A Proteinaceous Alpha-Amylase Inhibitor from Moringa Oleifera Leaf Extract: Purification, Characterization, and Insecticide Effects against C. maculates Insect Larvae
Abstract
:1. Introduction
2. Results
2.1. Extraction of the α-Amylase Inhibitor from Moringa oleifera (αAI.Mol) Solvent Optimization
2.2. Purification of α-Amylase Inhibitor from Moringa oleifera (αAI.Mol)
2.3. Biochemical Characterization of Pure αAI.Mol
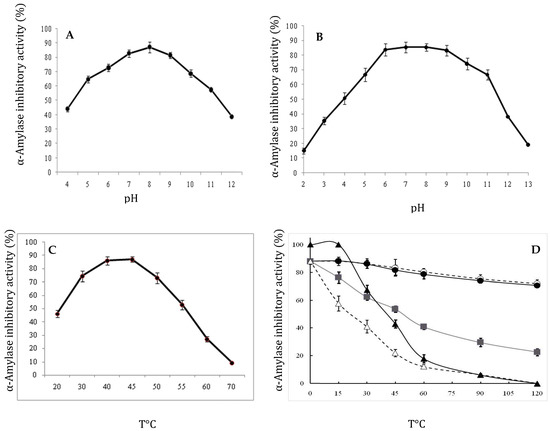
2.3.1. Effect of pH and Temperature on the αAI.Mol Activity and Stability
2.3.2. Effect of Various Divalent Ions on α-Amylase Inhibitor Activity
2.3.3. Activity of α-Amylase Inhibitors from Moringa oleifera against Mammalian, Bacterial, and Insect α-Amylases
2.4. Antimicrobial Activity of the Purified αAI.Mol
2.5. Insecticide Effects of the Purified αAI.Mol against C. maculates Larvae Insect
2.6. Kinetic Parameters of the Purified αAI.Mol: Vmax and Kmax
3. Discussion
4. Materials and Methods
4.1. Extraction of α-Amylase Inhibitor
4.2. α-Amylase Inhibitor Activity Assay
4.3. Enzymes
4.4. Purification of Amylase Inhibitor
4.5. Protein Analysis
4.6. Effect of pH and Temperature on the Amylase Inhibitor Activity and Stability
4.7. The Metal Ion Effect on the Amylase Inhibitor Activity
4.8. Inhibitory Activity of the Purified Protein in Amylases from Different Organisms
4.9. Antimicrobial Activity of αAI.Mol
4.10. Rearing of Insects and Dietary Studies
4.11. Kinetic Parameters
4.12. Statistical Analysis
Author Contributions
Funding
Institutional Review Board Statement
Informed Consent Statement
Data Availability Statement
Acknowledgments
Conflicts of Interest
Sample Availability
References
- Gallienne, E. Synthèse et évaluation d’inhibiteurs potentiels de glycosidases, analogues du salacinol. Ph.D. Thesis, Universite Blaise Pascal, Aubière, France, 2000. [Google Scholar]
- Franco, O.L.; Rigden, D.J.; Melo, M.F.; Grossid, S.M.F. Plant α-amylase inhibitors and their interaction with insectα-amylases. Eur. J. Biochem. 2002, 269, 397–412. [Google Scholar] [CrossRef] [PubMed]
- Ferry, N.E.M.; Gatehouse, J.; Gatehouse, A. Plant-insect interactions: Molecular approaches to insect resistance. Curr. Opin. Biotechnol. 2004, 15, 155–161. [Google Scholar] [CrossRef] [PubMed]
- Konarev, A.V. Interaction of insect digestive enzymes with plant protein inhibitors and host-parasite co-evolution. Euphytica 1996, 92, 89–94. [Google Scholar] [CrossRef]
- Chrispeels, M.J.; Grossid, S.M.F.; Higgins, T.J.V. Genetic engineering with a-amylase inhibitors seeds resistant to bruchids. Seed Sci. Res. 1998, 8, 257–263. [Google Scholar] [CrossRef]
- Gatehouse, A.; Gatehouse, J. Identifying proteins with insecticidal activity: Use of encoding genes to produce insect-resistant transgenic crops. Pestic. Sci. 1998, 52, 165–175. [Google Scholar] [CrossRef]
- Franco, O.L.; Rigden, D.J.; Melo, F.R.; Bloch, C., Jr.; Silva, C.P.; Grossid, S.M.F. Activity of wheat a-amylase inhibitors towards bruchid a-amylases and structural explanation of observed speci® cities. Eur. J. Biochem. 2000, 267, 1466–1473. [Google Scholar] [CrossRef]
- Iulek, J.; Franco, O.L.; Silva, M.; Slivinski, C.T.; Bloch, C., Jr.; Rigden, D.J.; Grossid, S.M.F. Puri® cation, biochemical characterisation and partial primary structure of a new a-amylase inhibitor from Secale cereale (Rye). Int. J. Biochem. Cell Biol. 2000, 32, 1195–1204. [Google Scholar] [CrossRef]
- Petrucci, T.; Rab, A.; Tomasi, M.; Silano, V. Further characterization studies of the alpha-amylase protein inhibitor of gel eletrophoretic mobility 0.19 from the wheat kernel. Biochim. Biophys. Acta 1976, 420, 288–297. [Google Scholar] [CrossRef]
- Abe, J.; Sidenius, U.; Svensson, B. Arginine is essential for the α-amylase inhibitory activity of the α-amylase/subtilisin inhibitor (BASI) from barley seeds. Biochem. J. 1993, 293, 151–155. [Google Scholar] [CrossRef] [Green Version]
- Giri, A.P.; Kachole, M.S. Amylase inhibitors of pigeonpea (Cajanus cajan) seeds. Phytochemistry 1998, 47, 197–202. [Google Scholar] [CrossRef]
- Melo, F.R.; Sales, M.P.; Silva, L.S.; Franco, O.L.; Bloch, C., Jr.; Ary, M.B. a-Amylase from cowpea seeds. Prot. Pept. Lett. 1999, 6, 387–392. [Google Scholar]
- Bloch, C.R.M., Jr. A new family of small (5 kD) protein inhibitors of insect a-amylase from seeds of sorghum (Sorghum bicolor (L.) Moench) have sequence homologies with wheat d-purothionins. FEBS Lett. 1991, 279, 101–104. [Google Scholar] [CrossRef] [Green Version]
- Feng, G.H.; Richardson, M.; Chen, M.S.; Kramer, K.J.; Morgan, T.D.; Reeck, G.R. α-amylase inhibitors from wheat: Amino acid sequences and patterns of inhibition of insect and human α-amylases. Insect Biochem. Mol. Biol. 1996, 26, 419–426. [Google Scholar] [CrossRef]
- Young, N.M.; Thibault, P.; Watson, D.C.; Chrispeels, M.J. Post-translational processing of two a-amylase inhibitors and an arcelin from the common bean, phaseolus vulgaris. FEBS Lett. 1999, 446, 203–206. [Google Scholar] [CrossRef] [Green Version]
- Kasahara, K.; Hayashi, K.; Arakawa, T.; Philo, J.S.; Wen, J.; Hara, S.; Yamaguchi, H. Complete sequence, subunit structure and complexes with pancreatic a-amylase of an a-amylase inhibitor from Phaseolus vulgaris white kidney beans. J. Biochem. Technol. 1996, 120, 177–183. [Google Scholar] [CrossRef]
- Titarenko, E.; Chrispeels, M.J. cDNA cloning, biochemical characterization and inhibition by plant inhibitors of the α-amylases of the Western corn rootworm, Diabroticavirgifera. Insect Biochem. Mol. Biol. 2000, 30, 979–990. [Google Scholar] [CrossRef]
- Valdez-Solana, M.A.; Mejía-García, V.Y.; Téllez-Valencia, A.; García-Arenas, G.; Salas-Pacheco, J.; Alba-Romero, J.J.; Sierra-Campos, F. Nutritional content and elemental and phytochemical analyses of moringa oleifera grown in Mexico. J. Chem. 2015, 2015, 860381. [Google Scholar] [CrossRef] [Green Version]
- Kumar, E.; Harsha, K.; Shaik, S. Evaluation of in vitro antioxidant activity and in vivo hepatoprotective activity of moringa oleifera seeds extract against ethanol induced liver damage in wistar rats. IOSR J. Pharm. 2013, 3, 10–15. [Google Scholar] [CrossRef]
- Farooq, F. Medicinal properties of moringa oleifera: An overview of promising healer. J. Med. Plants. Res. 2012, 6, 4368–4374. [Google Scholar]
- Sashidhara, K.V. Rare dipeptide and urea derivatives from roots of moringa oleifera as potential anti-inflammatory and antinociceptive agents. Eur. J. Med. Chem. 2009, 44, 432–436. [Google Scholar] [CrossRef]
- Alhakmani, F.; Kumar, S.; Khan, S.A. Estimation of total phenolic content, in–vitro antioxidant and anti–inflammatory activity of flowers of Moringa oleifera. Asian Pac. J. Trop. Biomed. 2013, 3, 623–627. [Google Scholar] [CrossRef] [Green Version]
- Gatehouse, A.M.R.; Boulter, D.; Hilder, V.A. Potential of plant-derived genes in the genetic manipulation of crops for insect resistance in biotechnology in agriculture. In Proceedings of the 8th International Symposium on Insect-Plant Relationships; Springer: Berlin/Heidelberg, Germany, 1992. [Google Scholar]
- Schuler, H.T.; Poppy, M.G.; Kerry, B.R.; Denholm, L. Insect-resistant transgenic plants. Trends. Biotechnol. 1998, 16, 168–174. [Google Scholar] [CrossRef]
- Ryan, C.A. Protease inhibitors in plants: Genes for improving defenses against insects and pathogens. Annu. Rev. Phytopathol. 1990, 28, 425–449. [Google Scholar] [CrossRef]
- Ryan, C.A.; Schaller, A. Systemin—A polypeptide signal for plant defensive genes. Bioessays 1996, 18, 27–33. [Google Scholar] [CrossRef] [PubMed] [Green Version]
- Sales, M.P.; Gerhardt, I.R.; Grossi, S.M.F.; Xavier-Filho, J. Do legumes storage proteins play a role in defending seeds against bruchids? Plant Physiol. 2000, 124, 515–522. [Google Scholar] [CrossRef] [Green Version]
- Bishop, J.G.; Dean, A.M.; Mitchell-Olds, T. Rapid evolution in plant chitinases: Molecular targets of selection in plant-pathogen co-evolution. Proc. Natl. Acad. Sci. USA 2000, 97, 5322–5327. [Google Scholar] [CrossRef] [Green Version]
- Silano, V. α-Amylase inhibitors. In Enzymes and Their Role in Cereal Technology; American Association of Cereal Chemists: St. Paul, MD, USA, 1987; pp. 141–199. [Google Scholar]
- Richardson, M. Seed storage proteins: The enzyme inhibitors. In Methods in Plant Biochemistry; Rogers, L., Ed.; Academic Press: Cambridge, MA, USA, 1990; pp. 261–307. [Google Scholar]
- Vandana, K.H.; Chougule, N.P.; Ashok, P.; Giri, C.; Pavan, J.C.; Manvendra, S.K. Biochemical characterisation of α-amylase inhibitors from Achyranthes aspera and their interactions with digestive amylases of coleopteran and lepidopteran insects. J. Sci. Food Agric. 2011, 91, 1773–1780. [Google Scholar]
- El-latif, A.O.A.; Mohieldeen, N.; Salman, A.M.A.; Elpidina, E.N. Isolation and purification of α-amylase inhibitors and their in vitro and in vivo effects on Triboliumcastaneum (Herbst) and Callosobruchus maculatus. J. Plant Prot. 2020, 60, 377–387. [Google Scholar]
- Mehrabadi, M.B.A.R.; Saadati, F.; Mahmudvand, M. α-Amylase activity of stored products insects and its inhibition by medicinal plant extracts. J. Agric. Sci. Technol. 2011, 13, 1173–1182. [Google Scholar]
- Yadav, T.; Singh, V.; Acharya, V.S.; Yadav, R. Molecular approaches and their role in integrated pest management. J. Pharmacogn. Phytochem. 2018, 6, 145–150. [Google Scholar]
- Neeta, K. In vitro screening of proteinaceous amylase inhibitors (T. castaneumα-amylase inhibitors) in different seed extracts. Biosci. Discov. 2016, 7, 166–173. [Google Scholar]
- Mercier, C. Les enzymes amylolytiques. In Hydrolases et dépolymérases. Enzymes d’intérêt industriel; Gauthier-Villars: Paris, France, 1985; pp. 110–140. [Google Scholar]
- Sasikiran, K.; Ramesan, R.; Padmaja, G. Proteinase and alpha amylase inhibitors of sweet potato: Changes during growth phase, sprouting, and wound induced alterations. Bot. Bull. Acad. Sin. 2002, 43, 291–298. [Google Scholar]
- Kasar, S.S.; Marathe, K.R.; Bhide, A.J.; Herwade, A.P.; Giri, A.P.; Maheshwari, V.L.; Pawar, P.K. A glycoprotein α-amylase inhibitor from Withaniasomnifera differentially inhibits various α-amylases and affects the growth and development of Triboliumcastaneum. Pest Manag. Sci. 2017, 73, 1382–1390. [Google Scholar] [CrossRef] [PubMed]
- Chen, M.S.; Feng, G.; Zen, K.C.; Richardson, M.; Valdes-Rodriguez, S.; Reeck, G.R.; Kramer, K.J. α-Amylases from three species of stored grain Coleoptera and their inhibition by wheat and corn proteinaceous inhibitors. Insect Biochem. Mol. Biol. 1992, 22, 261–268. [Google Scholar] [CrossRef]
- Farias, L.R.; Costa, F.T.; Souza, L.A.; Pelegrini, P.B.; Grossi-deSá, M.F.; Neto, S.M.; Franco, O.L. Isolation of a novel carica papaya α-amylase inhibitor with deleterious activity toward callosobruchus maculatus. Pestic. Biochem. Physiol. 2007, 87, 255–260. [Google Scholar] [CrossRef]
- Bernfeld, P. Amylases. Methods Enzym. 1955, 1, 149–154. [Google Scholar]
- Bradford, M.M. A rapid and sensitive method for quantitation of microgram quantities of protein utilizing the principle of protein-dye binding. Anal. Biochem. 1976, 72, 248–254. [Google Scholar] [CrossRef]
- Laemmli, U.K. Cleavage of structural proteins during the assembly of the head of bacteriophage T4. Nature 1970, 227, 680–685. [Google Scholar] [CrossRef]
- Hewick, R.H.; Hunkapiller, M.W.; Hood, L.E.; Dreyer, W.J. A gas-liquid solid phase peptide and protein sequenator. J. Biol. Chem. 1981, 10, 7990–7997. [Google Scholar] [CrossRef]
- Howe, R.A.; Andrews, J.M. Andrews. J. Antimicrob. Chemother. 2001, 48, 5–16. [Google Scholar]
- Macedo, M.L.R.; Andrade, L.D.S.; Moraes, R.A.; Xavier-Filho, J. Vicilin variants and the resistance of cowpea (Vigna unguiculata) seeds to the cowpea weevil (Callosobruchus maculatus). Comp. Biochem. Physiol. Part C Comp. Pharmacol. 1993, 105, 89–94. [Google Scholar] [CrossRef]







| Plant Parts | α-Amylase Inhibitory Activity (%) |
|---|---|
| Leafe | 45.33 ± 3.51 |
| Seed | 14 ± 2.64 |
| fruit | 23 ± 2 |
| flower | 18.33 ± 2.08 |
| root | 33 ± 3 |
| Purification Step | Total Activity (Units) | Protein (mg) | Specific Activity (U/mg) | Activity Recovery (%) | Purification Factor |
|---|---|---|---|---|---|
| Crude Extract | 188,900 | 2250 | 83.95 | 100 | 1 |
| Ammonium Sulphate Fractionation (40–85%) | 151,050 | 940 | 201 | 80 | 2.4 |
| Ethanol Fractionation (50–90%) | 126,790 | 230 | 551 | 67 | 6.56 |
| Heat Treatment (70 °C, 15 min) | 115,855 | 47 | 2465 | 61 | 29.4 |
| Sephadex G50 | 65,395 | 5.5 | 11890 | 35 | 141.6 |
| Amylases | Amylase Inhibitory Activity (%) | SD |
|---|---|---|
| Porcine pancreatic | 64 | 3.60 |
| Human salivary | 90.33 | 3.05 |
| Bacillus subtilis | 53.33 | 4.16 |
| Aspergillus oryzae | 16.66 | 2.08 |
| Bacillus pacificus | 52.66 | 3.51 |
| Tribolium confusum | 61.66 | 4.041 |
| Callosobruchus maculatus | 71.66 | 3.51 |
| Bacterial Strains | MIC |
|---|---|
| B. cereus (ATCC 14579) | >2 |
| B. subtilis (ATCC 6633) | >2 |
| E. faecium (ATCC 19433) | >3 |
| S. aureus (ATCC 25923) | >3 |
| S. epidermidis (ATCC 14990) | >3 |
| E. coli (ATCC 25966) | >6 |
| P. aeruginosa (ATCC 27853) | >7 |
| K. pneumonia (ATCC 700603) | >5 |
| S. enteric (ATCC 43972) | >7 |
Publisher’s Note: MDPI stays neutral with regard to jurisdictional claims in published maps and institutional affiliations. |
© 2022 by the authors. Licensee MDPI, Basel, Switzerland. This article is an open access article distributed under the terms and conditions of the Creative Commons Attribution (CC BY) license (https://creativecommons.org/licenses/by/4.0/).
Share and Cite
Karray, A.; Alonazi, M.; Jallouli, R.; Alanazi, H.; Ben Bacha, A. A Proteinaceous Alpha-Amylase Inhibitor from Moringa Oleifera Leaf Extract: Purification, Characterization, and Insecticide Effects against C. maculates Insect Larvae. Molecules 2022, 27, 4222. https://doi.org/10.3390/molecules27134222
Karray A, Alonazi M, Jallouli R, Alanazi H, Ben Bacha A. A Proteinaceous Alpha-Amylase Inhibitor from Moringa Oleifera Leaf Extract: Purification, Characterization, and Insecticide Effects against C. maculates Insect Larvae. Molecules. 2022; 27(13):4222. https://doi.org/10.3390/molecules27134222
Chicago/Turabian StyleKarray, Aida, Mona Alonazi, Raida Jallouli, Humidah Alanazi, and Abir Ben Bacha. 2022. "A Proteinaceous Alpha-Amylase Inhibitor from Moringa Oleifera Leaf Extract: Purification, Characterization, and Insecticide Effects against C. maculates Insect Larvae" Molecules 27, no. 13: 4222. https://doi.org/10.3390/molecules27134222
APA StyleKarray, A., Alonazi, M., Jallouli, R., Alanazi, H., & Ben Bacha, A. (2022). A Proteinaceous Alpha-Amylase Inhibitor from Moringa Oleifera Leaf Extract: Purification, Characterization, and Insecticide Effects against C. maculates Insect Larvae. Molecules, 27(13), 4222. https://doi.org/10.3390/molecules27134222

