Phase Transformations and Photocatalytic Activity of Nanostructured Y2O3/TiO2-Y2TiO5 Ceramic Such as Doped with Carbon Nanotubes
Abstract
:1. Introduction
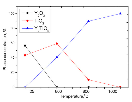
2. Results and Discussion
3. Experimental Part
4. Conclusions
Author Contributions
Funding
Conflicts of Interest
References
- Vaidyanathan, S.; Wolf, E.; Kamat, P.V. Semiconductor−Metal composite nanostructures. To what extent do metal nanoparticles improve the photocatalytic activity of TiO2 films? J. Phys. Chem. B 2001, 105, 11439–11446. [Google Scholar]
- Yuan, X.; Dragoe, D.; Beaunier, P.; Uribe, D.B.; Ramos, L.; Méndez-Medrano, M.G.; Remita, H. Polypyrrole nanostructures modified with mono-and bimetallic nanoparticles for photocatalytic H2 generation. J. Mater. Chem. A 2020, 8, 268–277. [Google Scholar] [CrossRef]
- Guo, S.; Hu, Z.; Zhen, M.; Gu, B.; Shen, B.; Dong, F. Insights for optimum cation defects in photocatalysis: A case study of hematite nanostructures. Appl. Catal. B Environ. 2020, 264, 118506. [Google Scholar] [CrossRef]
- Reddy, K.R. Nanocarbons-Supported and Polymers-Supported Titanium Dioxide Nanostructures as Efficient Photocatalysts for Remediation of Contaminated Wastewater and Hydrogen Production. In Nanophotocatalysis and Environmental Applications; Springer: Berlin/Heidelberg, Germany, 2020. [Google Scholar]
- Kozlovskiy, A.L.; Kenzhina, I.E.; Zdorovets, M.V.; Saiymova, M.; Tishkevich, D.I.; Trukhanov, S.V.; Trukhanov, A.V. Synthesis, phase composition and structural and conductive properties of ferroelectric microparticles based on ATiOx (A = Ba, Ca, Sr). Ceram. Int. 2019, 4514, 17236–17242. [Google Scholar] [CrossRef]
- Khan, B.; Raziq, F.; Faheem, M.B.; Farooq, M.U.; Hussain, S.; Ali, F.; Ullah, A.; Mavlonov, A.; Zhao, Y.; Liu, Z.; et al. Electronic and nanostructure engineering of bifunctional MoS2 towards exceptional visible-light photocatalytic CO2 reduction and pollutant degradation. J. Hazard. Mater. 2020, 381, 120972. [Google Scholar] [CrossRef] [PubMed]
- Kozlovskiy, A.; Shlimas, I.; Dukenbayev, K.; Zdorovets, M. Structure and corrosion properties of thin TiO2 films obtained by magnetron sputtering. Vacuum 2019, 164, 224–232. [Google Scholar] [CrossRef]
- Peña-Bahamonde, J.; Wu, C.; Fanourakis, S.K.; Louie, S.M.; Bao, J.; Rodrigues, D.F. Oxidation state of Mo affects dissolution and visible-light photocatalytic activity of MoO3 nanostructures. J. Catal. 2020, 381, 508–519. [Google Scholar] [CrossRef]
- Sakthivel, T.; Huang, X.; Wu, Y.; Rtimi, S. Recent progress in black phosphorus nanostructures as environmental photocatalysts. Chem. Eng. J. 2020, 379, 122297. [Google Scholar] [CrossRef]
- Moshoeu, D.E.; Sanni, S.O.; Oseghe, E.O.; Msagati, T.A.M.; Mamba, B.B.; Ofomaja, A.E. Morphological Influence of TiO2 Nanostructures on Charge Transfer and Tetracycline Degradation Under LED Light. ChemistrySelect 2020, 5, 1037–1040. [Google Scholar] [CrossRef]
- Kozlovskiy, A.; Kenzhina, I.; Zdorovets, M. Synthesis, phase composition and magnetic properties of double perovskites of A (FeM) O4-x type (A = Ce; M = Ti). Ceram. Int. 2019, 45, 8669–8676. [Google Scholar] [CrossRef]
- Bartosewicz, B.; Liszewska, M.; Budner, B.; Michalska-Domańska, M.; Kopczyński, K.; Jankiewicz, B.J. Fabrication of Ag-modified hollow titania spheres via controlled silver diffusion in Ag–TiO2 core–shell nanostructures. Beilstein J. Nanotechnol. 2020, 11, 141–146. [Google Scholar] [CrossRef] [PubMed]
- Yun, J.-H.; Lyu, M.; Ahmed, R.; Triani, G. Desirable TiO2 compact films for nanostructured hybrid solar cells. Mater. Technol. 2020, 35, 31–38. [Google Scholar] [CrossRef]
- Ravikumar, C.H.; Sakar, M.; Mahto, A.; Nanjundaiah, R.T.; Thippeswamy, R.; Teixeira, S.R.; Balakrishna, R.G. Observation of oxo-bridged yttrium in TiO2 nanostructures and their enhanced photocatalytic hydrogen generation under UV/Visible light irradiations. Mater. Res. Bull. 2018, 104, 212–219. [Google Scholar] [CrossRef]
- Pinna, N.; Garnweitner, G.; Beato, P.; Niederberger, M.; Antonietti, M. Synthesis of Yttria-Based Crystalline and Lamellar Nanostructures and their Formation Mechanism. Small 2005, 1, 112–121. [Google Scholar] [CrossRef] [PubMed]
- Masuda, Y.; Masao, Y.; Kunihito, K. Site-selective deposition and micropatterning of visible-light-emitting europium-doped yttrium oxide thin film on self-assembled monolayers. Chem. Mater. 2007, 19, 1002–1008. [Google Scholar] [CrossRef]
- Di Valentin, C.; Pacchioni, G.; Selloni, A.; Livraghi, S.; Giamello, E. Characterization of paramagnetic species in N-doped TiO2 powders by EPR spectroscopy and DFT calculations. J. Phys. Chem. B 2005, 109, 11414–11419. [Google Scholar] [CrossRef]
- Wu, G.; Nishikawa, T.; Ohtani, B.; Chen, A. Synthesis and characterization of carbon-doped TiO2 nanostructures with enhanced visible light response. Chem. Mater. 2007, 19, 4530–4537. [Google Scholar] [CrossRef]
- Enyashin, A.N.; Gotthard, S. Structure, stability and electronic properties of TiO2 nanostructures. Phys. Status Solidi 2005, 242, 1361–1370. [Google Scholar] [CrossRef]
- Fan, W.; Gao, L.; Sun, J. Anatase TiO2-coated multi-wall carbon nanotubes with the vapor phase method. J. Am. Ceram. Soc. 2006, 89, 731–733. [Google Scholar] [CrossRef]
- Xu, B.; Luo, Y.; Liu, T.; Zhang, Q.; Lin, Y.-H.; Nan, C.-W.; Shen, Y.; Chen, R.; Xu, H.; Li, J. Ultrathin N-doped carbon-coated TiO2 coaxial nanofibers as anodes for lithium ion batteries. J. Am. Ceram. Soc. 2017, 100, 2939–2947. [Google Scholar] [CrossRef]
- Yan, X.-B.; Beng Kang, T.; Yang, Y. Dispersing and functionalizing multiwalled carbon nanotubes in TiO2 sol. J. Phys. Chem. B 2006, 110, 25844–25849. [Google Scholar] [CrossRef] [PubMed]
- Zhao, Y.; Huang, G.; An, C.; Huang, J.; Xin, X.; Chen, X.; Hong, Y.; Song, P. Removal of Escherichia Coli from water using functionalized porous ceramic disk filter coated with Fe/TiO2 nano-composites. J. Water Process Eng. 2020, 33, 101013. [Google Scholar] [CrossRef]
- Zdorovets, M.V.; Kozlovskiy, A.L. Study of the effect of La3+ doping on the properties of ceramics based on BaTiOx. Vacuum 2019, 168, 108838. [Google Scholar] [CrossRef]
- Berger, T.E.; Regmi, C.; Schäfer, A.I.; Richards, B.S. Photocatalytic degradation of organic dye via atomic layer deposited TiO2–ceramic membranes in single-pass flow-through operation. J. Membr. Sci. 2020, 605, 118015. [Google Scholar] [CrossRef]
- Medda, S.K.; Srikrishna, M.; Goutam, D. Photocatalytic Evaluation of Anatase TiO2 Coating on Ceramic Tiles by Raman Spectroscopy. Trans. Indian Ceram. Soc. 2020, 79, 1–5. [Google Scholar] [CrossRef]
- Ghosh, R.; Sahu, R.P.; Ganguly, R.; Zhitomirsky, I.; Puri, I.K. Photocatalytic activity of electrophoretically deposited TiO2 and ZnO nanoparticles on fog harvesting meshes. Ceram. Int. 2020, 46, 3777–3785. [Google Scholar] [CrossRef]
- Korošec, R.C.; Miljević, B.; Umek, P.; van der Bergh, J.M.; Vučetić, S.; Ranogajec, J. Photocatalytic self-cleaning properties of Mo: TiO2 loaded Zn–Al layered double hydroxide synthesised at optimised pH value for the application on mineral substrates. Ceram. Int. 2020, 46, 6756–6766. [Google Scholar] [CrossRef]
- Yang, Y.; Lu, C.; Ren, J.; Li, X.; Ma, Y.; Huang, W.; Zhao, X. Enhanced photocatalytic hydrogen evolution over TiO2/g-C3N4 2D heterojunction coupled with plasmon Ag nanoparticles. Ceram. Int. 2020, 46, 5725–5732. [Google Scholar] [CrossRef]
- Malakootian, M.; Alireza, N.; Majid Amiri, G. Photocatalytic degradation of ciprofloxacin antibiotic by TiO2 nanoparticles immobilized on a glass plate. Chem. Eng. Commun. 2020, 207, 56–72. [Google Scholar] [CrossRef]
- Wu, Y.; Zhang, Q.; Yin, X.; Cheng, H. Template-free synthesis of mesoporous anatase yttrium-doped TiO 2 nanosheet-array films from waste tricolor fluorescent powder with high photocatalytic activity. RSC Adv. 2013, 3, 9670–9676. [Google Scholar] [CrossRef]
- Wang, Y.; Kecheng, L.U.; Changgen, F.E.N.G. Photocatalytic degradation of methyl orange by polyoxometalates supported on yttrium-doped TiO2. J. Rare Earths 2011, 29, 866–871. [Google Scholar] [CrossRef]
- Niu, X.; Li, S.; Chu, H.; Zhou, J. Preparation, characterization of Y3+-doped TiO2 nanoparticles and their photocatalytic activities for methyl orange degradation. J. Rare Earths 2011, 29, 225–229. [Google Scholar] [CrossRef]
- Grabis, J.; Jankoviča, D.; Sipola, I. Degradation of methylene blue under UV and visible light illumination by yttria doped titania nanoparticles. IOP Conf. Ser. Mater. Sci. Eng. 2019, 613, 012032. [Google Scholar] [CrossRef]
- Jiang, X.; Gao, Y.; Li, C.; You, F.; Yao, J.; Ji, Y.; Zhang, Y.; Yao, C. Preparation of hollow yttrium-doped TiO2 microspheres with enhanced visible-light photocatalytic activity. Mater. Res. Express 2019, 6, 065510. [Google Scholar] [CrossRef]
- Štengl, V.; Snejana, B.; Nataliya, M. Preparation and photocatalytic activity of rare earth doped TiO2 nanoparticles. Mater. Chem. Phys. 2009, 114, 217–226. [Google Scholar] [CrossRef]
- Jing, J.; Sun, X.; Xin, B.; Wang, B.; Cai, W.; Fu, H. The preparation and characterization of La doped TiO2 nanoparticles and their photocatalytic activity. J. f Solid State Chem. 2004, 177, 3375–3382. [Google Scholar]
- Akhavan, O.; Azimirad, R.; Safa, S.; Larijani, M.M. Visible light photo-induced antibacterial activity of CNT–doped TiO2 thin films with various CNT contents. J. Mater. Chem. 2010, 20, 7386–7392. [Google Scholar] [CrossRef]
- Lee, W.J. Biomineralized N-doped CNT/TiO2 core/shell nanowires for visible light photocatalysis. ACS Nano 2012, 6, 935–943. [Google Scholar] [CrossRef]
- Phang, S.W.; Tadokoro, M.; Watanabe, J.; Kuramoto, N. Synthesis, characterization and microwave absorption property of doped polyaniline nanocomposites containing TiO2 nanoparticles and carbon nanotubes. Synth. Metals 2008, 158, 251–258. [Google Scholar] [CrossRef]
- Shaari, N.; Tan, S.H.; Mohamed, A.R. Synthesis and characterization of CNT/Ce-TiO2 nanocomposite for phenol degradation. J. Rare Earths 2012, 30, 651–658. [Google Scholar] [CrossRef]
Sample Availability: Samples of the compounds Sigma Aldrich are available from the authors. |






| Annealing Temperature | Elemental Content, at % | |||
|---|---|---|---|---|
| Oxygen (O) | Titanium (Ti) | Yttrium (Y) | Carbon (С) | |
| Initial sample | 52 ± 6 * | 15 ± 2 | 14 ± 1 | 19± 2 |
| 600 °C | 52 ± 5 | 17 ± 1 | 14 ± 2 | 17 ± 2 |
| 800 °C | 66 ± 6 | 18 ± 1 | 6 ± 1 | 10± 1 |
| 1000 °C | 60 ± 7 | 23 ± 1 | 5 ± 1 | 12 ± 2 |
| Sample | Phase, Space Group | Lattice Parameter, Å | Crystalline Size, nm |
|---|---|---|---|
| Initial | Y2O3—Monoclinic C2/m(12) | a = 14.150 ± 0.012, b = 3.521 ± 0.009 *, c = 8.721 ± 0.005, beta = 99.91° V = 428.01 Å3 | 45 ± 2 ** |
| TiO2—Tetragonal I41/amd(141) | a = 3.750 ± 0.014, c = 9.421 ± 0.009 V = 132.45 Å3 | 41 ± 4 | |
| 600 °C | Y2TiO5—Orthorhombic Pnam(62) | a = 10.311 ± 0.009, b = 11.144 ± 0.005, c = 3.681 ± 0.011, V = 422.95 Å3 | 10 ± 2 |
| TiO2—Tetragonal I41/amd(141) | a = 3.712 ± 0.013, c = 9.515 ± 0.013 V = 131.11 Å3 | 32 ± 2 | |
| 800 °C | Y2TiO5—Orthorhombic Pnam(62) | a = 10.252 ± 0.011, b = 11.080 ± 0.009, c = 3.656 ± 0.006, V = 415.29 Å3 | 20 ± 3 |
| TiO2—Tetragonal I41/amd(141) | a = 3.701 ± 0.009, c = 9.487 ± 0.004 V = 129.96 Å3 | 30 ± 2 | |
| 1000 °C | Y2TiO5—Orthorhombic Pnam(62) | a = 10.150 ± 0.011, b = 11.057 ± 0.009, c = 3.632 ± 0.007, V = 407.59 Å3 | 40 ± 3 |
| Structure Type | Reaction Type | Summary of the Results | References |
|---|---|---|---|
| Yttrium-doped TiO2 nanosheet-array films | Photocatalytic degradation of MO aqueous solution under the simulated solar light irradiation | It was established that Y–TiO2 films with a dopant content of 2.5 and 5 wt % showed the highest photocatalytic activity with a decrease in the dye concentration of more than 80% after 6 h of the reaction. | [31] |
| HPW-Y-TiO2 composites | Degradation kinetics of methyl orange under UV ligh | Dependences between the concentration of dopant and various conditions for conducting photocatalytic reactions are established. It is also shown that doping leads to a sharp increase in the rate of photocatalytic degradation. | [32] |
| Y3+-doped TiO2 nanoparticles | Degradation kinetics of methyl orange under UV light | It was found that doping with yttrium (1.5 mol %) And subsequent thermal annealing lead to an increase in the photodegradation rate and degree of decomposition to 99.8% under the influence of UV radiation for very short time periods. | [33] |
| TiO2 and TiO2/Y2O3 nanoparticles were prepared by sol-gel method | Degradation of methylene blue under UV and visible light illumination | Structures in which the concentration of doped Y2O3 was 0.8–1.0 wt %, as well as a mixture of titanium oxide phases: rutile and anatase, have the highest photocatalytic activity. It was shown that the presence of multiphase in the structure plays a double role in the photocatalytic activity of structures. | [34] |
| Yttrium-doped TiO2 microspheres | Photocatalytic activity was evaluated by measuring the degradation rate of methyl orange (MO) solution under visible irradiation | It has been shown that structures in which the doping concentration of yttrium is not more than 1–1.5%, the photodegradation value is 0.3–0.4, and the photodegradation time is more than 300 min have the highest photoactivity. | [35] |
| Rare earth doped TiO2 nanoparticles | Photocatalytic activity was evaluated by the photocatalytic decomposition of Orange II dye in an aqueous solution | It was established that doping with rare-earth elements (0.5–1 wt %) leads to a significant increase in photoactivity, which is associated with the separation of charge carriers. In this case, the structures doped with Nd showed the highest photoactivity. | [36] |
| La doped TiO2 | Photocatalytic phenol decomposition | It was shown that for annealed structures above 500–600 °C, a decrease in the photocatalytic degradation of phenol is observed, which is 0.8–0.83 for structures obtained by annealing at 500–600°C and 0.85–0.87 for structures obtained at 800 °C. | [37] |
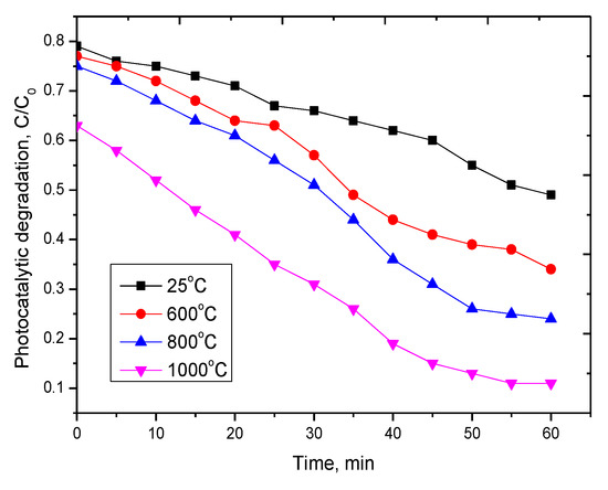
| Nanostructured ceramics Y2O3/TiO2-Y2TiO5 doped CNTs | Decomposition of methyl orange in an aqueous solution with a given initial concentration of 25 mg/L | It was found that for annealed structures, the degree of decomposition of methyl orange is much higher than for the initial structures. The decrease in С/С0 concentration for annealed structures is in the range of 0.1–0.4. | This work |
© 2020 by the authors. Licensee MDPI, Basel, Switzerland. This article is an open access article distributed under the terms and conditions of the Creative Commons Attribution (CC BY) license (http://creativecommons.org/licenses/by/4.0/).
Share and Cite
Kozlovskiy, A.L.; Zhumatayeva, I.Z.; Mustahieva, D.; Zdorovets, M.V. Phase Transformations and Photocatalytic Activity of Nanostructured Y2O3/TiO2-Y2TiO5 Ceramic Such as Doped with Carbon Nanotubes. Molecules 2020, 25, 1943. https://doi.org/10.3390/molecules25081943
Kozlovskiy AL, Zhumatayeva IZ, Mustahieva D, Zdorovets MV. Phase Transformations and Photocatalytic Activity of Nanostructured Y2O3/TiO2-Y2TiO5 Ceramic Such as Doped with Carbon Nanotubes. Molecules. 2020; 25(8):1943. https://doi.org/10.3390/molecules25081943
Chicago/Turabian StyleKozlovskiy, Artem L., Inesh Z. Zhumatayeva, Dina Mustahieva, and Maxim V. Zdorovets. 2020. "Phase Transformations and Photocatalytic Activity of Nanostructured Y2O3/TiO2-Y2TiO5 Ceramic Such as Doped with Carbon Nanotubes" Molecules 25, no. 8: 1943. https://doi.org/10.3390/molecules25081943
APA StyleKozlovskiy, A. L., Zhumatayeva, I. Z., Mustahieva, D., & Zdorovets, M. V. (2020). Phase Transformations and Photocatalytic Activity of Nanostructured Y2O3/TiO2-Y2TiO5 Ceramic Such as Doped with Carbon Nanotubes. Molecules, 25(8), 1943. https://doi.org/10.3390/molecules25081943

