Mixed Functionalization of Organic Ligands in UiO-66: A Tool to Design Metal–Organic Frameworks for Tailored Microextraction
Abstract
1. Introduction
2. Experiment
2.1. Chemicals, Reagents, and Materials
2.2. Instrumentation
2.3. Procedures
2.3.1. Synthesis of MOFs
2.3.2. Dispersive Miniaturized Solid-Phase Extraction (D-µSPE) Method
3. Results and Discussion
3.1. Characterization of the UiO-66-Based MOFs Obtained with the Mixed-Linker Approach
3.2. Analytical Performance of the D-µSPE-HPLC-DAD Method When Using Derivatives of UiO-66
3.2.1. Analytical Performance When Using the H-UiO-66 to NO2-UiO-66 Series
3.2.2. Analytical Performance When Using the H-UiO-66 to NH2-UiO-66 Series
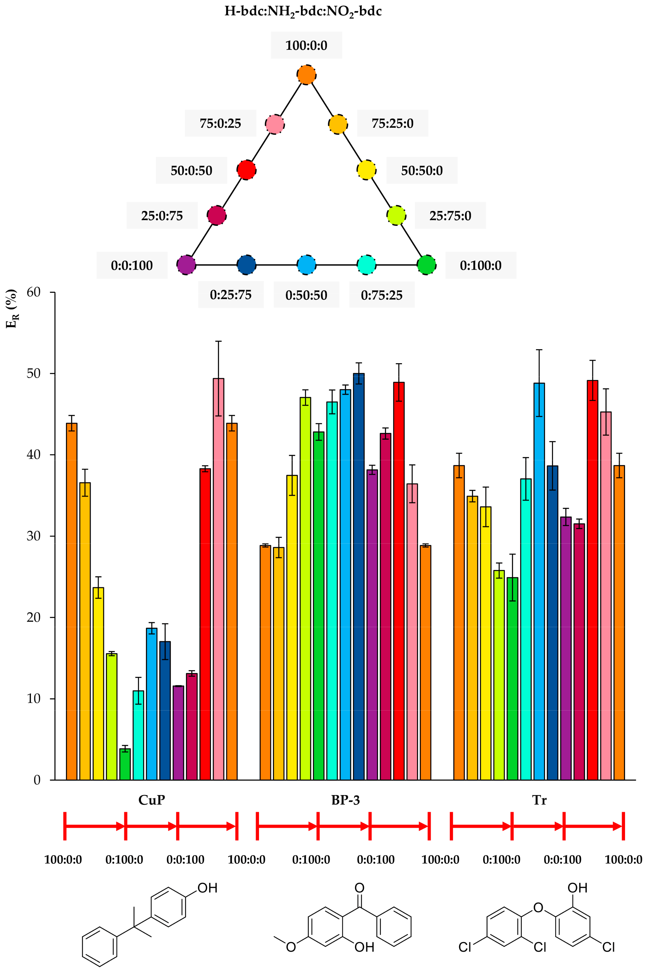
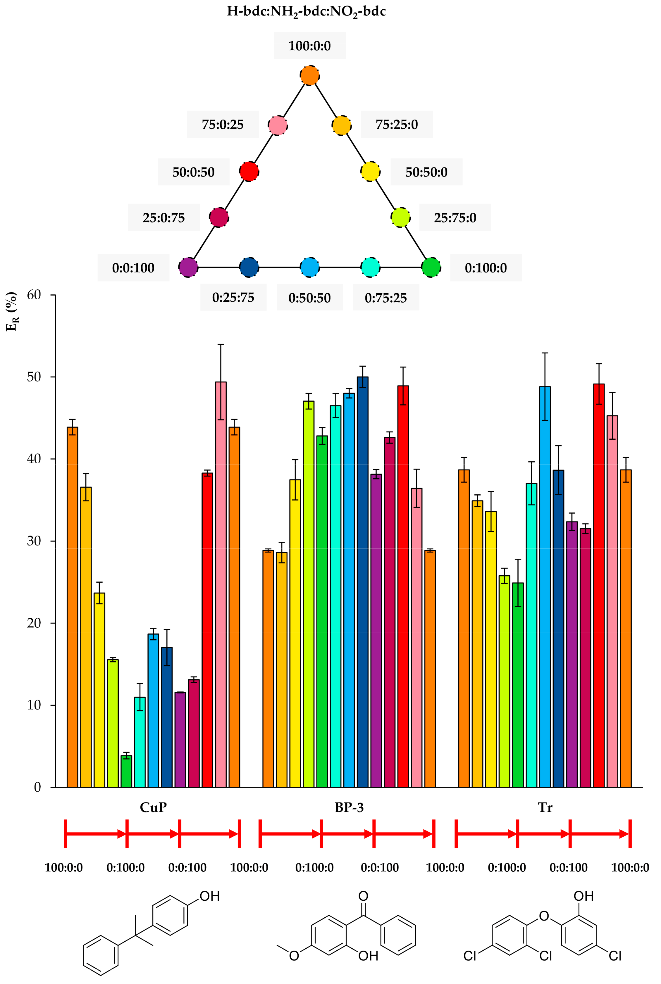
3.2.3. Analytical Performance When Using the NH2-bdc to NO2-bdc Series
3.3. Study of the Analytical Performance of the D-µSPE-HPLC-DAD Method Focusing on the Analyte’s Structure and Possible MOF–Analyte Interactions
4. Conclusions
Supplementary Materials
Author Contributions
Funding
Acknowledgments
Conflicts of Interest
References
- Rocío-Bautista, P.; González-Hernández, P.; Pino, V.; Pasán, J.; Afonso, A.M. Metal-organic frameworks as novel sorbents in dispersive-based microextraction approaches. Trac Trends Anal. Chem. 2017, 90, 114–134. [Google Scholar] [CrossRef]
- Maya, F.; Cabello, C.P.; Frizzarin, R.M.; Estela, J.M.; Palomino, G.T.; Cerdà, V. Magnetic solid-phase extraction using metal-organic frameworks (MOFs) and their derived carbons. Trac Trends Anal. Chem. 2017, 90, 142–152. [Google Scholar] [CrossRef]
- Hashemi, B.; Zohrabi, P.; Raza, N.; Kim, K.-H. Metal-organic frameworks as advanced sorbents for the extraction and determination of pollutants from environmental, biological, and food media. Trac Trends Anal. Chem. 2017, 97, 65–82. [Google Scholar] [CrossRef]
- González-Hernández, P.; Gutiérrez-Serpa, A.; Rocío-Bautista, P.; Pasán, J.; Ayala, J.H.; Pino, V. Micro-Solid-Phase Extraction Using Metal-Organic Frameworks. In Metal Organic Frameworks; Mittal, V., Ed.; Hardcover Central West Publishing: Orange, Australia, 2019; pp. 99–136. [Google Scholar]
- Gutiérrez-Serpa, A.; Pacheco-Fernández, I.; Pasán, J.; Pino, V. Metal-organic frameworks as key materials for solid-phase microextraction devices—A review. Separations 2019, 6, 47, in press. [Google Scholar] [CrossRef]
- Lv, S.-W.; Liu, J.-M.; Wang, Z.-H.; Ma, H.; Li, C.-Y.; Zhao, N.; Wang, S. Recent advances on porous organic frameworks for the adsorptive removal of hazardous materials. J. Environ. Sci. 2019, 80, 169–185. [Google Scholar] [CrossRef] [PubMed]
- Burtch, N.C.; Jasuja, H.; Walton, K.S. Water Stability and Adsorption in Metal-Organic Frameworks. Chem. Rev. 2014, 114, 10575–10612. [Google Scholar] [CrossRef] [PubMed]
- Chisvert, A.; Cárdenas, S.; Lucena, R. Dispersive micro-solid phase extraction. Trac Trends Anal. Chem. 2019, 112, 226–233. [Google Scholar] [CrossRef]
- Khezeli, T.; Daneshfar, A. Development of dispersive micro-solid phase extraction based on micro and nano sorbents. Trac Trends Anal. Chem. 2017, 89, 99–118. [Google Scholar] [CrossRef]
- Wen, Y.; Chen, L.; Li, J.; Liu, D.; Chen, L. Recent advances in solid-phase sorbents for sample preparation prior to chromatographic analysis. Trac Trends Anal. Chem. 2014, 59, 26–41. [Google Scholar] [CrossRef]
- Rocío-Bautista, P.; Pino, V.; Pasán, J.; López-Hernández, I.; Ayala, J.H.; Ruiz-Pérez, C.; Afonso, A.M. Insights in the analytical performance of neat metal-organic frameworks in the determination of pollutants of different nature from waters using dispersive miniaturized solid-phase extraction and liquid chromatography. Talanta 2018, 179, 775–783. [Google Scholar] [CrossRef] [PubMed]
- Taima-Mancera, I.; Rocío-Bautista, P.; Pasán, J.; Ayala, J.H.; Ruiz-Pérez, C.; Afonso, A.M.; Lago, A.B.; Pino, V. Influence of Ligand Functionalization of UiO-66-Based Metal-Organic Frameworks When Used as Sorbents in Dispersive Solid-Phase Analytical Microextraction for Different Aqueous Organic Pollutants. Molecules 2018, 23, 2869. [Google Scholar] [CrossRef]
- Lirio, S.; Shih, Y.-H.; Hsiao, S.-Y.; Chen, J.-H.; Chen, H.-T.; Liu, W.-L.; Lin, C.-H.; Huang, H.-Y. Monitoring the Effect of Different Metal Centers in Metal-Organic Frameworks and Their Adsorption of Aromatic Molecules using Experimental and Simulation Studies. Chem. Eur. J. 2018, 24, 14044–14047. [Google Scholar] [CrossRef] [PubMed]
- Boontongto, T.; Siriwong, K.; Burakham, R. Amine-Functionalized Metal-Organic Framework as a New Sorbent for Vortex-Assisted Dispersive Micro-Solid Phase Extraction of Phenol Residues in Water Samples Prior to HPLC Analysis: Experimental and Computational Studies. Chromatographia 2018, 81, 735–747. [Google Scholar] [CrossRef]
- Jiang, J. Computational screening of metal-organic frameworks for CO2 separation. Curr. Opin. Green Sust. Chem. 2019, 16, 57–64. [Google Scholar] [CrossRef]
- Wen, H.-M.; Li, B.; Li, L.; Lin, R.-B.; Zhou, W.; Qian, G.; Chen, B. A Metal-Organic Framework with Optimized Porosity and Functional Sites for High Gravimetric and Volumetric Methane Storage Working Capacities. Adv. Mater. 2018, 30, 1704792–1704797. [Google Scholar] [CrossRef] [PubMed]
- Ye, J.; Gagliardi, L.; Cramer, C.J.; Truhlar, D.G. Computational screening of MOF-supported transition metal catalysts for activity and selectivity in ethylene dimerization. J. Catal. 2018, 360, 160–167. [Google Scholar] [CrossRef]
- Gao, G.; Li, S.; Li, S.; Wang, Y.; Zhao, P.; Zhang, X.; Hou, X. A combination of computational-experimental study on metal-organic frameworks MIL-53(Al) as sorbent for simultaneous determination of estrogens and glucocorticoids in water and urine samples by dispersive micro-solid-phase extraction coupled to UPLC-MS/MS. Talanta 2018, 180, 358–367. [Google Scholar] [CrossRef] [PubMed]
- Rocío-Bautista, P.; Martínez-Benito, C.; Pino, V.; Pasán, J.; Ayala, J.H.; Ruiz-Pérez, C.; Afonso, A.M. The metal-organic framework HKUST−1 as efficient sorbent in a vortex-assisted dispersive micro solid-phase extraction of parabens from environmental waters, cosmetic creams, and human urine. Talanta 2015, 139, 13–20. [Google Scholar] [CrossRef] [PubMed]
- González-Sálamo, J.; González-Curbelo, M.A.; Hernández-Borges, J.; Rodríguez-Delgado, M.A. Use of Basolite® F300 metal-organic framework for the dispersive solid-phase extraction of phthalic acid esters from water samples prior to LC-MS determination. Talanta 2019, 195, 236–244. [Google Scholar] [CrossRef]
- Zou, D.; Liu, D. Understanding the modifications and applications of highly stable porous frameworks via UiO-66. Mater. Today Chem. 2019, 12, 139–165. [Google Scholar] [CrossRef]
- Bai, Y.; Dou, Y.; Xie, L.-H.; Rutledge, W.; Li, J.-R.; Zhou, H.-C. Zr-based metal-organic frameworks: Design, synthesis, structure, and applications. Chem. Soc. Rev. 2016, 45, 2327–2367. [Google Scholar] [CrossRef] [PubMed]
- Hu, Z.; Zhao, D. De facto methodologies toward the synthesis and scale-up production of UiO-66-type metal-organic frameworks and membrane materials. Dalton Trans. 2015, 44, 19018–19040. [Google Scholar] [CrossRef] [PubMed]
- Rocío-Bautista, P.; Taima-Mancera, I.; Pasán, J.; Pino, V. Metal-Organic Frameworks in Green Analytical Chemistry. Separations 2019, 6, 33. [Google Scholar] [CrossRef]
- Mohyuddin, A.; Hussain, D.; Fatima, B.; Athar, M.; Ashiq, M.N.; Najam-ul-Haq, M. Gallic acid functionalized UiO-66 for the recovery of ribosylated metabolites from human urine samples. Talanta 2019, 201, 23–32. [Google Scholar] [CrossRef]
- Lv, S.-W.; Liu, J.-M.; Ma, H.; Wang, Z.-H.; Li, C.-Y.; Zhao, N.; Wang, S. Simultaneous adsorption of methyl orange and methylene blue from aqueous solution using amino functionalized Zr-based MOFs. Microporous Mesoporous Mat. 2019, 282, 179–187. [Google Scholar] [CrossRef]
- Zhang, W.; Yang, J.-M.; Yang, R.-N.; Yang, B.-C.; Quan, S.; Jiang, X. Effect of free carboxylic acid groups in UiO-66 analogues on the adsorption of dyes from water: Plausible mechanisms for adsorption and gate-opening behavior. J. Mol. Liq. 2019, 283, 160–166. [Google Scholar] [CrossRef]
- Burrows, A.D. Mixed-component metal-organic frameworks (MC-MOFs): Enhancing functionality through solid solution formation and surface modifications. CrystEngComm. 2011, 13, 3623–3642. [Google Scholar] [CrossRef]
- Taddei, M.; Tiana, D.; Casati, N.; van Bokhoven, J.A.; Smit, B.; Ranocchiari, M. Mixed-linker UiO-66: Structure-property relationships revealed by a combination of high-resolution powder X-ray diffraction and density theory calculations. Phys. Chem. Chem. Phys. 2017, 19, 1551–1559. [Google Scholar] [CrossRef]
- Garibay, S.J.; Cohen, S.M. Isoreticular synthesis and modification of frameworks with the UiO-66 topology. Chem. Commun. 2010, 46, 7700–7702. [Google Scholar] [CrossRef]
- Chavan, S.M.; Shearer, G.C.; Svelle, S.; Olsbye, U.; Bonino, F.; Ethiraj, J.; Lillerud, K.P.; Bordiga, S. Synthesis and Characterization of Amine-Functionalized Mixed-Ligand Metal-Organic Frameworks of UiO-66 Topology. Inorg. Chem. 2014, 53, 9509–9515. [Google Scholar] [CrossRef]
- Katz, M.J.; Brown, Z.J.; Colón, Y.J.; Siu, P.W.; Scheidt, K.A.; Snurr, R.Q.; Hupp, J.T.; Farha, O.K. A facile synthesis of UiO-66, UiO-67 and their derivatives. Chem. Commun. 2013, 49, 9449–9451. [Google Scholar] [CrossRef] [PubMed]
- Cavka, J.H.; Jakobsen, S.; Olsbye, U.; Guillou, N.; Lamberti, C.; Bordiga, S.; Lillerud, K.P. A New Zirconium Inorganic Building Brick Forming Metal Organic Frameworks with Exceptional Stability. J. Am. Chem. Soc. 2008, 130, 13850–13851. [Google Scholar] [CrossRef]
- Nakamoto, K. Infrared and raman spectra of inorganic and coordination compounds, theory and applications in inorganic chemistry. In Infrared and Raman Spectra of Inorganic and Coordination Compounds, 5th ed.; Wiley: Weinheim, Germany, 2006. [Google Scholar]
Sample Availability: Samples of the compounds are not available from the authors. |







| Analyte (Abbreviation) | Structure | Molecular Formula Molecular Weight (g·mol−1) | Molar Volume 1 (Å3·molecule−1) | pKa | Vapor Pressure at 25 °C (N·m−2) | Log Kow 2 |
|---|---|---|---|---|---|---|
| Carbamazepine (Cbz) | ![]() | C15H12N2O 236.27 | 310 | 13.9 | 7.71 × 10−5 | 1.90 |
| 4-Cumylphenol (CuP) | ![]() | C15H16O 212.29 | 334 | 10.6 | 6.64 × 10−3 | 4.24 |
| Benzophenone-3 (BP-3) | ![]() | C14H12O3 228.24 | 315 | 7.6 | 7.01 × 10−4 | 4.00 |
| Triclosan (Tr) | ![]() | C12H7Cl3O2 289.54 | 323 | 7.8 | 4.35 × 10−3 | 5.34 |
| 4-tert-Octylphenol (t-OP) | ![]() | C14H22O 206.32 | 366 | 10.2 | 2.64 × 10−1 | 5.18 |
| 4-Octylphenol (OP) | ![]() | C14H22O 206.32 | 365 | 10.2 | 3.33 × 10−2 | 5.63 |
| Chrysene (Chy) | ![]() | C18H12 228.29 | 318 | - | 1.13 × 10−5 | 5.73 |
| Indeno[1,2,3-cd]pyrene (Ind) | ![]() | C22H12 276.33 | 333 | - | 2.08 × 10−7 | 6.65 |
© 2019 by the authors. Licensee MDPI, Basel, Switzerland. This article is an open access article distributed under the terms and conditions of the Creative Commons Attribution (CC BY) license (http://creativecommons.org/licenses/by/4.0/).
Share and Cite
González-Rodríguez, G.; Taima-Mancera, I.; Lago, A.B.; Ayala, J.H.; Pasán, J.; Pino, V. Mixed Functionalization of Organic Ligands in UiO-66: A Tool to Design Metal–Organic Frameworks for Tailored Microextraction. Molecules 2019, 24, 3656. https://doi.org/10.3390/molecules24203656
González-Rodríguez G, Taima-Mancera I, Lago AB, Ayala JH, Pasán J, Pino V. Mixed Functionalization of Organic Ligands in UiO-66: A Tool to Design Metal–Organic Frameworks for Tailored Microextraction. Molecules. 2019; 24(20):3656. https://doi.org/10.3390/molecules24203656
Chicago/Turabian StyleGonzález-Rodríguez, Gabriel, Iván Taima-Mancera, Ana B. Lago, Juan H. Ayala, Jorge Pasán, and Verónica Pino. 2019. "Mixed Functionalization of Organic Ligands in UiO-66: A Tool to Design Metal–Organic Frameworks for Tailored Microextraction" Molecules 24, no. 20: 3656. https://doi.org/10.3390/molecules24203656
APA StyleGonzález-Rodríguez, G., Taima-Mancera, I., Lago, A. B., Ayala, J. H., Pasán, J., & Pino, V. (2019). Mixed Functionalization of Organic Ligands in UiO-66: A Tool to Design Metal–Organic Frameworks for Tailored Microextraction. Molecules, 24(20), 3656. https://doi.org/10.3390/molecules24203656









