Abstract
Thermal enhancement and irreversible phenomena in colloidal suspension (Al2O3-H2O) is a potential topic of interest from the aspects of industrial, mechanical and thermal engineering; heat exchangers; coolant car radiators; and bio-medical, chemical and civil engineering. In the light of these applications, a colloidal analysis of Al2O3-H2O was made. Therefore, a colloidal model is considered and treated numerically. The significant influences of multiple parameters on thermal enhancement, entropy generation and Bejan parameter are examined. From the presented colloidal model, it is explored that Al2O3-H2O is better for the applications of mechanical and applied thermal engineering. Moreover, fraction factor tiny particles are significant parameters which enhanced the thermal capability of the Al2O3-H2O suspension.
1. Introduction
The heat-transfer inspection in nanofluids gained much interest from the researchers, engineers, industrialist and scientists. Nanofluids have potential heat-transfer characteristics that make them superior to regular liquids, and researchers, engineers and scientists prefer the applications of nanofluids for industrial and technological zones. When the regular liquids are used in the aforementioned areas, these fluids fail to accomplish the production processes for many industrial items which need large heat transfer. Therefore, in such a scenario, the nanofluids are reliable fluids to use that provide the required heat to accomplish the production of different items in the industries. Nanofluids are a potential field of interest, and the researchers focused their attention on the uses of these rich heat-transfer fluids in different areas and in daily life, as well. These fluids are positively used in coolant car radiators, medical sciences, drugs, electronics, the production of computer chips, civil engineering, biotechnology, electrical engineering and in many other industries.
It is a fact that the heat transportation in the conventional liquids can be enhanced by adding the tiny (nano-sized) particles of various metals (Cu, Ag), carbon nanotubes (multi-wall carbon nanotubes (MWCNTs) and single-wall carbon nanotubes (SWCNTs)), ferromagnetic (Fe3O4) and oxides of different metals (γAl2O3, CuO, Al2O3) in the conventional, such that aforementioned nanoparticles and conventional liquid are thermally in equilibrium. The reason for the high heat-transfer characteristics of nanofluids is the thermal conductivity that made these fluids superior from regular liquids (water, engine oil, ethylene glycol EG, kerosene oil, etc.). The large thermal conductivity of the aforementioned metals and their oxides enhances the thermal conductivity of the resultant mixture that is called nanofluid. Therefore, the nanofluids comprising the high thermal-conductivity characteristics have high heat-transfer characteristics and are better for industrial and technological purposes.
Recently, Bhatti et al. [1] reported the influences of multiple parameters in the flow regimes for radiative-ferromagnetic-material-based nanofluid. The study carried out for porous stretchable sheet with cross diffusion gradients. The study of radiative Jeffery nanofluid by incorporating the effects of chemical reaction and cross diffusion effects in the existence of ohmic heating for non-Newtonian fluid was examined in [2,3], respectively. The role of numerous heat-transport mechanisms on thermal conductivity of the colloidal fluids is presented in [4]. The study of several flow parameters on the behavior of entropy generation for carbon nanotubes (CNTs) nanofluid between rotating disks is discussed in [5].
By considering the thermal conductivity as an important ingredient in the nanofluids’ heat-transfer phenomena, scientists and researchers focused to develop the theoretical correlations for nanofluids and suggested many thermal conductivity models, by incorporating different factors like temperature, diameter of the nanoparticles, molecular diameter and volume fraction factor of the tiny particles, etc. A thermal conductivity model for different shapes of the nanoparticles (platelets, cylinders, spherical, blades and bricks) was developed by Hamilton [6]. The parameter n is adjusted in the model that leads to different shapes for distinct values. A particular thermal conductivity correlation is achieved by using the temperature influences developed by Kleinstreuer and Koo [7,8]. Bruggemann [9] proposed a thermal conductivity relation particularly for spherical type tiny particles at high volume fraction factor. Li and Peterson [10] developed particular thermal conductivity relation which works for the composition H2O/Al2O3. To enhance the effectiveness of the model, they incorporated the fraction factor and temperature influences.
Patel et al. [11] proposed reliable thermal conductivity model based on the tiny particles’ diameter, only for oxides and metallic tiny particles. For the thermal improvement in the mixture of H2O/Al2O3, the model is reported in [12]. The freezing temperature factor is incorporated in the respective thermal conductivity relation and found fascinating alterations in the heat transfer. Thermal conductivity model for water composed by gold nanoparticles (Ag) reported in [13]. The researchers, engineers and scientists inspired by the potential heat-transfer characteristics in a newly developed class of fluids (nanofluids) and focused on the applications of these fluids for different purposes.
The flow nanofluid by using water as host liquid between parallel disks is reported in [14]. For fascinating results for the nanofluid velocity and temperature, the influences of unsteady factor and slip effects are incorporated in the governing model. They handled the model analytically and detected the results for the flow regimes by fluctuating the emerging flow parameters. The solutal flow of nanofluid squeezed between two parallel disks in porous media is examined in [15]. They considered the phenomena of imposed magnetic field, momentum slip and thermal jump flow conditions in the model and detected the improvement in the nanofluid heat transfer characteristics. The influences of momentum slip on the nanofluid velocity between parallel disks is examined in [16]. They adopted numerical way for the problem treatment and reported the results for the flow regimes and heat-transfer rate, as well. The mixed convection flow of unsteady nature between parallel disks is presented in [17]. They explored the results for nanofluid characteristics, like velocity, temperature and heat-transfer characteristics.
Ahmed et al. [18] detected the velocity, temperature and heat transfer-behavior in nanofluids squeezed between parallel disks. They reported the results for different nanoparticle-based nanofluids and found an improved heat-transfer rate. Azimi and Riazi [19] investigated the heat-transfer behavior in GO/H2O nanofluid between parallel disks. For mathematical treatment of the nanofluid model, they adopted a Galerkin-based homotopy analysis method and reported the results for the flow characteristics. The analysis of variable fluid characteristics in flow squeezed between parallel disks by incorporating the influences of magnetic field was detected in [20]. Ahmed et al. [21] detected the intensified heat transfer behavior in γ-nanofluids between parallel rotating plates and presented fascinating behavior of the nanofluids velocity and temperature, by varying the emerging flow quantities in the model.
The effective thermal conductivity is a key ingredient for the improvement of thermal transport in the analysis of nanofluids. Therefore, numerous thermal conductivity correlations can be achieved by incorporating different factors, like tiny particles geometries, temperature factor, molecular diameter, tiny particles diameter and freezing temperature [6,7,8,22]. The tiny particles diluted in the host liquid enhances the surface area of thermal transport, effective heat capacity of the host liquid and thermal conductivity. Therefore, thermal transportation in the nanofluids is enhanced.
The entropy generation is one of the rich topics in the field of fluid dynamics. The amount of entropy due to irreversible processes is termed as entropy production. These are thermal and mass transport processes, fluid flow, movement of the bodies, mixture of nanomaterials and liquids, and heat exchange and in thermal mechanics, like air conditioners, power plants, refrigerators, heat engines, etc. On the basis of entropy production, another significant physical-quantity defined termed as Bejan number in the scientific domain of fluid dynamics. The Bejan physical describes the ratio between thermal transport irreversibility to the total irreversibility produced due to the thermal transport and friction between the fluid particles. Therefore, entropy production and the Bejan number are extensively used in the field of fluid dynamics and aforementioned industrial applications. The coupling of entropy production and Bejan effects with numerous nanofluid models is very significant, and many researchers and engineers focus on the analysis of such nanofluid models.
From the literature study, we detected that the thermal enhancement and the behavior of Bejan effects, by considering the thermal radiations and the diameters of nanoparticles and molecules in dissipative nanofluid between parallel disks, have been not examined so far. Therefore, this study was made to conduct this important research.
2. Results and Discussion
2.1. Axial and Radial Velocity Behavior
The behavior of flow characteristics significantly alters for multiple parameters embedded in the flow model Al2O3-H2O colloidal mixture. These are stretching parameters (A1, A2), rotational parameter , Reynolds number (Re), Prandtl number (Pr) and radiative parameter (Rd). Therefore, the behavior of the velocities (axial (F), radial (F’) and tangential velocity (G)), thermal transport , shear stresses, entropy generation and Bejan effects for Al2O3-H2O colloidal mixture are painted. The impacts of fraction factor of the tiny particles of Al2O3 are discussed, and we found fascinating alterations in the effective characteristics like density, heat capacitance and thermal conductivity of the nanofluid.
The influences of stretching parameter A1 on the axial (F) and radial velocities (F’) of Al2O3-H2O colloidal mixture are painted in Figure 1. It is noticed that the velocity, F, due to the stretching of the lower disk, enhances abruptly in the locality of . Physically, when the lower disk is stretched, the fluid particles of Al2O3-H2O adjacent to the disk surface drag and stretching of the disk provides the extra momentum to the molecules consequently the momentum rises, leading to abrupt changes in the velocity, F. The maximal increment in the velocity is observed in the region . In the rest of the portion, these alterations become slow because small disturbance in the fluid molecules away from the lower disk occurred. Therefore, the rise in the velocity becomes slow.
Figure 1.
The velocity distribution for . (A): ; (B): .
The Reynolds number, which is the relationship between the inertial and viscous forces, is a significant flow parameter in the study of fluid dynamics. Figure 2 paints the behavior of Al2O3-H2O velocity for multiple values of Reynolds number. These effects are painted in Figure 2. It is detected that, by increasing the Reynolds number (Re), the velocity enhances. Physically, it can be justified by the fact that, for more viscous fluid, the Reynolds number upturns, and consequently the velocity abruptly increases. The radial velocity, F’, shows dual behavior for multiple Reynolds numbers in the region of interest. Figure 3 paints the velocities’ behavior for multiple w1 parameters. It is detected that the axial and radial velocity showed reverse trends. The axial velocity, F, near the lower end enhances quickly and exhibits almost minimal behavior, if examined near the upper end. The decreasing trend in the radial velocity of Al2O3-H2O nanofluid is observed. In the vicinity of the middle portion of the disks, maximal increasing trends are observed.
Figure 2.
The velocity distribution for . (A): ; (B): .
Figure 3.
The velocity distribution for . (A): ; (B): .
Figure 4 paints the alterations in the velocities for the stretching of the upper disk. Due to stretching of the upper disk, the velocities decline, and minimal decrement is observed near the upper disk. In rest of the portion, these trends are abrupt. Physically, due to the stretching of the upper disk, the fluid molecules adjacent to the disk are disturbed, leading to upturns in the momentum. Therefore, the velocities drop slowly in comparison with the rest of the portion.
Figure 4.
The velocity distribution for . (A): ; (B): .
2.2. Tangential Velocity Behavior
This subsection comprises the alterations in the tangential velocity G(η) for Al2O3-H2O nanofluid for stretching parameters and the Reynolds number.
The influences of stretching properties (A1 and A2) of the upper and lower disks are painted in Figure 5. It is surveyed that the tangential velocity rises quickly due to stretching of the disks. Physically, it can be justified that the Al2O3-H2O nanofluid and the disks rotate together and in the same time the disks stretched. Due to stretching and rotation of the disks, the movement of the fluid particles enhance, and the momentum of the Al2O3-H2O nanofluid increases, and as a result, the tangential velocity also increases. Near the lower and upper end, these alterations are quite slow; these are due to the frictional force between the fluid particles and the disks surface. Similarly, Figure 6 paints the tangential velocity, G(η), behavior for A3 and the Reynolds number. It is inspected that G(η) upturns for both A3 and Re. The quick alterations in the tangential velocity of Al2O3-H2O nanofluid are examined for A3 near the upper end.
Figure 5.
The velocity distribution . (A): ; (B): .
Figure 6.
The velocity distribution . (A): ; (B): .
2.3. Thermal Behavior
This subsection is related to the analysis of thermal behavior of Al2O3-H2O nanofluid by altering Br, Ec and Re, respectively.
The nanofluids have potential heat-transportation capability in comparison with regular liquid. Therefore, these fluids are better for industrial and technological purposes. The behavior of thermal transport β(η) against Br and the Eckert number is painted in Figure 7. The phenomenon of viscous dissipation is of significant interest in the study of fluid dynamics. From Figure 8, it is pointed that the temperature β(η) upturns for more dissipative nanofluid. Physically, for more dissipative Al2O3-H2O, nanofluid thermal energy enhances, leading to increment in the temperature β(η). Similarly, increasing trends for β(η) are pointed by altering Br number. Figure 8 reveals that, for the Reynolds number, the temperature β(η) declines. The small decrement is pointed at low Reynolds values, whereas it is rapid for higher ones.
Figure 7.
The thermal distribution . (A): ; (B): .
Figure 8.
The thermal distribution for .
2.4. Bejan Effects and Entropy Generation
Entropy and the phenomena of Bejan effects are very significant in the research area of fluid mechanics. This phenomenon has a wide class of uses in moving bodies, thermal machines, heat exchange, thermal characteristics in nanofluids and irreversible thermodynamics. The entropy production is described as the entropy during irreversible processes. The influences of multiple parameters related to entropy production and Bejan effects are elaborated in Figure 9, Figure 10, Figure 11, Figure 12, Figure 13, Figure 14, Figure 15, Figure 16 and Figure 17, for multiple parameters over the region of interest.
Figure 9.
The distribution of . (A): ; (B): .
Figure 10.
The distribution of . (A): ; (B): .
Figure 11.
The distribution of . (A): ; (B): .
Figure 12.
The distribution of . (A): ; (B): .
Figure 13.
The distribution of . (A): ; (B): .
Figure 14.
The distribution of . (A): ; (B): .
Figure 15.
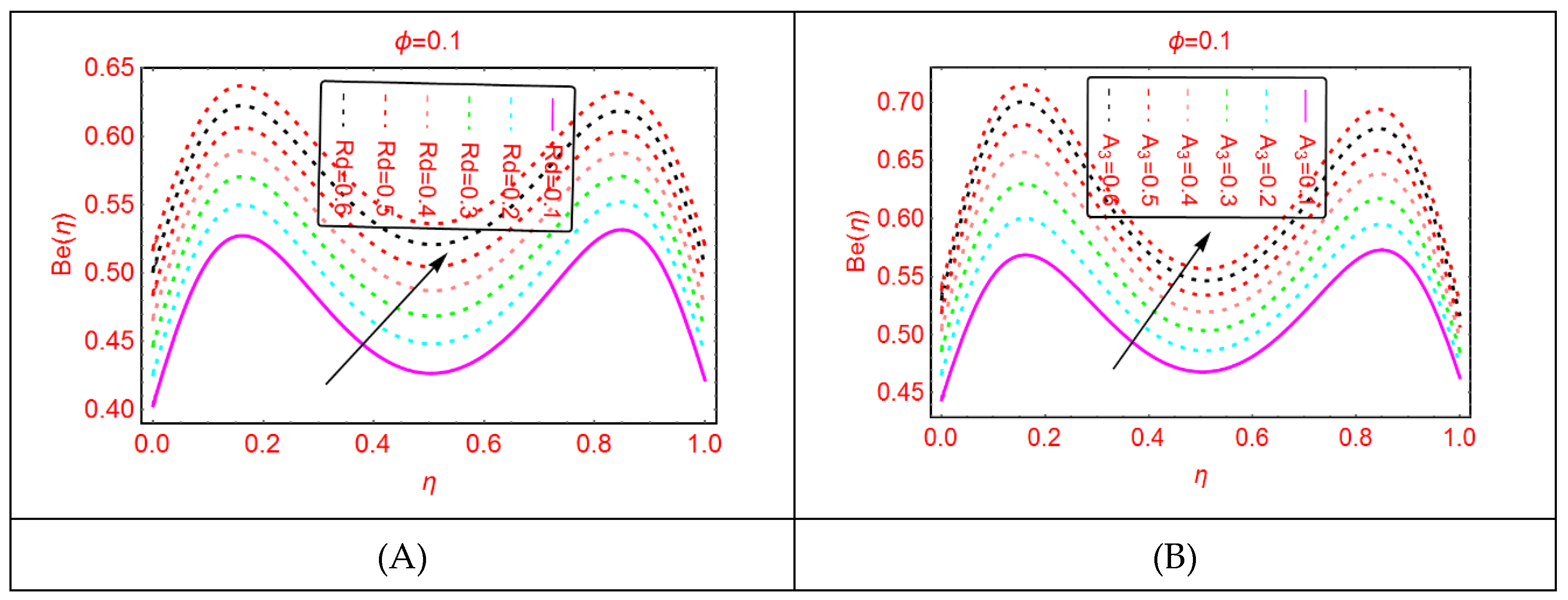
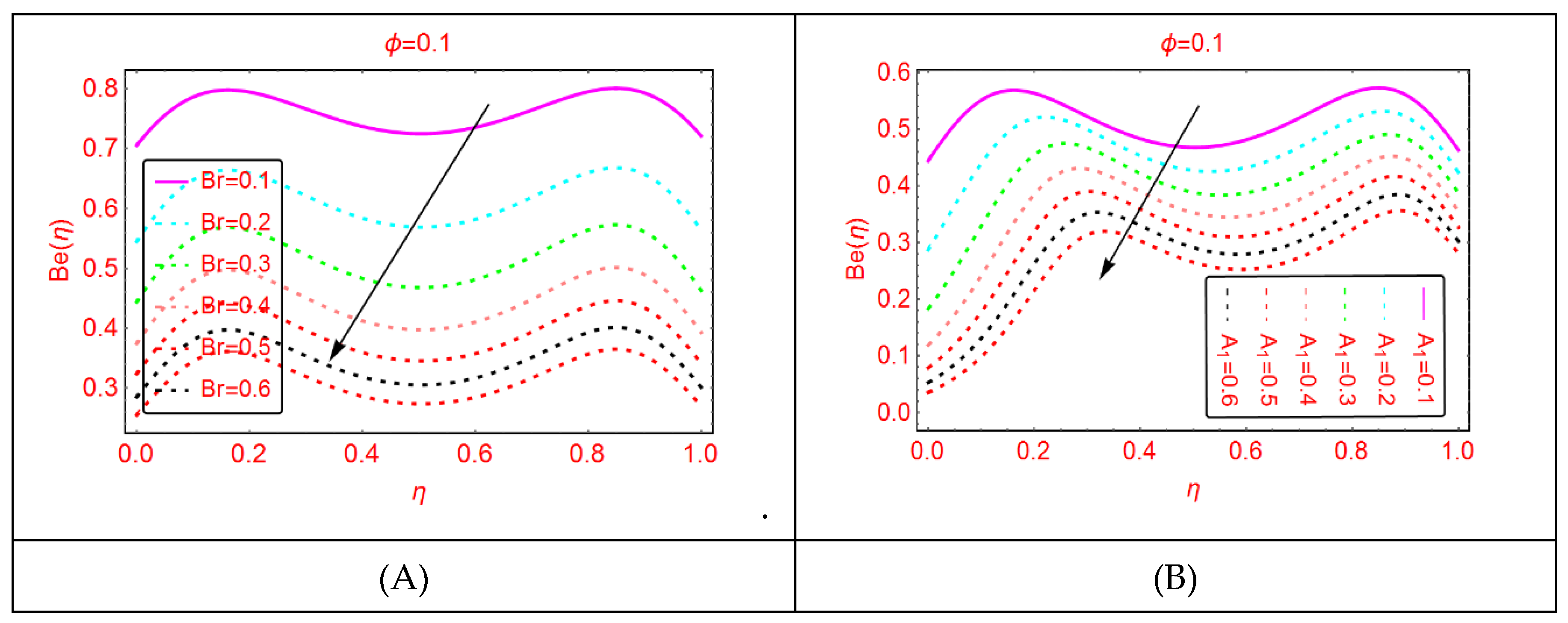
The distribution of . (A): Br; (B): A1.
Figure 16.
The distribution of . (A): ; (B): .
Figure 17.
The distribution of . (A): ; (B): .
It is explored that the Bejan parameter enhances for growing A3 and Re abruptly in the middle of the disks, where for the more radiative colloidal mixture Al2O3-H2O, prominent alterations in the Bejan parameter are examined near both ends. These influences are elaborated in Figure 9 and Figure 10. From the analysis, it is also explored that, for A2, Br, A1 and A, the Bejan effects drop between the disks.
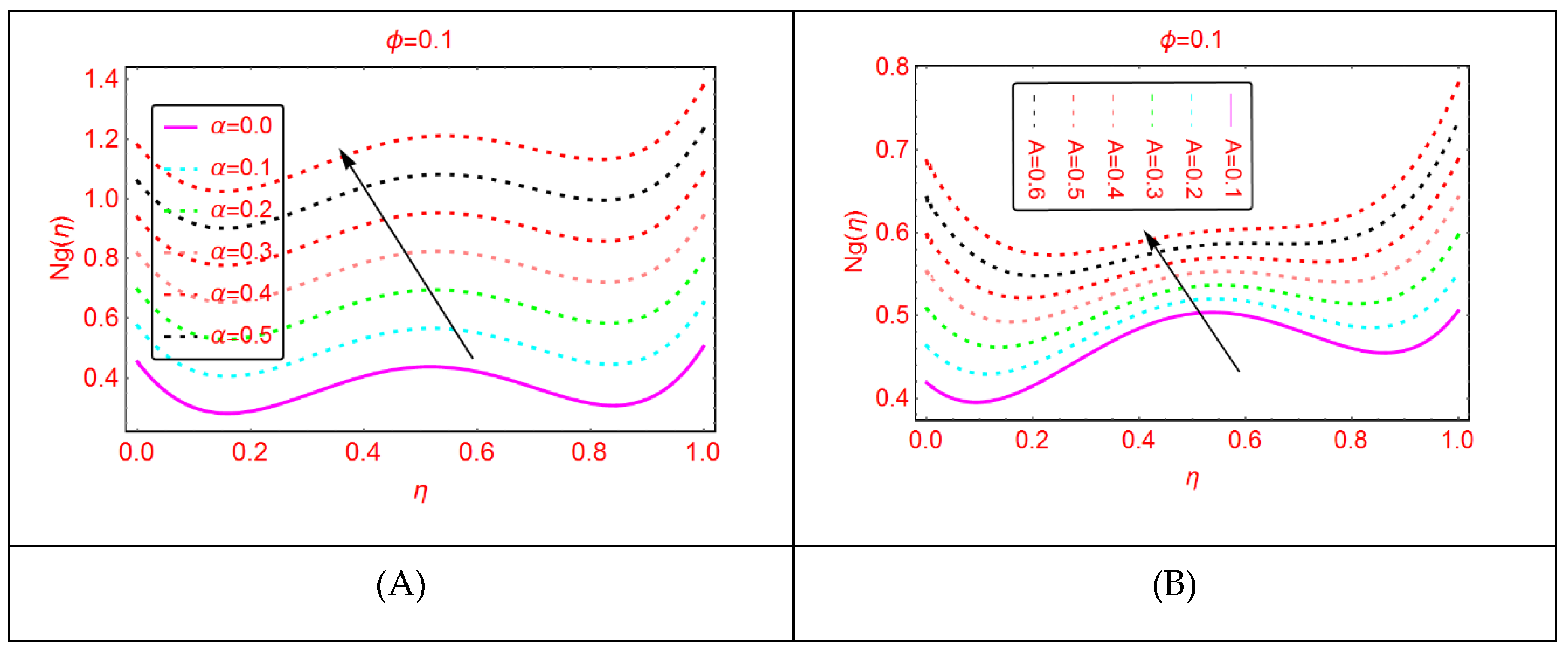
The entropy production against imposed radiation parameter is depicted in Figure 13. It is detected that, for more radiative mixture of Al2O3-H2O, the entropy Ng(η) enhances abruptly. Physically, it means that, due to more radiative Al2O3-H2O, internal energy source enhances, allowing the large momentum to the Al2O3-H2O molecules and therefore diffusion phenomena among the tiny particles upturns and Ng(η) increases. Similarly, for ws, α, A and Br, the entropy enhances. For stretching quantity A1, the abrupt increasing pattern of Ng(η) is examined. The physical reason behind this is the stretching of the lower disk. Due to stretching of the lower end, the Al2O3-H2O molecules are disturbed, allowing for the abrupt increment in the Ng(η). For more dissipative Al2O3-H2O mixture, dual pattern of Ng(η) is detected. Near the lower end Ng(η) declines for stronger dissipative parameter and also for Re and A3, Ng(η) declines quickly.
2.5. Thermophysical Characteristics
In the colloidal studies, the fraction factor, , is a significant ingredient which alters the thermal transportation in the nanofluid. The changes in the dynamic viscosity (μnf), density (ρnf) and heat capacity (ρcp)nf of nanofluid play an important role in the flow regimes. Therefore, Figure 18 is painted to analyze the behavior of aforementioned quantities by altering the fraction factor, . For the study under consideration, the feasible range of the fraction factor is . It is pointed that the dynamic viscosity and density upturns for and drops in (ρcp)nf are pointed for multiple values of .
Figure 18.
Thermophysical properties behavior for . (A):; (B): ; (C): .
2.6. Engineering Quantities
The surface shear stresses due to varying flow quantities are important from engineering point of view. The behavior of surface shear stresses due to stretching of the lower and upper disks (A1 and A2) and fraction factor are elaborated in Figure 19. For the stretching of the disks, larger trends of the shear stresses at the surface are pointed. Physically, it means that the stretching of the disks allows for more fluid particles to be at the surface; therefore, the shear stresses increases. For the fraction factor, slow trends are observed for shear stresses at the disk’s surface. For upper stretchable disk (A2), the surface stresses rapidly decline at the lower end, while these trends are slow at the upper disk because the upper disk being stretched allows the fluid particles at the disk surface. A significant transport of the shear stresses is pointed at the upper disk for Re. Table 1 elaborates on the numerical computations for the shear stresses for multiple parameters.

Figure 19.
Shear stresses for. (A): ; (B): ; (C): ; (D): ; (E): .
Table 1.
CF0 and CF1 for multiple parameters.
3. Materials and Methods
3.1. Statement and Geometry of the Model
The flow of nanofluid by contemplating the influences of nanoparticles and molecular diameters is taken between parallel rotating disks. It is understood that host liquid (water) and nanoparticles Al2O3 are thermally compatible. The disks are separated by a height, h. The lower and upper disks are rotating with velocities Ω1 and Ω2, respectively. Moreover, u = ra1, vΩ1, u = ra2 and v = rΩ2 are the velocities of lower and upper disks, respectively. Additionally, the flow configuration of the nanofluid model under consideration is portrayed in Figure 20.
Figure 20.
The flow configuration of Al2O3-H2O nanofluid between parallel rotating disks.
3.2. Governing Colloidal Model
The colloidal flow of nanofluid by considering the nanomaterial and molecular diameters is taken between two parallel rotating disks. The following assumptions are made for the model under consideration:
- The flow is viscous and incompressible;
- H2O is taken as host liquid;
- The nanomaterial of Al2O3 is taken;
- The host liquid and nanomaterial are thermally in equilibrium;
- There is no slip condition;
- Thermal radiations are imposed on the nanofluid flow.
On the basis of above highlighted assumptions, the dimensional model which governs the nanofluid flow between parallel disks takes the following form [5]:
where Φ* shows the dissipative effects and is described by the following formula:
The flow conditions at the boundaries of the disks (lower and upper) are as follows.
For nondimensionalization of model, it is significant to define the invertible transformations. Therefore, the following transformations are defined that support the model:
where, u*, v* and w* are the velocity components; and present the rotation of the disks; h is the height between the disks; T1 and T2 are the temperature at the lower and upper end, respectively; indicates the dimensionless temperature; and is an invertible variable.
3.3. Effective Characteristics
The nanofluids are reliable for better thermal transport due to their effective characteristics, such as effective density, heat capacity, dynamic viscosity and thermal conductivity. Therefore, the following models are incorporated [22]:
where nf stands for nanofluid; and kf and kp are the thermal conductivities of the host liquid and tiny particles, respectively. Further, , , and are effective density, heat capacity, dynamic viscosity and thermal conductance of the nanofluid. The fraction factor of the tiny particles, as denoted by and , is a feasible range for the study under consideration. In Equation (12), the expression for the Reynolds number (Reb) appearing due to that effects of Brownian motion is described by the following formula:
Furthermore, ub* stands for the velocity of Brownian motion in Equation (13) and is expressed by the following mathematical relation:
The Stefan Boltzmann coefficient in Equation (14) is represented by kb, and its particular value is equal to . Further, the diameter of fluid molecules is given in the form of df and mathematically expressed in the following way [23]:
In Equation (15), M* and N* stand for the molecular weight and Avogadro number, respectively. Further, df is computed in the following manner:
Now, thermophysical characteristics of aforementioned tiny particles and host liquid by comprising the influences of nanoparticles and molecular diameters are described as Table 2 [22]:
Table 2.
Thermophysical characteristics of the nanoparticles and host liquid at temperature T = 310 K [22].
3.4. Nondimensional Nanofluid Model
The nondimensional analysis of the particular nanofluid model is carried out by means of feasible defined invertible transformations. By plugging the similarity transformations embedded in Equation (8) and required partial derivatives in Equations (1)–(5), the following dimensionless nanofluid model comprising the effects of nanoparticles and molecular diameter is attained:
By means of invertible transformations, the dimensional conditions at the lower and upper disks reduced in the following form:
Further, the expression for pressure is calculated as follows.
The self-similar parameters appeared in the dimensionless model are described by the following mathematical formulas:
3.5. Significant Quantities from for Engineers
The wall shear stresses attained significant importance in various technological and engineering areas. For the model of nanofluid under consideration, the wall shear stresses in dimensional form are expressed in the following mathematical formulas:
The total shear stresses at the upper and lower are given by the following mathematical relation:
By plugging the similarity transformations and after simplification, the following relations for the shear stresses at the upper and lower disks are obtained:
3.6. Bejan Effects Modelling
The mathematical relation for entropy generation is described as follows:
By plugging the viscous dissipative term in Equation (28), the following relation is attained:
After this, plugging the similarity transformations and suitable partial differentiation, the following self-similar form is obtained:
Moreover, the mathematical expression for the Bejan number is as follows:
The dimensionless physical parameters appear in Equations (31) and (32), as follows:
3.7. Mathematical Analysis
The nanofluid model under consideration, comprising the influences of freezing temperature, molecular and nanomaterials diameters, is very tedious, highly nonlinear and coupled system of ordinary differential equations. It is not possible to find the exact solutions for such a nanofluid model. Thus, the numerical techniques are best to tackle the model of such nature. Therefore, Runge Kutta (RK) numerical technique with coupling shooting technique [24,25] was adopted for mathematical treatment of the particular nanofluid model over the domain of interest. The initial step for the implementation of the aforementioned technique is transformations that transform the model under consideration into a system of first-order ordinary differential equations, and then solves them for the physical results. These transformations are taken in the following pattern, for our nanofluid model:
4. Outcomes
The analysis of radiative colloidal fluid Al2O3-H2O by incorporating the influences of nanomaterials diameter, viscous dissipation and entropy generation for thermal enhancement is of much interest and has gained the popularity among the engineer and researcher communities. Specifically, the analysis of entropy generation in colloidal fluids is significant from the point of view of heat engines, air conditioners and refrigeration. Therefore, the study is presented in light of the aforementioned applications. From the presented work, the following is detected:
- The axial velocity of Al2O3-H2O upturns due to the stretching of lower end over .
- Thermal transport enhances for Br and is detected that more dissipative Al2O3-H2O colloidal fluid is better for industrial and engineering applications where huge amount of heat transfer is required to acquire the process of production.
- The entropy generation due to an irreversible process such as fluid flow and heat transfer enhances in Al2O3-H2O for multiple values of .
- The effects on the colloidal flow of Al2O3-H2O enhances for strong thermal radiations phenomena.
- The effective characteristics of the colloidal fluid enhances for fraction factor of the nanomaterial, which significantly enhances the thermal transportation in Al2O3-H2O.
- Due to stronger fraction factor, , more colloidal fluid Al2O3-H2O particles drag at the surface are detected.
Future Insights: The modern world is moving toward the applications of nanotechnology by considering numerous physical phenomenon, almost from every aspect of life. Therefore, the analysis of Lorentz forces, resistive heating and double stratification that are extensively applied in the production industries are the topics of interest in the study of nanofluids these days.
Author Contributions
Conceptualization, N.A. and A.; funding acquisition, Y.-M.C., I.K. and K.S.N.; investigation, U.K.; methodology, S.T.M. and U.K.; project administration, S.T.M.-D.; software, N.A., U.K., A.; Supervision, S.T.M.-D.; review and revision, N.A., U.K., A., Y.-M.C., I.K. and K.S.N.; formal analysis, Y.-M.C., I.K. and K.S.N. All authors have read and agreed to the published version of the manuscript.
Funding
This work received no funding.
Acknowledgments
This work was supported by the Natural Science Foundation of China (Grant Nos. 61673169, 11701176, 11626101 and 11601485).
Conflicts of Interest
There is no conflict of interest in regard to this publication.
Nomenclature
| effective density | |
| effective dynamic viscosity | |
| effective thermal conductivity | |
| effective heat capacity | |
| stands for nanofluid | |
| density of nanomaterial Al2O3-H2O | |
| density of host liquid | |
| fraction factor of the nanomaterial | |
| thermal conductivity of Al2O3 | |
| thermal conductivity of the host liquid | |
| heat capacity of Al2O3 | |
| heat capacity of host liquid | |
| temperature at lower disk | |
| temperature at upper disk | |
| viscous dissipation | |
| pressure | |
| diameter of nanomaterial | |
| Stefan Boltzmann coefficient | |
| similarity variable | |
| axial velocity | |
| radial velocity | |
| dimensionless temperature field | |
| Eckert number | |
| Reynolds number | |
| Radiation parameter | |
| Prandtl number | |
| Bejan number | |
| Entropy generation |
References
- Bhatti, M.M.; Khalique, C.M.; Tasveer, A.B.; Anwar, B.; Ali, K. Numerical study of slip and radiative effects on magnetic Fe 3 O 4-water-based nanofluid flow from a nonlinear stretching sheet in porous media with Soret and Dufour diffusion. Mod. Phys. Lett. B 2020, 34. [Google Scholar] [CrossRef]
- Abbas, M.A.; Bhatti, M.M.; Sheikholeslami, M. Peristaltic Propulsion of Jeffrey Nanofluid with Thermal Radiation and Chemical Reaction Effects. Inventions 2019, 4. [Google Scholar] [CrossRef]
- Bhatti, M.M.; Yousif, M.A.; Mishra, S.R.; Shahid, A. Simultaneous influence of thermo-diffusion and diffusion-thermo on non-Newtonian hyperbolic tangent magnetised nanofluid with Hall current through a nonlinear stretching surface. Pramana 2019, 93. [Google Scholar] [CrossRef]
- Machrafi, H.; Lebon, G. The role of several heat transfer mechanisms on the enhancement of thermal conductivity in nanofluids. Continuum Mech. Thermodyn. 2016, 28, 1461–1475. [Google Scholar] [CrossRef]
- Hayat, T.; Ahmad, M.W.; Khan, M.I.; Alsaedi, A. Entropy optimization in CNTs based nanomaterial flow induced by rotating disks: A study on the accuracy of statistical declaration and probable error. Comput. Methods Programs Biomed. 2020, 184. [Google Scholar] [CrossRef] [PubMed]
- Hamilton, H.L.; Crosser, O.K. Thermal Conductivity of Heterogeneous Two-Component Systems. Ind. Eng. Chem. Fund 1962, 1, 187–191. [Google Scholar] [CrossRef]
- Koo, J.; Kleinstreuer, C. A new thermal conductivity model for nanofluids. J. Nano Res. 2004, 6, 577–588. [Google Scholar] [CrossRef]
- Koo, J.; Kleinstreuer, C. Laminar nanofluid flow in micro-heat sinks. Int. J. Heat Mass Trans. 2005, 48, 2652–2661. [Google Scholar] [CrossRef]
- Bruggeman, D.A.G. Berechnung verschiedener physikalischer konstanten von heterogenen substanzen, I—Dielektrizitatskonstanten und leitfahigkeiten der mischkorper aus isotropen substanzen. Annalen. Physik. Leipzig. 1935, 24, 636–679. [Google Scholar] [CrossRef]
- Li, C.H.; Peterson, G.P. Experimental investigation of temperature and volume fraction variations on the effective thermal conductivity of nanoparticle suspensions (nanofluids). J. Appl. Phys. 2006, 99, 084314. [Google Scholar] [CrossRef]
- Patel, H.E.; Sundararajan, T.; Das, S.K. An experimental investigation into the thermal conductivity enhancement in oxide and metallic nanofluids. J. Nano Res. 2010, 12, 1015–1031. [Google Scholar] [CrossRef]
- Corcione, M. Rayleigh–Be’nard convection heat transfer in nanoparticle suspensions. Int. J. Heat Fluid Flow 2011, 32, 65–77. [Google Scholar] [CrossRef]
- Godson, R.L.; Mohan, L.B.; Wongwises, D.S. Experimental investigation on the thermal conductivity and viscosity of silver—deionized water nanofluid. Exp. Heat Transf. 2010, 23, 317–332. [Google Scholar] [CrossRef]
- Bhatta, D.P.; Mishra, S.R.; Dash, J.K. Unsteady squeezing flow of water-based nanofluid between two parallel disks with slip effects: Analytical approach. Heat Trans. 2019, 48, 1575–1594. [Google Scholar] [CrossRef]
- Sobamowo, M.G.; Akinshilo, A.T.; Yinusa, A.A. Thermo-Magneto-Solutal Squeezing Flow of Nanofluid between Two Parallel Disks Embedded in a Porous Medium: Effects of Nanoparticle Geometry, Slip and Temperature Jump Conditions. Model. Simul. Eng. 2018. [Google Scholar] [CrossRef]
- Das, K.; Jana, S.; Acharya, N. Slip effects on squeezing flow of nanofluid between two parallel disks. Int. J. Appl. Mech. Eng. 2016, 21, 5–20. [Google Scholar] [CrossRef]
- Mohyud-Din, S.T.; Khan, S.I.U.; Darus, M.; Hassan, S.M. Unsteady mixed convection squeezing flow of nanofluid between parallel disks. Newt. Non-Newt. Mod. Nano 2016. [Google Scholar] [CrossRef]
- Ahmed, N.; Adnan; Khan, U.; Mohyud-Din, S.T. Influence of shape factor on flow of magneto-nanofluid squeezed between parallel disks. Alex. Eng. J. 2018, 57, 1893–1903. [Google Scholar] [CrossRef]
- Azimi, M.; Riazi, R. Heat transfer analysis of GO-water nanofluid flow between two parallel disks. Prop. Power Res. 2015, 4, 23–30. [Google Scholar] [CrossRef]
- Vajravelu, K.; Prasad, K.V.; Ng, C.O.; Vaidya, H. MHD squeeze flow and heat transfer of a nanofluid between parallel disks with variable fluid properties and transpiration. Int. J. Mech. Mater. Eng. 2017. [Google Scholar] [CrossRef]
- Ahmed, N.; Adnan; Khan, U.; Mohyud-Din, S.T. Influence of an Effective Prandtl number Model on Squeezed Flow of γAl2O3-H2O and γAl2O3-C2H6O2 Nanofluids. J. Mol. Liq. 2017, 238, 447–454. [Google Scholar] [CrossRef]
- Alsabery, A.I.; Sheremet, M.A.; Chamkha, A.J.; Hashim, I. MHD convective heat transfer in a discretely heated square cavity with conductive inner block using two-phase nanofuid model. Sci. Rep. 2018, 8, 1–23. [Google Scholar] [CrossRef] [PubMed]
- Corcione, M. Empirical correlating equations for predicting the efective thermal conductivity and dynamic viscosity of nanofluids. Energy Convers. Manag. 2011, 52, 789–793. [Google Scholar] [CrossRef]
- Khan, U.; Adnan; Ahmed, N.; Mohyud-Din, S.T. 3D Squeezed Flow of γAl2O3-H2O and γAl2O3-C2H6O2 Nanofluids: A Numerical Study. Int. J. Hydrogen Energy 2017, 42, 24620–24633. [Google Scholar] [CrossRef]
- Ahmed, N.; Adnan; Khan, U.; Mohyud-Din, S.T. Unsteady Radiative Flow of Chemically reacting Fluid over a Convectively Heated Stretchable Surface with Cross-Diffusion Gradients. Int. J. Therm. Sci. 2017, 121, 182–191. [Google Scholar] [CrossRef]
Sample Availability: Materials for method are available from the authors. |
© 2020 by the authors. Licensee MDPI, Basel, Switzerland. This article is an open access article distributed under the terms and conditions of the Creative Commons Attribution (CC BY) license (http://creativecommons.org/licenses/by/4.0/).




















