Zinc(II) Complexes with Amino Acids for Potential Use in Dermatology: Synthesis, Crystal Structures, and Antibacterial Activity
Abstract
1. Introduction
2. Results and Discussion
2.1. Synthesis and Characterization of Zn(II) Complexes 1–6
AA = Glu, Gly, His, and Pro
AA = Met and Trp
2.2. Crystal and Molecular Structures of Compounds 2–5
2.2.1. A Single-Crystal Structure of 2
2.2.2. A Single-Crystal Structure of 3
2.2.3. A Single-Crystal Structure of 4
2.2.4. A Single-Crystal Structure of 5
2.3. Hirshfeld Surface Analysis of the Zn2+ Centre
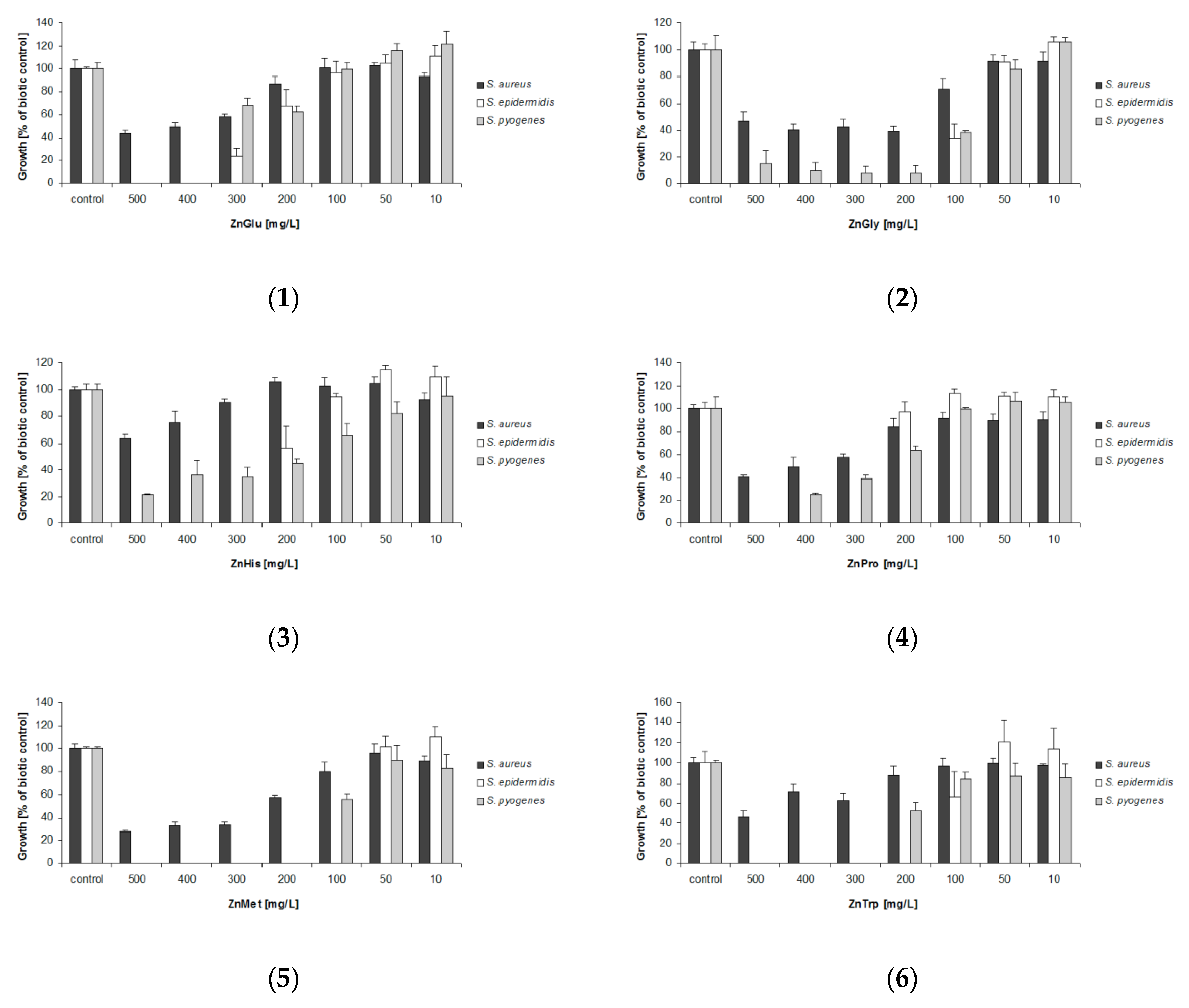
2.4. Antibacterial Activity
3. Materials and Methods
3.1. Chemicals and Apparatus
3.2. Synthesis and Characterization of the Zn(II) Complexes (1–6)
3.2.1. Preparation of Zn(OH)2
3.2.2. Synthesis of the Zn(II) Complexes (1–4)
3.2.3. Synthesis of the Zn(II) Complexes (5–6)
3.3. X-ray Diffraction Studies
3.4. Antibacterial Activity Study
4. Conclusions
Supplementary Materials
Author Contributions
Funding
Acknowledgments
Conflicts of Interest
References
- Abendrot, M.; Kalinowska-Lis, U. Zinc-containing compounds for personal care applications. Int. J. Cosmet. Sci. 2018, 40, 319–327. [Google Scholar] [CrossRef]
- Myari, A.; Malandrinos, G.; Deligiannakis, Y.; Plakatouras, J.C.; Hadjiliadis, N.; Nagy, Z.; Sóvágó, I. Interaction of Cu(2+) with His-Val-His and of Zn(2+) with His-Val-Gly-Asp, two peptides surrounding metal ions in Cu,Zn-superoxide dismutase enzyme. J. Inorg. Biochem. 2001, 85, 253–261. [Google Scholar] [CrossRef]
- Krishnamurthy, V.M.; Kaufman, G.K.; Urbach, A.R.; Gitlin, I.; Gudiksen, K.L.; Weibel, D.B.; Whitesides, G.M. Carbonic anhydrase as a model for biophysical and physical-organic studies of proteins and protein-ligand binding. Chem. Rev. 2008, 108, 946–1051. [Google Scholar] [CrossRef] [PubMed]
- Kidambi, S.S.; Lee, D.K.; Ramamoorthy, A. Interaction of Cd and Zn with biologically important ligands characterized using solid-state NMR and ab initio calculations. Inorg. Chem. 2003, 42, 3142–3151. [Google Scholar] [CrossRef] [PubMed]
- Bagherani, N.; Smoller, B.R. An overview of zinc and its importance in dermatology-Part I: Importance and function of zinc in human beings. Glob. Dermatol. 2016, 3, 330–336. [Google Scholar] [CrossRef]
- Cassandri, M.; Smirnov, A.; Novelli, F.; Pitolli, C.; Agostini, M.; Malewicz, M.; Melino, G.; Raschellà, G. Zinc-finger proteins in health and disease. Cell Death Discov. 2017, 3, 17071. [Google Scholar] [CrossRef]
- Krążel, A.; Maret, W. The biological inorganic chemistry of zinc ions. Arch. Biochem. Biophys. 2016, 611, 3–19. [Google Scholar] [CrossRef]
- Trzaskowski, B.; Adamowicz, L.; Deymier, P.A. A theoretical study of zinc(II) interactions with amino acid models and peptide fragments. J. Biol. Inorg. Chem. 2008, 13, 133–137. [Google Scholar] [CrossRef]
- Dudev, T.; Lim, C. Tetrahedral vs. Octahedral Zinc Complexes with Ligands of Biological Interest: A DFT/CDM Study. J. Am. Chem. Soc. 2000, 122, 11146–11153. [Google Scholar] [CrossRef]
- Deters, A.; Schnet, E.; Schmidt, M.; Hensel, A. Effects of zinc histidine and zinc sulfate on natural human keratinocytes. Forsch Komplem. 2003, 10, 19–25. [Google Scholar] [CrossRef]
- Schlegel, P.; Windisch, W. Bioavailability of zinc glycinate in comparison with zinc sulphate in the presence of dietary phytate in an animal model with 65Zn labelled rats. J. Anim. Physiol. Anim. Nutr. 2006, 90, 216–222. [Google Scholar] [CrossRef] [PubMed]
- Sobel, S.; Theophall, G. The Complexation of Aqueous Metal Ions Relevant to Biological Applications. 2. Evaluation of simultaneous equilibria of poorly soluble zinc salts with select amino acids. Chem. Speciat. Bioavailab. 2010, 22, 201–205. [Google Scholar] [CrossRef]
- Aquilina, G.; Bach, A.; Bampidis, V.; De Lourdes Bastos, M.; Flachowsky, G.; Gasa-Gasó, J.; Gralak, M.A.; Hogstrand, C.; Leng, L.; López-Puente, S.; et al. Scientific Opinion on the safety and efficacy of niacin (nicotinic acid and nicotinamide) as a feed additive for all animal species based on a dossier submitted by VITAC EEIG. EFSA J. 2013, 11, 3038. [Google Scholar]
- Aguilar, F.; Autrup, H.; Barlow, S.; Castle, L.; Crebelli, R.; Dekant, W.; Engel, K.-H.; Gontard, N.; Gott, D.; Grilli, S.; et al. Opinion on certain bisglycinates as sources of copper, zinc, calcium, magnesium and glycinate nicotinate as source of chromium in foods intended for the general population (including food supplements) and foods for particular nutritional uses. EFSA J. 2008, 718, 1–26. [Google Scholar]
- Chen, N.N.; Liu, B.; Xiong, P.W.; Guo, Y.; He, J.N.; Hou, C.C.; Ma, L.X.; Yu, D.Y. Safety evaluation of zinc methionine in laying hens: Effects on laying performance, clinical blood parameters, organ development, and histopathology. Poult. Sci. 2018, 97, 1120–1126. [Google Scholar] [CrossRef]
- Plum, L.; Rink, L.; Haase, H. The essential toxin: Impact of zinc on human health. Int. J. Environ. Res. Public Health 2010, 7, 1342–1365. [Google Scholar] [CrossRef] [PubMed]
- Kim, K.B.; Kim, Y.W.; Lim, S.K.; Roh, T.H.; Bang, D.Y.; Choi, S.M.; Lim, D.S.; Kim, Y.J.; Baek, S.H.; Kim, M.K.; et al. Risk assessment of zinc oxide, a cosmetic ingredient used as a UV filter of sunscreens. J. Toxicol. Environ. Health B Crit. Rev. 2017, 20, 155–182. [Google Scholar] [CrossRef]
- Gupta, M.; Mahajan, V.K.; Mehta, K.S.; Chauhan, P.S. Zinc Therapy in Dermatology: A Review. Dermatol. Res. Pract. 2014, 11, 709152. [Google Scholar] [CrossRef]
- Reeder, N.L.; Xu, J.; Youngquist, R.S.; Rust, R.C.; Saunders, C.W. The antifungal mechanism of action of zinc pyrithione. Br. J. Dermatol. 2011, 165, 9–12. [Google Scholar] [CrossRef]
- Piquero-Casals, J.; Hexsel, D.; Francisco Mir-Bonafé, J.; Rozas-Muñoz, E. Topical Non-Pharmacological Treatment for Facial Seborrheic Dermatitis. Dermatol. Ther. 2019, 9, 469–477. [Google Scholar] [CrossRef]
- Sharma, C.S.; Ramani, J.; Bhalodia, J.; Patel, N.; Thakkar, K.; Patel, R. Synthesis, Characterization and Antimicrobial Activity of Some Transition Metal Complexes (Mn, Co, Zn, Ni) With L-Proline and Kojic Acid. Adv. Appl. Sci. Res. 2011, 2, 374–382. [Google Scholar]
- Sardana, K.; Garg, V.K. An observational study of methionine-bound zinc with antioxidants for mild to moderate acne vulgaris. Dermatol. Ther. 2010, 23, 411–418. [Google Scholar] [CrossRef] [PubMed]
- Bagchi, D.; Bagchi, M.; Stohs, S.J. Comparative in vitro oxygen radical scavenging ability of zinc methionine and selected zinc salts and antioxidants. Gen. Pharmac. 1997, 28, 85–91. [Google Scholar] [CrossRef]
- Mofokeng, T.P.; Moloto, M.J.; Shumbula, P.M.; Nyamukamba, P.; Mubiayi, P.K.; Takaidza, S.; Marais, L. Antimicrobial Activity of Amino Acid-Capped Zinc and Copper Sulphide Nanoparticles. J. Nanotechnol. 2018, 2018, 1–9. [Google Scholar] [CrossRef]
- Blicharz, A.L.; Rudnicka, L.; Samochocki, Z. Staphylococcus aureus: An underestimated factor in the pathogenesis of atopic dermatitis? Postepy Dermatol. Alergol. 2019, 36, 11–17. [Google Scholar]
- Kuraitis, B.D.; Williams, L. Decolonization of Staphylococcus aureus in Healthcare: A Dermatology Perspective. J. Healthc. Eng. 2018, 2382050. [Google Scholar]
- Akiyama, C.H.; Morizane, S.; Yamasaki, O.; Oono, T.; Iwatsuki, K. Assessment of Streptococcus pyogenes microcolony formation in infected skin by confocal laser scanning microscopy. J. Dermatol. Sci. 2003, 32, 193–199. [Google Scholar] [CrossRef]
- Wu, D.D.C.; Chan, W.W.; Metelitsa, A.I.; Fiorillo, L.; Lin, A.N. Pseudomonas skin infection: Clinical features, epidemiology, and management. Am. J. Clin. Dermatol. 2011, 12, 157–169. [Google Scholar] [CrossRef]
- Wilson, R.B.; de Meester, P.; Hodgson, D.J. Structural characterization of bis(L-methionato)zinc(II), Zn(L-met)2. Inorg. Chem. 1977, 16, 1498–1502. [Google Scholar] [CrossRef]
- Poddar, R.; Jain, A.; Kidwai, M. Bis[(l)prolinate-N,O]Zn: A water-soluble and recycle catalyst for various organic transformations. J. Adv. Res. 2017, 8, 245–270. [Google Scholar] [CrossRef]
- Addison, A.W.; Rao, T.N.; Reedijk, J.; van Rijn, J.; Verschoor, G.C. Synthesis, structure, and spectroscopic properties of copper(II) compounds containing nitrogen–sulphur donor ligands; the crystal and molecular structure of aqua [1,7-bis(N-methylbenzimidazol-2′-yl)-2,6-dithiaheptane]copper(II) perchlorate. J. Chem. Soc. Dalton Trans. 1984, 7, 1349–1356. [Google Scholar] [CrossRef]
- Bukowska-Strzyżewska, M.; Maniukiewicz, W.; Sieroń, L. The deformation of di-mi-halide dinuclear five-coordinate copper(II) complexes in the crystalline state. Acta Crystallogr. Sect. B 1997, 52, 466–475. [Google Scholar] [CrossRef]
- Duax, L.; Norton, D.A. Atlas of Steroid Structure; IFI/Plenum: New York, NY, USA, 1975; Volume 1, pp. 16–22. [Google Scholar]
- Spackman, M.A.; Jayatilaka, D. Hirshfeld Surface Analysis. CrystEngComm. 2009, 11, 19–32. [Google Scholar] [CrossRef]
- Turner, M.J.; McKinnon, J.J.; Wolff, S.K.; Grimwood, D.J.; Spackman, P.R.; Jayatilaka, D.; Spackman, M.A. CrystalExplorer17, University of Western Australia. 2017. Available online: http://crystalexplorer.scb.uwa.edu.au/ (accessed on 19 February 2020).
- Pinto, C.B.; Dos Santos, L.H.R.; Rodrigues, B.L. Understanding metal–ligand interactions in coordination polymers using Hirshfeld surface analysis. Acta Crystallogr. Sect. C 2019, 75, 707–716. [Google Scholar]
- McKinnon, J.J.; Jayatilaka, D.; Spackman, M.A. Towards quantitative analysis of intermolecular interactions with Hirshfeld surfaces. Chem. Commun. 2007, 37, 3814–3816. [Google Scholar] [CrossRef] [PubMed]
- Spackman, M.A.; McKinnon, J.J. Fingerprinting intermolecular interactions in molecular crystals. CrystEngComm. 2002, 4, 378–392. [Google Scholar] [CrossRef]
- Frydrych, A.; Arct, J.; Kasiura, K. Zinc: A critical importance element in cosmetology. Appl. Cosmetol. 2004, 22, 1–13. [Google Scholar]
- Hadjer, F.; Tahar, B.; Eddine, A.D.; Sofiane, D. Antioxidant and Antimicrobial Activity of Some Transition Metal Complexes with Non-natural Amino Acids Used as Ligand. J. Mater. Environ. Sci. 2018, 7, 2153–2157. [Google Scholar]
- Lakshmi, S.S.; Geetha, K. Synthesis, characterization and biological studies of tridentate amino acid (L-tryptophan) Schiff base transition metal complexes. J. Chem. Pharm. Res. 2016, 8, 668–674. [Google Scholar]
- Premlata, S.; Verma, G. Seth, Synthesis and Antibacterial Activity of Zn(II) Complexes with 2-substituted Benzothiazoles and Amino Acids. J. Chem. Pharm. Res. 2012, 4, 1327–1331. [Google Scholar]
- Aiyelabola, T.O.; Isabirye, D.A.; Akinkunmi, E.O.; Ogunkunle, O.A.; Ojo, I.A.O. Synthesis, Characterization, and Antimicrobial Activities of Coordination Compounds of Aspartic Acid. J. Chem. 2016, 2016, 8. [Google Scholar] [CrossRef]
- Stănilă, A.; Braicu, C.; Stănilă, S. Antibacterial Activity of Copper and Cobalt Amino Acids Complexes. Not. Bot. Hort. Agrobot. Cluj. 2011, 39, 124–129. [Google Scholar] [CrossRef]
- CrysAlisPRO, version 1.171.38.41q. Rigaku Oxford Diffraction: Yarnton, UK, 2015. Available online: https://www.rigaku.com/products/smc/crysalis (accessed on 19 February 2020).
- CrysAlisPRO, Ver. 1.171.39.46. Rigaku Oxford Diffraction: Yarnton, UK, 2015. Available online: https://www.rigaku.com/products/smc/crysalis (accessed on 19 February 2020).
- Sheldrick, G.M. SHELXT—Integrated space-group and crystal-structure determination. Acta Crystallogr. Sect. A 2015, 71, 3–8. [Google Scholar] [CrossRef] [PubMed]
- Sheldrick, G.M. Crystal structure refinement with SHELXL. Acta Crystallogr. Sect. C 2015, 71, 3–8. [Google Scholar] [CrossRef] [PubMed]
- Macrae, C.F.; Bruno, I.J.; Chisholm, J.A.; Edgington, P.R.; McCabe, P.; Pidcock, E.; Rodriguez-Monge, L.; Taylor, R.; van de Streek, J.; Wood, P.A. New Features for the Visualization and Investigation of Crystal Structures. J. Appl. Crystallogr. 2008, 41, 466–470. [Google Scholar] [CrossRef]
- Spek, A.L. Structure validation in chemical crystallography. Acta Crystallogr. Sect. D 2009, 65, 148–155. [Google Scholar] [CrossRef]
Sample Availability: Samples of the compounds 1–6 are available from the authors. |







| (2) | (3) | (4) | (5) | |
|---|---|---|---|---|
| Empirical Formula | C8H16N4O8Zn2⋅2(H2O) | C12H16N6O4Zn⋅4(H2O) | C10H16N2O4Zn | C10H20N2O4S2Zn |
| Formula Weight | 463.02 | 445.74 | 293.62 | 361.77 |
| Crystal System | Monoclinic | Tetragonal | Monoclinic | Monoclinic |
| Space Group | P21/c | P43212 | P21 | P21 |
| a (Å) | 15.0075(6) | 7.5879(2) | 9.3868(1) | 9.3952(3) |
| b (Å) | 10.4204(4) | 31.1659(11) | 5.5883(1) | 5.0863(1) |
| c (Å) | 9.7717(4) | 7.5879(2) | 10.6039(1) | 15.4324(6) |
| α (°) | 90.000 | 90.000 | 90.000 | 90.000 |
| β (°) | 92.646(3) | 90.000 | 93.017(1) | 107.657(4) |
| γ (°) | 90.000 | 90.000 | 90.000 | 90.000 |
| V (Å3) | 1526.51(11) | 1794.41(11) | 555.47(1) | 792.72(4) |
| Z | 4 | 4 | 2 | 2 |
| T (K) | 100(2) | 100(2) | 100(2) | 100(1) |
| F(000) | 944 | 928 | 304 | 376 |
| Dx (g cm−3) | 2.015 | 1.650 | 1.755 | 1.710 |
| μ (mm−1) | 3.20 | 1.43 | 2.22 | 5.32 |
| Wavelength (Å) | 0.71073 | 0.71073 | 0.71073 | 1.54184 |
| θ range (°) | 3.4–30.0 | 3.00–29.0 | 3.9–33.0 | 3.00–70.0 |
| Measured Reflections | 14323 | 17886 | 7230 | 4735 |
| Unique Reflections | 4407 | 2396 | 3310 | 2127 |
| Observed Reflections [I > 2σ(I)] | 3731 | 2341 | 3264 | 2093 |
| Completeness to θmax (%) | 98.9 | 99.7 | 99.7 | 99.6 |
| parameters/Restraints | 265/0 | 145/5 | 162/2 | 190/1 |
| R [I > 2σ(I)] | 0.030 | 0.053 | 0.014 | 0.033 |
| wR (all data) | 0.084 | 0.113 | 0.039 | 0.087 |
| S | 1.04 | 1.24 | 1.08 | 1.04 |
| Δρmax (e Å−3) | 2.17 a | 1.06 b | 0.36 | 0.63 |
| Δρmin (e Å−3) | −0.78 a | −1.05 b | −0.28 | −0.94 |
| Bond | Distance | Bond | Distance |
|---|---|---|---|
| Zn1−O1 | 2.1407(13) | Zn2−O5 | 2.1915(12) |
| Zn1−O3 | 2.1262(12) | Zn2−O7 | 2.1205(12) |
| Zn1−O8 | 2.0127(12) | Zn2−O6i | 2.0026(12) |
| Zn1−N1 | 2.0321(15) | Zn2−N3 | 2.0257(15) |
| Zn1−N2 | 2.0320(16) | Zn2−N4 | 2.0224(15) |
| Zn1···O4 ii | 3.5650(13) | Zn2···O2 iii | 3.4259(13) |
| Bond | Distance |
|---|---|
| Zn1−N1 | 1.989(4) |
| Zn1−N1 i | 1.989(4) |
| Zn1−N2 | 2.026(4) |
| Zn1−N2 i | 2.026(4) |
| Bond | Distance |
|---|---|
| Zn1−O1 | 2.094(1) |
| Zn1−O3 | 1.9937(9) |
| Zn1−O4 i | 2.1535(10) |
| Zn1−N1 | 2.0556(11) |
| Zn1−N2 i | 2.0559(9) |
| Bond | Distance |
|---|---|
| Zn1−O1 | 2.051(3) |
| Zn1−O3 | 2.059(3) |
| Zn1−O4 i | 2.221(3) |
| Zn1−O2 iii | 2.656(3) |
| Zn1−N1 | 2.093(4) |
| Zn1−N2 | 2.064(4) |
| Tested Compound | MIC (mg/L) Staphylococcus epidermidis | Streptococcus pyogenes |
|---|---|---|
| ZnGlu (1) | 400 | 400 |
| ZnGly (2) | 200 | ND * |
| ZnHis (3) | 300 | ND * |
| ZnPro (4) | 300 | 500 |
| ZnMet (5) | 100 | 200 |
| ZnTrp (6) | 200 | 300 |
| ZnPCA | 200 | 300 |
© 2020 by the authors. Licensee MDPI, Basel, Switzerland. This article is an open access article distributed under the terms and conditions of the Creative Commons Attribution (CC BY) license (http://creativecommons.org/licenses/by/4.0/).
Share and Cite
Abendrot, M.; Chęcińska, L.; Kusz, J.; Lisowska, K.; Zawadzka, K.; Felczak, A.; Kalinowska-Lis, U. Zinc(II) Complexes with Amino Acids for Potential Use in Dermatology: Synthesis, Crystal Structures, and Antibacterial Activity. Molecules 2020, 25, 951. https://doi.org/10.3390/molecules25040951
Abendrot M, Chęcińska L, Kusz J, Lisowska K, Zawadzka K, Felczak A, Kalinowska-Lis U. Zinc(II) Complexes with Amino Acids for Potential Use in Dermatology: Synthesis, Crystal Structures, and Antibacterial Activity. Molecules. 2020; 25(4):951. https://doi.org/10.3390/molecules25040951
Chicago/Turabian StyleAbendrot, Michał, Lilianna Chęcińska, Joachim Kusz, Katarzyna Lisowska, Katarzyna Zawadzka, Aleksandra Felczak, and Urszula Kalinowska-Lis. 2020. "Zinc(II) Complexes with Amino Acids for Potential Use in Dermatology: Synthesis, Crystal Structures, and Antibacterial Activity" Molecules 25, no. 4: 951. https://doi.org/10.3390/molecules25040951
APA StyleAbendrot, M., Chęcińska, L., Kusz, J., Lisowska, K., Zawadzka, K., Felczak, A., & Kalinowska-Lis, U. (2020). Zinc(II) Complexes with Amino Acids for Potential Use in Dermatology: Synthesis, Crystal Structures, and Antibacterial Activity. Molecules, 25(4), 951. https://doi.org/10.3390/molecules25040951

