jiang, C. Comparison of Different Volatile Extraction Methods for the Identification of Fishy Off-Odor in Fish By-Products. Molecules 2022, 27, 6177. https://doi.org/10.3390/molecules27196177
Zhang Y, Tang L, Zhang Y, Song H, Raza A, Pan W, Gong L, Jiang C. Comparison of Different Volatile Extraction Methods for the Identification of Fishy Off-Odor in Fish By-Products. Molecules. 2022; 27(19):6177. https://doi.org/10.3390/molecules27196177
Chicago/Turabian StyleZhang, Yuanyuan, Long Tang, Yu Zhang, Huanlu Song, Ali Raza, Wenqing Pan, Lin Gong, and Can Jiang. 2022. "Comparison of Different Volatile Extraction Methods for the Identification of Fishy Off-Odor in Fish By-Products" Molecules 27, no. 19: 6177. https://doi.org/10.3390/molecules27196177
APA StyleZhang, Y., Tang, L., Zhang, Y., Song, H., Raza, A., Pan, W., Gong, L., & Jiang, C. (2022). Comparison of Different Volatile Extraction Methods for the Identification of Fishy Off-Odor in Fish By-Products. Molecules, 27(19), 6177. https://doi.org/10.3390/molecules27196177

