Abstract
Besides their extremely useful properties as solvent, ionic liquids (ILs) are now considered to be highly instructive tools for enhancing the rates of chemical reactions. The ionic nature of the IL anion and cation seems to be the origin of this fascinating function of ILs as organocatalyst/promoter through their strong Coulombic forces on other ionic species in the reaction and also through the formation of hydrogen bonds with various functional groups in substrates. It is now possible to tailor-make ILs for specific purposes as solvent/promoters in a variety of situations by carefully monitoring these interactions. Despite the enormous potentiality, it seems that the application of ILs as organocatalysts/promoters for chemical reactions have not been fully achieved so far. Herein, we review recent developments of ILs for promoting the nucleophilic reactions, focusing on fluorination. Various aspects of the processes, such as organocatalytic capability, reaction mechanisms and salt effects, are discussed.
1. Introduction
Ionic liquids (ILs) have found a wide range of applications in various fields of chemistry (organic, physical, medicinal, analytical and materials chemistry) because of their unique and useful physicochemical properties. In addition to being excellent solvents (due to high polarity) and environmentally benign solvents (because of low volatility, no metallic element, and easy recovery) ionic liquids are also gaining importance as catalysts/promoters in various chemical transformations [1,2,3,4,5,6,7,8,9,10,11,12,13,14,15,16]. Significantly enhanced reactivity and selectivity have also been observed in concerted reactions such as nucleophilic substitution reactions in ionic liquids [14,15,16]. By combining a variety of cations and anions with characteristic structures, it is possible to tailor-make task-specific ILs with desirable properties for specific chemical reactions [15,17,18,19,20,21,22,23,24,25,26,27,28].
Nucleophilic fluorination [13,14,16,29,30,31,32,33,34,35,36,37,38,39,40] has received considerable attention recently because of the importance of the synthesis of radiopharmaceutical substances to be used as diagnostic materials for the powerful technique of positron emission tomography (PET) [32]. Because the SN2 fluorination processes need not deal with the cumbersome F2 gas, they are advantageous over the electrophilic methods. There are two critical issues here, however, concerning the counter-cation and solvent (Scheme 1). First, the common use of bulky counter-cations such as tetrabutylammonium (TBA+) may minimize the harmful Coulombic influence on the nucleophile, but usually suffers from a large amount of by-products (for example, E2 products). Alkali metal cations such as K+ or Cs+ may be more desirable, but these sources of fluoride exhibit the problem of solubility in organic solvents. Moreover, the strong electrostatic influence of alkali metal counter-cations was thought to decrease the reactivity of nucleophiles significantly. Second, protic solvents (water, alcohol), which are deemed to be favorable with regard to the solubility for alkali metal fluorides, were considered to be disadvantageous for nucleophilic reactions due to the hydrogen bonding between the –OH of solvent molecules and the nucleophile.
Scheme 1.
Two examples of nucleophilic fluorination (a) solvent free nucleophilic introduction of fluorine with [bmim][F], Ref. [35] (b) nucleophilic fluorination with KF catalyzed by 18-Crown-6 and bulky diols, Ref. [40].
These two traditional ‘common senses’ for nucleophilic fluorination proved to be inaccurate in a series of recent investigations [13,14,16,32,33,34,35,36,37,38,39]: It was observed that the use of metal fluorides in combination with Lewis base promoters (oligoethylene glycol [33], t-butanol, t-amyl alcohol [38]) may lead excellent SN2 yields (>90%) in reasonable reaction time (<6 h). As the key to the mechanism of this class of phenomenally efficient and selective nucleophilic fluorination, it was proposed [32,33,36,37] that the solvents and/or promoters act as Lewis bases on the counter-cation, mitigating the unfavorable Coulombic influence of the latter on the nucleophile, thereby producing essentially ‘naked’ nucleophile.
In this respect, ILs were regarded as excellent solvent for metal fluorides, completely solving the problem of solubility of alkali metal fluorides (MFs). Due to the ionic nature of ILs, they can also be highly desirable promoters for nucleophilic fluorination using MFs. The IL cations and anions may facilitate the SN2 fluorination processes through their strong Coulombic interactions with MF, and also through the formation of hydrogen bonds with various functional groups in substrates.
Here, in this brief review, we describe the studies for IL-promoted nucleophilic fluorination that provided important advances in this very useful technology. Both experimental and theoretical (mechanistic) investigations are treated to encourage further developments. This review is not exhaustive, but discusses various features (efficacy of ILs, mechanism, salt effects, IL derivatives, etc.) of IL-facilitated fluorination.
2. Promotion of SN2 Fluorination by ILs Using Alkali Metal Fluorides
Kim, Song and Chi [14] reported in 2002 the first case of SN2 reactions using KF or CsF facilitated by ILs. They observed that for nucleophilic fluorination of 2-(3-methanesulfonyloxypropyl)naphthalene (Scheme 2), the IL [bmim][BF4] tremendously increased the reaction rates. Using catalytic amounts (0.5 equiv) of [bmim][BF4] was enough to almost complete the reaction over 12 h with excellent SN2 yields (>85%) (Table 1). They also found that a small amount of water did not much affect the reaction, suggesting that the organocatalysis by ILs did not require anhydrous conditions. They also tried other ILs, finding similar results with the exception of [bmim][NTf2] in CH3CN (Table 2).
Scheme 2.
Fluorination of mesylates with KF or CsF in ionic liquids.
Table 1.
Fluorination of mesylate 1 with KF in [bmim][BF4] under various reaction conditions.
Table 2.
Fluorination of mesylate 1 with KF in [bmim][BF4] in various ionic liquids.
Studies for other metal fluorides by these authors showed that the reaction rates depended strongly on the alkali metal counter-cation [15]. For example, fluorination using the metal salts LiF and NaF did not proceed at all under the influence of [bmim][BF4] (Table 3). This observation is, of course, due to the difference in the Coulombic influence of the alkali metal counter-cations on the nucleophile (Li+ > Na+ > K+ > Rb+ > Cs+): The Coulombic attractive forces between the alkali metal cation Li+, Na+ and F− are so strong [36] that the influence of the IL on Li+ and Na+ was not enough for facile reactions. In fact, to the best of our knowledge, the use of Li+ or Na+ as a counter-cation has not been successful so far for SN2 fluorination. Kim, Song and Chi applied this methodology to a variety of substrates, observing similar acceleration rates for a wide range of SN2 processes. These authors also proposed [13] that the role of ILs for enhancing the rates of nucleophilic substitution reactions was as an amphiphilic “electrophile-nucleophile” dual activator (acting both as Lewis acid on the nucleophile and as Lewis base on the counter-cation), which was the first such mechanistic insight to the ILs as organocatalysts for SN2 reactions. According to this conception, IL cation–IL anion–counter-cation–nucleophile–substrate form a compact configuration by Coulombic forces for facile SN2 reactions. The proof for this concept in molecular detail came in 2011, as described below.
Table 3.
Fluorination of mesylate 1 with various metal fluorides in [bmim][BF4] a.
3. SN2 Fluorination Facilitated by Polymer-Supported ILs
Considerable attention was also paid to polymer-supported (PS) ILs [16,41,42,43], which showed high efficacy as catalysts for nucleophilic fluorination. One of the advantages of this type of promoter/catalyst is, of course, the possibility of reuse. Kim and Chi [16] reported that polystyrene-based ILs [hmin]X (hmin = 1-n-hexyl-3-methylimidazolium cation, X = BF4, OTf) promoted fluorination reactions (such as that shown in Scheme 3) in very high yields and can be reused for many SN2 reactions. Table 4 illustrates that fluorination reaction of the mesylate substrate (2) in the presence of 2.2 or 1.1 equiv of PS[hmim][BF4] was complete within 2 h, with excellent SN2 yields of 97–98% (entries 1 and 2), whereas the same reaction with 3 equiv of CsF in CH3CN at 100 C barely proceeded after 2 h (entry 5). Additionally, fluorination using PS[hmim][BF4] as an immobilized catalyst (entry 3) proceeded much faster than that using the same amount of IL as the catalytic system (entry 6). Chi and co-workers also studied [41] the synergistic effects of polymer-supported ionic liquid catalyst/tert-alcohol solvent system (Scheme 2) for SN2 fluorination, in comparison with the corresponding reactions in tert-alcohol and in PS[hmim][BF4]/CH3CN. They observed the SN2 yield of 18, 40, and 84%, respectively, a significant increase due to the synergistic effects (Table 5). Application of this methodology to various substrates, leaving the groups –Br, –Cl, –OMs, –OTs and –OTf, was attempted, and Chi and co-workers mostly obtained > 80 % fluorination yields within 12 h.
Scheme 3.
Using PS[hmim][BF4] and PS[hmim][OTf] (A) in tert-amyl alcohol (B) for SN2 fluorination.
Table 4.
Fluorinations of mesylate 2 with alkali–metal fluorides (MF) using PS[hmim][BF4] or the stated alternative reagents [a].
Table 5.
Fluorinations of mesylate 1 with MF using PS[hmim][BF4] in tert-amyl alcohol.
4. Mechanistic Features of IL-Facilitated SN2 Fluorination Using Metal Fluorides
A rough inspection for catalysis of nucleophilic fluorination (and also other nucleophilic processes involving the nucleophiles other than F−) by ILs may look quite puzzling for two apparent reasons: First, the ionic liquid cation may slow the reactivity of F− due to its strong Coulombic influence on F−. Second, the ionic liquid anion may try to stay as far away as possible from F− also because of the repelling electrostatic interactions with F−. A clue to solving this difficulty of interpreting the experimental observed promotion by ILs came from the mechanism of SN2 reactions using alkali metal/nucleophile complexes facilitated by bulky protic solvents (t-butanol, t-amyl alcohol) and oligoethylene glycols. In contrast with conventional account of SN2 processes, the –OH groups in these promoters do not act as Lewis acids on F− (thus, retarding the reactions), but as Lewis bases on the alkali metal counter-cation to alleviate the latter’s harmful electrostatic influence on F−, thereby producing an almost ‘naked’ nucleophile. This new mechanistic feature of SN2 processes was able to explain lots of experimental observations for the new class of SN2 reactions using KF or CsF in the presence of bulky alcohols and oligoethylene glycols. According to this mechanistic conception, an alternative feature of ionic interactions among the IL cation, IL anion, alkali metal cation (K+ or Cs+) and F− would be envisioned: (1) the IL cation may not only interact with F− but also with the IL anion, and thus these latter Coulombic interactions may significantly weaken the IL cation’s retarding influence on F−. (2) the IL anion, as Lewis bases, may act on K+ or Cs+ that mitigate the strong Coulombic influence of the alkali metal counter-cation, just as the O atoms of protic solvent molecules or of oligoethylene glycols. These strong interactions among the four ionic species may also help the formation of a pre-reaction complex and transition state that is highly favorable for SN2 attack of F−, hence the observed high SN2 selectivity.
Song and co-workers [13] discussed a range of chemical reactions to elucidate the origin of ‘positive effects of ionic liquids on catalysis’. The authors developed their concepts based on the ‘stabilization of highly reactive intermediates’ (vinyl cations, arenium cations, oxygen radical anions, etc.), formation of more reactive catalytic species for rare earth triflate catalyzed reactions, and ‘stabilized transition state’ for nucleophilic fluorination in ionic liquids. Song and co-workers’ conception of the IL-assisted SN2 fluorination (ILs act as amphiphilic “electrophile-nucleophile” dual activator: The counter-anion of ILs acts as a Lewis base toward K+, drastically reducing its electrostatic effects and thereby ‘freeing’ the nucleophile F− and the acidic C2-proton interacts with the mesylate leaving group, helping it to detach from the reactant) was confirmed by Oh et al. [37] by quantum chemical calculations, treating the nucleophilic fluorination of 2-(3-methanesulfonyloxypropyl) naphthalene with CsF. Figure 1 depicts this mechanistic feature obtained by Oh et al. for fluorination reaction [Cs+F− + C3H7OMs → C3H7F + Cs+OMs−] in [bmim][OMs]. The IL cation [bmim], IL anion [OMs], nucleophile F−, counter-cation Cs+ and the leaving group of the substrate form a very compact cyclic structure. The counter-cation Cs+ binds both to F− and the leaving group -OMs, allowing an ideal configuration for the nucleophilic attack to be formed. The role of the IL cation [bmim] and IL anion [OMs] for accelerating the reaction is clearly seen: [OMs] (and the leaving group) interacts with the counter-cation Cs+, reducing the retarding Coulombic influence of Cs+ on F− (thus “freeing” F−), whereas [bmim] ‘collects’ [OMs], Cs+ and F− for this ideal configuration. The role of Cs+ promoting the approach of F− to the leaving group (the substrate) and that of [OMs] (acting as a Lewis base) to neutralize the Coulombic influence of Cs+ on F− seems to be the key factor in this mechanism. In this sense, the IL anion [OMs] plays its role just as the electronegative O atoms do in nucleophilic fluorination catalyzed by oligoethylene glycols [33] and bulky alcohols [38].
Figure 1.
Calculated transition state for SN2 fluorination using CsF facilitated by [bmim][OMs].
5. Salt Effects
Magnier and co-workers reported that, in their use [35] of the IL [bmim]F in solvent-free environments for SN2 fluorination, using 3 equiv. of the IL significantly enhanced the reaction yield as compared with the case of IL: substrate ratio = 1:1. This observation of enhanced fluorination yield from 47 to 84% by changing the IL: substrate molar ratio from 1:1 to 3:1 (Table 6) indicated significant salt effects that require mechanistic elucidation. In the process of quantum chemical analysis, Choi and Oh [44] found a new feature for the role of IL when the IL: substrate ratio = 2:1, as shown in Figure 2: The anion F− in the second IL unit acts as an additional Lewis base on the two IL cations, not as a nucleophile, for facilitating the reaction. The calculated Gibbs free energy of activation decreases from 20.4 to 18.5 kcal/mol when the IL: substrate ratio increases from 1:1 to 2:1, in good agreement with the experimental observation of increased yield of fluorination.
Table 6.
Fluorination of 3-phenylpropyl p-toluenesulfonate with [bmim][F].
Figure 2.
Calculated structures of pre-reaction complex, transition state and post-reaction complex of SN2 fluorination for IL:substrate ratio = 2:1. Distances in Å.
A different kind of salt effect was observed by Grée and co-workers [45]. They found that adding KPF6− or using 2 equiv. of KF in SN2 fluorination activated by [Bmin][PF6] significantly enhanced the rate of the reaction (Figure 3). These experimental observations were also analyzed by quantum chemical calculations by Oh and Lee [46] (Figure 4), with interpretations similar to those for Magnier and co-workers: The additional PF6− or KF plays its role as an extra Lewis base acting on the counter-cation, further reducing the unfavorable influence of the latter on the nucleophile. Thus, the mechanistic study by quantum chemical methods was able to account for the experimentalists’ routine use of >2 equiv. metal salts for SN2 reactions.
Figure 3.
SN2 fluorination of trichlorotoluene by KF in ILs.
Figure 4.
Calculated transition state of SN2 fluorination in [bmim][PF6] (a) activated by KPF6 with substrate:KF:KPF6 = 1:1:1 and (b) with substrate:KF = 1:2.
6. Organocatalysis of Nucleophilic Fluorination by IL Derivatives
Attempts were made for improving the efficacy of ILs by synthesizing and using IL derivatives. Once the role of ILs as amphiphilic “electrophile-nucleophile” dual activators, and specifically the action of the IL anion as a Lewis base interacting with the alkali metal counter-cation, was elucidated, then the scheme for further development would be systematic and straightforward. Several investigators indeed carried out this task [34,47,48,49,50].
Shinde et al. [34] functionalized ILs with the tert-alcohol moiety, resulting in the 1-(2-hydroxy-2-methyl-n-propyl)-3-methylimidazolium mesylate IL ([C1im-tOH]-[OMs]), which was tested experimentally for the SN2 fluorination with CsF. Their results showed that the selectivity and yield increased considerably in comparison to other non-functionalized ILs, as an indication that the IL unit and tert-alcohol moiety produced synergetic effects. Oh et al. reported an activation barrier (ΔG‡) values of 20.8 kcal/mol when the reaction was carried out in the presence of the [C4mim][OMs] and 19.1 kcal/mol when the [C1im-tOH][OMs] was used, in agreement with the experimental yields of 32 and 100%, respectively (Table 7). Use of Oligoethylene glycolic imidazolium salts as a promoter for SN2 reactions by Kim and co-workers [47,48] is another new development toward tailor-making the ILs for specific purposes. The authors observed that these fused promoters exhibit much better efficacy for SN2 fluorination (Figure 5).
Table 7.
Experimentally Observed Relative Efficiency and Calculated Barriers of SN2 Reactions [Cs+F− + C3H7OMs → C3H7F + Cs+OMs−] (energy and Gibbs free energy in kcal/mol) in ionic liquids.
Figure 5.
SN2 fluorination [Cs+F− + C3H7OMs → C3H7F + Cs+OMs−] in [hexaEGmim][X] ionic liquids.
The mechanisms of the synergistic effects of these IL derivatives were treated elsewhere [49]; thus, here, we provide only a succinct description: The t-BuOH unit acts as an “anchor” to the leaving group for facile nucleophilic attack by F−, rather than as a Lewis base to Cs+, also helping to decrease the retarding effects of the H-F− interactions. On the other hand, the six O atoms of the two hexaethylene glycol units in [dihexaEGmim][X] ILs coordinate K+, and the two –OH groups, each from the two hexaEGs, act as an “anchor” to the nucleophile F−, thereby helping the formation of a ‘free’ nucleophile that is essentially separated from the counter-cation.
7. Aromatic (SNAr) Fluorination of Diaryliodonium Salts Using MFs
Aromatic (SNAr) [51] fluorination has profound implications with regard to the synthesis of aromatic radiopharmaceuticals that may be used as diagnostic or therapeutic agents for PET technology. One typical example would be the synthesis of [18F]F-dopa. This class of nucleophilic fluorination has been under intensive study since the development of diaryliodonium salts as very useful substrates by Pike and coworkers [52] in 1998. The efficacy of solvent/promoter ILs for fluorination of diaryliodonium salts [52,53,54,55,56,57,58,59,60,61,62,63,64,65,66], however, has not been systematically tested so far. There seems to be a great possibility that ILs could make a profound difference in the efficiency of this class of reaction, because the hypervalent I+ in the substrates may directly interact with the IL anion by the strong Coulombic force. In contrast with organic solvent, the counter-anion to I+ and the counteraction to F− may also interact with the IL cation/anion in a very complicated way. For SNAr radiofluorination, the use of weak bases such as K2CO3 is necessitated to extract 18F−, which could further complicate the nature of interactions. Thus, mechanistic investigation for ‘cold’ fluorination (introduction of 19F) would be considerably easier. Discussion of (SNAr) fluorination, including metal-catalyzed processes, would require a separate review; thus, we only give a brief description of some recent developments in the organocatalysis of diaryliodonium salts using MFs, in order to stimulate experimental and theoretical studies for this promising subject.
Scheme 4 depicts the cold and hot SNAr fluorination reactions first advanced by Pike and co-workers [52], in which the hot reaction reached 80% completion after 40 min in CH3CN. This method proved a powerful technique to fluorinate the electron-rich rings with improved yield and controlled regioselectivity that had been difficult to achieve by conventional methods.
Scheme 4.
(a) Cold fluorination using CsF in CH3CN; (b) hot fluorination of diarylio donium salts using (i) [18F] K+-APE 2.2.2 under N2 at 85 °C 40 min and (ii) [18F]F− Cs+, in CH3CN under N2 at 85 °C, 40 min.
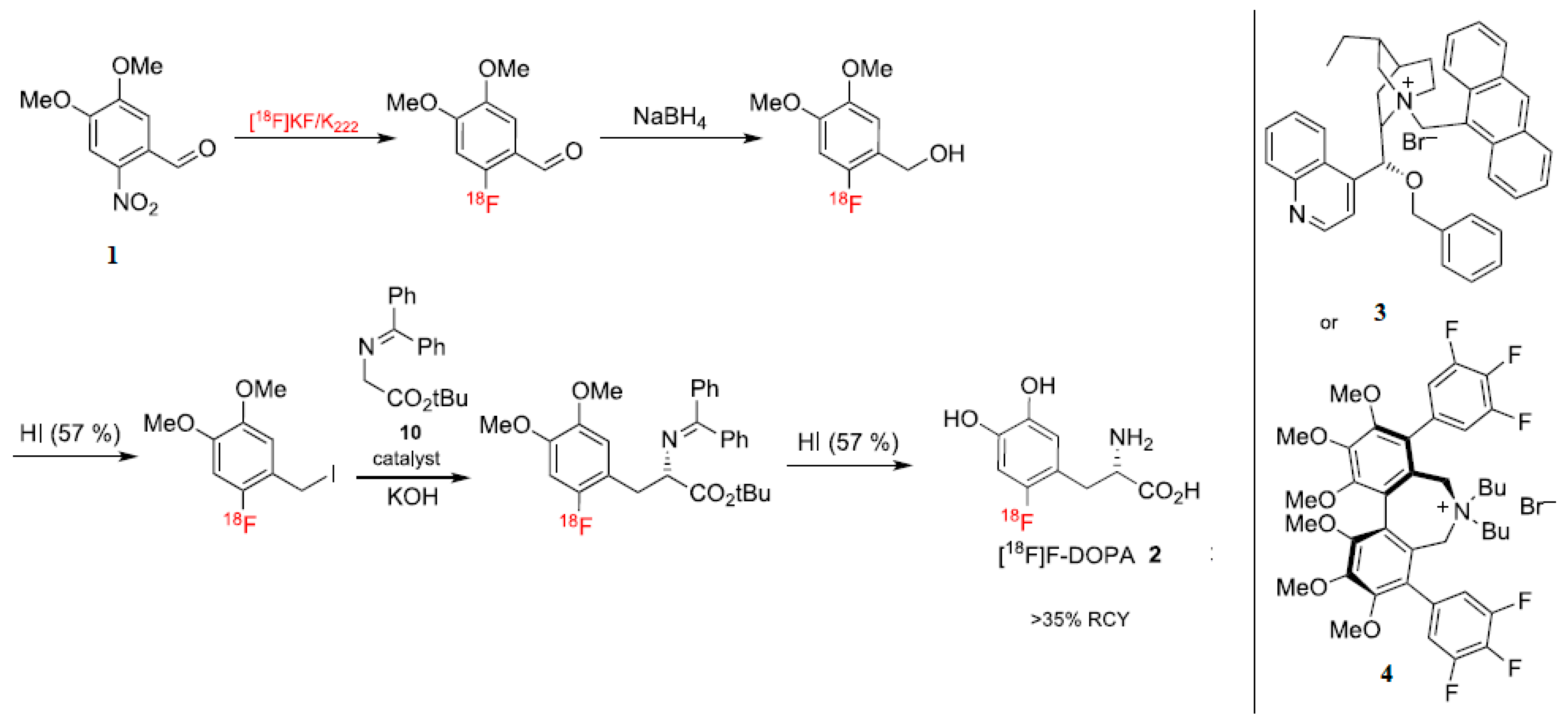
This nucleophilic protocol developed by Pike and co-workers was employed by Wirth and co-workers [58] for the multi-step synthesis of the elusive radiotracer [18F]F-dopa using chiral phase-transfer catalysts (Scheme 5), which was further advanced later to the one-step synthetic technique [59]. The RCY was reported to be >35 %. A number of advantages (for example, no need to handle carrier-added [18F]F2 gas) of the nucleophilic procedure involving diaryliodonium salts over the electrophilic [18F]-fluorination were demonstrated. Scheme 4 shows multistep synthesis to [18F]6-fluoro-3,4-dihydroxy-L-phenylalanine ([18F]F-dopa) using chiral phase-transfer catalysts.
Scheme 5.
Multistep synthesis to [18F]6-fluoro-3,4-dihydroxy-L-phenylalanine ([18F]F-dopa) using chiral phase-transfer catalysts.
A more recent synthetic route for [18F]F-DOPA adopted by Maisonial-Besset et al. [61] seems to be an advance, because their method obviates the need for the use of base, cryptand or metal catalyst with improved RCY (27–38%). The fully automated synthetic procedure starts from the t-butyl ester precursor (Scheme 6).
Scheme 6.
Preparation of [18F]F-dopa from tert-butyl ester precursor. (a) [18F]F-, toluene, 105–110 °C, 10 min; (b) aq. HCl conc., 120 °C, 7 min.
6-[18F]fluorodopamine ([18F]F-DA) is another radiotracer for imaging neuroendocrine tumors. Snyder and co-workers’ [62] one-pot synthetic scheme (Scheme 7) is a notable development. The diaryliodonium precursor leads to the intermediate after initial ion exchange at the hypervalent iodine center, and deprotection of the radiolabeled intermediate in HCl produces [18F]F-DA. A radiochemically pure product was achieved with a radiochemical yield of 12%.
Scheme 7.
One-pot synthetic procedure for 6-[18F]fluorodopamine ([18F]F-DA).
As noted above, the use of ILs as the solvent/promoter for these SNAr fluorination processes, to the best of our knowledge, has not been attempted so far. It would be extremely intriguing to examine this possibility both experimentally and theoretically.
8. Theoretical Approaches: Supramolecule–Continuum vs. QM/MM Theory
Several theoretical methods have been employed to treat the promotion of nucleophilic fluorination in ILs. Since the ILs are in a liquid state, however, some simplifying models should have been adopted. One choice was the supramolecule (cluster)–continuum approach, in which the IL molecules directly interacting with the substrate/metal fluoride are treated by full quantum chemical methods (mostly based on density functional theory (DFT)), whereas the rest of the infinite number of IL molecules are as continuum. The biggest merit of this approach is simplicity, and it is good for obtaining and comparing the relative Gibbs free energies of alternative reaction paths, providing the essential features of the reaction processes. Pliego [39,67] employed the molecular dynamics simulation combined with (cluster)–continuum approach to treat bulky alcohols as reaction medium for SN2 nucleophilic fluorination, specifically for the solvation of alkali metal salts and the transition states in tert-butanol solution. The author found that the transition state was solvated by a cluster of four tert-butanol molecules and by a dielectric continuum (Figure 6). The free energy of activation obtained by cluster–continuum calculations for CsF reaction with ethyl bromide was 28.4 kcal/mol, close to the experimental value of 28.9 kcal/mol for a similar system. This technique also seems to be promising for SN2 reactions in ILs for calculating and comparing the Gibbs free energies of activation to estimate the efficacy of promoter/catalysts and also to compare the relative feasibility of alternative reaction pathways, as demonstrated by Lee and co-workers in a series of works [32,36,37]. For the supramolecule (cluster) part of the system, it would be prerequisite to accurately calculate the weak interactions (hydrogen bonding, specifically). Thus, DFT-based methods with such capability such as M06-2X [68] would be desirable. A number of polarizable continuum methods (PCM) may be used for the treatment of solvent continuum, but the SMD method [69] was quite adequate in terms of computational cost and accuracy.
Figure 6.
Cluster–continuum solvation of KF and CsF with four tert-butanol molecules.
An alternative model would be the mixed quantum and molecular mechanical (QM/MM) simulation method in which the IL molecules in indirect interaction with the QM-treated part of the system are treated by MM methodology. Recent excellent simulations by Gallo and co-workers [70] are to be noticed in this regard. Figure 7 depicts the structures of the reactant, TS, and product for SN2 fluorination in [Bmim][Br]. On average, five IL units were calculated to surround the contact ion-pair KF. Thus, Gallo and co-workers’ QM/MM simulation clearly illustrates that the metal salt KF reacts as a contact ion pair nucleophile in [Bmim][Br], in line with Lee and co-worker’s theory [37]. The calculated Gibbs free energy of activation ΔG‡ of 22~24 kcal/mol [70] for the reactions in five IL solvents are comparable to those obtained by the supramolecular–continuum approach.
Figure 7.
Molecular environment for the SN2-[Bmim][Br] system at different kinetic states: (a) reactant, (b) transition state, and (c) product.
A series of QM/MM simulations for reactions in ILs by Acevedo and co-workers [71,72,73,74,75,76] also exhibits the potentiality of the technique for IL-facilitated chemical transformations. Table 8 shows that the free energies of activation obtained by the semiempirical QM method PDDG/PM3 and force field for the SNAr reactions of piperidine and 2-methoxy-5-nitrothiophene are in better agreement [71] with experimental values [77] than those calculated by the supramolecular–continuum approach (B3LYP/6-311++G(2d,p)/PCM). Figure 8 illustrates the first-solvation shell of the SNAr substrates (piperidine, 2-methoxy-5-nitrothiophene) encapsulated by [bmim][BF4] ILs, which may not be obtained by the supramolecule–continuum approach. Improvement may also be achieved by employing Born–Oppenheimer molecular dynamics (MD) calculations by Acevedo and co-workers [72] for the structures of [Bmin]X (X = Cl, BF4, PF6) ionic liquids, and H2 evolution from formic acid decomposition in an ionic liquid solvent by Klein and co-workers [78]
Table 8.
Free Energy of Activation, ΔG‡ (kcal/mol), Calculated at 25 °C for the SNAr Reactions between the 2-L-5-nitrothiophene (Para-like) Isomers and Piperidine in Methanol and Ionic Liquids (Experimental Energies [77] in Parentheses).
Figure 8.
First-solvation shell [Bmim][BF4] encapsulation of the (a) addition transition state and (b) the Meisenheimer intermediate, for the SNAr reaction between piperidine and 2-methoxy-5-nitrothiophene. Ref. [71].
9. Conclusions
Use of ILs for facilitating chemical reactions has been and will be much wider than that described in this review. Since the aliphatic fluorination is just a small part of SN2 reactions, many advantageous properties of ILs will surely stimulate further developments in other nucleophilic reactions with a variety of substrates and organocatalysts. SNAr reactions seems to remain a largely unexplored field in this respect [79,80,81,82]. Experimental and theoretical examination of using ILs as solvents/promoters for efficient and selective SNAr fluorination in metal-free conditions would be highly desirable. Understanding the underlying mechanism by quantum chemical calculations will certainly help to tailor-make the ILs for aliphatic and aromatic fluorination. Development of IL derivatives containing a reinforcing (via interactions with counter-cation and/or with the leaving group) side-chain is an avenue to be further explored. Use of ILs for synthesizing 18F-labeled radiophamaceutical substances also looks promising. Although not an IL, the recently reported reaction of 18F-fluorination by a tert-butanol-integrated quaternary ammonium salt (tri-(tert-butanol)-methylammonium fluoride [83,84] shows this possibility.
Author Contributions
S.L. and Y.-H.O. carried out quantum chemical calculations and wrote the paper; D.W.K. performed the experiments and wrote the paper. All authors have read and agreed to the published version of the manuscript.
Funding
This work was financially supported by Korea Research Foundation (NRF-2019R1F1A1057609, 2020R1A2C1009017), the Ministry of Science and ICT (MSIT), the MOTIE (Ministry of Trade, Industry & Energy) and KSRC (Korea Semiconductor Research Consortium) support program (grant code: 10080450), Republic of Korea.
Conflicts of Interest
The authors declare no conflict of interest.
References
- Yu, L.H. (Ed.) Ionic Liquids in Green Organic Synthesis and Catalysis; CRC press: New York, NY, USA, 2021. [Google Scholar]
- Wasserscheid, P.; Keim, W. Ionic Liquids—New “Solutions” for Transition Metal Catalysis. Angew. Chem. 2000, 39, 3772–3789. [Google Scholar] [CrossRef]
- Hallett, J.P.; Welton, T. Room-Temperature Ionic Liquids: Solvents for Synthesis and Catalysis. 2. Chem. Rev. 2011, 111, 3508–3576. [Google Scholar] [CrossRef] [PubMed]
- Chakraborti, A.K.; Roy, S.R. On Catalysis by Ionic Liquids. J. Am. Chem. Soc. 2009, 131, 6902–6903. [Google Scholar] [CrossRef] [PubMed]
- Sarkar, A.; Roy, S.R.; Parikh, N.; Chakraborti, A.K. Nonsolvent Application of Ionic Liquids: Organo-Catalysis by 1-Alkyl-3-Methylimidazolium Cation Based Room-Temperature Ionic Liquids for Chemoselective N-Tert-Butyloxycarbonylation of Amines and the Influence of the C-2 Hydrogen on Catalytic Efficiency. J. Org. Chem. 2011, 76, 7132–7140. [Google Scholar] [CrossRef] [PubMed]
- Xiao, Y.; Malhotra, S.V. Friedel-Crafts Acylation Reactions in Pyridinium Based Ionic Liquids. J. Organomet. Chem. 2005, 690, 3609–3613. [Google Scholar] [CrossRef]
- Carmichael, A.J.; Earle, M.J.; Holbrey, J.D.; McCormac, P.B.; Seddon, K.R. The Heck Reaction in Ionic Liquids: A Multiphasic Catalyst System. Org. Lett. 1999, 1, 997–1000. [Google Scholar] [CrossRef]
- Peng, J.; Deng, Y. Cycloaddition of Carbon Dioxide to Propylene Oxide Catalyzed by Ionic Liquids. New J. Chem. 2001, 25, 639–641. [Google Scholar] [CrossRef]
- Hu, X.; Ngwa, C.; Zheng, Q. A Simple and Efficient Procedure for Knoevenagel Reaction Promoted by Imidazolium-Based Ionic Liquids. Curr. Org. Synth. 2016, 13, 101–110. [Google Scholar] [CrossRef]
- Zare, A.; Hasaninejad, A.; Parhami, A.; Moosavi-Zare, A.R.; Khedri, F.; Parsaee, Z.; Abdolalipoor-Saretoli, M.; Khedri, M.; Roshankar, M.; Deisi, H. Ionic Liquid 1-Butyl-3-Methylimidazolium Bromide ([Bmim]Br): A Green and Neutral Reaction Media for the Efficient, Catalyst-Free Synthesis of Quinoxaline Derivatives. J. Serbian Chem. Soc. 2010, 75, 1315–1324. [Google Scholar] [CrossRef]
- Jakhar, K. Facile and Environment-Friendly Fluorinations Using Ionic Liquids. Curr. Org. Synth. 2022, 19, 1–25. [Google Scholar] [CrossRef]
- Marrucho, I.M.; Branco, L.C.; Rebelo, L.P.N. Ionic Liquids in Pharmaceutical Applications. Annu. Rev. Chem. Biomol. Eng. 2014, 5, 527–546. [Google Scholar] [CrossRef]
- Lee, J.W.; Shin, J.Y.; Chun, Y.S.; Jang, H.B.; Song, C.E.; Lee, S. Toward Understanding the Origin of Positive Effects of Ionic Liquids on Catalysis: Formation of More Reactive Catalysts and Stabilization of Reactive Intermediates and Transition States in Ionic Liquids. Acc. Chem. Res. 2010, 43, 985–994. [Google Scholar] [CrossRef]
- Kim, D.W.; Song, C.E.; Chi, D.Y. New Method of Fluorination Using Potassium Fluoride in Ionic Liquid: Significantly Enhanced Reactivity of Fluoride and Improved Selectivity. J. Am. Chem. Soc. 2002, 124, 10278–10279. [Google Scholar] [CrossRef] [PubMed]
- Kim, D.W.; Song, C.E.; Chi, D.Y. Significantly Enhanced Reactivities of the Nucleophilic Substitution Reactions in Ionic Liquid. J. Org. Chem. 2003, 68, 4281–4285. [Google Scholar] [CrossRef] [PubMed]
- Kim, D.W.; Chi, D.Y. Polymer-Supported Ionic Liquids: Imidazolium Salts as Catalysts for Nucleophilic Substitution Reactions Including Fluorinations. Angew. Chemie Int. Ed. 2004, 43, 483–485. [Google Scholar] [CrossRef]
- Pârvulescu, V.I.; Hardacre, C. Catalysis in Ionic Liquids. Chem. Rev. 2007, 107, 2615–2665. [Google Scholar] [CrossRef] [PubMed]
- Van Rantwijk, F.; Sheldon, R.A. Biocatalysis in Ionic Liquids. Chem. Rev. 2007, 107, 2757–2785. [Google Scholar] [CrossRef]
- Earle, M.; Forestier, A.; Olivier-Bourbigou, H.; Wasserscheid, P. Organic Synthesis. In Ionic Liquids in Synthesis, 1st ed.; Wasserscheid, P., Welton, T., Eds.; Wiley-VCH Verlag: Weinheim, Germany, 2002; pp. 174–287. [Google Scholar]
- Welton, T. Ionic Liquids: A Brief History. Biophys. Rev. 2018, 10, 691–706. [Google Scholar] [CrossRef]
- Kim, D.W.; Hong, D.J.; Seo, J.W.; Kim, H.S.; Kim, H.K.; Song, C.E.; Chi, D.Y. Hydroxylation of Alkyl Halides with Water in Ionic Liquid: Significantly Enhanced Nucleophilicity of Water. J. Org. Chem. 2004, 69, 3186–3189. [Google Scholar] [CrossRef] [PubMed]
- Earle, M.J.; McCormac, P.B.; Seddon, K.R. Regioselective Alkylation in Ionic Liquids. Chem. Commun. 1998, 2245–2246. [Google Scholar] [CrossRef]
- Chauvin, Y.; Hirschauer, A.; Olivier, H. Alkylation of Isobutane with 2-Butene Using 1-Butyl-3-Methylimidazolium Chloride—Aluminium Chloride Molten Salts as Catalysts. J. Mol. Catal. 1994, 92, 155–165. [Google Scholar] [CrossRef]
- Fischer, T.; Sethi, A.; Welton, T.; Woolf, J. Diels-Alder Reactions in Room-Temperature Ionic Liquids. Tetrahedron Lett. 1999, 40, 793–796. [Google Scholar] [CrossRef]
- Bortolami, M.; Mattiello, L.; Scarano, V.; Vetica, F.; Feroci, M. In Situ Anodically Oxidized BMIm-BF4: A Safe and Recyclable BF3 Source. J. Org. Chem. 2021, 86, 16151–16157. [Google Scholar] [CrossRef] [PubMed]
- Beil, S.; Markiewicz, M.; Pereira, C.S.; Stepnowski, P.; Thöming, J.; Stolte, S. Toward the Proactive Design of Sustainable Chemicals: Ionic Liquids as a Prime Example. Chem. Rev. 2021, 121, 13132–13173. [Google Scholar] [CrossRef] [PubMed]
- Zhang, X.; Lu, G.; Xu, Z.; Cai, C. Facile Synthesis of Indolizines via 1, 3-Dipolar Cycloadditions in [Omim] Br: The Promotion of the Reaction through Noncovalent Interactions. ACS Sustain. Chem. Eng. 2017, 5, 9279–9285. [Google Scholar] [CrossRef]
- Sysoeva, A.A.; Novikov, A.S.; Il’in, M.V.; Suslonov, V.V.; Bolotin, D.S. Predicting the Catalytic Activity of Azolium-Based Halogen Bond Donors: An Experimentally-Verified Theoretical Study. Org. Biomol. Chem. 2021, 19, 7611–7620. [Google Scholar] [CrossRef]
- Oh, Y.H.; Choi, H.; Park, C.; Kim, D.W.; Lee, S. Harnessing Ionic Interactions and Hydrogen Bonding for Nucleophilic Fluorination. Molecules 2020, 25, 721. [Google Scholar] [CrossRef]
- Kim, D.W.; Choe, Y.S.; Chi, D.Y. A New Nucleophilic Fluorine-18 Labeling Method for Aliphatic Mesylates: Reaction in Ionic Liquids Shows Tolerance for Water. Nucl. Med. Biol. 2003, 30, 345–350. [Google Scholar] [CrossRef]
- Bolton, R. Radiohalogen Incorporation into Organic Systems. J. Label. Compd. Radiopharm. Off. J. Int. Isot. Soc. 2002, 45, 485–528. [Google Scholar] [CrossRef]
- Lee, J.W.; Oliveira, M.T.; Jang, H.B.; Lee, S.; Chi, D.Y.; Kim, D.W.; Song, C.E. Hydrogen-Bond Promoted Nucleophilic Fluorination: Concept, Mechanism and Applications in Positron Emission Tomography. Chem. Soc. Rev. 2016, 45, 4638–4650. [Google Scholar] [CrossRef]
- Lee, J.W.; Yan, H.; Jang, H.B.; Kim, H.K.; Park, S.; Lee, S.; Chi, D.Y.; Song, C.E. Bis-Terminal Hydroxy Polyethers as All-Purpose, Multifunctional Organic Promoters: A Mechanistic Investigation and Applications. Angew. Chemie 2009, 121, 7819–7822. [Google Scholar] [CrossRef]
- Shinde, S.S.; Lee, B.S.; Chi, D.Y. Synergistic Effect of Two Solvents, Tert-Alcohol and Lonic Liquid, in One Molecule in Nucleophilic Fluorination. Org. Lett. 2008, 10, 733–735. [Google Scholar] [CrossRef] [PubMed]
- Bouvet, S.; Pegot, B.; Marrot, J.; Magnier, E. Solvent Free Nucleophilic Introduction of Fluorine with [Bmim][F]. Tetrahedron Lett. 2014, 55, 826–829. [Google Scholar] [CrossRef]
- Oh, Y.-H.; Ahn, D.-S.; Chung, S.-Y.; Jeon, G.-H.; Park, S.-W.; Oh, S.J.; Kim, D.W.; Kil, H.S.; Chi, D.Y.; Lee, S. Facile SN2 Reaction in Protic Solvent: Quantum Chemical Analysis. J. Phys. Chem. A 2007, 111, 10152–10161. [Google Scholar] [CrossRef]
- Oh, Y.H.; Jang, H.B.; Im, S.; Song, M.J.; Kim, S.Y.; Park, S.W.; Chi, D.Y.; Song, C.E.; Lee, S. SN2 Fluorination Reactions in Ionic Liquids: A Mechanistic Study towards Solvent Engineering. Org. Biomol. Chem. 2011, 9, 418–422. [Google Scholar] [CrossRef] [PubMed]
- Kim, D.W.; Ahn, D.-S.; Oh, Y.-H.; Lee, S.; Kil, H.S.; Oh, S.J.; Lee, S.J.; Kim, J.S.; Ryu, J.S.; Moon, D.H.; et al. A New Class of SN2 Reactions Catalyzed by Protic Solvents: Facile Fluorination for Isotopic Labeling of Diagnostic Molecules. J. Am. Chem. Soc. 2006, 128, 16394–16397. [Google Scholar] [CrossRef]
- Pliego Jr, J.R. Molecular Dynamics and Cluster-Continuum Insights on Bulk Alcohols Effects on SN2 Reactions of Potassium and Cesium Fluorides with Alkyl Halides. J. Mol. Liq. 2017, 237, 157–163. [Google Scholar] [CrossRef]
- Silva, S.L.; Valle, M.S.; Pliego, J.R., Jr. Nucleophilic Fluorination with KF Catalyzed by 18-Crown-6 and Bulky Diols: A Theoretical and Experimental Study. J. Org. Chem. 2020, 85, 15457–15465. [Google Scholar] [CrossRef]
- Kim, D.W.; Jeong, H.-J.; Lim, S.T.; Sohn, M.-H.; Chi, D.Y. Facile Nucleophilic Fluorination by Synergistic Effect between Polymer-Supported Ionic Liquid Catalyst and Tert-Alcohol Reaction Media System. Tetrahedron 2008, 64, 4209–4214. [Google Scholar] [CrossRef]
- Shinde, S.S.; Lee, B.S.; Chi, D.Y. Polymer-Supported Protic Functionalized Ionic Liquids for Nucleophilic Substitution Reactions: Superior Catalytic Activity Compared to Other Ionic Resins. Tetrahedron Lett. 2008, 49, 4245–4248. [Google Scholar] [CrossRef]
- Sawamura, T.; Kuribayashi, S.; Inagi, S.; Fuchigami, T. Recyclable Polymer-Supported Iodobenzene-Mediated Electrocatalytic Fluorination in Ionic Liquid. Adv. Synth. Catal. 2010, 352, 2757–2760. [Google Scholar] [CrossRef]
- Choi, H.; Oh, Y.-H. Mechanism of Promotion of SN2 Fluorination by [Bmim] F in Solvent-Free Environment: Quantum Chemical Analysis. Chem. Phys. Lett. 2020, 756, 137857. [Google Scholar] [CrossRef]
- Anguille, S.; Garayt, M.; Schanen, V.; Grée, R. Activation of Nucleophilic Fluorination by Salts in Ionic Liquids and in Sulfolane. Adv. Synth. Catal. 2006, 348, 1149–1153. [Google Scholar] [CrossRef]
- Oh, Y.-H.; Lee, S. Origin of Salt Effects in SN2 Fluorination Using KF Promoted by Ionic Liquids: Quantum Chemical Analysis. Molecules 2021, 26, 5738. [Google Scholar] [CrossRef] [PubMed]
- Jadhav, V.H.; Jeong, H.-J.; Lim, S.T.; Sohn, M.-H.; Kim, D.W. Tailor-Made Hexaethylene Glycolic Ionic Liquids as Organic Catalysts for Specific Chemical Reactions. Org. Lett. 2011, 13, 2502–2505. [Google Scholar] [CrossRef]
- Jadhav, V.H.; Kim, J.Y.; Chi, D.Y.; Lee, S.; Kim, D.W. Organocatalysis of Nucleophilic Substitution Reactions by the Combined Effects of Two Promoters Fused in a Molecule: Oligoethylene Glycol Substituted Imidazolium Salts. Tetrahedron 2014, 70, 533–542. [Google Scholar] [CrossRef]
- Lee, S.; Kim, D.W. Organocatalysis of SN2 Reactions by Multifunctional Promotors: Ionic Liquids and Derivatives. In Sustainable Catalysis in Ionic Liquids, 1st ed.; Lozano, P., Ed.; CRC Press: Boca Raton, FL, USA, 2018; pp. 95–110. [Google Scholar]
- Oh, Y.; Lee, S. Hydrogen Bonding in SN2 Reactions Promoted or Inhibited by Ionic Liquids: Effects of Side Chain. Bull. Korean Chem. Soc. 2021, 42, 446–451. [Google Scholar] [CrossRef]
- Neumann, C.N.; Hooker, J.M.; Ritter, T. Concerted nucleophilic aromatic substitution with 19F− and 18F−. Nature 2016, 534, 369–373. [Google Scholar] [CrossRef]
- Shah, A.; Pike, V.W.; Widdowson, D.A. The Synthesis of [18F]Fluoroarenes from the Reaction of Cyclotron-Produced [18F]Fluoride Ion with Diaryliodonium Salts. J. Chem. Soc. Perkin Trans. 1 1998, 2043–2046. [Google Scholar] [CrossRef]
- Yoshimura, A.; Zhdankin, V. V Advances in Synthetic Applications of Hypervalent Iodine Compounds. Chem. Rev. 2016, 116, 3328–3435. [Google Scholar] [CrossRef]
- Yagyu, T.; Takemoto, Y.; Yoshimura, A.; Zhdankin, V.V.; Saito, A. Iodine (III)-Catalyzed Formal [2+ 2+ 1] Cycloaddition Reaction for Metal-Free Construction of Oxazoles. Org. Lett. 2017, 19, 2506–2509. [Google Scholar] [CrossRef]
- Antonkin, N.S.; Vlasenko, Y.A.; Yoshimura, A.; Smirnov, V.I.; Borodina, T.N.; Zhdankin, V.V.; Yusubov, M.S.; Shafir, A.; Postnikov, P.S. Preparation and Synthetic Applicability of Imidazole-Containing Cyclic Iodonium Salts. J. Org. Chem. 2021, 86, 7163–7178. [Google Scholar] [CrossRef] [PubMed]
- Xu, B.; Gao, Y.; Han, J.; Xing, Z.; Zhao, S.; Zhang, Z.; Ren, R.; Wang, L. Hypervalent Iodine (III)-Mediated Tosyloxylation of 4-Hydroxycoumarins. J. Org. Chem. 2019, 84, 10136–10144. [Google Scholar] [CrossRef] [PubMed]
- Chen, H.; Wang, L.; Han, J. Deacetylative Aryl Migration of Diaryliodonium Salts with C (Sp2)–N Bond Formation toward Ortho-Iodo N-Aryl Sulfonamides. Org. Lett. 2020, 22, 3581–3585. [Google Scholar] [CrossRef]
- Edwards, R.; Wirth, T. [18F] 6-fluoro-3, 4-dihydroxy-l-phenylalanine–Recent Modern Syntheses for an Elusive Radiotracer. J. Label. Compd. Radiopharm. 2015, 58, 183–187. [Google Scholar] [CrossRef] [PubMed]
- Edwards, R.; Westwell, A.D.; Daniels, S.; Wirth, T. Convenient Synthesis of Diaryliodonium Salts for the Production of [18F]F-DOPA. European J. Org. Chem. 2015, 2015, 625–630. [Google Scholar] [CrossRef]
- Tian, T.; Zhong, W.-H.; Meng, S.; Meng, X.-B.; Li, Z.-J. Hypervalent Iodine Mediated Para-Selective Fluorination of Anilides. J. Org. Chem. 2013, 78, 728–732. [Google Scholar] [CrossRef]
- Maisonial-Besset, A.; Serre, A.; Ouadi, A.; Schmitt, S.; Canitrot, D.; Léal, F.; Miot-Noirault, E.; Brasse, D.; Marchand, P.; Chezal, J.M. Base/Cryptand/Metal-Free Automated Nucleophilic Radiofluorination of [18F]FDOPA from Iodonium Salts: Importance of Hydrogen Carbonate Counterion. Eur. J. Org. Chem. 2018, 2018, 7058–7065. [Google Scholar] [CrossRef]
- Vāvere, A.L.; Neumann, K.D.; Butch, E.R.; Hu, B.; DiMagno, S.G.; Snyder, S.E. Improved, One-pot Synthesis of 6-[18F] Fluorodopamine and Quality Control Testing for Use in Patients with Neuroblastoma. J. Label. Compd. Radiopharm. 2018, 61, 1069–1080. [Google Scholar] [CrossRef]
- Jang, K.S.; Jung, Y.-W.; Gu, G.; Koeppe, R.A.; Sherman, P.S.; Quesada, C.A.; Raffel, D.M. 4-[18F] Fluoro-m-Hydroxyphenethylguanidine: A Radiopharmaceutical for Quantifying Regional Cardiac Sympathetic Nerve Density with Positron Emission Tomography. J. Med. Chem. 2013, 56, 7312–7323. [Google Scholar] [CrossRef] [Green Version]
- Han, J.; Chen, H.; An, G.; Sun, X.; Li, X.; Liu, Y.; Zhao, S.; Wang, L. Hypervalent Iodonium Zwitterions and Nucleophilic Aromatic Substitution: A Multiple-Step Experiment in Organic Chemistry. J. Chem. Educ. 2021, 98, 3992–3998. [Google Scholar] [CrossRef]
- Il’in, M.V.; Sysoeva, A.A.; Novikov, A.S.; Bolotin, D.S. Diaryliodoniums as Hybrid Hydrogen-and Halogen-Bond-Donating Organocatalysts for the Groebke–Blackburn–Bienaymé Reaction. J. Org. Chem. 2022, 87, 4569–4579. [Google Scholar] [CrossRef] [PubMed]
- Yunusova, S.N.; Novikov, A.S.; Soldatova, N.S.; Vovk, M.A.; Bolotin, D.S. Iodonium Salts as Efficient Iodine (III)-Based Noncovalent Organocatalysts for Knorr-Type Reactions. RSC Adv. 2021, 11, 4574–4583. [Google Scholar] [CrossRef]
- Pliego, J.R.; Riveros, J.M. The Cluster-Continuum Model for the Calculation of the Solvation Free Energy of Ionic Species. J. Phys. Chem. A 2001, 105, 7241–7247. [Google Scholar] [CrossRef]
- Zhao, Y.; Truhlar, D.G. The M06 Suite of Density Functionals for Main Group Thermochemistry, Thermochemical Kinetics, Noncovalent Interactions, Excited States, and Transition Elements: Two New Functionals and Systematic Testing of Four M06-Class Functionals and 12 Other Function. Theor. Chem. Acc. 2008, 120, 215–241. [Google Scholar] [CrossRef]
- Marenich, A.V.; Cramer, C.J.; Truhlar, D.G. Universal Solvation Model Based on Solute Electron Density and on a Continuum Model of the Solvent Defined by the Bulk Dielectric Constant and Atomic Surface Tensions. J. Phys. Chem. B 2009, 113, 6378–6396. [Google Scholar] [CrossRef]
- Sánchez-Badillo, J.; Gallo, M.; Guirado-López, R.A.; González-García, R. Potential of Mean Force Calculations for an SN2 Fluorination Reaction in Five Different Imidazolium Ionic Liquid Solvents Using Quantum Mechanics/Molecular Mechanics Molecular Dynamics Simulations. J. Phys. Chem. B 2020, 124, 4338–4357. [Google Scholar] [CrossRef]
- Acevedo, O. Simulating Chemical Reactions in Ionic Liquids Using QM/MM Methodology. J. Phys. Chem. A 2014, 118, 11653–11666. [Google Scholar] [CrossRef]
- Allen, C.; McCann, B.W.; Acevedo, O. Ionic Liquid Effects on Nucleophilic Aromatic Substitution Reactions from QM/MM Simulations. J. Phys. Chem. B 2015, 119, 743–752. [Google Scholar] [CrossRef]
- Doherty, B.; Zhong, X.; Acevedo, O. Virtual Site OPLS Force Field for Imidazolium-Based Ionic Liquids. J. Phys. Chem. B 2018, 122, 2962–2974. [Google Scholar] [CrossRef]
- Acevedo, O.; Jorgensen, W.L.; Evanseck, J.D. Elucidation of Rate Variations for a Diels—Alder Reaction in Ionic Liquids from QM/MM Simulations. J. Chem. Theory Comput. 2007, 3, 132–138. [Google Scholar] [CrossRef] [PubMed]
- Doherty, B.; Zhong, X.; Gathiaka, S.; Li, B.; Acevedo, O. Revisiting OPLS Force Field Parameters for Ionic Liquid Simulations. J. Chem. Theory Comput. 2017, 13, 6131–6145. [Google Scholar] [CrossRef] [PubMed]
- Yue, K.; Doherty, B.; Acevedo, O. Comparison between Ab Initio Molecular Dynamics and OPLS-Based Force Fields for Ionic Liquid Solvent Organization. J. Phys. Chem. B 2022, 126, 3908–3919. [Google Scholar] [CrossRef]
- D’Anna, F.; Frenna, V.; Noto, R.; Pace, V.; Spinelli, D. Study of Aromatic Nucleophilic Substitution with Amines on Nitrothiophenes in Room-Temperature Ionic Liquids: Are the Different Effects on the Behavior of Para-like and Ortho-like Isomers on Going from Conventional Solvents to Room-Temperature Ionic Liquid. J. Org. Chem. 2006, 71, 5144–5150. [Google Scholar] [CrossRef]
- Bhargava, B.L.; Yasaka, Y.; Klein, M.L. Hydrogen Evolution from Formic Acid in an Ionic Liquid Solvent: A Mechanistic Study by Ab Initio Molecular Dynamics. J. Phys. Chem. B 2011, 115, 14136–14140. [Google Scholar] [CrossRef]
- Zhang, X.; Lu, G.; Cai, C. Facile Aromatic Nucleophilic Substitution (SNAr) Reactions in Ionic Liquids: An Electrophile–Nucleophile Dual Activation by [Omim] Br for the Reaction. Green Chem. 2016, 18, 5580–5585. [Google Scholar] [CrossRef]
- Oh, Y.; Lee, S. Enhancement of SNAr Reactions by CH3SO3− Ionic Liquid and Organic Solvent Dimethylformamide as Bifunctional Organocatalysts: A Mechanistic Study. Bull. Korean Chem. Soc. 2022, 43, 98–102. [Google Scholar] [CrossRef]
- Lee, W.C.; Kang, S.M.; Lee, B.C.; Kim, S.E.; Kim, D.W. Multifunctional Crown-5-calix[4]arene-based Phase-Transfer Catalysts for Aromatic 18F-Fluorination. Org. Lett. 2020, 22, 9551–9555. [Google Scholar] [CrossRef]
- D’Anna, F.; Marullo, S.; Noto, R. Ionic Liquids/[bmim][N3] Mixtures: Promising Media for the Synthesis of Aryl Azides by SNAr. J. Org. Chem. 2008, 73, 6224–6228. [Google Scholar] [CrossRef]
- Shinde, S.S.; Bolik, K.-V.; Maschauer, S.; Prante, O. 18F-Fluorination Using Tri-Tert-Butanol Ammonium Iodide as Phase-Transfer Catalyst: An Alternative Minimalist Approach. Pharmaceuticals 2021, 14, 833. [Google Scholar] [CrossRef]
- Oh, Y.-H.; Shinde, S.S.; Lee, S. Nucleophilic Radiofluorination Using Tri-Tert-Butanol Ammonium as a Bifunctional Organocatalyst: Mechanism and Energetics. Molecules 2022, 27, 1044. [Google Scholar] [CrossRef] [PubMed]
Publisher’s Note: MDPI stays neutral with regard to jurisdictional claims in published maps and institutional affiliations. |
© 2022 by the authors. Licensee MDPI, Basel, Switzerland. This article is an open access article distributed under the terms and conditions of the Creative Commons Attribution (CC BY) license (https://creativecommons.org/licenses/by/4.0/).




















