Biphenylalkoxyamine Derivatives–Histamine H3 Receptor Ligands with Butyrylcholinesterase Inhibitory Activity
Abstract
1. Introduction
2. Results and Discussion
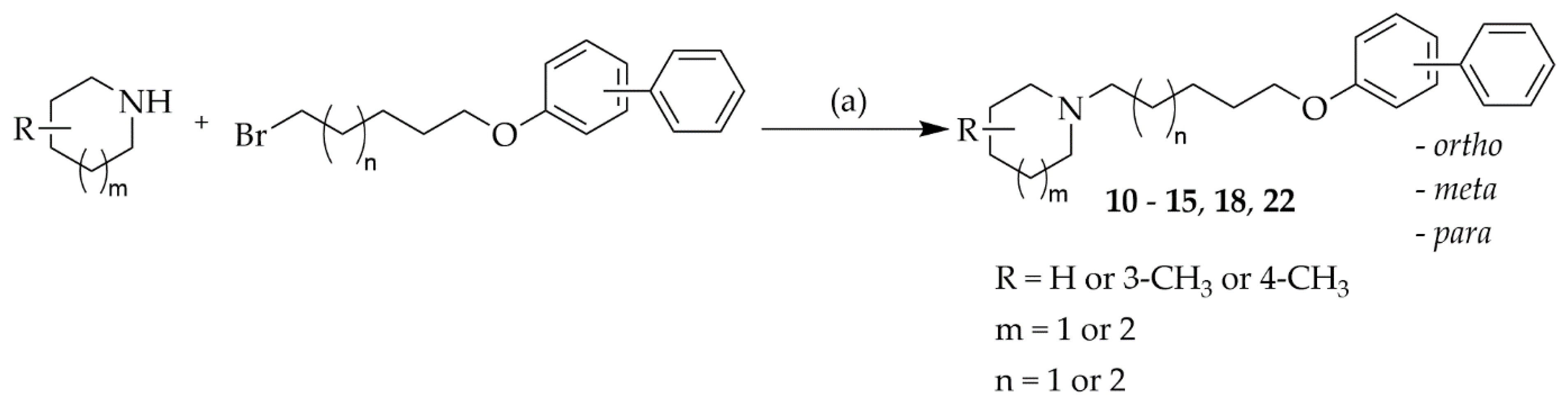
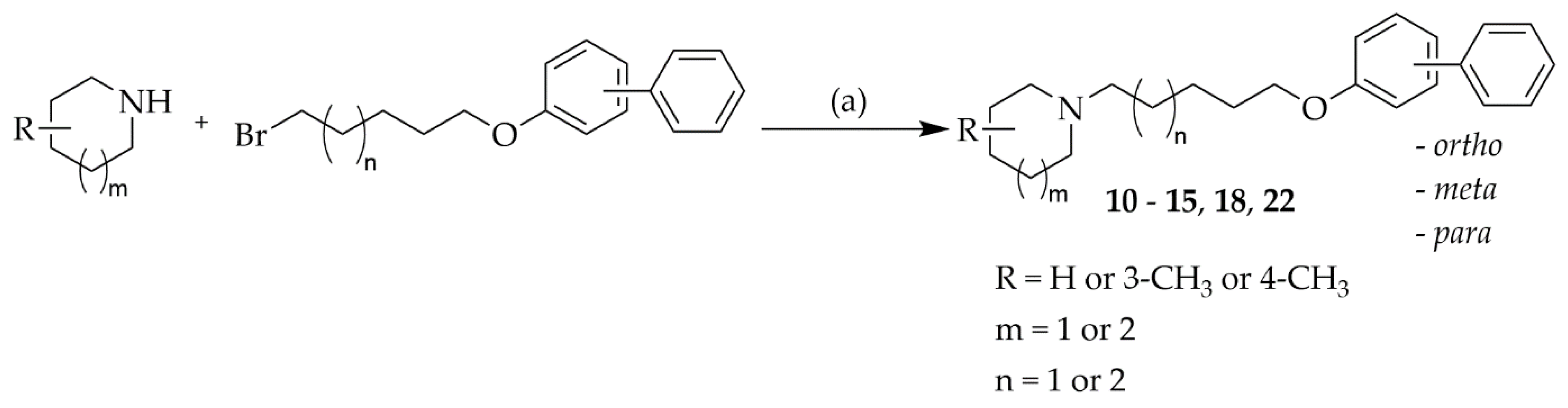
2.1. Chemistry
2.2. Biological Evaluation
2.2.1. Affinity for the Histamine H3 Receptor
2.2.2. Acetyl- and Butyrylcholinesterase Inhibition
2.2.3. Human MAO B Inhibition
2.3. Molecular Docking Studies
2.3.1. Molecular Docking to Acetylcholinesterase
2.3.2. Molecular Docking to the Human Butyrylcholinesterase
2.3.3. Molecular Docking to the Human MAO B
2.4. In Vivo Activity of Compound 19
3. Conclusions
4. Materials and Methods
4.1. Chemistry
4.1.1. General Procedure of Synthesis of Compounds 10–15, 18 and 22
4.1.2. 1-(6-[1,1′-Biphenyl]-2-yloxy)hexyl)piperidine Hydrogen Oxalate (10)
4.1.3. 1-(5-([1,1′-Biphenyl]-4-yloxy)pentyl)-3-methylpiperidine Hydrogen Oxalate (11)
4.1.4. 1-(5-([1,1′-Biphenyl]-3-yloxy)pentyl)-3-methylpiperidine Hydrogen Oxalate (12)
4.1.5. 1-(6-([1,1′-Biphenyl]-4-yloxy)hexyl)-3-methylpiperidine Hydrogen Oxalate (13)
4.1.6. 1-(6-([1,1′-Biphenyl]-3-yloxy)hexyl)-3-methylpiperidine Hydrogen Oxalate (14)
4.1.7. 1-(6-([1,1′-Biphenyl]-2-yloxy)hexyl)-3-methylpiperidine Hydrogen Oxalate (15)
4.1.8. 1-(6-([1,1′-Biphenyl]-2-yloxy)hexyl)-4-methylpiperidine Hydrogen Oxalate (18)
4.1.9. 1-(6-([1,1′-Biphenyl]-2-yloxy)hexyl)azepane Hydrogen Oxalate (22)
4.2. In Vitro Biological Studies
4.2.1. Evaluation of Histamine H3 Receptor Affinity
4.2.2. Evaluation of Cholinesterase Inhibitory Activity
4.2.3. Kinetic Studies of eqBuChE Inhibition
4.2.4. Evaluation of Monoamine Oxidase Inhibitory Activity
4.3. Molecular Docking to the Electric Ray Acetylcholinesterase, the Human Butyrylcholinesterase and the Human Monoamine Oxidase B
4.4. In Vivo Studies of Compound 19
4.4.1. Animals
4.4.2. Compound 19 and Reference Compounds
4.4.3. Step-Through Passive Avoidance Task
Supplementary Materials
Author Contributions
Funding
Institutional Review Board Statement
Informed Consent Statement
Data Availability Statement
Acknowledgments
Conflicts of Interest
Sample Availability
References
- Li, Q.; Yang, H.; Chen, Y.; Sun, H. Recent progress in the identification of selective butyrylcholinesterase inhibitors for Alzheimer’s disease. Eur. J. Med. Chem. 2017, 132, 294–309. [Google Scholar] [CrossRef]
- DeBay, D.R.; Reid, G.A.; Macdonald, I.R.; Mawko, G.; Burrell, S.; Martin, E.; Bowen, C.V.; Darvesh, S. Butyrylcholinesterase-knockout reduces fibrillar β-amyloid and conserves 18FDG retention in 5XFAD mouse model of Alzheimer’s disease. Brain Res. 2017, 1671, 102–110. [Google Scholar] [CrossRef]
- Reid, G.A.; Darvesh, S. Butyrylcholinesterase-knockout reduces brain deposition of fibrillar β-amyloid in an Alzheimer mouse model. Neuroscience 2015, 298, 424–435. [Google Scholar] [CrossRef]
- Macdonald, I.R.; Maxwell, S.P.; Reid, G.A.; Cash, M.K.; DeBay, D.R.; Darvesh, S. Quantification of Butyrylcholinesterase Activity as a Sensitive and Specific Biomarker of Alzheimer’s Disease. J. Alzheimers Dis. 2017, 58, 491–505. [Google Scholar] [CrossRef]
- Jing, L.; Wu, G.; Kang, D.; Zhou, Z.; Song, Y.; Liu, X.; Zhan, P. Contemporary medicinal-chemistry strategies for the discovery of selective butyrylcholinesterase inhibitors. Drug. Discov. Today 2019, 24, 629–635. [Google Scholar] [CrossRef] [PubMed]
- Li, Q.; Xing, S.; Chen, Y.; Liao, Q.; Xiong, B.; He, S.; Lu, W.; Liu, Y.; Yang, H.; Li, Q.; et al. Discovery and Biological Evaluation of a Novel Highly Potent Selective Butyrylcholinsterase Inhibitor. J. Med. Chem. 2020, 63, 10030–10044. [Google Scholar] [CrossRef] [PubMed]
- Hoffmann, M.; Stiller, C.; Endres, E.; Scheiner, M.; Gunesch, S.; Sotriffer, C.; Maurice, T.; Decker, M. Highly Selective Butyrylcholinesterase Inhibitors with Tunable Duration of Action by Chemical Modification of Transferable Carbamate Units Exhibit Pronounced Neuroprotective Effect in an Alzheimer’s Disease Mouse Model. J. Med. Chem. 2019, 62, 9116–9140. [Google Scholar] [CrossRef] [PubMed]
- Košak, U.; Strašek, N.; Knez, D.; Jukič, M.; Žakelj, S.; Zahirovič, A.; Pišlar, A.; Brazolloto, X.; Nachon, F.; Kos, J.; et al. N-alkylpiperdine carbamates as potential anti-Alzheimer‘s agents. Eur. Med. Chem. 2020, 197, 112282. [Google Scholar] [CrossRef]
- Nieto-Alamilla, G.; Márquez-Gómez, R.; García-Gálvez, A.-M.; Morales-Figueroa, G.-E.; Arias-Montaño, J.-A. The histamine H3 receptor: Structure, pharmacology and function. Mol. Pharmacol. 2016, 90, 649–673. [Google Scholar] [CrossRef]
- Arrang, J.M.; Garbarg, M.; Schwartz, J.C. Auto-inhibition of brain histamine release mediated by a novel class (H3) of histamine receptor. Nature 1983, 302, 832–837. [Google Scholar] [CrossRef]
- Ghamari, N.; Zarei, O.; Arias-Montaño, J.A.; Reiner, D.; Dastmalchi, S.; Stark, H.; Hamzeh-Mivehroud, M. Histamine H3 receptor antagonists/inverse agonists: Where do they go? Pharmacol. Ther. 2019, 200, 69–84. [Google Scholar] [CrossRef]
- Łażewska, D.; Kieć-Kononowicz, K. Progress in the development of histamine H(3) receptor antagonists/inverse agonists: A patent review (2013–2017). Expert Opin. Ther. Pat. 2018, 28, 175–196. [Google Scholar] [CrossRef] [PubMed]
- Proschak, E.; Stark, H.; Merk, D. Polypharmacology by Design: A Medicinal Chemist’s Perspective on Multitargeting Compounds. J. Med. Chem. 2019, 62, 420–444. [Google Scholar] [CrossRef] [PubMed]
- Khanfar, M.A.; Affini, A.; Lutsenko, K.; Nikolic, K.; Butini, S.; Stark, H. Multiple Targeting Approaches on Histamine H3 Receptor Antagonists. Front. Neurosci. 2016, 10, 201. [Google Scholar] [CrossRef] [PubMed]
- Bautista-Aguilera, Ó.M.; Hagenow, S.; Palomino-antolin, A.; Farré-Alins, V.; Ismaili, L.; Joffrin, P.L.; Jimeno, M.L.; Soukup, O.; Janočková, J.; Kalinowsky, L.; et al. Multitarget-directed ligands combining cholinesterase and monoamine oxidase inhibition with histamine H3R antagonism for neurodegenerative diseases. Angew. Chem. Int. Ed. Engl. 2018, 56, 12765–12769. [Google Scholar] [CrossRef] [PubMed]
- Łażewska, D.; Bajda, M.; Kaleta, M.; Zaręba, P.; Doroz-Płonka, A.; Siwek, A.; Alachkar, A.; Mogilski, S.; Saad, A.; Kuder, K.; et al. Rational design of new multitarget histamine H3 receptor ligands as potential candidates for treatment of Alzheimer’s Disease. Eur. J. Med. Chem. 2020, 207, 112743. [Google Scholar] [CrossRef]
- Bajda, M.; Łażewska, D.; Godyń, J.; Zaręba, P.; Kuder, K.; Hagenow, S.; Łątka, K.; Stawarska, E.; Stark, H.; Kieć-Kononowicz, K.; et al. Search for new multi-target compounds against Alzheimer’s disease among histamine H3 receptor ligands. Eur. J. Med. Chem. 2020, 185, 111785. [Google Scholar] [CrossRef] [PubMed]
- Łażewska, D.; Kaleta, M.; Schwed, J.S.; Karcz, T.; Mogilski, S.; Latacz, G.; Olejarz, A.; Siwek, A.; Kubacka, M.; Lubelska, A.; et al. Biphenyloxy-alkyl-piperidine and azepane derivatives as histamine H3 receptor ligands. Bioorg. Med. Chem. 2017, 25, 5341–5354. [Google Scholar] [CrossRef]
- David, B.; Schneider, P.; Schäfer, P.; Pietruszka, J.; Gohlke, H. Discovery of new acetylcholinesterase inhibitors for Alzheimer’s disease: Virtual screening and in vitro characterisation. J. Enzym. Inhib. Med. Chem. 2021, 36, 491–496. [Google Scholar] [CrossRef] [PubMed]
- Schedin-Weiss, S.; Inoue, M.; Hromadkova, L.; Teranishi, Y.; Yamamoto, N.G.; Wiehager, B.; Bogdanovic, N.; Winblad, B.; Sandebring-Matton, A.; Frykman, S.; et al. Monoamine oxidase B is elevated in Alzheimer disease neurons, is associated with γ-secretase and regulates neuronal amyloid β-peptide levels. Alz. Res. Ther. 2017, 9, 57. [Google Scholar] [CrossRef] [PubMed]
- Khanfar, M.A.; Reiner, D.; Hagenow, S.; Stark, H. Design, synthesis, and biological evaluation of novel oxadiazole- and thiazole-based histamine H3R ligands. Bioorg. Med. Chem. 2018, 26, 4034–4046. [Google Scholar] [CrossRef] [PubMed]
- Ellman, G.L.; Courtney, K.D.; Andres, V.; Featherstone, R.M. A new and rapid colorimetric determination of acetylcholinesterase activity. Biochem. Pharmacol. 1961, 7, 88–95. [Google Scholar] [CrossRef]
- Zhou, M.; Panchuk-Voloshina, N. A one-step fluorometric method for the continuous measurement of monoamine oxidase activity. Anal. Biochem. 1997, 253, 169–174. [Google Scholar] [CrossRef] [PubMed]
- Łażewska, D.; Olejarz-Maciej, A.; Kaleta, M.; Bajda, M.; Siwek, A.; Karcz, T.; Doroz-Płonka, A.; Cichoń, U.; Kuder, K.; Kieć-Kononowicz, K. 4-tert-Pentylphenoxyalkyl derivatives-Histamine H3 receptor ligands and monoamine oxidase B inhibitors. Bioorg. Med. Chem. Lett. 2018, 28, 3596–3600. [Google Scholar] [CrossRef]
- Kryger, G.; Silman, I.; Sussman, J.L. Structure of acetylcholinesterase complexed with E2020 (Ariceptρ): Implications for the design of new anti-Alzheimer drugs. Structure 1999, 7, 297–307. [Google Scholar] [CrossRef]
- Bajda, M.; Wiȩckowska, A.; Hebda, M.; Guzior, N.; Sotriffer, C.A.; Malawska, B. Structure-based search for new inhibitors of cholinesterases. Int. J. Mol. Sci. 2013, 14, 5608–5632. [Google Scholar] [CrossRef]
- Daina, A.; Michielin, O.; Zoete, V. SwissADME: A free web tool to evaluate pharmacokinetics, drug-likeness and medicinal chemistry friendliness of small molecules. Sci. Rep. 2017, 7, 42717. [Google Scholar] [CrossRef]
- Banerjee, P.; Eckert, A.O.; Schrey, A.K.; Preissner, R. ProTox-II: A webserver for the prediction of toxicity of chemicals. Nucleic Acids Res. 2018, 46, W257–W263. [Google Scholar] [CrossRef]
- Cheng, Y.C.; Prusoff, W.H. Relationship between the inhibition constant (KI) and the concentration of inhibitor which causes 50 per cent inhibition (I50) of an enzymatic reaction. Biochem. Pharmacol. 1973, 22, 3099–3108. [Google Scholar] [CrossRef]
- Sałat, K.; Podkowa, A.; Mogilski, S.; Zaręba, P.; Kulig, K.; Sałat, R.; Malikowska, N.; Filipek, B. The effect of GABA transporter 1 (GAT1) inhibitor, tiagabine, on scopolamine-induced memory impairments in mice. Pharmacol. Rep. 2015, 67, 1155–1162. [Google Scholar] [CrossRef]














| Comp. | Cyclic Amine | n | Substitution | hH3R a Ki [nM] Mean ± SD [CI 95%] | eeAChE b IC50 [μM] Mean ± SEM or (% Inh.) e | eqBuChE c IC50 [μM] Mean ± SEM | hMAO B d IC50 [nM] Mean ± SEM or (%Inh.) f |
|---|---|---|---|---|---|---|---|
| 6 | ![]() | 1 | para | 25.2 ± 9.3 g | (24% ± 1) | 2.16 ± 0.03 | (50% ± 2) |
| 7 | 1 | meta | 76.0 ± 9.2 g | (24% ± 1) | 1.29 ± 0.02 | (11% ± 1) | |
| 8 | 2 | para | 91.5 ± 14.4 g | (48% ± 1) | 1.63 ± 0.05 | (36% ± 13) | |
| 9 | 2 | meta | 149 ± 108 g | (35% ± 2) | 1.78 ± 0.08 | (16% ± 0) | |
| 10 | 2 | ortho | 221 [23;2171] | (8% ± 2) | 1.28 ± 0.02 | (40% ± 3) | |
| 11 | ![]() | 1 | para | 27.3 ± 15.1 | (45% ± 3) | 0.91 ± 0.01 | (28% ± 3) |
| 12 | 1 | meta | 45.0 ± 13.4 | (27% ± 1) | 0.68 ± 0.01 | (5% ± 1) | |
| 13 | 2 | para | 146.5 ± 65.3 | 5.02 ± 0.09 | 0.95 ± 0.00 | (20% ± 1) | |
| 14 | 2 | meta | 27 [17;43] | 4.71 ± 0.13 | 1.52 ± 0.04 | (35% ± 6) | |
| 15 | 2 | ortho | 23 [2;223] | (24% ± 1) | 2.10 ± 0.06 | (16% ± 1) | |
| 3 | ![]() | 1 | para | 88.6 ± 31.1 g | (42% ± 1) i | 0.85 ± 0.02 i | (36% ± 2) |
| 16 | 1 | meta | 157.0 ± 19.2 g | (41% ± 1) | 1.46 ± 0.03 | (7% ± 1) | |
| 4 | 2 | para | 265.9 ± 83.7 g | 4.46 ± 0.10 i | 0.74 ± 0.02 i | (27% ± 3) | |
| 17 | 2 | meta | 172 ± 73 g | (48% ± 1) | 1.49 ± 0.04 | (5% ± 1) | |
| 18 | 2 | ortho | 561 [192;1638] | (20% ± 3) | 1.48 ± 0.04 | (24% ± 1) | |
| 19 (E153) | ![]() | 1 | para | 33.9 ± 8.1 g | (44% ± 1) | 0.59 ± 0.01 | 243 ± 73 (54% ± 1) |
| 20 | 1 | meta | 114.7 ± 22.0 g | (26% ± 3) | 0.47 ± 0.01 | (14% ± 0) | |
| 5 | 2 | para | 150.9 ± 72.8 g | 2.76 ± 0.04 i | 0.60 ± 0.01 i | (45% ± 1) | |
| 21 | 2 | meta | 19 ± 5.5 g | 3.86 ± 0.08 | 0.87 ± 0.00 | (43% ± 5) | |
| 22 | 2 | ortho | 528 [328;849] | (30% ± 5) | 0.69 ± 0.05 | (17% ± 0) | |
| Pitolisant | 12 ± 3 i | (3% ± 1) i | 8.42 ± 0.18 i | (2% ± 3) | |||
| Donepezil | Nt h | 0.041 ± 0.006 i 0.027 ± 0.002 j | 1.83 ± 0.017 i | Nt h | |||
| Rivastigmine | Nt h | 71 ± 3 j | 2.20 ± 0.05 | Nt h | |||
| Safinamide | Nt h | Nt h | Nt h | 7.7 ± 1.2 | |||
Publisher’s Note: MDPI stays neutral with regard to jurisdictional claims in published maps and institutional affiliations. |
© 2021 by the authors. Licensee MDPI, Basel, Switzerland. This article is an open access article distributed under the terms and conditions of the Creative Commons Attribution (CC BY) license (https://creativecommons.org/licenses/by/4.0/).
Share and Cite
Łażewska, D.; Zaręba, P.; Godyń, J.; Doroz-Płonka, A.; Frank, A.; Reiner-Link, D.; Bajda, M.; Stary, D.; Mogilski, S.; Olejarz-Maciej, A.; et al. Biphenylalkoxyamine Derivatives–Histamine H3 Receptor Ligands with Butyrylcholinesterase Inhibitory Activity. Molecules 2021, 26, 3580. https://doi.org/10.3390/molecules26123580
Łażewska D, Zaręba P, Godyń J, Doroz-Płonka A, Frank A, Reiner-Link D, Bajda M, Stary D, Mogilski S, Olejarz-Maciej A, et al. Biphenylalkoxyamine Derivatives–Histamine H3 Receptor Ligands with Butyrylcholinesterase Inhibitory Activity. Molecules. 2021; 26(12):3580. https://doi.org/10.3390/molecules26123580
Chicago/Turabian StyleŁażewska, Dorota, Paula Zaręba, Justyna Godyń, Agata Doroz-Płonka, Annika Frank, David Reiner-Link, Marek Bajda, Dorota Stary, Szczepan Mogilski, Agnieszka Olejarz-Maciej, and et al. 2021. "Biphenylalkoxyamine Derivatives–Histamine H3 Receptor Ligands with Butyrylcholinesterase Inhibitory Activity" Molecules 26, no. 12: 3580. https://doi.org/10.3390/molecules26123580
APA StyleŁażewska, D., Zaręba, P., Godyń, J., Doroz-Płonka, A., Frank, A., Reiner-Link, D., Bajda, M., Stary, D., Mogilski, S., Olejarz-Maciej, A., Kaleta, M., Stark, H., Malawska, B., & Kieć-Kononowicz, K. (2021). Biphenylalkoxyamine Derivatives–Histamine H3 Receptor Ligands with Butyrylcholinesterase Inhibitory Activity. Molecules, 26(12), 3580. https://doi.org/10.3390/molecules26123580





