New O-Aryl-Carbamoyl-Oxymino-Fluorene Derivatives with MI-Crobicidal and Antibiofilm Activity Enhanced by Combination with Iron Oxide Nanoparticles
Abstract
1. Introduction
2. Results
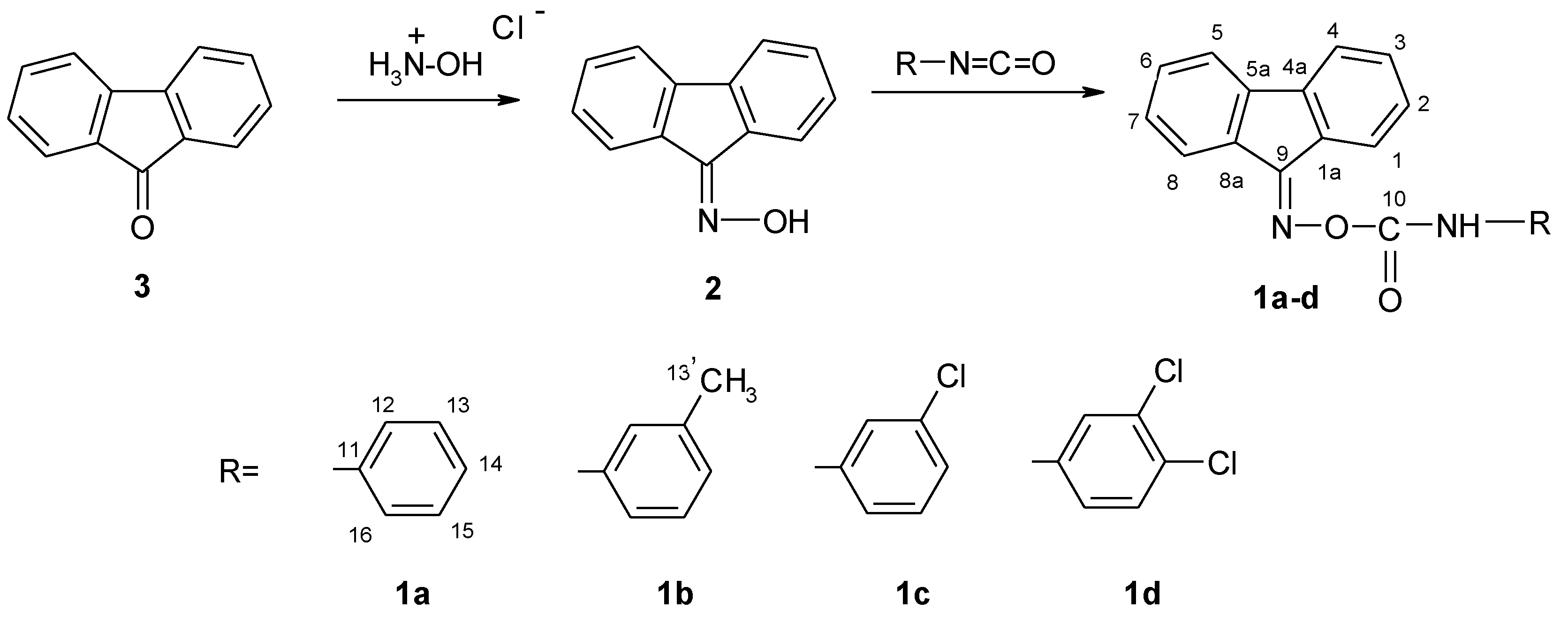
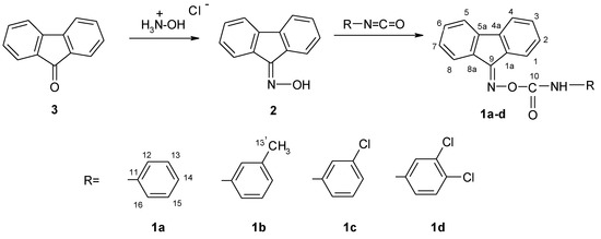
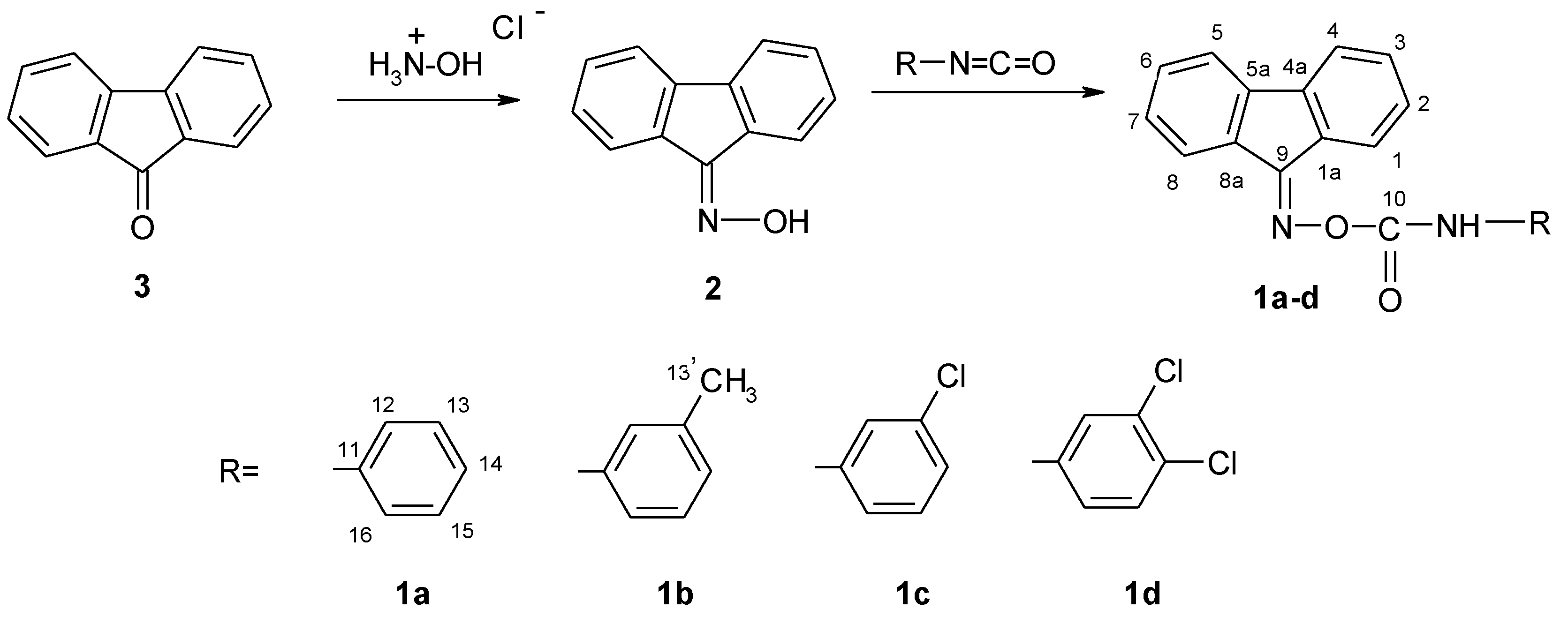
2.1. Chemistry and Spectral Data
2.2. Characterization of the Obtained Nanostructures
2.2.1. Transmission Electron Microscopy (TEM)
2.2.2. Vibrating Sample Magnetometer (VSM)
2.2.3. Fourier-Transform Infrared (FTIR) Spectroscopy
2.3. Antimicrobial and Antibiofilm Activity of the Obtained Hybrid Nanostructures Based on Magnetite Functionalized with the Compounds 1a–d
2.3.1. Antimicrobial Activity against Planktonic Microbial Cells
2.3.2. Anti-Adherence Activity of the Tested Compounds
3. Discussion
4. Materials and Methods
4.1. General Information
4.2. Chemistry
4.2.1. Synthesis Procedure of the 9H-Fluoren-9-one Oxime and Spectral Data
4.2.2. Synthesis Procedure of the 9-(Phenylcarbamoyloxymino)fluorene (1a) and Spectral Data
4.2.3. Synthesis Procedure of the 9-((3-Methyl-phenyl)carbamoyloxymino)fluorene (1b) and Spectral Data
4.2.4. Synthesis Procedure of the 9-((3-Chloro-phenyl)carbamoyloxymino)fluorene (1c) and Spectral Data
4.2.5. Synthesis Procedure of the 9-((3,4-Dichloro-phenyl)carbamoyloxymino) fluorene (1d) and Spectral Data
4.3. Synthesis of Fe3O4 Nanoparticles and of Magnetic Nanoparticles Loaded with Biologically Active Compounds
4.4. Microbiological Assays
4.4.1. Minimum Inhibitory Concentration (MIC) Assay
4.4.2. Anti-Biofilm Activity of the Tested Compounds (Minimal Biofilm Eradication Concentration -MBEC)
5. Conclusions
Supplementary Materials
Author Contributions
Funding
Institutional Review Board Statement
Informed Consent Statement
Data Availability Statement
Conflicts of Interest
Sample Availability
References
- Khamkhenshorngphanuch, T.; Kulkraisri, K.; Janjamratsaeng, A.; Plabutong, N.; Thammahong, A.; Manadee, K.; Na Pombejra, S.; Khotavivattana, T. Synthesis and Antimicrobial Activity of Novel 4-Hydroxy-2-quinolone Analogs. Molecules 2020, 25, 3059. [Google Scholar] [CrossRef]
- Mantravadi, P.K.; Kalesh, K.A.; Dobson, R.C.J.; Hudson, A.O.; Parthasarathy, A. The Quest for Novel Antimicrobial Compounds: Emerging Trends in Research, Development, and Technologies. Antibiotics 2019, 8, 8. [Google Scholar] [CrossRef]
- El-Sayed, R.; Althagafi, I.I.; Ahmed, S.A. Fluorene Derivatives with Multi-addressable Properties: Synthesis, Characterization, and Reactivity. J. Surfactants Deterg. 2017, 20, 933–945. [Google Scholar] [CrossRef]
- Thirunarayanan, G. The In-vitro Antimicrobial and Antioxidant Activities of some Diels-Alder Diaryl Methanone Adducts. J. Pharm. Appl. Chem. 2017, 3, 19–26. [Google Scholar] [CrossRef]
- Sharath, N.; Naik, H.S.B.; Vinay, K.B.; Hoskeri, H. Synthesis, Antibacterial, Molecular Docking, DNA Binding and Photonuclease Activity of Quinoline Isoxazoles. Der Pharm. Sin. 2012, 3, 254–265. [Google Scholar]
- Choi, S.R.; Larson, M.A.; Hinrichs, S.H.; Narayanasamy, P. Development of potential broad spectrum antimicrobials using C2-symmetric 9-fluorenone alkyl amine. Bioorganic Med. Chem Lett 2016, 26, 1997–1999. [Google Scholar] [CrossRef] [PubMed]
- Kushwaha, N.; Kushwaha, S.K.S. Immunomodulators as therapeutic agent. J. Drug Deliv. Ther. 2012, 2, 51–60. [Google Scholar] [CrossRef]
- Venkatesan, K.; Dhivya, S.; Rethavathi, J.; Narasimhan, S. Preparation of various Schiff’s bases of 9-fluorenone and its biological application. J. Chem. Pharm. Res. 2012, 4, 4477–4483. [Google Scholar]
- Lee, C.C.; Chang, D.M.; Huang, K.F.; Chen, C.L.; Chen, T.C.; Lo, Y.; Guh, J.H.; Huang, H.S. Design, synthesis and antiproliferative evaluation of fluorenone analogs with DNA topoisomerase I inhibitory properties. Bioorganic Med. Chem 2013, 21, 7125–7133. [Google Scholar] [CrossRef] [PubMed]
- Zhang, X.; Xu, J.-K.; Wang, J.; Wang, N.-L.; Kurihara, H.; Kitanaka, S.; Yao, X.-S. Bioactive Bibenzyl Derivatives and Fluorenones from Dendrobium nobile. J. Nat. Prod. 2007, 70, 24–28. [Google Scholar] [CrossRef] [PubMed]
- Oladimeji, O.H.; Ahmadu, A.A. Antioxidant activity of compounds isolated from Pycnanthus angolensis (WELW). Warb and Byriphylum pinnatum (LAM.) Oken. Eur. Chem. Bull. 2019, 8, 96–100. [Google Scholar] [CrossRef][Green Version]
- Georgiev, V.S.; Saeva, G.A. 2-Adamantanone Oxide Carbamate Derivatives. U.S. Patent 4,652,680, 24 March 1987. [Google Scholar]
- Upadhayaya, R.S.; Lahore, S.V.; Sayyed, A.Y.; Dixit, S.S.; Shinde, P.D.; Chattopadhyaya, J. Conformationally-constrained indeno[2,1-c]quinolines–a new class of anti-mycobacterial agents. Org. Biomol. Chem. 2010, 8, 2180–2197. [Google Scholar] [CrossRef] [PubMed]
- Durden, J.A.; Sousa, A.A. Tertiary Butyl Substituted Carbamoyl Oxime Pesticides. U.S. Patent 3,998,963, 21 December 1976. [Google Scholar]
- Ray, S.; Pathak, S.; Chaturvedi, D. Organic carbamates in drug development. Part II: Antimicrobial agents-Recent reports. Drugs Futur. 2005, 30, 161. [Google Scholar] [CrossRef]
- Pop, C.S.; Hussien, M.D.; Popa, M.; Mares, A.; Grumezescu, A.M.; Grigore, R.; Lazar, V.; Chifiriuc, M.C.; Sakizlian, M.; Bezirtzoglou, E.; et al. Metallic-based micro and nanostructures with antimicrobial activity. Curr. Top. Med. Chem. 2015, 15, 1577–1582. [Google Scholar] [CrossRef]
- Bilcu, M.; Grumezescu, A.M.; Oprea, A.E.; Popescu, R.C.; Mogoșanu, G.D.; Hristu, R.; Stanciu, G.A.; Mihai, G.A.; Lazar, V.; Bezirtzoglou, E.; et al. Efficiency of Vanilla, Patchouli and Ylang Ylang Essential Oils Stabilized by Iron Oxide@C14 Nanostructures against Bacterial Adherence and Biofilms Formed by Staphylococcus aureus and Klebsiella pneumoniae Clinical Strains. Molecules 2014, 19, 17943–17956. [Google Scholar] [CrossRef] [PubMed]
- Bolocan, A.; Mihaiescu, D.E.; Andronescu, E.; Voicu, G.; Grumezescu, A.M.; Ficai, A.; Vasile, B.Ş.; Bleotu, C.; Chifiriuc, M.C.; Pop, C.S. Biocompatible hydrodispersible magnetite nanoparticles used as antibiotic drug carriers. Rom. J. Morphol. Embryol. Rev. Roum. de Morphol. et Embryol. 2015, 56, 365–370. [Google Scholar]
- Grumezescu, A.M.; Cristescu, R.; Chifiriuc, M.C.; Dorcioman, G.; Socol, G.; Mihailescu, I.N.; Mihaiescu, D.E.; Ficai, A.; Vasile, O.R.; Enculescu, M.; et al. Fabrication of magnetite-based core–shell coated nanoparticles with antibacterial properties. Biofabrication 2015, 7, 015014. [Google Scholar] [CrossRef] [PubMed]
- Azhar, S.L.B.; Lotfipour, F. Magnetic nanoparticles for antimicrobial drug delivery. Die Pharm. 2012, 67, 817–821. [Google Scholar]
- Grumezescu, V.; Andronescu, E.; Holban, A.M.; Mogoantă, L.; Mogoşanu, G.D.; Grumezescu, A.M.; Stănculescu, A.; Socol, G.; Iordache, F.; Maniu, H.; et al. MAPLE fabrication of thin films based on kanamycin functionalized magnetite nanoparticles with anti-pathogenic properties. Appl. Surf. Sci. 2015, 336, 188–195. [Google Scholar] [CrossRef]
- Prodan, A.M.; Andronescu, E.; Trușcă, R.; Beuran, M.; Iconaru, S.L.; Barna, E.Ş.; Chifiriuc, M.C.; Marutescu, L. Anti-biofilm activity of dextran coated iron oxide nanoparticles. U.P.B. Sci. Bull. 2014, 76, 81–90. [Google Scholar]
- Ardelean, I.L.; Ficai, D.; Sonmez, M.; Oprea, O.; Nechifor, G.; Andronescu, E.; Ficai, A.; Titu, M.A.; Ioana, A.L. Hybrid Magnetic Nanostructures For Cancer Diagnosis And Therapy. Anti-Cancer Agents Med. Chem. 2019, 19, 6–16. [Google Scholar] [CrossRef] [PubMed]
- Hosseini, F.; Seyedsadjadi, M.; Farhadyar, N. Fe3O4 nanoparticles modified with APTES as the carrier for (+)-(S)-2-(6-methoxynaphthalen-2-yl) propanoic acid (Naproxen) and (RS) 2-(3-benzoylphenyl)-propionic acid (Ketoprofen) drug. Orient. J. Chem. 2014, 30, 1609–1618. [Google Scholar] [CrossRef][Green Version]
- Shen, L.-H.; Bao, J.-F.; Wang, D.; Wang, Y.-X.; Chen, Z.-W.; Ren, L.; Zhou, X.; Ke, X.-B.; Chen, M.; Yang, A.-Q. One-step synthesis of monodisperse, water-soluble ultra-small Fe3O4 nanoparticles for potential bio-application. Nanoscale 2013, 5, 2133–2141. [Google Scholar] [CrossRef] [PubMed]
- Favela-Camacho, S.E.; Pérez-Robles, J.F.; García-Casillas, P.E.; Godinez-Garcia, A. Stability of magnetite nanoparticles with different coatings in a simulated blood plasma. J. Nanoparticle Res. 2016, 18, 176. [Google Scholar] [CrossRef]
- Anghel, I.; Grumezescu, A.M.; Holban, A.M.; Ficai, A.; Anghel, A.G.; Chifiriuc, M.C. Biohybrid Nanostructured Iron Oxide Nanoparticles and Satureja hortensis to Prevent Fungal Biofilm Development. Int. J. Mol. Sci. 2013, 14, 18110–18123. [Google Scholar] [CrossRef]
- Grumezescu, A.M.; Andronescu, E.; Holban, A.M.; Ficai, A.; Ficai, D.; Voicu, G.; Grumezescu, V.; Balaure, P.C.; Chifiriuc, C.M. Water dispersible cross-linked magnetic chitosan beads for increasing the antimicrobial efficiency of aminoglycoside antibiotics. Int. J. Pharm. 2013, 454, 233–240. [Google Scholar] [CrossRef]
- Limban, C.; Chifiriuc, M.C.; Caproiu, M.T.; Dumitrascu, F.; Ferbinteanu, M.; Pintilie, L.; Stefaniu, A.; Vlad, I.M.; Bleotu, C.; Marutescu, L.G.; et al. New Substituted Benzoylthiourea Derivatives: From Design to Antimicrobial Applications. Molecules 2020, 25, 1478. [Google Scholar] [CrossRef]
- Olar, R.; Badea, M.; Maxim, C.; Grumezescu, A.M.; Bleotu, C.; Marutescu, L.; Chifiriuc, M.C. Anti-biofilm Fe3O4@C18-[1,3,4]thiadiazolo[3,2-a]pyrimidin-4-ium-2-thiolate Derivative Core-shell Nanocoatings. Materials 2020, 13, 4640. [Google Scholar] [CrossRef]











| Chemical Compound | 1a/Fe3O4@citrate@1a | 1b/Fe3O4@citrate@1b | 1c/Fe3O4@citrate@1c | 1d/Fe3O4@citrate@1d | Fe3O4@citrate | Fe3O4 | DMSO | Positive Control | |
|---|---|---|---|---|---|---|---|---|---|
| Microbial Strain | |||||||||
| Staphylococcus aureus ATCC 1026 | 2/2 | 2/2 | 4/1 *** | 0.156/0.0625 | 2 | 2 | 2 | 0.001 | |
| Escherichia coli ATCC 25922 | 2/2 | 4/1 | 4/1 | 2/1 | 2 | 2 | 2 | 0.002 | |
| Candida albicans ATCC 10231 | 2/0.5 | 4/0.5 | 4/0.5 | 4/0.5 | 1 | 1 | 1 | 0.004 | |
| Chemical Compound | 1a/Fe3O4@ citrate@1a | 1b/Fe3O4@citrate@1b | 1c/Fe3O4@citrate@1c | 1d/Fe3O4@citrate@1d | Fe3O4@citrate | Fe3O4 | DMSO | Positive Control | |
|---|---|---|---|---|---|---|---|---|---|
| Microbial Strain | |||||||||
| Staphylococcus aureus ATCC 1026 | 4/0.25 | 2/0.25 | 4/0.25 | 0.0015/0.0625 | 0.5 | 0.25 | 1 | 0.01 | |
| Escherichia coli ATCC 25922 | 0.625/1 | 0.0078/0.5 | 1/0.25 | 0.0625/0.5 | 2 | 1 | 1 | 0.2 | |
| Candida albicans ATCC 10231 | 0.312/0.25 | 0.0078/0.0625 | 0.0312/0.125 | 0.5 | 0.125 | 0.125 | 0.5 | 0.08 | |
Publisher’s Note: MDPI stays neutral with regard to jurisdictional claims in published maps and institutional affiliations. |
© 2021 by the authors. Licensee MDPI, Basel, Switzerland. This article is an open access article distributed under the terms and conditions of the Creative Commons Attribution (CC BY) license (https://creativecommons.org/licenses/by/4.0/).
Share and Cite
Vlad, I.M.; Nuță, D.C.; Ancuceanu, R.V.; Caproiou, M.T.; Dumitrascu, F.; Marinas, I.C.; Chifiriuc, M.C.; Măruţescu, L.G.; Zarafu, I.; Papacocea, I.R.; et al. New O-Aryl-Carbamoyl-Oxymino-Fluorene Derivatives with MI-Crobicidal and Antibiofilm Activity Enhanced by Combination with Iron Oxide Nanoparticles. Molecules 2021, 26, 3002. https://doi.org/10.3390/molecules26103002
Vlad IM, Nuță DC, Ancuceanu RV, Caproiou MT, Dumitrascu F, Marinas IC, Chifiriuc MC, Măruţescu LG, Zarafu I, Papacocea IR, et al. New O-Aryl-Carbamoyl-Oxymino-Fluorene Derivatives with MI-Crobicidal and Antibiofilm Activity Enhanced by Combination with Iron Oxide Nanoparticles. Molecules. 2021; 26(10):3002. https://doi.org/10.3390/molecules26103002
Chicago/Turabian StyleVlad, Ilinca Margareta, Diana Camelia Nuță, Robert Viorel Ancuceanu, Miron Teodor Caproiou, Florea Dumitrascu, Ioana Cristina Marinas, Mariana Carmen Chifiriuc, Luminita Gabriela Măruţescu, Irina Zarafu, Ioana Raluca Papacocea, and et al. 2021. "New O-Aryl-Carbamoyl-Oxymino-Fluorene Derivatives with MI-Crobicidal and Antibiofilm Activity Enhanced by Combination with Iron Oxide Nanoparticles" Molecules 26, no. 10: 3002. https://doi.org/10.3390/molecules26103002
APA StyleVlad, I. M., Nuță, D. C., Ancuceanu, R. V., Caproiou, M. T., Dumitrascu, F., Marinas, I. C., Chifiriuc, M. C., Măruţescu, L. G., Zarafu, I., Papacocea, I. R., Vasile, B. Ș., Nicoară, A. I., Ilie, C.-I., Ficai, A., & Limban, C. (2021). New O-Aryl-Carbamoyl-Oxymino-Fluorene Derivatives with MI-Crobicidal and Antibiofilm Activity Enhanced by Combination with Iron Oxide Nanoparticles. Molecules, 26(10), 3002. https://doi.org/10.3390/molecules26103002

