Design, Synthesis, and Evaluation of Near-Infrared Fluorescent Molecules Based on 4H-1-Benzopyran Core
Abstract
:1. Introduction
2. Results
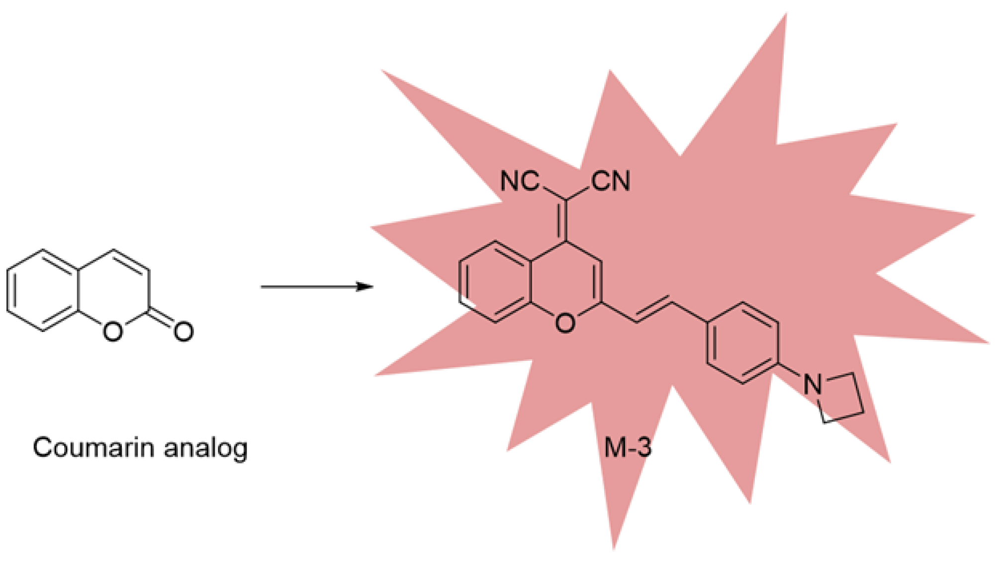
2.1. Chemical Properties Experiment
2.1.1. Spectral Properties of Compound M Series
2.1.2. Viscosity Sensitivity Studies of M-3
2.1.3. BSA Binding Affinity of M-3
2.1.4. Fluorescence Lifetime Measurements of M-3
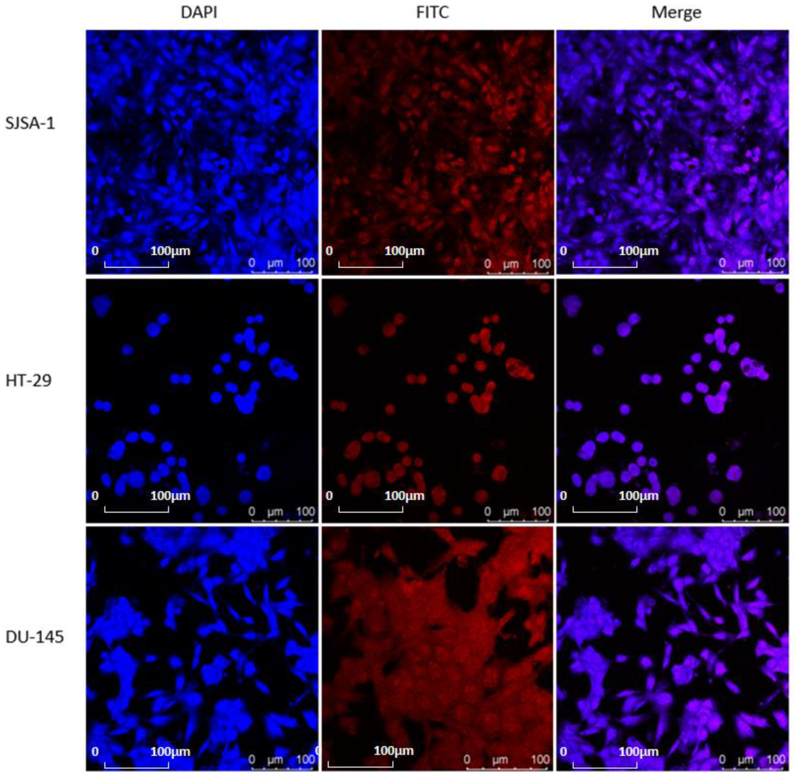
2.2. Brief Biological Evaluation
3. Discussion
4. Materials and Methods
4.1. Experimental Material
4.2. Synthetic Procedures for Compounds M-2 Compounds
4.3. Cell Culture
Supplementary Materials
Author Contributions
Funding
Institutional Review Board Statement
Informed Consent Statement
Data Availability Statement
Acknowledgments
Conflicts of Interest
Sample Availability
References
- Hansen, A.M.; Turnbull, D.; Katz, J.; Froula, D.H. Mitigation of self-focusing in Thomson scattering experiments. Phys. Plasmas 2019, 26, 103110. [Google Scholar] [CrossRef]
- Torres-Moya, I.; Carrillo, J.R.; Gomez, M.V.; Velders, A.H.; Donoso, B.; Rodríguez, A.M.; Díaz-Ortiz, A.; Navarrete, J.T.L.; Ortiz, R.P.; Prieto, P. Synthesis of D-π-A high-emissive 6-arylalkynyl-1,8-naphthalimides for application in Organic Field-Effect Transistors and optical waveguides. Dye. Pigment. 2021, 191, 109358. [Google Scholar] [CrossRef]
- Ding, G.-Y.; Zang, C.-X.; Zhang, H.; Su, Z.-M.; Li, G.-F.; Wen, L.-L.; Han, X.; Xie, W.-F.; Shan, G.-G. Administration of the D-A structure and steric hindrance effect to construct efficient red emitters for high-performance OLEDs with low efficiency roll-off. Dye. Pigment. 2021, 192, 109398. [Google Scholar] [CrossRef]
- Ipek, O.S.; Topal, S.; Topal, S.; Ozturk, T. Synthesis, characterization and sensing properties of donor-acceptor systems based Dithieno [3,2-b;2′,3′-d] thiophene and boron. Dye. Pigment. 2021, 192, 109458. [Google Scholar] [CrossRef]
- Wang, K.; Bao, Y.; Zhu, S.; Liu, R.; Zhu, H. Novel 1,5-naphthyridine-chromophores with D-A-D architecture: Synthesis, synthesis, luminescence and electrochemical properties. Dye. Pigment. 2020, 181, 108596. [Google Scholar] [CrossRef]
- Sauer, M.; Nasufovic, V.; Arndt, H.D.; Vilotijevic, I. Robust synthesis of NIR-emissive P-rhodamine fluorophores. Org. Biomol. Chem. 2020, 18, 1567–1571. [Google Scholar] [CrossRef] [Green Version]
- Şen, F.B.; Bener, M.; Apak, R. A Simple Determination of Trinitrotoluene (TNT) Based on Fluorescence Quenching of Rhodamine 110 with FRET Mechanism. J. Fluoresc. 2021, 31, 989–997. [Google Scholar] [CrossRef]
- Zhai, Q.-Z. Study on SBA-15 as an effective sorbent for dye butyl rhodamine B. J. Sol-Gel Sci. Technol. 2020, 96, 34–46. [Google Scholar] [CrossRef]
- Jones, K.A.; Porterfield, W.B.; Rathbun, C.M.; McCutcheon, D.C.; Paley, M.A.; Prescher, J.A. Orthogonal Luciferase–Luciferin Pairs for Bioluminescence Imaging. J. Am. Chem. Soc. 2017, 139, 2351–2358. [Google Scholar] [CrossRef] [Green Version]
- Odyniec, M.L.; Gardiner, J.E.; Sedgwick, A.C.; He, X.-P.; Bull, S.D.; James, T.D. Dual enzyme activated fluorescein based fluorescent probe. Front. Chem. Sci. Eng. 2019, 14, 117–121. [Google Scholar] [CrossRef]
- Xie, H.-R.; Gu, Y.-Q.; Liu, L.; Dai, J.-C. A H-aggregating fluorescent probe for recognizing both mercury and copper ions based on a dicarboxyl-pyridyl bifunctionalized difluoroboron dipyrromethene. New J. Chem. 2020, 44, 19713–19722. [Google Scholar] [CrossRef]
- Tu, Y.; Xia, W.; Wua, X.; Wang, L. A lysosome-targeted near-infrared photosensitizer for photodynamic therapy and two-photon fluorescence imaging. Org. Biomol. Chem. 2021, 19, 6098–6170. [Google Scholar] [CrossRef]
- Yang, J.; Guo, Y.; Pistolozzi, M.; Yan, J. Research progress of multi-functional fluorescent probes for Alzheimer’s disease monitoring. Dye. Pigment. 2021, 193, 109466. [Google Scholar] [CrossRef]
- Gan, S.; Zhou, J.; Smith, T.A.; Su, H.; Luo, W.; Hong, Y.; Zhao, Z.; Tang, B.Z. New AIEgens with delayed fluorescence for fluorescence imaging and fluorescence lifetime imaging of living cells. Mater. Chem. Front. 2017, 1, 2554–2558. [Google Scholar] [CrossRef]
- Yuan, Y.; Chen, X.; Chen, Q.; Jiang, G.; Wang, H.; Wang, J. New switch on fluorescent probe with AIE characteristics for selective and reversible detection of mercury ion in aqueous solution. Anal. Biochem. 2019, 585, 113403. [Google Scholar] [CrossRef]
- Li, X. Structural, electronic and spectral properties of carborane-containing boron dipyrromethenes (BODIPYs): A first-principles study. Spectrochim. Acta Part A Mol. Biomol. Spectrosc. 2017, 185, 149–154. [Google Scholar] [CrossRef] [PubMed]
- Matikonda, S.S.; Ivanicet, J.; Gomez, J.; Hammersley, G.; Schnermann, M.J. Core remodeling leads to long wavelength fluoro-coumarins. Chem. Sci. 2020, 11, 7302–7307. [Google Scholar] [CrossRef]
- Monette, Z.; Kasar, A.K.; Menezes, P.L. Advances in triboluminescence and mechanoluminescence. J. Mater. Sci. Mater. Electron. 2019, 30, 19675–19690. [Google Scholar] [CrossRef]
- Pereira, T.O.; Warzecha, M.; Andrade, L.H.C.; Silva, J.R.; Baesso, M.L.; McHugh, C.J.; Calvo-Castro, J.; Lima, S.M. True absolute determination of photoluminescence quantum yields by coupling multiwavelength thermal lens and photoluminescence spectroscopy. Phys. Chem. Chem. Phys. 2020, 22, 25156–25164. [Google Scholar] [CrossRef] [PubMed]
- Li, P.; Sun, D.; Liu, N.; Fang, Y.; Gros, C.P.; Bolze, F.; Xu, H.-J. Synthesis, spectroscopic characterization and one and two-photon absorption properties of π-expanded thiophene and truxene BODIPYs dyes. Dye. Pigment. 2021, 192, 109418. [Google Scholar] [CrossRef]
- Yılmaz, H.; Küçüköz, B.; Sevinç, G.; Tekin, S.; Yaglioglu, H.G.; Hayvalı, M.; Elmali, A. The effect of charge transfer on the ultrafast and two-photon absorption properties of newly synthesized boron-dipyrromethene compounds. Dye. Pigment. 2013, 99, 979–985. [Google Scholar] [CrossRef]
- Zettl, U.; Ballauff, M.; Harnau, L. A fluorescence correlation spectroscopy study of macromolecular tracer diffusion in polymer solutions. J. Phys. Condens. Matter 2010, 22, 494111. [Google Scholar] [CrossRef]
- Jun, J.V.; Chenoweth, D.M.; Petersson, E.J. Rational design of small molecule fluorescent probes for biological applications. Org. Biomol. Chem. 2020, 18, 5747–5763. [Google Scholar] [CrossRef] [PubMed]
- Gryczynski, I.; Kuśba, J.; Gryczynski, Z.; Malak, H.; Lakowicz, J.R. Anisotropy Spectra of the Solvent-Sensitive Fluorophore 4-Dimethylamino-4′-Cyanostilbene in the Presence of Light Quenching. J. Fluoresc. 1998, 8, 253–261. [Google Scholar] [CrossRef]
- Bakalova, S.M.; Kaneti, J. Solvent induced shifts of electronic spectra. Spectrochim. Acta Part A Mol. Biomol. Spectrosc. 2009, 72, 36–40. [Google Scholar] [CrossRef] [PubMed]
- Wong, K.-L.; Bünzli, J.-C.G.; Tanner, P.A. Quantum yield and brightness. J. Lumin. 2020, 224, 117256. [Google Scholar] [CrossRef]
- Liu, W.; Xiao, Y. Relativistic time-dependent density functional theories. Chem. Soc. Rev. 2018, 47, 4481. [Google Scholar] [CrossRef] [PubMed]
- Nakano, T.; Sumida, A.; Naka, K. Synthesis and Characterization of Boron Difluoride Complexes Bearing π-Expanded Pyridine Ligands as Organic Fluorochromes. J. Org. Chem. 2021, 86, 5690–5701. [Google Scholar] [CrossRef] [PubMed]
- Wu, Y.; Ren, H.; Wu, Y.; Wang, B. Theoretical Study of Energy Gaps for Naphthalimide-based Charge Transfer Compounds. Acta Chim. Sin. 2015, 73, 53. [Google Scholar] [CrossRef] [Green Version]
- Vaseghi, B.; Azizi, V.; Khosravi, M.; Owjifard, Z. Resonance fluorescence and quantum correlation of two-dimensional parabolic quantum dots: Spin–orbit interaction effects. Eur. Phys. J. D 2019, 73, 1–6. [Google Scholar] [CrossRef]
- Okazaki, M.; Takeda, Y.; Data, P.; Pander, P.; Higginbotham, H.; Monkmanb, P.M.; Minakata, S. Thermally activated delayed fluorescent phenothiazine–dibenzo[a,j]phenazine–phenothiazine triads exhibiting tricolor-changing mechanochromic luminescence. Chem. Sci. 2017, 8, 2677. [Google Scholar] [CrossRef] [PubMed] [Green Version]
- Satapathy, A.K.; Beherac, S.K.; Yadav, A.; Mahourd, L.N.; Yelamaggade, C.V.; Sandhya, C.V.; Sahoo, B. Tuning the fluorescence behavior of liquid crystal molecules containing Schiff-base: Effect of solvent polarity. J. Lumin. 2019, 210, 371–375. [Google Scholar] [CrossRef]
- Malik, P.K.; Tripathy, M.; Patel, S. D-π-A Molecular Probe to Unveil the Role of Solute-Solvent Hydrogen Bonding in Solvatochromism, Location Specific Preferential Solvation and Synergistic Effect in Binary Mixtures. ChemistrySelect 2020, 5, 3551–3566. [Google Scholar] [CrossRef]
- Levitt, J.A.; Chung, P.-H.; Kuimova, M.K.; Yahioglu, G.; Wang, Y.; Qu, J.; Suhling, K. Fluorescence Anisotropy of Molecular Rotors. ChemPhysChem 2011, 12, 662–672. [Google Scholar] [CrossRef] [PubMed]
- Zhu, S.; Yu, X.; He, Y.; Ma, M.; Lu, W. Synthesis and fluorescent studies of a low molecular weight rotor for living cancer cell imaging. Dye. Pigment. 2020, 178, 108353. [Google Scholar] [CrossRef]
- Kubin, R.F.; Fletcher, A.N. Fluorescence quantum yields of some rhodamine dyes. J. Lumin. 1982, 27, 455–462. [Google Scholar] [CrossRef]
- Tsuchiya, M.; Sakamoto, R.; Shimada, M.; Yamanoi, Y.; Hattori, Y.; Sugimoto, K.; Nishiborid, E.; Nishihara, H. β-IminoBODIPY oligomers: Facilely accessible π-conjugated luminescent BODIPY arrays. Chem. Commun. 2017, 53, 7509–7512. [Google Scholar] [CrossRef] [PubMed]
- Sousa, R.P.C.L.; Ferreira, J.C.C.; Sousa, M.J.; Gonçalves, M.S.T. N-(5-Amino-9H-benzo[a]phenoxazin-9-ylidene) propan-1-aminium chlorides as antifungal agents and NIR fluorescence probes. New J. Chem. 2021, 45, 7808. [Google Scholar] [CrossRef]
- Frisch, M.J.; Trucks, G.W.; Schlegel, H.B.; Scuseria, G.E.; Robb, M.A.; Cheeseman, J.R.; Scalmani, G.; Barone, V.; Petersson, G.A.; Nakatsuji, H.; et al. Gaussian 16, Revision A.03; Gaussian, Inc.: Wallingford, CT, USA, 2016. [Google Scholar]








| Solvent | (nm) | (nm) | △λ (nm) | QEin | AF |
|---|---|---|---|---|---|
| EA | 492 | 658 | 166 | 0.0411 | 0.3750 |
| DCM | 501 | 668 | 167 | 0.0528 | 0.2486 |
| EtOH | 500 | 693 | 193 | 0.0457 | 0.5244 |
| MeOH | 497 | 696 | 199 | 0.0171 | 0.5827 |
| MeCN | 495 | 698 | 203 | 0.0306 | 0.5956 |
| DMSO | 518 | 719 | 201 | 0.0516 | 0.4858 |
| H2O | 479 | 784 | 305 | N | N |
| PBS | 487 | 774 | 287 | N | N |
Publisher’s Note: MDPI stays neutral with regard to jurisdictional claims in published maps and institutional affiliations. |
© 2021 by the authors. Licensee MDPI, Basel, Switzerland. This article is an open access article distributed under the terms and conditions of the Creative Commons Attribution (CC BY) license (https://creativecommons.org/licenses/by/4.0/).
Share and Cite
Wang, S.; Zhu, S.; Tanzeng, Y.; Zhang, Y.; Li, C.; Ma, M.; Lu, W. Design, Synthesis, and Evaluation of Near-Infrared Fluorescent Molecules Based on 4H-1-Benzopyran Core. Molecules 2021, 26, 6986. https://doi.org/10.3390/molecules26226986
Wang S, Zhu S, Tanzeng Y, Zhang Y, Li C, Ma M, Lu W. Design, Synthesis, and Evaluation of Near-Infrared Fluorescent Molecules Based on 4H-1-Benzopyran Core. Molecules. 2021; 26(22):6986. https://doi.org/10.3390/molecules26226986
Chicago/Turabian StyleWang, Shuting, Shulei Zhu, Yawen Tanzeng, Yuexing Zhang, Chuchu Li, Mingliang Ma, and Wei Lu. 2021. "Design, Synthesis, and Evaluation of Near-Infrared Fluorescent Molecules Based on 4H-1-Benzopyran Core" Molecules 26, no. 22: 6986. https://doi.org/10.3390/molecules26226986
APA StyleWang, S., Zhu, S., Tanzeng, Y., Zhang, Y., Li, C., Ma, M., & Lu, W. (2021). Design, Synthesis, and Evaluation of Near-Infrared Fluorescent Molecules Based on 4H-1-Benzopyran Core. Molecules, 26(22), 6986. https://doi.org/10.3390/molecules26226986

