Sargassum fusiforme Polysaccharide-Based Hydrogel Microspheres Enhance Crystal Violet Dye Adsorption Properties
Abstract
:1. Introduction
2. Materials and methods
2.1. Materials and Chemicals
2.2. Preparation of SFP
2.3. Preparation of SFP/SA
2.4. Characterization of SFP/SA
2.4.1. Scanning Electron Microscope Analysis
2.4.2. Fourier Transform Infrared Spectroscopy Analysis
2.4.3. Texture Profile Analysis
2.4.4. Differential Scanning Calorimetric Analysis
2.5. Absorption and Separation of CV by SFP/SA
2.5.1. Absorption of CV
2.5.2. Adsorption Kinetic Model of CV by SFP/SA
2.5.3. Adsorption Isotherm Model of CV by SFP/SA
2.5.4. Desorption and Recycling of SFP/SA
3. Results and Discussion
3.1. Analysis of Scanning Electron Microscope
3.2. Analysis of Fourier Transform Infrared Spectroscopy
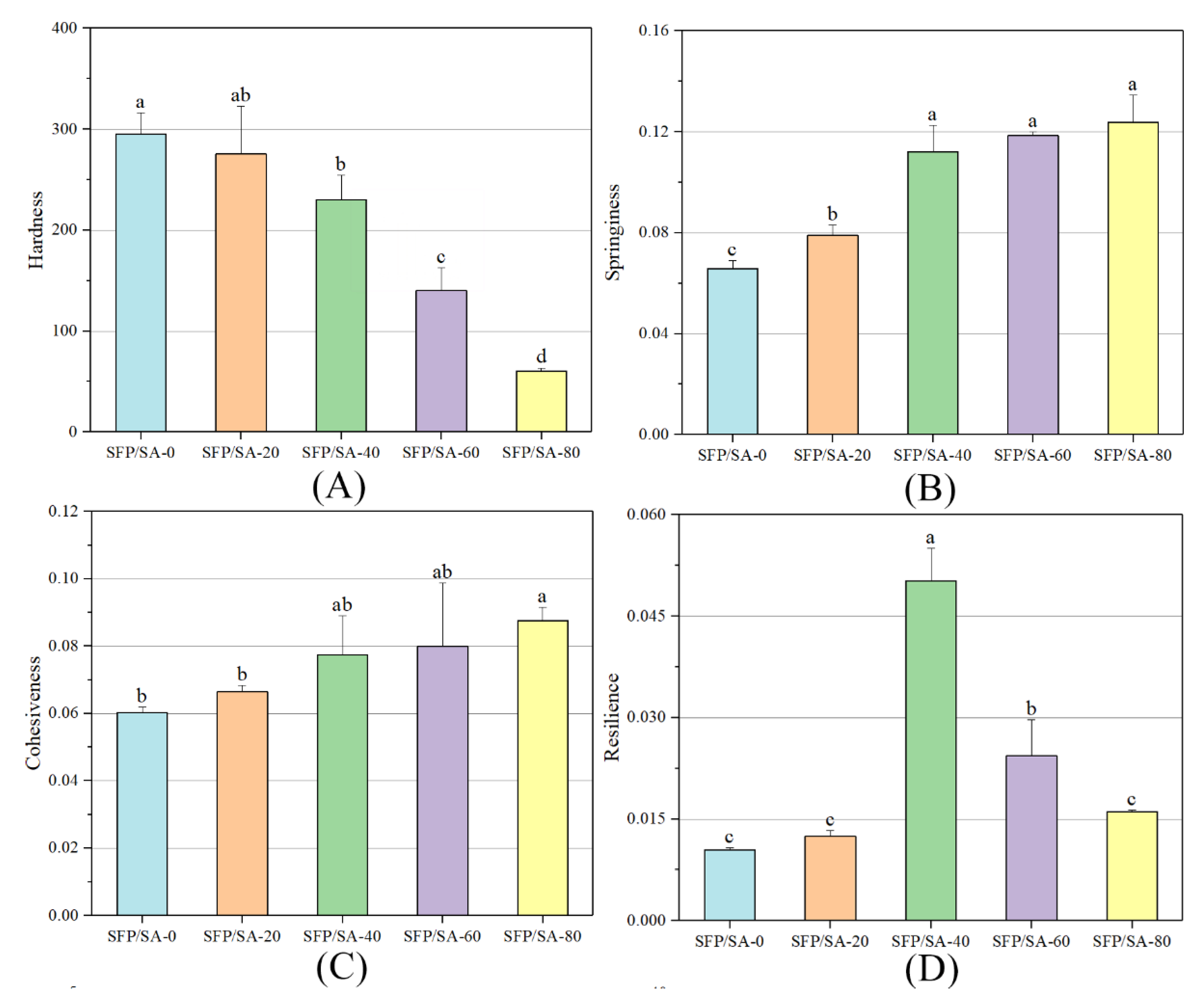
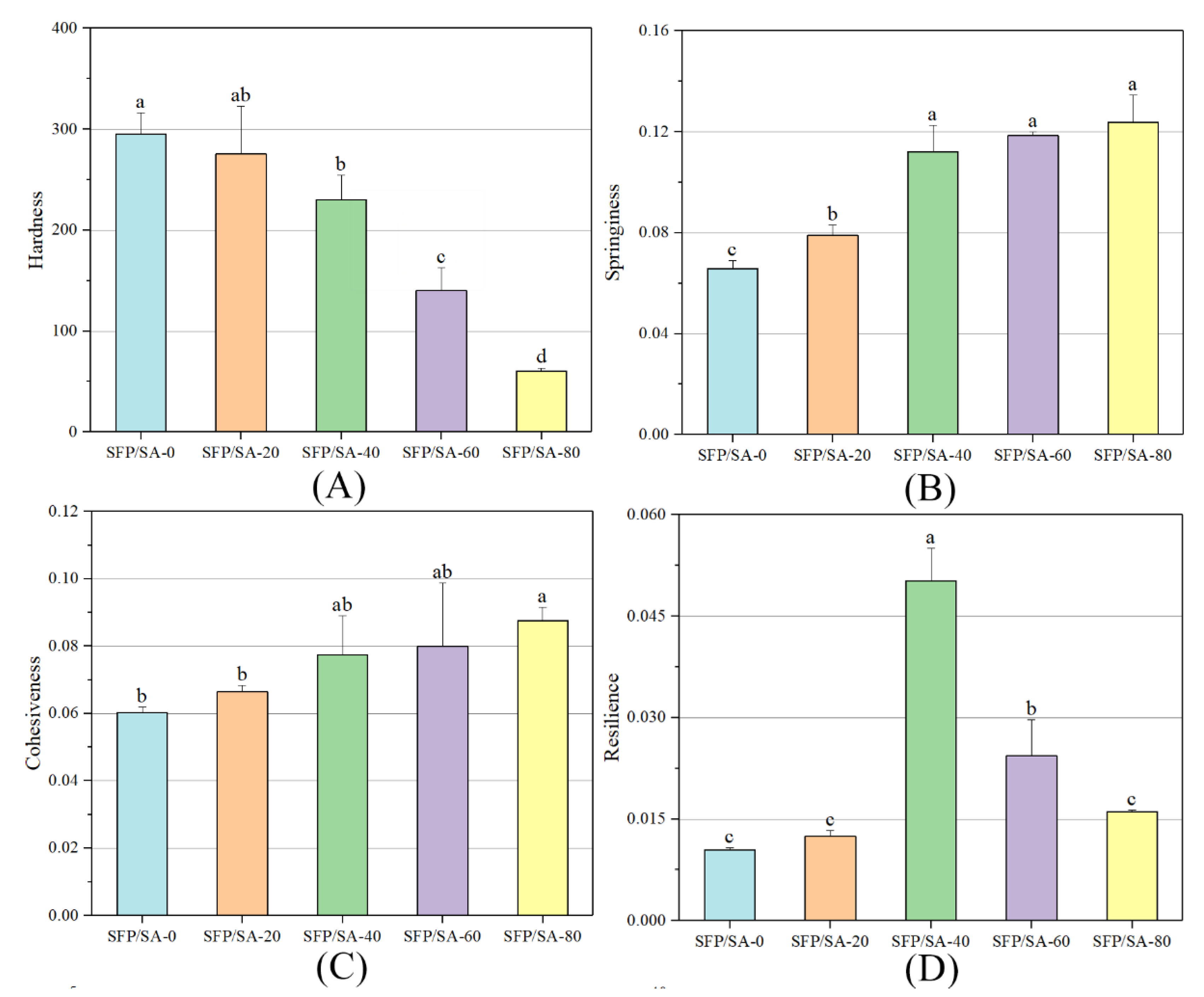
3.3. Analysis of Texture Profile
3.4. Analysis of Differential Scanning Calorimetric
3.5. CV Adsorption Behavior of Hydrogel Microsphere
3.6. Adsorption Kinetics
3.7. Isothermal Adsorption
3.8. Desorption and Recycling of Hydrogel Microsphere
4. Conclusions
Author Contributions
Funding
Institutional Review Board Statement
Informed Consent Statement
Data Availability Statement
Acknowledgments
Conflicts of Interest
References
- Roy, D.C.; Biswas, S.K.; Saha, A.K.; Sikdar, B.; Rahman, M.; Roy, A.K.; Prodhan, Z.H.; Tang, S.S. Biodegradation of Crystal Violet dye by bacteria isolated from textile industry effluents. PeerJ 2018, 6, 15. [Google Scholar] [CrossRef]
- Otero, M.; Rozada, F.; Calvo, L.F.; Garcia, A.I.; Moran, A. Elimination of organic water pollutants using adsorbents obtained from sewage sludge. Dye. Pigment. 2003, 57, 55–65. [Google Scholar] [CrossRef]
- Daneshvar, E.; Sohrabi, M.S.; Kousha, M.; Bhatnagar, A.; Aliakbarian, B.; Converti, A.; Norrstrom, A.C. Shrimp shell as an efficient bioadsorbent for Acid Blue 25 dye removal from aqueous solution. J. Taiwan Inst. Chem. Eng. 2014, 45, 2926–2934. [Google Scholar] [CrossRef]
- Vithalkar, S.H.; Jugade, R.M. Adsorptive removal of crystal violet from aqueous solution by cross-linked chitosan coated bentonite. Mater. Today Proc. 2020, 29, 1025–1032. [Google Scholar] [CrossRef]
- Anastopoulos, I.; Kyzas, G.Z. Composts as Biosorbents for Decontamination of Various Pollutants: A Review. Water Air Soil Pollut. 2015, 226, 1–16. [Google Scholar] [CrossRef]
- Li, S. Removal of crystal violet from aqueous solution by sorption into semi-interpenetrated networks hydrogels constituted of poly(acrylic acid-acrylamide-methacrylate) and amylose. Bioresour. Technol. 2010, 101, 2197–2202. [Google Scholar] [CrossRef]
- Kubra, K.T.; Salman, M.S.; Znad, H.; Hasan, M.N. Efficient encapsulation of toxic dye from wastewater using biodegradable polymeric adsorbent. J. Mol. Liq. 2021, 329, 10. [Google Scholar] [CrossRef]
- Zhang, R.; Zhang, X.X.; Tang, Y.X.; Mao, J.L. Composition, isolation, purification and biological activities of Sargassum fusiforme polysaccharides: A review. Carbohydr. Polym. 2020, 228, 115381. [Google Scholar] [CrossRef]
- Li, Z.-R.; Jia, R.-B.; Wu, J.; Lin, L.; Ou, Z.-R.; Liao, B.; Zhang, L.; Zhang, X.; Song, G.; Zhao, M. Sargassum fusiforme polysaccharide partly replaces acarbose against type 2 diabetes in rats. Int. J. Biol. Macromol. 2021, 170, 447–458. [Google Scholar] [CrossRef]
- Ye, Y.H.; Ji, D.S.; You, L.J.; Zhou, L.; Zhao, Z.G.; Brennan, C. Structural properties and protective effect of Sargassum fusiforme polysaccharides against ultraviolet B radiation in hairless Kun Ming mice. J. Funct. Foods 2018, 43, 8–16. [Google Scholar] [CrossRef]
- Yao, W.Z.; Liu, M.Y.; Chen, X.Y.; You, L.J.; Ma, Y.X.; Hileuskaya, K. Effects of UV/H2O2 degradation and step gradient ethanol precipitation on Sargassum fusiforme polysaccharides: Physicochemical characterization and protective effects against intestinal epithelial injury. Food Res. Int. 2022, 155, 11. [Google Scholar] [CrossRef] [PubMed]
- Mate, C.J.; Mishra, S. Synthesis of borax cross-linked Jhingan gum hydrogel for remediation of Remazol Brilliant Blue R (RBBR) dye from water: Adsorption isotherm, kinetic, thermodynamic and biodegradation studies. Int. J. Biol. Macromol. 2020, 151, 677–690. [Google Scholar] [CrossRef] [PubMed]
- Nakhjiri, M.T.; Marandi, G.B.; Kurdtabar, M. Poly(AA-co-VPA) hydrogel cross-linked with N-maleyl chitosan as dye adsorbent: Isotherms, kinetics and thermodynamic investigation. Int. J. Biol. Macromol. 2018, 117, 152–166. [Google Scholar] [CrossRef] [PubMed]
- Mall, I.D.; Srivastava, V.C.; Kumar, G.V.A.; Mishra, I.M. Characterization and utilization of mesoporous fertilizer plant waste carbon for adsorptive removal of dyes from aqueous solution. Colloids Surf. A 2006, 278, 175–187. [Google Scholar] [CrossRef]
- Kantipuly, C.; Katragadda, S.; Chow, A.; Gesser, H.D. Chelating polymers and related supports for separation and preconcentration of trace-metals. Talanta 1990, 37, 491–517. [Google Scholar] [CrossRef]
- Tran-Ly, A.N.; De France, K.J.; Rupper, P.; Schwarze, F.W.M.R.; Reyes, C.; Nystrom, G.; Siqueira, G.; Ribera, J. Melanized-Cationic Cellulose Nanofiber Foams for Bioinspired Removal of Cationic Dyes. Biomacromolecules 2021, 22, 4681–4690. [Google Scholar] [CrossRef]
- Juang, R.S.; Chen, M.L. Application of the Elovich equation to the kinetics of metal sorption with solvent-impregnated resins. Ind. Eng. Chem. Res. 1997, 36, 813–820. [Google Scholar] [CrossRef]
- Mittal, H.; Babu, R.; Dabbawala, A.A.; Stephen, S.; Alhassan, S.M. Zeolite-Y incorporated karaya gum hydrogel composites for highly effective removal of cationic dyes. Colloid Surf. A 2020, 586, 124161. [Google Scholar] [CrossRef]
- Langmuir, I. THE ADSORPTION OF GASES ON PLANE SURFACES OF GLASS, MICA AND PLATINUM. J. Am. Chem. Soc. 1918, 40, 1361–1403. [Google Scholar] [CrossRef] [Green Version]
- Freundlich, H. Über die Adsorption in Lösungen. Z. Für Phys. Chem. 1907, 57U, 385–470. [Google Scholar] [CrossRef]
- Tempkin, M.J.; Pyzhev, V. Recent modification to Langmuir isotherms. Acta Physiochim. URSS 1940, 12, 217–222. [Google Scholar]
- Ghasemi, M.; Naushad, M.; Ghasemi, N.; Khosravi-fard, Y. A novel agricultural waste based adsorbent for the removal of Pb(II) from aqueous solution: Kinetics, equilibrium and thermodynamic studies. J. Ind. Eng. Chem. 2014, 20, 454–461. [Google Scholar] [CrossRef]
- Padmesh, T.V.N.; Vijayaraghavan, K.; Sekaran, G.; Velan, M. Application of Two-and Three-Parameter Isotherm Models: Biosorption of Acid Red 88 onto Azolla microphylla. Bioremediat. J. 2006, 10, 37–44. [Google Scholar] [CrossRef]
- Rehman, T.U.; Bibi, S.; Khan, M.; Ali, I.; Shah, L.A.; Khan, A.; Ateeq, M. Fabrication of stable superabsorbent hydrogels for successful removal of crystal violet from waste water. RSC Adv. 2019, 9, 40051–40061. [Google Scholar] [CrossRef] [PubMed] [Green Version]
- Pashaei-Fakhri, S.; Peighambardoust, S.J.; Foroutan, R.; Arsalani, N.; Ramavandi, B. Crystal violet dye sorption over acrylamide/graphene oxide bonded sodium alginate nanocomposite hydrogel. Chemosphere 2021, 270, 11. [Google Scholar] [CrossRef] [PubMed]
- Marcelo Slavutsky, A.; Alejandra Bertuzzi, M. Formulation and characterization of hydrogel based on pectin and brea gum. Int. J. Biol. Macromol. 2019, 123, 784–791. [Google Scholar] [CrossRef]
- Rojas, J.; Suarez, D.; Moreno, A.; Silva-Agredo, J.; Torres-Palma, R.A. Kinetics, Isotherms and Thermodynamic Modeling of Liquid Phase Adsorption of Crystal Violet Dye onto Shrimp-Waste in Its Raw, Pyrolyzed Material and Activated Charcoals. Appl. Sci. 2019, 9, 5337. [Google Scholar] [CrossRef] [Green Version]
- Krol, Z.; Malik, M.; Marycz, K.; Jarmoluk, A. Physicochemical Properties of Biopolymer Hydrogels Treated by Direct Electric Current. Polymers 2016, 8, 248. [Google Scholar] [CrossRef]
- Lau, M.H.; Tang, J.; Paulson, A.T. Texture profile and turbidity of gellan/gelatin mixed gels. Food Res. Int. 2000, 33, 665–671. [Google Scholar] [CrossRef]
- Mohamadnia, Z.; Zohuriaan-Mehr, M.J.; Kabiri, K.; Jamshidi, A.; Mobedi, H. Ionically cross-linked carrageenan-alginate hydrogel beads. J. Biomater. Sci. Polym. Ed. 2008, 19, 47–59. [Google Scholar] [CrossRef]
- Dragan, E.S.; Loghin, D.F.A.; Cocarta, A.I. Efficient Sorption of Cu2+ by Composite Chelating Sorbents Based on Potato Starch-graft-Polyamidoxime Embedded in Chitosan Beads. Acs Appl. Mater. Interfaces 2014, 6, 16577–16592. [Google Scholar] [CrossRef] [PubMed]
- Mahdavinia, G.R.; Rahmani, Z.; Mosallanezhad, A.; Karami, S.; Shahriari, M. Effect of magnetic laponite RD on swelling and dye adsorption behaviors of -carrageenan-based nanocomposite hydrogels. Desalin. Water Treat. 2016, 57, 20582–20596. [Google Scholar] [CrossRef]
- Jamali, M.; Akbari, A. Facile fabrication of magnetic chitosan hydrogel beads and modified by interfacial polymerization method and study of adsorption of cationic/anionic dyes from aqueous solution. J. Environ. Chem. Eng. 2021, 9, 105175. [Google Scholar] [CrossRef]
- Mittal, H.; Parashar, V.; Mishra, S.B.; Mishra, A.K. Fe3O4 MNPs and gum xanthan based hydrogels nanocomposites for the efficient capture of malachite green from aqueous solution. Chem. Eng. J. 2014, 255, 471–482. [Google Scholar] [CrossRef]
- Yadav, S.; Asthana, A.; Singh, A.K.; Chakraborty, R.; Vidya, S.S.; Susan, M.A.B.H.; Carabineiro, S.A.C. Adsorption of cationic dyes, drugs and metal from aqueous solutions using a polymer composite of magnetic/β-cyclodextrin/activated charcoal/Na alginate: Isotherm, kinetics and regeneration studies. J. Hazard. Mater. 2021, 409, 124840. [Google Scholar] [CrossRef] [PubMed]
- Wang, H.; Lai, X.; Zhao, W.; Chen, Y.; Yang, X.; Meng, X.; Li, Y. Efficient removal of crystal violet dye using EDTA/graphene oxide functionalized corncob: A novel low cost adsorbent. RSC Adv. 2019, 9, 21996–22003. [Google Scholar] [CrossRef] [PubMed] [Green Version]








| Sample | SFP (wt%) | SA (wt%) |
|---|---|---|
| SFP/SA-0 | 0 | 100 |
| SFP/SA-20 | 20 | 80 |
| SFP/SA-40 | 40 | 60 |
| SFP/SA-60 | 60 | 40 |
| SFP/SA-80 | 80 | 20 |
| Isotherm Model | Parameter | SFP/SA-0 | SFP/SA-20 | SFP/SA-40 | SFP/SA-60 | SFP/SA-80 |
|---|---|---|---|---|---|---|
| Pseudo-first order | k1 (min−1) | 0.0026 | 0.0047 | 0.0043 | 0.0065 | 0.0072 |
| qe (mg g−1) | 49.25 | 69.56 | 75.00 | 83.50 | 80.85 | |
| R2 | 0.996 | 0.997 | 0.998 | 0.998 | 0.997 | |
| Pseudo-second order | k2 (g mg−1 min−1) | |||||
| qe (mg g−1) | 72.86 | 91.78 | 100.14 | 103.16 | 97.95 | |
| R2 | 0.996 | 0.992 | 0.997 | 0.993 | 0.996 | |
| Intraparticle diffusion | ki (mg g−1 min−1/2) | 1.84 | 2.78 | 2.98 | 3.03 | 2.80 |
| C (mg g−1) | −6.05 | −0.18 | −1.40 | 11.55 | 15.34 | |
| R2 | 0.991 | 0.940 | 0.964 | 0.897 | 0.889 | |
| Elovich | α (mg g−1 min−1) | −0.0478 | −0.0074 | −0.0058 | 0.0221 | 0.0340 |
| β (g mg−1) | 0.078 | 0.049 | 0.046 | 0.044 | 0.047 | |
| R2 | 0.944 | 0.984 | 0.987 | 0.982 | 0.982 | |
| Liquid film diffusion | kf (min−1) | 0.0052 | 0.0059 | 0.0055 | 0.0061 | 0.0071 |
| R2 | 0.905 | 0.971 | 0.959 | 0.992 | 0.939 |
| Isotherm Model | Parameter | SFP/SA-60 |
|---|---|---|
| Langmuir | qm (mg/g) | 130.14 |
| KL (L/mg) | 0.015 | |
| RL | 0.21–0.57 | |
| R2 | 0.9967 | |
| Freundlich | KF (mg/g) | 5.02 |
| n | 1.67 | |
| R2 | 0.9878 | |
| Temkin | Bt (J/mol) | 31.25 |
| KT (L/mg) | 0.13 | |
| R2 | 0.9929 | |
| Dubinin–Radushkevich | E (KJ/mol) | 0.084 |
| qm (mg/g) | 81.18 | |
| β (mol2/J2) | 7.06 × 10−5 | |
| R2 | 0.9029 |
Publisher’s Note: MDPI stays neutral with regard to jurisdictional claims in published maps and institutional affiliations. |
© 2022 by the authors. Licensee MDPI, Basel, Switzerland. This article is an open access article distributed under the terms and conditions of the Creative Commons Attribution (CC BY) license (https://creativecommons.org/licenses/by/4.0/).
Share and Cite
Lv, B.; Ren, J.; Chen, Y.; Guo, S.; Wu, M.; You, L. Sargassum fusiforme Polysaccharide-Based Hydrogel Microspheres Enhance Crystal Violet Dye Adsorption Properties. Molecules 2022, 27, 4686. https://doi.org/10.3390/molecules27154686
Lv B, Ren J, Chen Y, Guo S, Wu M, You L. Sargassum fusiforme Polysaccharide-Based Hydrogel Microspheres Enhance Crystal Violet Dye Adsorption Properties. Molecules. 2022; 27(15):4686. https://doi.org/10.3390/molecules27154686
Chicago/Turabian StyleLv, Bingxue, Jiahao Ren, Yang Chen, Siyu Guo, Minqian Wu, and Lijun You. 2022. "Sargassum fusiforme Polysaccharide-Based Hydrogel Microspheres Enhance Crystal Violet Dye Adsorption Properties" Molecules 27, no. 15: 4686. https://doi.org/10.3390/molecules27154686
APA StyleLv, B., Ren, J., Chen, Y., Guo, S., Wu, M., & You, L. (2022). Sargassum fusiforme Polysaccharide-Based Hydrogel Microspheres Enhance Crystal Violet Dye Adsorption Properties. Molecules, 27(15), 4686. https://doi.org/10.3390/molecules27154686

