Preparation of Ag3PO4/TiO2(B) Heterojunction Nanobelt with Extended Light Response and Enhanced Photocatalytic Performance
Abstract
:1. Introduction
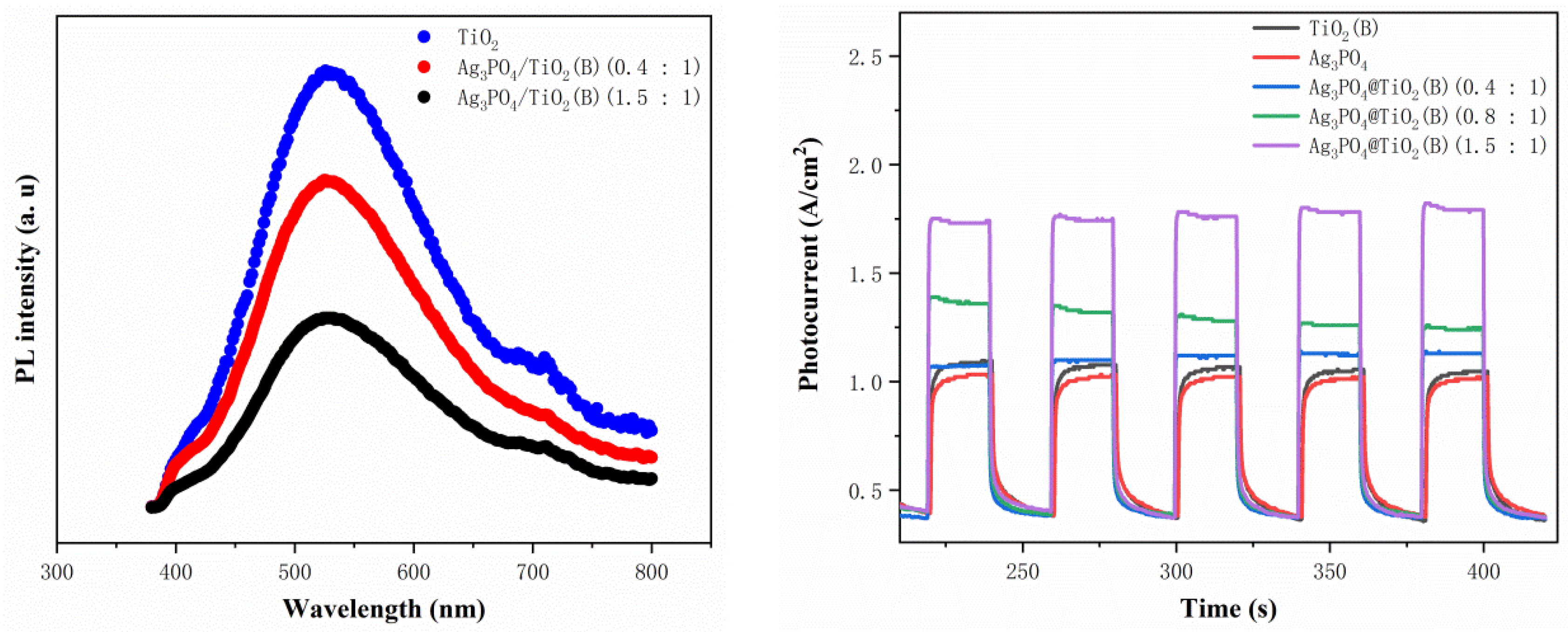
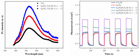
2. Results and Discussion
3. Materials and Experiment
3.1. Materials
3.2. Preparation of TiO2(B) Nanobelt, Ag3PO4, and Ag3PO4/TiO2(B)
3.3. Analysis and Testing
3.4. Photocatalytic Performance Test
4. Conclusions
Author Contributions
Funding
Institutional Review Board Statement
Informed Consent Statement
Data Availability Statement
Conflicts of Interest
Sample Availability
References
- Liu, J.; Milne, R.I.; Cadotte, M.W.; Wu, Z.-Y.; Provan, J.; Zhu, G.-F.; Gao, L.-M.; Li, D.-Z. Protect Third Pole’s fragile ecosystem. Science 2018, 362, 1368. [Google Scholar] [CrossRef]
- Yuan, Q.; Yuan, Q.; Ren, P. Coupled effect of climate change and human activities on the restoration/degradation of the Qinghai-Tibet Plateau grassland. J. Geogr. Sci. 2021, 31, 1299–1327. [Google Scholar] [CrossRef]
- Liu, S.; Wang, P.; Wang, C.; Wang, X.; Chen, J. Anthropogenic disturbances on antibiotic resistome along the Yarlung Tsangpo River on the Tibetan Plateau: Ecological dissemination mechanisms of antibiotic resistance genes to bacterial pathogens. Water Res. 2021, 202, 117447. [Google Scholar] [CrossRef]
- Kumar, A.; Kumar, A.; Krishnan, V. Perovskite oxide based materials for energy and environment-oriented photocatalysis. ACS Catal. 2020, 10, 10253–10315. [Google Scholar] [CrossRef]
- Li, S.-Q.; Lv, S.-Y.; Zhou, H.-Y.; Ding, Y.-Q.; Liu, Q.-Y.; Ma, J.-B. Oxidation of isoprene by titanium oxide cluster cations in the gas phase. Phys. Chem. Chem. Phys. 2020, 22, 27357–27363. [Google Scholar] [CrossRef] [PubMed]
- Liras, M.; Barawi, M.; de la Peña O’Shea, V.A. Hybrid materials based on conjugated polymers and inorganic semiconductors as photocatalysts: From environmental to energy applications. Chem. Soc. Rev. 2019, 48, 5454–5487. [Google Scholar] [CrossRef]
- Xie, X.; Zhang, N. Positioning MXenes in the photocatalysis landscape: Competitiveness, challenges, and future perspectives. Adv. Funct. Mater. 2020, 30, 2002528. [Google Scholar] [CrossRef]
- Gelsor, N.; Jin, Y.-M.; Tsoja, W.-M.; Zhou, Y.; Balma, S.; Tunzhu, D. Ground-based measurements of global solar radiation and UV radition in Tibet. Spectrosc. Spect. Anal. 2019, 39, 1683–1688. [Google Scholar]
- Pu, Z. Suggestions on efficient development and utilization of solar energy resources in Tibet. IOP Conf. Ser. Earth Environ. Sci. 2021, 804, 032030. [Google Scholar] [CrossRef]
- Liu, D.; Yang, M.; Shi, Z.; Ning, L. Research on consumptive capacity and countermeasures of renewable energy of central Tibet. J. Renew. Sustain. Energy 2017, 9, 025902. [Google Scholar] [CrossRef]
- Fu, C.; Li, F.; Zhang, J.; Li, D.; Qian, K.; Liu, Y.; Tang, J.; Fan, F.; Zhang, Q.; Gong, X.Q.; et al. Site sensitivity of interfacial charge transfer and photocatalytic efficiency in photocatalysis: Methanol oxidation on anatase TiO2 nanocrystals. Angew. Chem. 2021, 133, 6225–6234. [Google Scholar] [CrossRef]
- Song, Y.; Ling, L.; Westerhoff, P.; Shang, C. Evanescent waves modulate energy efficiency of photocatalysis within TiO2 coated optical fibers illuminated using LEDs. Nat. Commun. 2021, 12, 4101. [Google Scholar] [CrossRef]
- Lu, Y.; Liu, X.-L.; He, L.; Zhang, Y.-X.; Hu, Z.-Y.; Tian, G.; Cheng, X.; Wu, S.-M.; Li, Y.-Z.; Yang, X.-H.; et al. Spatial heterojunction in nanostructured TiO2 and its cascade effect for efficient photocatalysis. Nano Lett. 2020, 20, 3122–3129. [Google Scholar] [CrossRef] [PubMed]
- Xu, F.; Meng, K.; Cheng, B.; Wang, S.; Xu, J.; Yu, J. Unique S-scheme heterojunctions in self-assembled TiO2/CsPbBr3 hybrids for CO2 photoreduction. Nat. Commun. 2020, 11, 4613. [Google Scholar] [CrossRef]
- Lan, K.; Wei, Q.; Wang, R.; Xia, Y.; Tan, S.; Wang, Y.; Elzatahry, A.; Feng, P.; Mai, L.; Zhao, D. Two-dimensional mesoporous heterostructure delivering superior pseudocapacitive sodium storage via bottom-up monomicelle assembly. J. Am. Chem. Soc. 2019, 141, 16755–16762. [Google Scholar] [CrossRef] [PubMed]
- Liu, R.; Hu, P.; Chen, S. Photocatalytic activity of Ag3PO4 nanoparticle/TiO2 nanobelt heterostructures. Appl. Surf. Sci. 2012, 258, 9805–9809. [Google Scholar] [CrossRef]
- Saud, P.S.; Pant, B.; Twari, A.P.; Ghouri, Z.K.; Park, M.; Kim, H.Y. Effective photocatalytic efficacy of hydrothermally synthesized silver phosphate decorated titanium dioxide nanocomposite fibers. J. Colloid Interface Sci. 2016, 465, 225–232. [Google Scholar] [CrossRef]
- Chi, C.; Pan, J.; You, M.; Dong, Z.; Zhao, W.; Song, C.; Zheng, Y.; Li, C. The porous TiO2 nanotubes/Ag3PO4 heterojunction for enhancing sunlight photocatalytic activity. J. Phys. Chem. Solids 2018, 114, 173–178. [Google Scholar] [CrossRef]
- Amaral, R.; Blois, C.; Lunz, J.; Mello, A.; Jardim, P. Physical and optical properties of Ag3PO4 decorated TiO2 based nanostructures. J. Solid State Chem. 2022, 305, 122655. [Google Scholar] [CrossRef]
- Xie, F.; Zhu, J.; Li, Y.; Shen, D.; Abate, A.; Wei, M. TiO2-B as an electron transporting material for highly efficient perovskite solar cells. J. Power Sources 2019, 415, 8–14. [Google Scholar] [CrossRef]
- Di, T.; Zhang, J.; Cheng, B.; Yu, J.; Xu, J. Hierarchically nanostructured porous TiO2(B) with superior photocatalytic CO2 reduction activity. Sci. China Chem. 2018, 61, 344–350. [Google Scholar] [CrossRef]
- Hossain, M.K.; Koirala, A.R.; Akhtar, U.S.; Song, M.K.; Yoon, K.B. First Synthesis of Highly Crystalline, Hexagonally Ordered, Uniformly Mesoporous TiO2-B and Its Optical and Photocatalytic Properties. Chem. Mater. 2015, 27, 6550–6557. [Google Scholar] [CrossRef]
- Chen, S.; Zhu, Y.; Li, W.; Liu, W.; Li, L.; Yang, Z.; Liu, C.; Yao, W.; Lu, X.; Feng, X. Synthesis, Features and Applications of Mesoporous Titania with TiO2(B). Chin. J. Catal. 2010, 31, 605–614. [Google Scholar] [CrossRef]
- Silva, G.N.; Martins, T.A.; Nogueira, I.C.; Santos, R.K.; Li, M.S.; Longo, E.; Botelho, G. Synthesis of Ag3PO4/SnO2 composite photocatalyst for improvements in photocatalytic activity under visible light. Mater. Sci. Semicond. Proc. 2021, 135, 106064. [Google Scholar] [CrossRef]
- Ta, Q.T.H.; Tran, N.M.; Tri, N.N.; Sreedhar, A.; Noh, J.-S. Highly surface-active Si-doped TiO2/Ti3C2Tx heterostructure for gas sensing and photodegradation of toxic matters. Chem. Eng. J. 2021, 425, 131437. [Google Scholar] [CrossRef]
- Xu, Y.; Liu, X.; Zheng, Y.; Li, C.; Yeung, K.W.K.; Cui, Z.; Liang, Y.; Li, Z.; Zhu, S.; Wu, S. Ag3PO4 decorated black urchin-like defective TiO2 for rapid and long-term bacteria-killing under visible light. Bioact. Mater. 2020, 6, 1575–1587. [Google Scholar] [CrossRef] [PubMed]
- Khalid, N.R.; Mazia, U.; Tahir, M.B.; Niaz, N.A.; Javid, M.A. Photocatalytic degradation of RhB from an aqueous solution using Ag3PO4/N-TiO2 heterostructure. J. Mol. Liq. 2020, 313, 113522. [Google Scholar] [CrossRef]
- Zhang, Y.; Duoerkun, G.; Shi, Z.; Cao, W.; Liu, T.; Liu, J.; Zhang, L.; Li, M.; Chen, Z. Construction of TiO2/Ag3PO4 nanojunctions on carbon fiber cloth for photocatalytically removing various organic pollutants in static or flowing wastewater. J. Colloid Interface Sci. 2020, 571, 213–221. [Google Scholar] [CrossRef]
- Wang, P.; Li, Y.; Liu, Z.; Chen, J.; Wu, Y.; Guo, M.; Na, P. In-situ deposition of Ag3PO4 on TiO2 nanosheets dominated by (001) facets for enhanced photocatalytic activities and recyclability. Ceram. Int. 2017, 43, 11588–11595. [Google Scholar] [CrossRef]
- Meng, Z.; Zhou, B.; Xu, J.; Li, Y.; Hu, X.; Tian, H. Heterostructured Nitrogen and Sulfur co-doped Black TiO2/g-C3N4 Photocatalyst with Enhanced Photocatalytic Activity. Chem. Res. Chin. Univ. 2020, 36, 1045–1052. [Google Scholar] [CrossRef]
- Du, J.; Xu, Z.; Li, H.; Yang, H.; Xu, S.; Wang, J.; Jia, Y.; Ma, S.; Zhan, S. Ag3PO4/g-C3N4 Z-scheme composites with enhanced visible-light-driven disinfection and organic pollutants degradation: Uncovering the mechanism. Appl. Surf. Sci. 2021, 541, 148487. [Google Scholar] [CrossRef]
- Wu, Z.; Zhao, Y.; Mi, L.; Guo, Y.; Wang, H.; Liu, K.; Zhang, K.; Wang, B. Preparation of g-C3N4/TiO2 by template method and its photocatalytic performance. Colloids Surf. A Physicochem. Eng. Asp. 2021, 624, 126756. [Google Scholar] [CrossRef]








Publisher’s Note: MDPI stays neutral with regard to jurisdictional claims in published maps and institutional affiliations. |
© 2021 by the authors. Licensee MDPI, Basel, Switzerland. This article is an open access article distributed under the terms and conditions of the Creative Commons Attribution (CC BY) license (https://creativecommons.org/licenses/by/4.0/).
Share and Cite
Li, Y.; Liu, Y.; Zhang, M.; Zhou, Q.; Li, X.; Chen, T.; Wang, S. Preparation of Ag3PO4/TiO2(B) Heterojunction Nanobelt with Extended Light Response and Enhanced Photocatalytic Performance. Molecules 2021, 26, 6987. https://doi.org/10.3390/molecules26226987
Li Y, Liu Y, Zhang M, Zhou Q, Li X, Chen T, Wang S. Preparation of Ag3PO4/TiO2(B) Heterojunction Nanobelt with Extended Light Response and Enhanced Photocatalytic Performance. Molecules. 2021; 26(22):6987. https://doi.org/10.3390/molecules26226987
Chicago/Turabian StyleLi, Yong, Yanfang Liu, Mingqing Zhang, Qianyu Zhou, Xin Li, Tianlu Chen, and Shifeng Wang. 2021. "Preparation of Ag3PO4/TiO2(B) Heterojunction Nanobelt with Extended Light Response and Enhanced Photocatalytic Performance" Molecules 26, no. 22: 6987. https://doi.org/10.3390/molecules26226987
APA StyleLi, Y., Liu, Y., Zhang, M., Zhou, Q., Li, X., Chen, T., & Wang, S. (2021). Preparation of Ag3PO4/TiO2(B) Heterojunction Nanobelt with Extended Light Response and Enhanced Photocatalytic Performance. Molecules, 26(22), 6987. https://doi.org/10.3390/molecules26226987

