Synthesis and Electrochemical Performance of Electrostatic Self-Assembled Nano-Silicon@N-Doped Reduced Graphene Oxide/Carbon Nanofibers Composite as Anode Material for Lithium-Ion Batteries
Abstract
:1. Introduction
2. Experimental
2.1. Materials and Chemicals
2.2. Synthesis of Si@APTES and CNF
2.3. Synthesis of Si@N-doped rGO/CNF and Si@N-doped rGO
2.4. Materials Characterization
2.5. Fabrication of LIBs and Electrochemical Measurements
3. Results and Discussion
3.1. Structure and Morphology
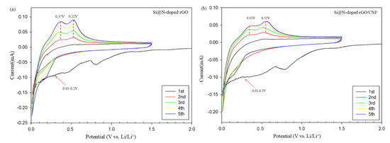
3.2. Electrochemical Performance
4. Conclusions
Supplementary Materials
Author Contributions
Funding
Institutional Review Board Statement
Informed Consent Statement
Data Availability Statement
Conflicts of Interest
Sample Availability
References
- Xu, Z.L.; Kim, J.K.; Kang, K. Carbon nanomaterials for advanced lithium sulfur batteries. Nano Today 2018, 19, 84–107. [Google Scholar] [CrossRef]
- Wang, J.; Tang, H.; Zhang, L.; Ren, H.; Yu, R.; Jin, Q.; Qi, J.; Mao, D.; Yang, M.; Wang, Y.; et al. Multishelled metal oxides prepared via an anion-adsorption mechanism for lithium-ion batteries. Nat. Energy 2016, 1, 16050. [Google Scholar] [CrossRef]
- Zhang, X.; Qu, E.; Xiao, Q.; Zhang, J.; Lei, G.; Li, Z.; Guan, J. Preparation of coaxial Sn-Co alloy/CNFs 3D freestanding membrane anode by electrochemical co-deposition for lithium-ion batteries. Ionics 2019, 25, 5735–5743. [Google Scholar] [CrossRef]
- Feng, K.; Li, M.; Liu, W.; Kashkooli, A.G.; Xiao, X.; Cai, M.; Chen, Z. Silicon-based anodes for lithium-ion batteries: From fundamentals to practical applications. Small 2018, 14, 1702737. [Google Scholar] [CrossRef] [PubMed]
- Qiao, H.; Duan, A.; Wang, T.; Liu, P.; Wang, D.; Pan, H.; Wang, H. Investigation on Li2FeSiO4 and Li2FeSiO4/C synthesised through facile solid-state reaction. Mater. Technol. 2020, 35, 546–552. [Google Scholar] [CrossRef]
- Zhu, G.; Gu, Y.; Wang, Y.; Qu, Q.; Zheng, H. Neuron like Si-carbon nanotubes composite as a high-rate anode of lithium ion batteries. J. Alloys Compd. 2019, 787, 928–934. [Google Scholar] [CrossRef]
- Pan, Q.; Zuo, P.; Mu, T.; Du, C.; Cheng, X.; Ma, Y.; Gao, Y.; Yin, G. Improved electrochemical performance of micro-sized SiO-based composite anode by prelithiation of stabilized lithium metal powder. J. Power Sources 2017, 347, 170–177. [Google Scholar] [CrossRef]
- Haruta, M.; Okubo, T.; Masuo, Y.; Yoshida, S.; Tomita, A.; Takenaka, T.; Doi, T.; Inaba, M. Temperature effects on SEI formation and cyclability of Si nanoflake powder anode in the presence of SEI-forming additives. Electrochim. Acta 2017, 224, 186–193. [Google Scholar] [CrossRef]
- An, Y.; Tian, Y.; Wei, C.; Jiang, H.; Xi, B.; Xiong, S.; Feng, J.; Qian, Y. Scalable and physical synthesis of 2D silicon from bulk layered alloy for lithium-ion batteries and lithium-metal batteries. ACS Nano 2019, 13, 13690–13701. [Google Scholar] [CrossRef]
- Huang, Z.; Zhang, K.; Zhang, T.; Liu, R.; Lin, X.; Li, Y.; Feng, X.; Mei, Q.; Masese, T.; Ma, Y.; et al. Binder-free graphene/carbon nanotube/silicon hybrid grid as freestanding anode for high capacity lithium ion batteries. Compos. Part A 2016, 84, 386–392. [Google Scholar] [CrossRef]
- An, Y.; Tian, Y.; Wei, H.; Xi, B.; Xiong, S.; Feng, J.; Qian, Y. Porosity- and graphitization-controlled fabrication of nanoporous silicon@carbon for lithium storage and its conjugation with MXene for lithium-metal anode. Adv. Funct. Mater. 2020, 30, 1908721. [Google Scholar] [CrossRef]
- Qu, E.; Chen, T.; Xiao, Q.; Lei, G.; Li, Z. Flexible freestanding 3D Si/C composite nanofiber film fabricated using the electrospinning technique for lithium-ion batteries anode. Solid State Ion. 2019, 337, 70–75. [Google Scholar] [CrossRef]
- Eom, K.S.; Lee, J.T.; Oschatz, M.; Wu, F.; Kaskel, S.; Yushin, G.; Fuller, T.F. A stablelithiated siliconechalcogen battery via synergetic chemical coupling betweensilicon and selenium. Nat. Commun. 2017, 8, 13888. [Google Scholar] [CrossRef]
- Huang, Y.; Luo, J.; Peng, J.; Shi, M.; Li, X.; Wang, X.; Chang, B. Porous silicon–graphene–carbon composite as high performance anode material for lithium ion batteries. J. Energy Storage 2020, 27, 101075. [Google Scholar] [CrossRef]
- Kim, J.M.; Ko, D.; Oh, J.; Lee, J.; Hwang, T.; Jeon, Y.; Hooch Antink, W.; Piao, Y. Electrochemically exfoliated graphene as a novel microwave susceptor: The ultrafast microwave-assisted synthesis of carbon-coated silicon−graphene film as a lithium-ion battery anode. Nanoscale 2017, 9, 15582–15590. [Google Scholar] [CrossRef]
- Wang, X.; Lv, L.; Cheng, Z.; Gao, J.; Dong, L.; Hu, C.; Qu, L. High-density monolith of N-doped holey graphene for ultrahigh volumetric capacity of Li-ion batteries. Adv. Energy Mater. 2016, 6, 1502100. [Google Scholar] [CrossRef]
- Zhou, R.; Guo, H.; Yang, Y.; Wang, Z.; Li, X.; Zhou, Y. N-doped carbon layer derived from polydopamine to improve the electrochemical performance of spray-dried Si/graphite composite anode material for lithium ion batteries. J. Alloys Compd. 2016, 689, 130–137. [Google Scholar] [CrossRef]
- Mu, T.; Zuo, P.; Lou, S.; Pan, Q.; Zhang, H.; Du, C.; Gao, Y.; Cheng, X.; Ma, Y.; Huo, H.; et al. A three-dimensional silicon/nitrogen-doped graphitized carbon composite as high-performance anode material for lithium ion batteries. J. Alloys Compd. 2019, 777, 190–197. [Google Scholar] [CrossRef]
- Mu, T.; Zuo, P.; Lou, S.; Pan, Q.; Li, Q.; Du, C.; Gao, Y.; Cheng, X.; Ma, Y.; Yin, G. A two-dimensional nitrogen-rich carbon/silicon composite as high performance anode material for lithium ion batteries. Chem. Eng. J. 2018, 341, 37–46. [Google Scholar] [CrossRef]
- Shi, W.W.L.; Wang, A.; Yuan, K.; Jin, Z. Si nanoparticles adhering to a nitrogen-rich porous carbon framework and its application as a lithium-ion battery anode material. J. Mater. Chem. 2015, 3, 18190–18197. [Google Scholar] [CrossRef]
- Li, Y.; Wang, Z.; Lv, X.J. N-doped TiO2 nanotubes/N-doped graphene nano-sheets composites as high performance anode materials in lithium-ion battery. J. Mater. Chem. 2014, 2, 15473–15479. [Google Scholar] [CrossRef]
- Xu, Y.; Sun, X.; Wei, C.; Liang, G. Self-assembly by electrostatic attraction to encapsulate Si in N-rich graphene for high performance lithium-ion batteries. J. Electroanal. Chem. 2020, 867, 114125. [Google Scholar] [CrossRef]
- Li, X.; Bai, Y.; Wang, M.; Wang, G.; Ma, Y.; Li, L.; Xiao, B.; Zheng, J. Self-assembly encapsulation of Si in N-doped reduced graphene oxide as lithium ion battery anode with significantly enhanced electrochemical performance. Sustain. Energy Fuels 2019, 1, 1–37. [Google Scholar] [CrossRef]
- Na, R.; Liu, Y.; Wu, Z.P.; Cheng, X.; Shan, Z.; Zhong, C.J.; Tian, J. Nano-silicon composite materials with N-doped graphene of controllable and optimal pyridinic-to-pyrrolic structural ratios for lithium ion battery. Electrochim. Acta 2019, 321, 134742. [Google Scholar] [CrossRef]
- Zhang, X.; Lu, W.; Zhou, G.; Li, Q. Understanding the mechanical and conductive properties of carbon nanotube fibers for smart electronics. Adv. Mater. 2020, 32, 1902028. [Google Scholar] [CrossRef]
- Li, L.; Liu, P.; Zhu, K.; Wang, J.; Tai, G.; Liu, J. Flexible and robust N-doped carbon nanofiber film encapsulating uniformly silica nanoparticles: Free-standing long-life and low-cost electrodes for Li- and Na-ion batteries. Electrochim. Acta 2017, 235, 79–87. [Google Scholar] [CrossRef]
- Cheng, Z.; Hu, Y.; Wu, K.; Xing, Y.; Pan, P.; Jiang, L.; Mao, J.; Ni, C.; Wang, Z.; Zhang, M.; et al. Si/TiO2/Ti2O3 composite carbon nanofiber by one-step heat treatment with highly enhanced ion/electron diffusion rates for next-generation lithium-ion batteries. Electrochim. Acta 2020, 337, 135789. [Google Scholar] [CrossRef]
- Tan, Y.; Meng, L.; Wang, Y.; Dong, W.; Kong, L.; Kang, L.; Ran, F. Negative electrode materials of molybdenum Nitride/N-doped carbon nano-fiber via electrospinning method for high-performance supercapacitors. Electrochim. Acta 2018, 277, 41–49. [Google Scholar] [CrossRef]
- Wang, S.; Xia, L.; Yu, L.; Zhang, L.; Wang, H.; Lou, X.W.D. Free-standing nitrogen-doped carbon nanofiber films: Integrated electrodes for sodium-ion batteries with ultralong cycle life and superior rate capability. Adv. Energy Mater. 2015, 6, 1502217. [Google Scholar] [CrossRef]
- Carneiro, O.C.; Rodriguez, N.M.; Baker, R.T.K. Growth of carbon nanofibers from the iron–copper catalyzed decomposition of CO/C2H4/H2 mixtures. Carbon 2005, 43, 2389–2396. [Google Scholar] [CrossRef]
- Cen, Y.; Qin, Q.; Sisson, R.D.; Liang, J. Effect of particle size and surface treatment on Si/graphene nanocomposite lithium-ion battery anodes. Electrochim. Acta 2017, 251, 690–698. [Google Scholar] [CrossRef]
- Meng, K.; Guo, H.; Wang, Z.; Li, X.; Su, M.; Huang, B.; Hu, Q.; Peng, W. Self-assembly of porous-graphite/silicon/carbon composites for lithium-ion batteries. Powder Technol. 2014, 254, 403–406. [Google Scholar] [CrossRef]
- Luo, Z.; Xiao, Q.; Lei, G.; Li, Z.; Tang, C. Si nanoparticles/graphene composite membrane for high performance silicon anode in lithium ion batteries. Carbon 2016, 98, 373–380. [Google Scholar] [CrossRef]
- Tang, X.; Wen, G.; Zhang, Y.; Wang, D.; Song, Y. Novel silicon nanoparticles with nitrogen-doped carbon shell dispersed in nitrogen-doped graphene and CNTs hybrid electrode for lithium ion battery. Appl. Surf. Sci. 2017, 425, 742–749. [Google Scholar] [CrossRef]
- Kikuchi, K.; Yamamoto, K.; Nomura, N.; Kawasaki, A. Synthesis of n-type Mg2Si/CNT thermoelectric nanofibers. Nanoscale Res. Lett. 2017, 12, 343. [Google Scholar] [CrossRef] [Green Version]
- Gao, X.; Li, J.; Xie, Y.; Guan, D.; Yuan, C. A multilayered silicon-reduced graphene oxide electrode for high performance lithium-ion batteries. ACS Appl. Mater. Interfaces 2015, 7, 7855–7862. [Google Scholar] [CrossRef]
- Liu, Z.; Guo, P.; Liu, B.; Xie, W.; Liu, D.; He, D. Carbon-coated Si nanoparticles/reduced graphene oxide multilayer anchored to nanostructured current collector as lithium-ion battery anode. Appl. Surf. Sci. 2017, 396, 41–47. [Google Scholar] [CrossRef]
- Qin, J.; Wu, M.; Feng, T.; Chen, C.; Tu, C.; Li, X.; Duan, C.; Xia, D.; Wang, D. High rate capability and long cycling life of graphene-coated silicon composite anodes for lithium ion batteries. Electrochim. Acta 2017, 256, 259–266. [Google Scholar] [CrossRef]
- Wang, M.; Wang, Z.; Jia, R.; Yang, Y.; Zhu, F.; Yang, Z.; Huang, Y.; Li, X.; Xu, W. Facile electrostatic self-assembly of silicon/reduced graphene oxide porous composite by silica assist as high performance anode for Li-ion battery. Appl. Surf. Sci. 2018, 456, 379–389. [Google Scholar] [CrossRef]
- Fang, R.; Xiao, W.; Miao, C.; Mei, P.; Yan, X.; Zhang, Y.; Jiang, Y. Improved lithium storage performance of pomegranate-like Si@NC/rGO composite anodes by facile in-situ nitrogen doped carbon coating and freeze drying processes. J. Alloys Compd. 2020, 834, 155230. [Google Scholar] [CrossRef]
- Wu, C.; Lin, J.; Chu, R.; Zheng, J.; Chen, Y.; Zhang, J.; Guo, H. Reduced graphene oxide as a dual-functional enhancer wrapped over silicon/porous carbon nanofibers for high-performance lithium-ion battery anodes. J. Mater. Sci. 2017, 52, 7984–7996. [Google Scholar] [CrossRef]
- Yu, L.; Liu, J.; He, S.; Huang, C.; Gong, Z.; Gan, L.; Long, M. N-doped rGO/C@Si composites using sustainable chitosan as the carbon source for lithium-ion batteries. Appl. Surf. Sci. 2020, 501, 144136. [Google Scholar] [CrossRef]
- Sun, C.; Deng, Y.; Wan, L.; Qin, X.; Chen, G. Graphene oxide-immobilized NH2−terminated silicon nanoparticles by cross-linked interactions for highly stable silicon negative electrodes. ACS Appl. Mater. Interfaces 2014, 6, 11277–11285. [Google Scholar] [CrossRef] [PubMed]
- Zhu, J.; Yang, J.; Xu, Z.; Wang, J.; Nuli, Y.; Zhuang, X.; Feng, X. Silicon anodes protected by a nitrogen-doped porous carbon shell for high-performance lithium-ion batteries. Nanoscale 2017, 9, 8871–8878. [Google Scholar] [CrossRef] [PubMed]
- Faniyi, I.O.; Fasakin, O.; Olofinjana, B.; Adekunle, A.S.; Oluwasusi, T.V.; Eleruja, M.A.; Ajayi, E.O.B. The comparative analyses of reduced graphene oxide (RGO) prepared via green, mild and chemical approaches. SN Appl. Sci. 2019, 1, 1181. [Google Scholar] [CrossRef] [Green Version]
- Gong, Y.; Li, D.; Fu, Q.; Pan, C. Influence of graphene microstructures on electrochemical performance for supercapacitors. Prog. Nat. Sci. Mater. Int. 2015, 25, 379–385. [Google Scholar] [CrossRef] [Green Version]
- Rochman, R.A.; Wahyuningsih, S.; Ramelan, A.H.; Hanif, Q.A. Preparation of nitrogen and sulphur co-doped reduced graphene oxide (rGO-NS) using N and S heteroatom of thiourea. IOP Conf. Ser. Mater. Sci. Eng. 2019, 509, 012119. [Google Scholar] [CrossRef]
- Johra, F.T.; Jung, W.G. Hydrothermally reduced graphene oxide as a supercapacitor. Appl. Surf. Sci. 2015, 357, 1911–1914. [Google Scholar] [CrossRef]
- Cong, R.; Choi, J.Y.; Song, J.B.; Jo, M.; Lee, H.; Lee, C.S. Characteristics and electrochemical performances of silicon/carbon nanfiber/graphene composite films as anode materials for binder-free lithium-ion batteries. Sci. Rep. 2021, 11, 1283. [Google Scholar] [CrossRef]










Publisher’s Note: MDPI stays neutral with regard to jurisdictional claims in published maps and institutional affiliations. |
© 2021 by the authors. Licensee MDPI, Basel, Switzerland. This article is an open access article distributed under the terms and conditions of the Creative Commons Attribution (CC BY) license (https://creativecommons.org/licenses/by/4.0/).
Share and Cite
Cong, R.; Park, H.-H.; Jo, M.; Lee, H.; Lee, C.-S. Synthesis and Electrochemical Performance of Electrostatic Self-Assembled Nano-Silicon@N-Doped Reduced Graphene Oxide/Carbon Nanofibers Composite as Anode Material for Lithium-Ion Batteries. Molecules 2021, 26, 4831. https://doi.org/10.3390/molecules26164831
Cong R, Park H-H, Jo M, Lee H, Lee C-S. Synthesis and Electrochemical Performance of Electrostatic Self-Assembled Nano-Silicon@N-Doped Reduced Graphene Oxide/Carbon Nanofibers Composite as Anode Material for Lithium-Ion Batteries. Molecules. 2021; 26(16):4831. https://doi.org/10.3390/molecules26164831
Chicago/Turabian StyleCong, Ruye, Hyun-Ho Park, Minsang Jo, Hochun Lee, and Chang-Seop Lee. 2021. "Synthesis and Electrochemical Performance of Electrostatic Self-Assembled Nano-Silicon@N-Doped Reduced Graphene Oxide/Carbon Nanofibers Composite as Anode Material for Lithium-Ion Batteries" Molecules 26, no. 16: 4831. https://doi.org/10.3390/molecules26164831
APA StyleCong, R., Park, H.-H., Jo, M., Lee, H., & Lee, C.-S. (2021). Synthesis and Electrochemical Performance of Electrostatic Self-Assembled Nano-Silicon@N-Doped Reduced Graphene Oxide/Carbon Nanofibers Composite as Anode Material for Lithium-Ion Batteries. Molecules, 26(16), 4831. https://doi.org/10.3390/molecules26164831

