Degradation of β-Carbolines Harman and Norharman in Edible Oils during Heating
Abstract
:1. Introduction
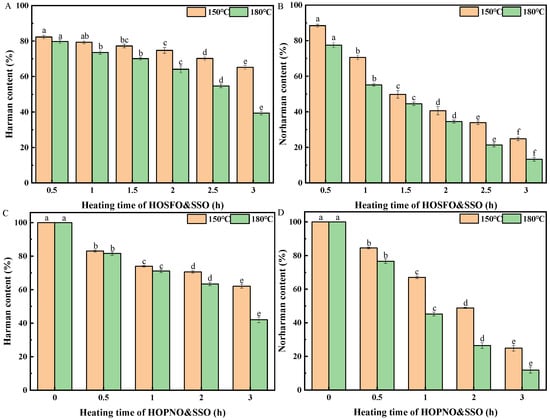
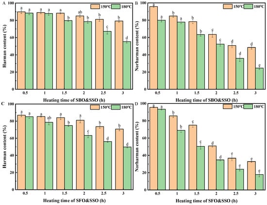
2. Results and Discussion
3. Materials and Methods
3.1. Materials
3.2. Methods
3.2.1. Preparation of Sesame Seed Oil Blends
3.2.2. Heating of Oil Blends
3.2.3. Fatty Acid Composition of Edible Oil
3.2.4. Extraction, Purification and Analysis of HAA in Oils
3.2.5. Statistical Analysis
4. Conclusions
Supplementary Materials
Author Contributions
Funding
Institutional Review Board Statement
Informed Consent Statement
Data Availability Statement
Conflicts of Interest
Sample Availability
References
- Piechowska, P.; Zawirska-Wojtasiak, R.; Mildner-Szkudlarz, S. Bioactive β-Carbolines in Food: A Review. Nutrients 2019, 11, 814. [Google Scholar] [CrossRef] [PubMed] [Green Version]
- Wojtowicz, E.; Zawirska-Wojtasiak, R.; Przygoński, K.; Mildner-Szkudlarz, S. Bioactive β-carbolines norharman and harman in traditional and novel raw materials for chicory coffee. Food Chem. 2015, 175, 280–283. [Google Scholar] [CrossRef]
- Alaejos, M.S.; Afonso, A.M. Factors That affect the content of heterocyclic aromatic amines in foods. Compr. Rev. Food Sci. 2011, 10, 52–108. [Google Scholar] [CrossRef]
- Gibis, M. Heterocyclic aromatic amines in cooked meat products: Causes, formation, occurrence, and risk assessment. Compr. Rev. Food Sci. 2016, 15, 269–302. [Google Scholar] [CrossRef] [PubMed]
- Alaejos, M.S.; González, V.; Afonso, A.M. Exposure to heterocyclic aromatic amines from the consumption of cooked red meat and its effect on human cancer risk: A review. Food Addit. Contam. Part A Chem. Anal. Control Expo. Risk Assess. 2008, 25, 2–24. [Google Scholar] [CrossRef]
- Nadeem, H.R.; Akhtar, S.; Ismail, T.; Sestili, P.; Lorenzo, J.M.; Ranjha, M.M.A.N.; Jooste, L.; Hano, C.; Aadil, R.M. Heterocyclic Aromatic Amines in Meat: Formation, Isolation, Risk Assessment, and Inhibitory Effect of Plant Extracts. Foods 2021, 10, 1466. [Google Scholar] [CrossRef]
- Herraiz, T.; Chaparro, C. Analysis of monoamine oxidase enzymatic activity by reversed-phase high performance liquid chromatography and inhibition by β-carboline alkaloids occurring in foods and plants. J. Chromatogr. A 2006, 1120, 237–243. [Google Scholar] [CrossRef]
- Herraiz, T. Identification and occurrence of the bioactive β-carbolines norharman and harman in coffee brews. Food Addit. Contam. 2002, 19, 748–754. [Google Scholar] [CrossRef]
- Herraiz, T. Relative exposure to β-carbolines norharman and harman from foods and tobacco smoke. Food Addit. Contam. 2004, 21, 1041–1050. [Google Scholar] [CrossRef]
- Alves, R.C.; Mendes, E.; Oliveira, B.P.P.; Casal, S. Norharman and harman in instant coffee and coffee substitutes. Food Chem. 2010, 120, 1238–1241. [Google Scholar] [CrossRef]
- Zawirska-Wojtasiak, R.; Piechowska, P.; Wojtowicz, E.; Przygoński, K.; Mildner-Szkudlarz, S. Bioactivity of selected materials for coffee substitute. PLoS ONE 2018, 13, e0206762. [Google Scholar] [CrossRef] [PubMed]
- Chang, C.C.; Zhang, D.; Wang, Z.; Chen, B.H. Simultaneous determination of twenty heterocyclic amines in cooking oil using dispersive solid phase extraction (QuEChERS) and high performance liquid chromatography-electrospray-tandem mass spectrometry. J. Chromatogr. A 2019, 1585, 82–91. [Google Scholar] [CrossRef] [PubMed]
- Zhang, C.X.; Xi, J.; Zhao, T.P.; Ma, Y.X.; Wang, X.D. β-carbolines norharman and harman in vegetable oils in China. Food Addit. Contam. B 2020, 13, 193–199. [Google Scholar] [CrossRef]
- Wolf, H.; Hamilton, R.J.; Calliauw, G.H. Edible Oil Processing, 2nd ed.; Wiley-Blackwell: Hoboken, NJ, USA, 2013. [Google Scholar]
- Dong, X.; Li, P.; Wei, F.; Jiang, M.; Zhao, Y.; Li, G.; Chen, H.; Zhao, Y. The impact of processing on the profile of volatile compounds in sesame oil. Eur. J. Lipid Sci. Tech. 2012, 114, 277–286. [Google Scholar] [CrossRef]
- Ahmed, I.A.M.; Uslu, N.; Ozcan, M.M.; Juhaimi, F.A.L.; Ghafoor, K.; Babiker, E.E.; Osman, M.A.; Alqah, H.A.S. Effect of conventional oven roasting treatment on the physicochemical quality attributes of sesame seeds obtained from different locations. Food Chem. 2021, 338, 128109. [Google Scholar] [CrossRef]
- Ji, J.; Liu, Y.; Shi, L.; Wang, N.; Wang, X. Effect of roasting treatment on the chemical composition of sesame oil. LWT-Food Sci. Tech. 2019, 101, 191–200. [Google Scholar] [CrossRef]
- Sumanto, H.; Hui, W.L.; Lyn, T.S.; Jacoby, J.J.; He, P.F.; Osman, F.; Ponnalagu, S.; Jiang, Y.R.; Lian, H.P.R.; Henry, C.J. Two blends of refined rice bran, flaxseed, and sesame seed oils affect the blood lipid profile of chinese adults with borderline hypercholesterolemia to a similar extent as refined olive oil. J. Nutr. 2020, 150, 3141–3151. [Google Scholar] [CrossRef]
- Ghosh, M.; Upadhyay, R.; Mahato, D.K.; Mishra, H.N. Kinetics of lipid oxidation in omega fatty acids rich blends of sunflower and sesame oils using Rancimat. Food Chem. 2019, 272, 471–477. [Google Scholar] [CrossRef]
- Chiu, C.P.; Chen, B.H. Stability of heterocyclic amines during heating. Food Chem. 2000, 68, 267–272. [Google Scholar] [CrossRef]
- Randel, G.; Balzer, M.; Grupe, S.; Drusch, S.; Kaina, B.; Platt, K.L.; Schwarz, K. Degradation of heterocyclic aromatic amines in oil under storage and frying conditions and reduction of their mutagenic potential. Food Chem. Toxic. 2007, 45, 2245–2253. [Google Scholar] [CrossRef]
- Barceló-Barrachina, E.; Moyano, E.; Galceran, M.T.; Lliberia, J.L.; Bagó, B.; Cortes, M.A. Ultra-performance liquid chromatography–tandem mass spectrometry for the analysis of heterocyclic amines in food. J. Chromatogr. A 2006, 1125, 195–203. [Google Scholar] [CrossRef] [PubMed]





| SBO&SSO | SFO&SSO | HOSFO&SSO | HOPNO&SSO | |
|---|---|---|---|---|
| C16:0 | 10.72 | 6.86 | 4.31 | 6.23 |
| C18:0 | 4.46 | 3.67 | 2.89 | 2.89 |
| C18:1 | 28.31 | 29.01 | 80.02 | 72.24 |
| C18:2 | 50.98 | 58.91 | 10.19 | 10.33 |
| C18:3 | 4.36 | 0.21 | 0.37 | 1.13 |
| C20:1 | 0 | 0 | 0 | 2.02 |
| C22:0 | 0 | 0 | 0 | 2.96 |
| C24:0 | 0 | 0 | 0 | 2.01 |
| ΣSFA | 15.18 | 10.52 | 7.20 | 14.09 |
| ΣMUFA | 28.31 | 29.01 | 80.02 | 77.21 |
| ΣPUFA | 55.33 | 59.12 | 10.56 | 13.48 |
| 0 h | 0.5 h | 1 h | 1.5 h | 2 h | 3 h | ||
|---|---|---|---|---|---|---|---|
| 150 °C | AV (mg/g) | 0.68 ± 0.00 d | 0.71 ± 0.01 c | 0.78 ± 0.00 b | 0.79 ± 0.00 b | 0.79 ± 0.00 b | 0.96 ± 0.01 a |
| POV (mmol/kg) | 1.40 ± 0.09 e | 3.87 ± 0.00 d | 12.93 ± 0.28 c | 17.95 ± 0.13 b | 19.35 ± 0.35 a | 19.66 ± 0.27 a | |
| p-AnV | 3.06 ± 0.26 f | 6.14 ± 0.14 e | 20.27 ± 0.39 d | 46.38 ± 0.44 c | 78.52 ± 0.56 b | 146.38 ± 0.19 a | |
| TV | 8.65 ± 0.10 f | 21.60 ± 0.13 e | 71.99 ± 1.50 d | 118.19 ± 0.07 c | 155.90 ± 0.83 b | 225.00 ± 1.29 a | |
| 180 °C | AV (mg/g) | 0.68 ± 0.00 d | 0.78 ± 0.01 c | 0.78 ± 0.00 c | 0.82 ± 0.00 b | 0.82 ± 0.01 b | 1.02 ± 0.00 a |
| POV (mmol/kg) | 1.40 ± 0.09 d | 2.60 ± 0.09 c | 7.25 ± 0.65 a | 6.91 ± 0.18 a | 7.18 ± 0.01 a | 4.47 ± 0.09 b | |
| p-AnV | 3.06 ± 0.26 f | 18.07 ± 0.08 e | 59.31 ± 0.53 d | 104.24 ± 0.82 c | 139.38 ± 0.59 b | 204.17 ± 0.67 a | |
| TV | 8.65 ± 0.10 f | 28.47 ± 0.29 e | 88.30 ± 3.13 d | 131.90 ± 0.12 c | 168.11 ± 0.55 b | 222.04 ± 1.01 a |
| 0 h | 0.5 h | 1 h | 1.5 h | 2 h | 3 h | ||
|---|---|---|---|---|---|---|---|
| 150 °C | AV (mg/g) | 0.82 ± 0.01 d | 0.82 ± 0.00 d | 0.82 ± 0.01 d | 0.85 ± 0.00 c | 0.96 ± 0.01 b | 1.06 ± 0.00 a |
| POV (mmol/kg) | 2.19 ± 0.10 f | 4.80 ± 0.00 e | 12.38 ± 0.20 d | 20.83 ± 0.04 c | 25.28 ± 0.81 b | 29.26 ± 0.85 a | |
| p-AnV | 11.49 ± 0.22 f | 13.42 ± 0.03 e | 21.98 ± 0.20 d | 42.37 ± 0.84 c | 64.69 ± 0.54 b | 122.24 ± 0.40 a | |
| TV | 20.26 ± 0.62 f | 32.61 ± 0.01 e | 71.50 ± 0.62 d | 125.70 ± 1.02 c | 165.81 ± 3.80 b | 239.29 ± 3.81 a | |
| 180 °C | AV (mg/g) | 0.82 ± 0.01 e | 0.82 ± 0.00 e | 0.85 ± 0.00 d | 0.89 ± 0.00 c | 0.99 ± 0.01 b | 1.09 ± 0.00 a |
| POV (mmol/kg) | 2.19 ± 0.10 c | 2.60 ± 0.09 c | 8.57 ± 0.40 a | 7.58 ± 0.19 b | 8.26 ± 0.02 a | 7.33 ± 0.19 b | |
| p-AnV | 11.49 ± 0.22 f | 24.90 ± 0.04 e | 62.32 ± 0.74 d | 96.86 ± 0.16 c | 123.54 ± 0.64 b | 172.16 ± 0.74 a | |
| TV | 20.26 ± 0.62 f | 35.31±0.41 e | 96.59±0.85 d | 127.20±0.91 c | 156.56±0.71 b | 201.47±0.01 a |
| 0 h | 0.5 h | 1 h | 1.5 h | 2 h | 3 h | ||
|---|---|---|---|---|---|---|---|
| 150 °C | AV(mg/g) | 0.78 ± 0.01 c | 0.78 ± 0.01 c | 0.78 ± 0.00 c | 0.86 ± 0.00 b | 0.85 ± 0.00 b | 1.06 ± 0.01 a |
| POV(mmol/kg) | 2.72 ± 0.09 f | 5.61 ± 0.37 e | 12.09 ± 0.08 d | 19.86 ± 0.25 c | 25.02 ± 0.45 b | 30.20 ± 0.75 a | |
| p-AnV | 2.81 ± 0.20 f | 4.13 ± 0.13 e | 6.57 ± 0.54 d | 20.95 ± 0.56 c | 36.13 ± 0.48 b | 63.76 ± 0.35 a | |
| TV | 13.70 ± 0.58 f | 26.56 ± 1.36 e | 54.94 ± 0.85 d | 100.39 ± 0.44 c | 136.22 ± 2.27 b | 184.57 ± 2.67 a | |
| 180 °C | AV (mg/g) | 0.78 ± 0.01 d | 0.78 ± 0.00 d | 0.78 ± 0.01 d | 0.85 ± 0.00 c | 0.89 ± 0.01 b | 1.13 ± 0.00 a |
| POV (mmol/kg) | 2.72 ± 0.09 d | 2.87 ± 0.47 d | 8.02 ± 0.00 c | 9.18 ± 0.34b b | 8.39 ± 0.58 bc | 10.94 ± 0.17 a | |
| p-AnV | 2.81 ± 0.20 f | 11.75 ± 0.61 e | 30.44 ± 0.83 d | 46.49 ± 0.54 c | 60.95 ± 0.68 b | 96.12 ± 0.31 a | |
| TV | 13.70 ± 0.58 f | 23.24 ± 2.50 e | 62.50 ± 0.84 d | 83.19 ± 0.84 c | 94.52 ± 1.65 b | 139.87 ± 0.37 a |
| 0 h | 0.5 h | 1 h | 2 h | 3 h | ||
|---|---|---|---|---|---|---|
| 150 °C | AV (mg/g) | 1.46 ± 0.02 c | 1.63 ± 0.02 b | 1.59 ± 0.02 b | 1.65 ± 0.02 b | 1.80 ± 0.05 a |
| POV (mmol/kg) | 2.06 ± 0.09 e | 6.99 ± 0.08 d | 15.31 ± 0.93 c | 24.65 ± 0.01 b | 26.80 ± 0.15 a | |
| p-AnV | 6.64 ± 0.01 e | 8.28 ± 0.13 d | 19.45 ± 0.16 c | 48.39 ± 0.86 b | 68.30 ± 0.30 a | |
| TV | 14.88 ± 0.35 e | 36.26 ± 0.43 d | 80.69 ± 3.56 c | 146.98 ± 0.92 b | 175.51 ± 0.30 a | |
| 180 °C | A (mg/g) | 1.46 ± 0.02 c | 1.77 ± 0.05 b | 1.84 ± 0.06 b | 1.86 ± 0.07 b | 2.16 ± 0.06 a |
| POV (mmol/kg) | 2.06 ± 0.09 c | 6.86 ± 0.08 ab | 6.79 ± 0.17 ab | 6.57 ± 0.09 b | 7.12 ± 0.08 a | |
| p-AnV | 6.64 ± 0.01 e | 24.20 ± 0.21 d | 69.36 ± 0.79 c | 76.12 ± 0.91 b | 89.66 ± 0.66 a | |
| TV | 14.88 ± 0.35 e | 51.66 ± 0.10 d | 96.53 ± 1.47 c | 102.41 ± 0.56 b | 118.13 ± 0.33 a |
Publisher’s Note: MDPI stays neutral with regard to jurisdictional claims in published maps and institutional affiliations. |
© 2021 by the authors. Licensee MDPI, Basel, Switzerland. This article is an open access article distributed under the terms and conditions of the Creative Commons Attribution (CC BY) license (https://creativecommons.org/licenses/by/4.0/).
Share and Cite
Liu, W.; Yang, Z.; Shi, L.; Cui, Z.; Li, Y. Degradation of β-Carbolines Harman and Norharman in Edible Oils during Heating. Molecules 2021, 26, 7018. https://doi.org/10.3390/molecules26227018
Liu W, Yang Z, Shi L, Cui Z, Li Y. Degradation of β-Carbolines Harman and Norharman in Edible Oils during Heating. Molecules. 2021; 26(22):7018. https://doi.org/10.3390/molecules26227018
Chicago/Turabian StyleLiu, Wei, Zhaoyu Yang, Lili Shi, Ziyu Cui, and Yun Li. 2021. "Degradation of β-Carbolines Harman and Norharman in Edible Oils during Heating" Molecules 26, no. 22: 7018. https://doi.org/10.3390/molecules26227018
APA StyleLiu, W., Yang, Z., Shi, L., Cui, Z., & Li, Y. (2021). Degradation of β-Carbolines Harman and Norharman in Edible Oils during Heating. Molecules, 26(22), 7018. https://doi.org/10.3390/molecules26227018

