Gastroprotective Effect of Juanislamin on Ethanol-Induced Gastric Lesions in Rats: Role of Prostaglandins, Nitric Oxide and Sulfhydryl Groups in the Mechanism of Action
Abstract
1. Introduction
2. Results
2.1. Ethanol-Induced Gastric Lesions
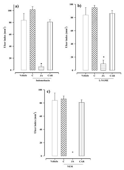
2.2. Participation of Prostaglandins, Nitric Oxide and Sulfhydryl Groups in the Mechanism Action of Juanislamin
3. Discussion
4. Materials and Methods
4.1. Animals
4.2. Drugs
4.3. Isolation of Juanislamin
4.4. Ethanol-Induced Gastric Lesions
4.5. Testing for the Participation of Prostaglandins
4.6. Testing for the Participation of Nitric Oxide
4.7. Testing for the Participation of Sulfhydryl Groups
4.8. Statistical Analysis
5. Conclusions
Author Contributions
Funding
Conflicts of Interest
Abbreviations
| NEM | N-Ethylmaleimide |
| L-NAME | NG-Nitro-l-arginine methyl ester hydrochloride |
| NSAIDs | Non-steroidal anti-inflammatory drugs |
| SEM | Standard error of the mean |
| Nrf2 | Nuclear factor (erythroid-derived 2)-like 2 |
References
- Ramakrishnan, K.; Salinas, R.C. Peptic ulcer disease. Am. Fam. Physician. 2007, 76, 1005–1012. [Google Scholar]
- Abdel-Salam, O.M.; Czimmer, J.; Debreceni, A.; Szolcsányi, J.; Mózsik, G. Gastric mucosal integrity: Gastric mucosal blood flow and microcirculation. An overview. J. Physiol. Paris. 2001, 95, 105–127. [Google Scholar] [CrossRef]
- Chow, D.K.; Sung, J.J. Non-NSAID non-H. pylori ulcer disease. Best Pract Res. Clin. Gastroenterol. 2009, 23, 3–9. [Google Scholar] [CrossRef]
- Sharifi-Rad, M.; Fokou, P.V.T.; Sharopov, F.; Martorell, M.; Ademiluyi, A.O.; Rajkovic, J.; Salehi, B.; Martins, N.; Iriti, M.; Sharifi-Rad, J. Antiulcer Agents: From Plant Extracts to Phytochemicals in Healing Promotion. Molecules 2018, 23, 1751. [Google Scholar] [CrossRef] [PubMed]
- Shah, N.H.; LePendu, P.; Bauer-Mehren, A.; Ghebremariam, Y.T.; Iyer, S.V.; Marcus, J.; Nead, K.T.; Cooke, J.P.; Leeper, N.J. Proton pump inhibitor usage and the risk of myocardial infarction in the general population. PLoS ONE 2015, 10, e0124653. [Google Scholar] [CrossRef] [PubMed]
- Peng, Y.C.; Lin, C.L.; Hsu, W.Y.; Lu, I.T.; Yeh, H.Z.; Chang, C.S.; Kao, C.H. Proton pump inhibitor use is associated with risk of pancreatic cancer: A Nested Case-Control Study. Dose-Response. 2018, 16, 1559325818803283. [Google Scholar] [CrossRef] [PubMed]
- García-Martínez, L.E.; Sánchez-Mendoza, M.E.; Arrieta-Baez, D.; Cruz-Antonio, L.; Mejía-Barradas, C.M.; Soto-Perulero, C.R.; Arrieta, J. Gastroprotection of 2,3-epoxyjuanislamin, isolated from Calea urticifolia, against ethanol-induced gastric lesions in Wistar rats. Int. J. Pharmacol. 2016, 12, 893–900. [Google Scholar]
- Sánchez-Mendoza, M.E.; López-Lorenzo, Y.; Matus-Meza, A.S.; Arrieta, J. Gastroprotective effect of calealactone B: Lack of involvement of prostaglandins, nitric oxide and sulfhydryls. Drug. Dev. Res. 2018, 79, 11–15. [Google Scholar] [CrossRef]
- Sánchez-Mendoza, M.E.; López-Lorenzo, Y.; Cruz-Antonio, L.; Matus-Meza, A.S.; Sánchez- Mendoza, Y.; Arrieta, J. Gastroprotection of Calein D against Ethanol-Induced Gastric Lesions in Mice: Role of Prostaglandins, Nitric Oxide and Sulfhydryls. Molecules 2019, 24, 622. [Google Scholar] [CrossRef] [PubMed]
- Navarrete, A.; Arrieta, J.; Terrones, L.; Abou-Gazar, H.; Calis, I. Gastroprotective effect of Astragaloside IV: Role of prostaglandins, sulfhydryls and nitric oxide. J. Pharm. Pharmacol. 2005, 57, 1059–1064. [Google Scholar] [CrossRef]
- Vera-Arzave, C.; Antonio, L.C.; Arrieta, J.; Cruz-Hernández, G.; Velasquez-Mendez, A.M.; Reyes- Ramírez, A.; Sánchez-Mendoza, M.E. Gastroprotection of suaveolol, isolated from Hyptis suaveolens, against ethanol-induced gastric lesions in Wistar rats: Role of prostaglandins, nitric oxide and sulfhydryls. Molecules 2012, 17, 8917–8927. [Google Scholar] [CrossRef] [PubMed]
- Vidal, C.S.; Oliveira Brito Pereira Bezerra Martins, A.; de Alencar Silva, A.; de Oliveira, M.R.C.; Ribeiro-Filho, J.; de Albuquerque, T.R.; Coutinho, H.D.M.; da Silva Almeida, J.R.G.; Quintans, L.J., Jr.; de Menezes, I.R.A. Gastroprotective effect and mechanism of action of Croton rhamnifolioides essential oil in mice. Biomed. Pharmacother. 2017, 89, 47–55. [Google Scholar] [CrossRef] [PubMed]
- Awaad, A.S.; El-Meligy, R.M.; Soliman, G.A. Natural products in treatment of ulcerative colitis and peptic ulcer. J. Saudi.Chem. Socy. 2013, 17, 101–124. [Google Scholar] [CrossRef]
- La Casa, C.; Villegas, I.; Alarcón de la Lastra, C.; Motilva, V.; Martín Calero, M.J. Evidence for protective and antioxidant properties of rutin, a natural flavone, against ethanol induced gastric lesions. J. Ethnopharmacol. 2000, 71, 45–53. [Google Scholar] [CrossRef]
- Hawkey, C.J.; Rampton, D.S. Prostaglandins and the gastrointestinal mucosa: Are they important in its function, disease, or treatment? Gastroenterology 1985, 89, 1162–1188. [Google Scholar] [CrossRef]
- Kwiecien, S.; Pawlik, M.W.; Brzozowski, T.; Konturek, P.C.; Sliwowski, Z.; Pawlik, W.W.; Konturek, S.J. Nitric oxide (NO)-releasing aspirin and (NO) donors in protection of gastric mucosa against stress. J. Physiol. Pharmacol. 2008, 59 (Suppl. 2), 103–115. [Google Scholar]
- Rozza, A.L.; de Mello Moraes, T.; Kushima, H.; Nunes, D.S.; Hiruma-Lima, C.A.; Pellizzon, C.H. Involvement of glutathione, sulfhydryl compounds, nitric oxide, vasoactive intestinal peptide, and heat-shock protein-70 in the gastroprotective mechanism of Croton cajucara Benth. (Euphorbiaceae) essential oil. J. Med. Food. 2011, 14, 1011–1017. [Google Scholar] [CrossRef]
- Umemura, K.; Itoh, T.; Hamada, N.; Fujita, Y.; Akao, Y.; Nozawa, Y.; Matsuura, N.; Iinuma, M.; Ito, M. Preconditioning by sesquiterpene lactone enhances H2O2-induced Nrf2/ARE activation. Biochem. Biophys. Res. Commun. 2008, 368, 948–954. [Google Scholar] [CrossRef]
- Mejia, A.; Kraft, W.K. Acid peptic diseases: Pharmacological approach to treatment. Expert. Rev. Clin. Pharmacol. 2009, 2, 295–314. [Google Scholar] [CrossRef]
- Yamada, M.; Matsuura, N.; Suzuki, H.; Kurosaka, C.; Hasegawa, N.; Ubukata, M.; Tanaka, T.; Iinuma, M. Germacranolides from Calea urticifolia. Phytochemistry 2004, 65, 3107–3111. [Google Scholar] [CrossRef]
- Rojas-Martínez, R.; Arrieta, J.; Cruz-Antonio, L.; Arrieta-Baez, D.; Velázquez-Méndez, A.M.; Sánchez-Mendoza, M.E. Dillapiole, isolated from Peperomia pellucida, shows gastroprotector activity against ethanol-induced gastric lesions in Wistar rats. Molecules 2013, 18, 11327–11337. [Google Scholar] [CrossRef] [PubMed]
Sample Availability: Samples of the compound juanislamin are available from the authors upon request. |




© 2020 by the authors. Licensee MDPI, Basel, Switzerland. This article is an open access article distributed under the terms and conditions of the Creative Commons Attribution (CC BY) license (http://creativecommons.org/licenses/by/4.0/).
Share and Cite
Sánchez-Mendoza, M.E.; López-Lorenzo, Y.; Cruz-Antonio, L.; Cruz-Oseguera, A.; García-Machorro, J.; Arrieta, J. Gastroprotective Effect of Juanislamin on Ethanol-Induced Gastric Lesions in Rats: Role of Prostaglandins, Nitric Oxide and Sulfhydryl Groups in the Mechanism of Action. Molecules 2020, 25, 2246. https://doi.org/10.3390/molecules25092246
Sánchez-Mendoza ME, López-Lorenzo Y, Cruz-Antonio L, Cruz-Oseguera A, García-Machorro J, Arrieta J. Gastroprotective Effect of Juanislamin on Ethanol-Induced Gastric Lesions in Rats: Role of Prostaglandins, Nitric Oxide and Sulfhydryl Groups in the Mechanism of Action. Molecules. 2020; 25(9):2246. https://doi.org/10.3390/molecules25092246
Chicago/Turabian StyleSánchez-Mendoza, María Elena, Yaraset López-Lorenzo, Leticia Cruz-Antonio, Arturo Cruz-Oseguera, Jazmín García-Machorro, and Jesús Arrieta. 2020. "Gastroprotective Effect of Juanislamin on Ethanol-Induced Gastric Lesions in Rats: Role of Prostaglandins, Nitric Oxide and Sulfhydryl Groups in the Mechanism of Action" Molecules 25, no. 9: 2246. https://doi.org/10.3390/molecules25092246
APA StyleSánchez-Mendoza, M. E., López-Lorenzo, Y., Cruz-Antonio, L., Cruz-Oseguera, A., García-Machorro, J., & Arrieta, J. (2020). Gastroprotective Effect of Juanislamin on Ethanol-Induced Gastric Lesions in Rats: Role of Prostaglandins, Nitric Oxide and Sulfhydryl Groups in the Mechanism of Action. Molecules, 25(9), 2246. https://doi.org/10.3390/molecules25092246

