An Analytical Toolbox for Fast and Straightforward Structural Characterisation of Commercially Available Tannins
Abstract
1. Introduction
2. Results and Discussion
2.1. Characterisation of Commercially Available Condensed Tannins
2.1.1. Characterization of Monomeric and Low Oligomeric Condensed Tannins
2.1.2. Characterisation of Higher Oligomeric Condensed Tannins
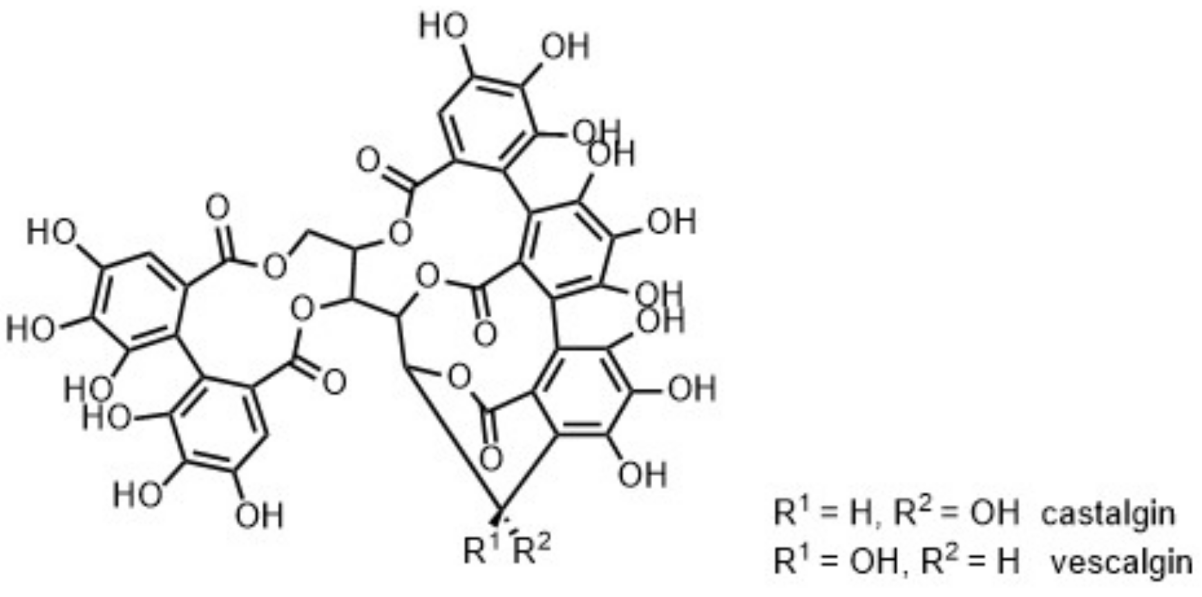
2.2. Characterisation of Commercially Available Hydrolysable Tannins
3. Materials and Methods
3.1. General Information
3.2. Nuclear Magnetic Resonance (NMR) Measurements
3.3. Matrix-Assisted Laser Desorption/Ionization–Time-of-Flight (MALDI-ToF) Mass Spectrometry
3.4. Gel Permeation Chromatography (GPC)
3.5. Determination of Cyanidin Content (Scalbert Test)
3.6. Determination of Total Phenolic Content (Folin-Ciocalteau Test)
4. Conclusions
Supplementary Materials
Author Contributions
Funding
Institutional Review Board Statement
Informed Consent Statement
Data Availability Statement
Acknowledgments
Conflicts of Interest
References
- Pizzi, A. Tannins: Major Sources, Properties and Applications. In Monomers, Polymers and Composites from Renewable Resources; Elsevier: Amsterdam, The Netherlands, 2008; pp. 179–199. ISBN 978-0-08-045316-3. [Google Scholar]
- Khanbabaee, K.; van Ree, T. Tannins: Classification and Definition. Nat. Prod. Rep. 2001, 18, 641–649. [Google Scholar] [CrossRef] [PubMed]
- Peter Constabel, C.; Yoshida, K.; Walker, V. Diverse Ecological Roles of Plant Tannins: Plant Defense and Beyond. In Recent Advances in Polyphenol Research; Romani, A., Lattanzio, V., Quideau, S., Eds.; John Wiley & Sons, Ltd.: Chichester, UK, 2014; pp. 115–142. ISBN 978-1-118-32963-4. [Google Scholar]
- Goldstein, J.L.; Swain, T. The Inhibition of Enzymes by Tannins. Phytochemistry 1965, 4, 185–192. [Google Scholar] [CrossRef]
- Granica, S.; Piwowarski, J.P.; Kiss, A.K. Ellagitannins Modulate the Inflammatory Response of Human Neutrophils Ex Vivo. Phytomedicine 2015, 22, 1215–1222. [Google Scholar] [CrossRef]
- Serrano, J.; Puupponen-Pimiä, R.; Dauer, A.; Aura, A.-M.; Saura-Calixto, F. Tannins: Current Knowledge of Food Sources, Intake, Bioavailability and Biological Effects. Mol. Nutr. Food Res. 2009, 53, S310–S329. [Google Scholar] [CrossRef] [PubMed]
- Chan, E.W.C.; Soh, E.Y.; Tie, P.P.; Law, Y.P. Antioxidant and Antibacterial Properties of Green, Black, and Herbal Teas of Camellia Sinensis. Pharmacogn. Res. 2011, 3, 266–272. [Google Scholar] [CrossRef] [PubMed]
- Rigo, A.; Vianello, F.; Clementi, G.; Rossetto, M.; Scarpa, M.; Vrhovšek, U.; Mattivi, F. Contribution of Proanthocyanidins to the Peroxy Radical Scavenging Capacity of Some Italian Red Wines. J. Agric. Food Chem. 2000, 48, 1996–2002. [Google Scholar] [CrossRef] [PubMed]
- Haslam, E. Plant Polyphenols: Vegetable Tannins Revisited; Chemistry and Pharmacology of Natural Products; Cambridge University Press: Cambridge, UK, 1989. [Google Scholar]
- Pizzi, A. Tannins: Prospectives and Actual Industrial Applications. Biomolecules 2019, 9, 344. [Google Scholar] [CrossRef] [PubMed]
- Trentin, D.S.; Silva, D.B.; Frasson, A.P.; Rzhepishevska, O.; da Silva, M.V.; de Pulcini, E.L.; James, G.; Soares, G.V.; Tasca, T.; Ramstedt, M.; et al. Natural Green Coating Inhibits Adhesion of Clinically Important Bacteria. Sci. Rep. 2015, 5, 1–10. [Google Scholar] [CrossRef]
- Aouf, C.; Benyahya, S.; Esnouf, A.; Caillol, S.; Boutevin, B.; Fulcrand, H. Tara Tannins as Phenolic Precursors of Thermosetting Epoxy Resins. Eur. Polym. J. 2014, 55, 186–198. [Google Scholar] [CrossRef]
- Mongkholrattanasit, R.; Kryštůfek, J.; Wiener, J.; Studničková, J. Properties of Wool and Cotton Fabrics Dyed with Eucalyptus, Tannin and Flavonoids. Fibres Text. East. Eur. 2011, 19, 90–95. [Google Scholar]
- Bianchetti, G.O.; Celliers, J.M.; Crestini, C. Cleaning and/or Treatment Compositions. US Patent 20170088798A1, 12 December 2016. [Google Scholar]
- Shao, D.; Li, J.; Li, J.; Tang, R.; Liu, L.; Shi, J.; Huang, Q.; Yang, H. Inhibition of Gallic Acid on the Growth and Biofilm Formation of Escherichia coli and Streptococcus mutans. J. Food Sci. 2015, 80, M1299–M1305. [Google Scholar] [CrossRef] [PubMed]
- Rendeková, K.; Fialová, S.; Jánošová, L.; Mučaji, P.; Slobodníková, L. The Activity of Cotinus Coggygria Scop. Leaves on Staphylococcus Aureus Strains in Planktonic and Biofilm Growth Forms. Molecules 2016, 21, 50. [Google Scholar] [CrossRef] [PubMed]
- Klug, T.V.; Novello, J.; Laranja, D.C.; Aguirre, T.A.S.; de Oliveira Rios, A.; Tondo, E.C.; dos Santos, R.P.; Bender, R.J. Effect of Tannin Extracts on Biofilms and Attachment of Escherichia Coli on Lettuce Leaves. Food Bioprocess Technol. 2017, 10, 275–283. [Google Scholar] [CrossRef]
- Tomiyama, K.; Mukai, Y.; Saito, M.; Watanabe, K.; Kumada, H.; Nihei, T.; Hamada, N.; Teranaka, T. Antibacterial Action of a Condensed Tannin Extracted from Astringent Persimmon as a Component of Food Addictive Pancil PS-M on Oral Polymicrobial Biofilms. BioMed Res. Int. 2016, 2016, e5730748. [Google Scholar] [CrossRef] [PubMed]
- Trentin, D.S.; Silva, D.B.; Amaral, M.W.; Zimmer, K.R.; Silva, M.V.; Lopes, N.P.; Giordani, R.B.; Macedo, A.J. Tannins Possessing Bacteriostatic Effect Impair Pseudomonas Aeruginosa Adhesion and Biofilm Formation. PLoS ONE 2013, 8, e66257. [Google Scholar] [CrossRef] [PubMed]
- Patra, A.K.; Saxena, J. Exploitation of Dietary Tannins to Improve Rumen Metabolism and Ruminant Nutrition. J. Sci. Food Agric. 2011, 91, 24–37. [Google Scholar] [CrossRef]
- Schofield, P.; Mbugua, D.M.; Pell, A.N. Analysis of Condensed Tannins: A Review. Anim. Feed Sci. Technol. 2001, 91, 21–40. [Google Scholar] [CrossRef]
- Mueller-Harvey, I. Analysis of Hydrolysable Tannins. Anim. Feed Sci. Technol. 2001, 91, 3–20. [Google Scholar] [CrossRef]
- De Souza, L.M.; Cipriani, T.R.; Iacomini, M.; Gorin, P.A.J.; Sassaki, G.L. HPLC/ESI-MS and NMR Analysis of Flavonoids and Tannins in Bioactive Extract from Leaves of Maytenus Ilicifolia. J. Pharm. Biomed. Anal. 2008, 47, 59–67. [Google Scholar] [CrossRef] [PubMed]
- Konai, N.; Raidandi, D.; Pizzi, A.; Meva’a, L. Characterization of Ficus Sycomorus Tannin Using ATR-FT MIR, MALDI-TOF MS and 13C NMR Methods. Eur. J. Wood Wood Prod. 2017, 75, 807–815. [Google Scholar] [CrossRef]
- Noreljaleel, A.E.M.; Kemp, G.; Wilhelm, A.; van der Westhuizen, J.H.; Bonnet, S.L. Analysis of Commercial Proanthocyanidins. Part 5: A High Resolution Mass Spectrometry Investigation of the Chemical Composition of Sulfited Wattle (Acacia Mearnsii De Wild.) Bark Extract. Phytochemistry 2019, 162, 109–120. [Google Scholar] [CrossRef]
- Ricci, A.; Parpinello, G.P.; Palma, A.S.; Teslić, N.; Brilli, C.; Pizzi, A.; Versari, A. Analytical Profiling of Food-Grade Extracts from Grape (Vitis Vinifera Sp.) Seeds and Skins, Green Tea (Camellia Sinensis) Leaves and Limousin Oak (Quercus Robur) Heartwood Using MALDI-TOF-MS, ICP-MS and Spectrophotometric Methods. J. Food Compos. Anal. 2017, 59, 95–104. [Google Scholar] [CrossRef]
- Meng, X.; Crestini, C.; Ben, H.; Hao, N.; Pu, Y.; Ragauskas, A.J.; Argyropoulos, D.S. Determination of Hydroxyl Groups in Biorefinery Resources via Quantitative 31P NMR Spectroscopy. Nat. Protoc. 2019, 14, 2627–2647. [Google Scholar] [CrossRef] [PubMed]
- Melone, F.; Saladino, R.; Lange, H.; Crestini, C. Tannin Structural Elucidation and Quantitative 31P NMR Analysis. Model Compounds. J. Agric. Food Chem. 2013, 61, 9307–9315. [Google Scholar] [CrossRef] [PubMed]
- Melone, F.; Saladino, R.; Lange, H.; Crestini, C. Tannin Structural Elucidation and Quantitative 31P NMR Analysis. Hydrolyzable Tannins and Proanthocyanidins. J. Agric. Food Chem. 2013, 61, 9316–9324. [Google Scholar] [CrossRef]
- Crestini, C.; Lange, H.; Bianchetti, G. Detailed Chemical Composition of Condensed Tannins via Quantitative 31P NMR and HSQC Analyses: Acacia Catechu, Schinopsis Balansae, and Acacia Mearnsii. J. Nat. Prod. 2016, 79, 2287–2295. [Google Scholar] [CrossRef] [PubMed]
- Bahorun, T.; Luximon-Ramma, A.; Crozier, A.; Aruoma, O.I. Total Phenol, Flavonoid, Proanthocyanidin and Vitamin C Levels and Antioxidant Activities of Mauritian Vegetables. J. Sci. Food Agric. 2004, 84, 1553–1561. [Google Scholar] [CrossRef]
- Singleton, V.L.; Rossi, J.A. Colorimetry of Total Phenolics with Phosphomolybdic-Phosphotungstic Acid Reagents. Am. J. Enol. Vitic. 1965, 16, 144–158. [Google Scholar]
- Davis, A.L.; Cai, Y.; Davies, A.P.; Lewis, J.R. 1H and 13C NMR Assignments of Some Green Tea Polyphenols. Magn. Reson. Chem. 1996, 34, 887–890. [Google Scholar] [CrossRef]
- Thompson, D.; Pizzi, A. Simple 13C-NMR Methods for Quantitative Determinations of Polyflavonoid Tannin Characteristics. J. Appl. Polym. Sci. 1995, 55, 107–112. [Google Scholar] [CrossRef]
- Hoong, Y.B.; Pizzi, A.; Tahir, P.M.; Pasch, H. Characterization of Acacia Mangium Polyflavonoid Tannins by MALDI-TOF Mass Spectrometry and CP-MAS 13C NMR. Eur. Polym. J. 2010, 46, 1268–1277. [Google Scholar] [CrossRef]
- Falcão, L.; Araújo, M. Vegetable Tannins Used in the Manufacture of Historic Leathers. Molecules 2018, 23, 1081. [Google Scholar] [CrossRef] [PubMed]
- Lange, H.; Rulli, F.; Crestini, C. Gel Permeation Chromatography in Determining Molecular Weights of Lignins: Critical Aspects Revisited for Improved Utility in the Development of Novel Materials. ACS Sustain. Chem. Eng. 2016, 4, 5167–5180. [Google Scholar] [CrossRef]








| Samples (Species) | (Presumable) Tannin Type | Supplier | Code |
|---|---|---|---|
| Omnivin WG (Vitis vinifera) | condensed | OmniChem | Vv |
| Omnivin R (Vitis vinifera) | condensed | OmniChem | Vv-R |
| Omnivin 10R (Vitis vinifera) | condensed | OmniChem | Vv-10 |
| Omnivin 20R (Vitis vinifera) | condensed | OmniChem | Vv-20 |
| MIMOSA ATO ME (Acacia mearnsii) | condensed | Figli di Guido Lapi | Am |
| QUEBARACHO ATO (Schinopsis balansae) | condensed | Figli di Guido Lapi | Sb |
| Tanal 01 (unknown) | hydrolysable (gallotannin) | OmniChem | Ta-01 |
| Tanal 02 (unknown) | hydrolysable (gallotannin) | OmniChem | Ta-02 |
| Tanal 04 (unknown) | hydrolysable (gallotannin) | OmniChem | Ta-04 |
| TARA POLV TIPO A (Caesalpina tinctoria) | hydrolysable (gallotannin) | Figli di Guido Lapi | Ct |
| VEGETAN CN POLVERE (Castanea sativa) | hydrolysable (ellagitannin) | Figli di Guido Lapi | Cs |
| Cond. Tannin | OH-Groups Content [Mmol/g] | MN [Da] (PD) | SCAL-bert c | Folin d | |||||||
|---|---|---|---|---|---|---|---|---|---|---|---|
| Aliphatic | A-ring | B-ring | Total Phenol b | Gallate a | Acidic | ||||||
| Ortho-Phenol | Free Phenol | Pyro-Gallol [a] | Catechol a | ||||||||
| Vv | 4.22 | 0.88 | 0.50 | 0.11 | 2.64 | 9.18 | 0.50 | 0.55 | 300 (7.1) | 176 | 0.71 |
| Vv-R | 7.61 | 0.23 | 0.28 | 0.08 | 1.38 | 4.86 | 0.32 | 0.59 | 500 (6.6) | 145 | 0.45 |
| Vv-10 | 7.49 | 0.69 | 0.31 | 0.07 | 1.62 | 5.79 | 0.31 | 0.59 | 400 (7.0) | 156 | 0.50 |
| Vv-20 | 2.57 | 3.04 | 0.47 | 0.00 | 3.06 | 10.9 | 0.25 | 0.47 | 300 (3.2) | 113 | 0.51 |
| Am | 5.97 | 0.00 | 0.61 | 1.54 | 1.85 | 8.28 | 0.27 | 0.12 | 400 (2.4) | 135 | 0.56 |
| Sb | 3.40 | 0.84 | 0.35 | 0.12 | 1.78 | 5.60 | 0.23 | 0.30 | 500 (3.9) | 189 | 0.54 |
| Sample | A Ring Structure Ratio Phloroglucinol/ Resorcinol | B Ring Structure Ratio Pyrogallol/ Catechol | Deduced Tannin Structural Features (%) (Procyanidin, Profisetidin, Prorobinetinidin, Prodelphinidin and/or Corresponding Monomers) | DP | Sample Purity (% Flavanol Content) |
|---|---|---|---|---|---|
| Vv | 1.76/1 | 0.04/1 | 62% (epi)catechin/procyanidin (A), 34% fisetinidol/profisetidin (C), 4% gallocatechin (B) motifs, traces of 3-O-gallates | 1–2 | 78 |
| Vv-R | 0.81/1 | 0.05/1 | 43% (epi)catechin/procyanidin (A), 52% fisetinidol/profisetidin (C), 5% gallocatechin (B) motifs, traces of 3-O-gallates | 1–3 | 39 |
| Vv-10 | 2.23/1 | 0.04/1 | 70% catechin/procyanidin (A), 26% fisetinidol/profisetidin (C), 4% gallocatechin (B) motifs, traces of 3-O-gallates | 1–3 | 46 |
| Vv-20 | 6.49/1 | 0.00/1 | 87% catechin/procyanidin (A), 13% fisetinidol/profisetidin (C), practically no gallocatechin (B) traces of 3-O-gallates | 1–2 | 88 |
| Am | 0.01/1 | 0.54/1 | 65% fisetinidol/profisetidin (C), 35% robinetinidol/prorobinetinidin (D), approx. 4% 3-O-gallates | 2–4 | 51 |
| Sb | 0.39/1 | 0.07/1 | 25% catechin/procyanidin (A), 69% fisetinidol/profisetidin (C), 6% epigallocatechin (B/robinetinidol (D) motifs, traces of 3-O-gallates | 2–3 | 50 |
| Hydrolysable Tannins | OH-Groups Content [mmol/g] | Scalbert [c] | Folin [d] | ||||||
|---|---|---|---|---|---|---|---|---|---|
| Aliphatic | Internal Gallate | Terminal Gallate | Catechol [a] | Ortho- Substituted Phenol | Total Phenol [b] | Acidic | |||
| Ta-01 | 0.59 | 2.20 | 2.51 | 3.27 | 4.58 | 13.5 | 0.22 | 0.55 | 0.84 |
| Ta-02 | 1.03 | 2.68 | 2.61 | 2.93 | 5.60 | 15.2 | 0.15 | 0.27 | 0.80 |
| Ta-04 | 0.92 | 2.21 | 1.84 | 3.38 | 3.06 | 11.9 | 0.15 | 1.91 | 0.70 |
| Ct | 3.01 | 2.64 | 0.28 | 3.37 | 1.34 | 7.70 | 0.18 | 9.01 | 0.47 |
| Cs | 4.77 | 2.90 | 1.14 | 2.21 | 0.74 | 6.87 | 0.32 | 10.6 | 0.61 |
Publisher’s Note: MDPI stays neutral with regard to jurisdictional claims in published maps and institutional affiliations. |
© 2021 by the authors. Licensee MDPI, Basel, Switzerland. This article is an open access article distributed under the terms and conditions of the Creative Commons Attribution (CC BY) license (https://creativecommons.org/licenses/by/4.0/).
Share and Cite
Zhen, L.; Lange, H.; Crestini, C. An Analytical Toolbox for Fast and Straightforward Structural Characterisation of Commercially Available Tannins. Molecules 2021, 26, 2532. https://doi.org/10.3390/molecules26092532
Zhen L, Lange H, Crestini C. An Analytical Toolbox for Fast and Straightforward Structural Characterisation of Commercially Available Tannins. Molecules. 2021; 26(9):2532. https://doi.org/10.3390/molecules26092532
Chicago/Turabian StyleZhen, Lili, Heiko Lange, and Claudia Crestini. 2021. "An Analytical Toolbox for Fast and Straightforward Structural Characterisation of Commercially Available Tannins" Molecules 26, no. 9: 2532. https://doi.org/10.3390/molecules26092532
APA StyleZhen, L., Lange, H., & Crestini, C. (2021). An Analytical Toolbox for Fast and Straightforward Structural Characterisation of Commercially Available Tannins. Molecules, 26(9), 2532. https://doi.org/10.3390/molecules26092532

