The Ubiquitous Issue of Cross-Mass Transfer: Applications to Single-Use Systems
Abstract
1. Introduction
2. Theory of Cross-Mass Transfer
2.1. Scope
2.2. Two Case-Studies Relevant for Single-Use Applications
2.3. Mathematical Models and Their Solutions
2.3.1. Principles
2.3.2. Common Assumptions
2.3.3. Transport Equations
2.3.4. Interface Conditions
2.3.5. Boundary Conditions
2.3.6. Macroscopic Mass Balance
2.3.7. Superposition Principle for Many Components in the Same Assembly
2.3.8. Similitude Models
2.4. Cross-Mass Transfer with Direct Contact (Case-Study S1)
2.5. Mass Transfer with Indirect and Intermittent Contact Between A and B (Case-Study S2)
2.6. Conditions Triggering Cross-Mass Transfer in Single-Use Systems
3. Results
3.1. Cross-Mass Transfer from Overpackaging to Bags
3.1.1. Distribution of Ԑ-Caprolactam in the Overpackaging Before Contact
3.1.2. Experimental and Simulated Loading Kinetics of Ԑ-Caprolactam in Bags
3.1.3. Extrapolation of the Loading Kinetics for a Bulky Solute: BHT
3.2. Sorption and Partitioning Properties with Liquid Simulants
3.2.1. Apparent Partitioning with Liquid Simulants
3.2.2. Sorption Properties in Multilayer Structures
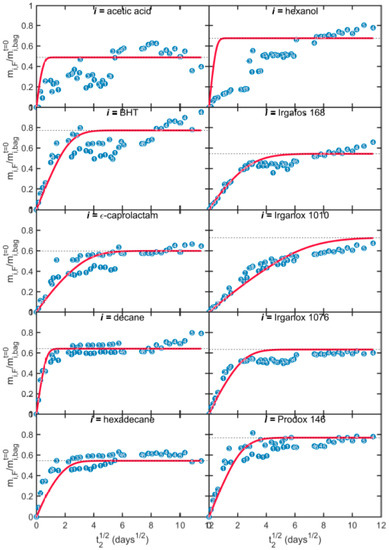
3.3. Desorption Kinetics of Model Solutes in Liquid Simulants
3.4. Evaluation of the Risk of Cross-Mass Transfer
4. Materials and Methods
4.1. Studied Materials and Configurations
4.2. Spiking Bags T1 and T2 for the Step 2 Study
4.3. Cross-Mass Transfer and Migration Testing
4.4. Determination of Initial Concentrations
4.5. Migrant Concentration Analysis
4.6. Migration Modeling
4.6.1. Cross-Mass Transfer from the Overpackaging to the Bag
4.6.2. Migration from Bags to F
5. Conclusions
Author Contributions
Funding
Conflicts of Interest
References
- Careghini, A.; Mastorgio, A.F.; Saponaro, S.; Sezenna, E. Bisphenol A, nonylphenols, benzophenones, and benzotriazoles in soils, groundwater, surface water, sediments, and food: A review. Environ. Sci. Pollut. Res. Int. 2015, 22, 5711–5741. [Google Scholar] [CrossRef] [PubMed]
- Hahladakis, J.N.; Velis, C.A.; Weber, R.; Iacovidou, E.; Purnell, P. An overview of chemical additives present in plastics: Migration, release, fate and environmental impact during their use, disposal and recycling. J. Hazard. Mater. 2018, 344, 179–199. [Google Scholar] [CrossRef] [PubMed]
- Muhamad, M.S.; Salim, M.R.; Lau, W.J.; Yusop, Z. A review on bisphenol A occurrences, health effects and treatment process via membrane technology for drinking water. Environ. Sci. Pollut. Res. Int. 2016, 23, 11549–11567. [Google Scholar] [CrossRef] [PubMed]
- Szendi, K.; Gyongyi, Z.; Kontar, Z.; Gerencser, G.; Berenyi, K.; Hanzel, A.; Fekete, J.; Kovacs, A.; Varga, C. Mutagenicity and phthalate level of bottled water under different storage conditions. Expo. Health 2018, 10, 51–60. [Google Scholar] [CrossRef]
- Salafranca, J.; Clemente, I.; Isella, F.; Nerín, C.; Bosetti, O. Influence of oxygen and long term storage on the profile of volatile compounds released from polymeric multilayer food contact materials sterilized by gamma irradiation. Anal. Chim. Acta 2015, 878, 118–130. [Google Scholar] [CrossRef] [PubMed]
- FDA. Food and Drugs. Chapter I—Food and Drug Administration Department of health and human services. Subchapter C—drugs: General. Part 211—Current Good Manufacturing Practice for Finished Pharmaceuticals; FDA: Silver Spring, MD, USA, 2018; Volume 21. [Google Scholar]
- Li, K.; Rogers, G.; Nashed-Samuel, Y.; Lee, H.; Mire-Sluis, A.; Cherney, B.; Forster, R.; Yeh, P.; Markovic, I. Creating a holistic extractables and leachables (E&L) program for biotechnology products. PDA J. Pharm. Sci. Tech. 2015, 69, 590–619. [Google Scholar] [CrossRef]
- Jenke, D. Compatibility of Pharmaceutical Products and Contact Materials: Safety Considerations Associated with Extractables and Leachables; John Wiley: Hoboken, NJ, USA, 2009. [Google Scholar] [CrossRef]
- Aparicio, J.L.; Elizalde, M. Migration of photoinitiators in food packaging: A review. Packag. Technol. Sci. 2015, 28, 181–203. [Google Scholar] [CrossRef]
- Gao, S.; Wang, Z.W.; Hu, C.Y.; Wu, Y.M. Investigation of migration model of printing inks on paper packaging. J. Food Process Eng. 2014, 37, 146–159. [Google Scholar] [CrossRef]
- Lago, M.A.; de Quiros, A.R.B.; Sendon, R.; Bustos, J.; Nieto, M.T.; Paseiro, P. Photoinitiators: A food safety review. Food Addit. Contam. Part A-Chem. 2015, 32, 779–798. [Google Scholar] [CrossRef]
- Biedermann-Brem, S.; Biedermann, M.; Grob, K. Required barrier efficiency of internal bags against the migration from recycled paperboard packaging into food: A benchmark. Food Addit. Contam. Part A-Chem. 2016, 33, 725–740. [Google Scholar] [CrossRef]
- Lommatzsch, M.; Richter, L.; Biedermann-Brem, S.; Biedermann, M.; Grob, K.; Simat, T.J. Functional barriers or adsorbent to reduce the migration of mineral oil hydrocarbons from recycled cardboard into dry food. Eur. Food Res. Technol. 2016, 242, 1727–1733. [Google Scholar] [CrossRef]
- Paul, U.C.; Fragouli, D.; Bayer, I.S.; Mele, E.; Conchione, C.; Cingolani, R.; Moret, S.; Athanassiou, A. Mineral oil barrier sequential polymer treatment for recycled paper products in food packaging. Mater. Res. Express 2017, 4, 11. [Google Scholar] [CrossRef]
- Spack, L.W.; Leszczyk, G.; Varela, J.; Simian, H.; Gude, T.; Stadler, R.H. Understanding the contamination of food with mineral oil: The need for a confirmatory analytical and procedural approach. Food Addit. Contam A 2017, 34, 1052–1071. [Google Scholar] [CrossRef] [PubMed]
- Eicher, A.; Biedermann, M.; Zurfluh, M.; Grob, K. Migration by ‘direct’ or ‘indirect’ food contact? ‘Dry’ and ‘wetting’ foods? Experimental data for ‘touching’ contact of dry foods with paper and board. Food Addit. Contam. A-Chem. 2015, 32, 110–119. [Google Scholar] [CrossRef] [PubMed]
- Nguyen, P.-M.; Julien, J.M.; Breysse, C.; Lyathaud, C.; Thébault, J.; Vitrac, O. Project SafeFoodPack Design: Case study “indirect migration from paper and boards”. Food Addit. Contam. A 2017, 34, 1703–1720. [Google Scholar] [CrossRef] [PubMed]
- Bee, J.S.; Nelson, S.A.; Freund, E.; Carpenter, J.F.; Randolph, T.W. Precipitation of a monoclonal antibody by soluble tungsten. J. Pharm. Sci. 2009, 98, 3290–3301. [Google Scholar] [CrossRef] [PubMed]
- Rose, R.F.; Lyons, P.; Horne, H.; Mark Wilkinson, S. A review of the materials and allergens in protective gloves. Contact Dermatitis 2009, 61, 129–137. [Google Scholar] [CrossRef] [PubMed]
- Jenke, D. Identification, analysis and safety assessment of leachables and extractables. TrAC Trend. Anal. Chem. 2018, 101, 56–65. [Google Scholar] [CrossRef]
- Pahl, I.; Dorey, S.; Uetwiller, I.; Hoffmann, C.; Priebe, P.; Menzel, R.; Hauk, A. Development of a standardized extractables approach for single-use components: General considerations and practical aspects—A manufacturer’s perspective. BioProcess Int. 2018, 16. Available online: https://bioprocessintl.com/sponsored-content/development-of-standardized-extractables-single-use-components-general-practical-aspects-manufacturers-approach/ (accessed on 5 August 2019).
- Fornasiero, F.; Olaya, M.M.; Esprester, B.; Nguyen, V.; Prausnitz, J.M. Distribution coefficients and diffusivities in three polymers for nineteen aqueous nonvolatile solutes. J. Appl. Polym. Sci. 2002, 85, 2041–2052. [Google Scholar] [CrossRef]
- Fornasiero, F.; Olaya, M.M.; Wagner, I.; Brüderle, F.; Prausnitz, J.M. Solubilities of nonvolatile solutes in polymers from molecular thermodynamics. AIChE J. 2002, 48, 1284–1291. [Google Scholar] [CrossRef]
- Nguyen, P.-M.; Guiga, W.; Dkhissi, A.; Vitrac, O. Off-Lattice Flory–Huggins Approximations for the tailored calculation of activity coefficients of organic solutes in random and block copolymers. Ind. Eng. Chem. Res. 2017, 56, 774–787. [Google Scholar] [CrossRef]
- Gandek, T.P.; Hatton, T.A.; Reid, R.C. Batch extraction with reaction: Phenolic antioxidant migration from polyolefins to water. 2. Experimental results and discussion. Ind. Eng. Chem. Res. 1989, 28, 1036–1045. [Google Scholar] [CrossRef]
- Gandek, T.P.; Hatton, T.A.; Reid, R.C. Batch extraction with reaction: Phenolic antioxidant migration from polyolefins to water. 1. Theory. Ind. Eng. Chem. Res. 1989, 28, 1030–1036. [Google Scholar] [CrossRef]
- Till, D.; Schwope, A.D.; Ehntholt, D.J.; Sidman, K.R.; Whelan, R.H.; Schwartz, P.S.; Reid, R.C.; Rainey, M.L. Indirect food additive migration from polymeric food packaging materials. CRC Crit. Rev. Toxicol. 1987, 18, 215–243. [Google Scholar] [CrossRef]
- Till, D.E.; Ehntholt, D.J.; Reid, R.C.; Schwartz, P.S.; Sidman, K.R.; Schwope, A.D.; Whelan, R.H. Migration of BHT antioxidant from high density polyethylene to foods and food simulants. Ind. Eng. Chem. Prod. Res. Dev. 1982, 21, 106–113. [Google Scholar] [CrossRef]
- Reid, R.C.; Sidman, K.R.; Schwope, A.D.; Till, D.E. Loss of adjuvants from polymer films to foods simulants. effect of the external phase. Ind. Eng. Chem. Prod. Res. Dev. 1980, 19, 580–587. [Google Scholar] [CrossRef]
- Schwope, A.D.; Till, D.E.; Ehntholt, D.J.; Sidman, K.R.; Whelan, R.H.; Schwartz, P.S.; Reid, R.C. Migration of BHT and Irganox 1010 from low-density polyethylene (LDPE) to foods and food-simulating liquids. Food Chem. Toxicol. 1987, 25, 317–326. [Google Scholar] [CrossRef]
- Zhu, Y.; Nguyen, P.-M.; Vitrac, O. Risk assessment of migration from packaging materials into food. In References Modules in Food Science; Robertson, G., Ed.; Elsevier: Amsterdam, The Netherlands, 2019; p. 87. [Google Scholar] [CrossRef]
- Piringer, O.G.; Baner, A.L. Plastic packaging materials for food: Barrier function, mass transport, quality assurance, and legislation; Wiley-VCH: Weinheim, Germany, 2000. [Google Scholar] [CrossRef]
- Piringer, O.G.; Baner, A.L. Plastic Packaging: Interactions with Food and Pharmaceuticals; Wiley: Weinheim, Germany, 2008. [Google Scholar] [CrossRef]
- Vergnaud, J.M. Liquid Transport Processes in Polymeric Materials: Modeling and Industrial Applications; Prentice Hall: Upper Saddle River, NJ, USA, 1991; p. 362. [Google Scholar]
- Chandrasekar, V.; Janes, D.W.; Forrey, C.; Saylor, D.M.; Bajaj, A.; Duncan, T.V.; Zheng, J.; Riaz Ahmed, K.B.; Casey, B.J. Improving risk assessment of color additives in medical device polymers. J. Biomed. Mater. Res. B 2018, 106, 310–319. [Google Scholar] [CrossRef]
- Chandrasekar, V.; Janes, D.W.; Saylor, D.M.; Hood, A.; Bajaj, A.; Duncan, T.V.; Zheng, J.; Isayeva, I.S.; Forrey, C.; Casey, B.J. Conservative Exposure Predictions for Rapid Risk Assessment of Phase-Separated Additives in Medical Device Polymers. Ann. Biomed. Eng. 2018, 46, 14–24. [Google Scholar] [CrossRef]
- Yang, C.Z.; Yaniger, S.I.; Jordan, V.C.; Klein, D.J.; Bittner, G.D. Most Plastic Products Release Estrogenic Chemicals: A Potential Health Problem That Can Be Solved. Environ. Health Perspect. 2011, 119, 989–996. [Google Scholar] [CrossRef] [PubMed]
- Bacle, A.; Thevenot, S.; Grignon, C.; Belmouaz, M.; Bauwens, M.; Teychene, B.; Venisse, N.; Migeot, V.; Dupuis, A. Determination of bisphenol A in water and the medical devices used in hemodialysis treatment. Int. J. Pharm. 2016, 505, 115–121. [Google Scholar] [CrossRef]
- Huygh, J.; Clotman, K.; Malarvannan, G.; Covaci, A.; Schepens, T.; Verbrugghe, W.; Dirinck, E.; Van Gaal, L.; Jorens, P.G. Considerable exposure to the endocrine disrupting chemicals phthalates and bisphenol-A in intensive care unit (ICU) patients. Environ. Int. 2015, 81, 64–72. [Google Scholar] [CrossRef] [PubMed]
- Russo, G.; Barbato, F.; Cardone, E.; Fattore, M.; Albrizio, S.; Grumetto, L. Bisphenol A and Bisphenol S release in milk under household conditions from baby bottles marketed in Italy. J. Environ. Sci. Health Part B-Pestic. Contam. Agric. Wastes 2018, 53, 116–120. [Google Scholar] [CrossRef] [PubMed]
- Testai, E.; Hartemann, P.; Rodríguez-Farre, E.; Rastogi, S.C.; Bustos, J.; Gundert-Remy, U.; Hensten, A.; Kopperud, H.M.; Olea, N.; Piersma, A.; et al. The safety of the use of bisphenol A in medical devices. Regul. Toxicol. Pharm. 2016, 79, 106–107. [Google Scholar] [CrossRef] [PubMed]
- Hengstler, J.G.; Foth, H.; Gebel, T.; Kramer, P.J.; Lilienblum, W.; Schweinfurth, H.; Völkel, W.; Wollin, K.M.; Gundert-Remy, U. Critical evaluation of key evidence on the human health hazards of exposure to bisphenol A. Crit Rev Toxicol 2011, 41, 263–291. [Google Scholar] [CrossRef] [PubMed]
- Gillet, G.; Vitrac, O.; Tissier, D.; Saillard, P.; Desobry, S. Development of decision tools to assess migration from plastic materials in contact with food. Food Addit. Contam. A 2009, 26, 1556–1573. [Google Scholar] [CrossRef]
- Nguyen, P.-M.; Goujon, A.; Sauvegrain, P.; Vitrac, O. A computer-aided methodology to design safe food packaging and related systems. AIChE J. 2013, 59, 1183–1212. [Google Scholar] [CrossRef]
- Vitrac, O.; Goujon, A. Food packaging: New directions for the control of additives and residue migration. In Environmental Impact of Polymers; Deterre, R., Feller, J.-F., Hamaide, T., Eds.; Wiley: Hoboken, NJ, USA, 2014; pp. 273–308. [Google Scholar]
- Vitrac, O.; Hayert, M. Design of safe food packaging under uncertainty. In Chemical Engineering Research Trends; Berton, P., Ed.; Nova Science Publishers: Hauppauge, NY, USA, 2007; pp. 251–292. [Google Scholar]
- Zhu, Y.; Guillemat, B.; Vitrac, O. Rational Design of Packaging: Toward Safer and Ecodesigned Food Packaging Systems. Front. Chem. 2019, 7. [Google Scholar] [CrossRef]
- Katan, L.L. Migration from Food Contact Materials; Springer US: London, UK, 1996. [Google Scholar]
- Shepherd, M.J. Trace contamination of foods by migration from plastics packaging—A review. Food Chem. 1982, 8, 129–145. [Google Scholar] [CrossRef]
- Fang, X.; Vitrac, O. Predicting diffusion coefficients of chemicals in and through packaging materials. Crit. Rev. Food Sci. Nutr. 2017, 57, 275–312. [Google Scholar] [CrossRef] [PubMed]
- Weissler, G.L.; Carlson, R.W. Vacuum Physics and Technology; Academic Press: Cambridge, MA, USA, 1979; p. 592. [Google Scholar]
- Lee, G. Materials for ultra-high vacuum; FNAL-TM-1615; Fermi National Accelerator Laboratory: Batavia, IL, USA, 1989.
- Tribble, A.C. Fundamentals of Contamination Control; SPIE Press: Washington, WA, USA, 2000; p. 176. [Google Scholar]
- NASA. Outgassing Data for Selecting Spacecraft Materials. Available online: https://outgassing.nasa.gov/ (accessed on 6 December 2018).
- ESA. Outgassing Database. Available online: http://esmat.esa.int/Services/outgassing_data/outgassing_data.html (accessed on 6 December 2018).
- Schwope, A.D.; Reid, R.C. Migration to dry foods. Food Addit. Contam. 1988, 5, 445–454. [Google Scholar] [CrossRef]
- Van Kampen, N.G. Diffusion in inhomogeneous media. J. Phys. Chem. Solids 1987, 68, 135–138. [Google Scholar] [CrossRef]
- Lum Wan, J.A.; Chatwin, P.C.; Katan, L.L. Migration from Plastic Packages into their Contents. I. The role of Mathematical Models. Philos. T. Roy. Soc. A 1995, 350, 379–406. [Google Scholar]
- Crank, J. The Mathematics of Diffusion, 2nd ed.; Oxford University Press: New York, NY, USA, 1979; p. 414. [Google Scholar]
- Carslaw, H.S.; Jaeger, J.C. Conduction of Heat in Solids, 2nd ed.; Oxford University Press: Oxford, UK, 1959. [Google Scholar]
- Luikov, A.V. Analytical Heat Diffusion Theory; Academic Press: New York, NY, USA, 1968. [Google Scholar]
- Vergnaud, J.M.; Rosca, I.D. Assessing Food Safety of Polymer Packaging; Rapra Technology: Shrewsbury, UK, 2006. [Google Scholar]
- Carslaw, H.S. Introduction to the theory of Fourier’s series and integrals; Dover publications: NewYork, NY, USA, 1945. [Google Scholar]
- Vitrac, O.; Hayert, M. Identification of Diffusion Transport Properties from Desorption/Sorption Kinetics: An Analysis Based on a New Approximation of Fick Equation during Solid-Liquid Contact. Ind. Eng. Chem. Res. 2006, 45, 7941–7956. [Google Scholar] [CrossRef]
- Goujot, D.; Vitrac, O. Extension to nonlinear adsorption isotherms of exact analytical solutions to mass diffusion problems. Chem. Eng. Sci. 2013, 99, 2–22. [Google Scholar] [CrossRef]
- Pigeonneau, F.; Jaffrennou, B.; Letailleur, A.; Limouzin, K. Numerical investigation of generalized Graetz problem in circular tube with a mass transfer coupling between the solid and the liquid. Int. J. Heat Mass Tran. 2016, 96, 381–395. [Google Scholar] [CrossRef]
- Vitrac, O.; Hayert, M. Risk assessment of migration from packaging materials into foodstuffs. AIChE J. 2005, 51, 1080–1095. [Google Scholar] [CrossRef]
- Gillet, G.; Vitrac, O.; Desobry, S. Prediction of Solute Partition Coefficients between Polyolefins and Alcohols Using a Generalized Flory-Huggins Approach. Ind. Eng. Chem. Res. 2009, 48, 5285–5301. [Google Scholar] [CrossRef]
- Gillet, G.; Vitrac, O.; Desobry, S. Prediction of Partition Coefficients of Plastic Additives between Packaging Materials and Food Simulants. Ind. Eng. Chem. Res. 2010, 49, 7263–7280. [Google Scholar] [CrossRef]
- Vitrac, O.; Gillet, G. An Off-Lattice Flory-Huggins Approach of the Partitioning of Bulky Solutes between Polymers and Interacting Liquids. Int. J. Chem. React. Eng. 2010, 8. [Google Scholar] [CrossRef]
- Vitrac, O.; Mougharbel, A.; Feigenbaum, A. Interfacial mass transport properties which control the migration of packaging constituents into foodstuffs. J. Food Eng. 2007, 79, 1048–1064. [Google Scholar] [CrossRef]
- Hoekstra, E.; Brandsch, R.; Dequatre, C.; Mercea, P.; Milana, M.R.; Stoermer, A.; Trier, X.; Vitrac, O.; Schaefer, A.; Simoneau, C. Practical Guidelines on the Application of Migration Modelling for the Estimation of Specific Migration; European Commission, Joint Research Centre, Institute for Health and Consumers Protection: Lisbon, Portugal, 2015. [Google Scholar]
- Poling, B.E.; Prausnitz, J.M.; O’Connell, J.P. The properties of gases and liquids, 5th ed.; McGraw-Hill Education: New York, NY, USA, 2001. [Google Scholar]
- Ueda, K.; Nakai, M.; Hosoda, M.; Tai, K. Synthesis of High Molecular Weight Nylon 6 by Anionic Polymerization of ε-Caprolactam. Mechanism and Kinetics. Polym. J. 1997, 29, 568. [Google Scholar] [CrossRef]
- Puffr, R.; Kubanek, V. Lactam-based Polyamides: Polymerization Structure; Taylor & Francis: Boca Raton, FL, USA, 1991; p. 328. [Google Scholar]
- Compton, R.G.; Bamford, C.H.; Tipper, C.F.H. Non-Radical Polymerisation; Elsevier Science: Amsterdam, NL, 1976; p. 659. [Google Scholar]
- Zilio-Grandi, F.; Sassu, G.M.; Callegaro, P. Direct determination or residual caprolactam in nylon 6 by gas chromatography. Anal. Chem. 1969, 41, 1847–1849. [Google Scholar] [CrossRef]
- Hornsby, P.R.; Tung, J.F.; Tarverdi, K. Characterization of polyamide 6 made by reactive extrusion. I. Synthesis and characterization of properties. J. Appl. Polym. Sci. 1994, 53, 891–897. [Google Scholar] [CrossRef]
- Bonifaci, L.; Cavalca, G.; Frezzotti, D.; Malaguti, E.; Ravanetti, G.P. Thermodynamic studies on Nylon-6/solvent systems by inverse gas chromatography at elevated temperatures. Polymer 1992, 33, 4343–4346. [Google Scholar] [CrossRef]
- Hansen, C.M. Hansen Solubility Parameters: A User’s Handbook, 2nd ed.; Taylor & Francis: Boca Raton, FL, USA, 2012; p. 544. [Google Scholar]
- Van Krevelen, D.W.; te Nijenhuis, K. Properties of Polymers: Their Correlation with Chemical Structure; Their Numerical Estimation and Prediction from Additive Group Contributions, 4th ed.; Elsevier Science: Amsterdam, The Netherlands, 2009. [Google Scholar]
- McWatters, R.S.; Rowe, R.K. Sorption and Diffusion of BTEX through Thin-Film EVOH. In Proceedings of the Geo-Frontiers Congress 2011, Dallas, TX, USA, 13–16 March 2011. [Google Scholar] [CrossRef]
- Eun, J.; Tinjum, J.M.; Benson, C.H.; Edil, T.B. Equivalent transport parameters for volatile organic compounds in coextruded geomembrane:containing ethylene-vinyl alcohol. J. Geotech. Geoenviron. 2018, 144. [Google Scholar] [CrossRef]
- Touze-Foltz, N.; Mendes, M.; Barral, C.; Mazéas, L. Diffusive transport of phenolic compounds through two coextruded geomembranes. Int. J. Geosynthetics Ground Eng. 2015, 1, 1–12. [Google Scholar] [CrossRef]
- Maes, C.; Luyten, W.; Herremans, G.; Peeters, R.; Carleer, R.; Buntinx, M. Recent Updates on the Barrier Properties of Ethylene Vinyl Alcohol Copolymer (EVOH): A Review. Polymer Reviews 2018, 58, 209–246. [Google Scholar] [CrossRef]
- Schwope, A.D.; Goydan, R.; Reid, R.C. Methods for assessing exposure to chemical substances—Methodology for Estimating the Migration of Additives and Impurities from Polymeric Materials; EPA/560/5-85/015; U.S. Environmental Protection Agency, Office of Pesticides and Toxic Substances: Washington, DC, USA, 1990.
- Vitrac, O.; Challe, B.; Leblanc, J.C.; Feigenbaum, A. Contamination of packaged food by substances migrating from a direct-contact plastic layer: Assessment using a generic quantitative household scale methodology. Food Addit. Contam. 2007, 24, 75–94. [Google Scholar] [CrossRef]
- Vitrac, O.; Leblanc, J.-C. Consumer exposure to substances in plastic packaging. I. Assessment of the contribution of styrene from yogurt pots. Food Addit. Contam. 2007, 24. [Google Scholar] [CrossRef] [PubMed]
- RSC. ChemSpider—The Free Chemical Database (Royal Society of Chemistry). Available online: www.chemspider.com (accessed on 10 March 2018).
- EPA. Estimation Programs Interface Suite™ for Microsoft® Windows, v 4.11. Available online: https://www.epa.gov/tsca-screening-tools/epi-suitetm-estimation-program-interface (accessed on 19 March 2018).
- Vitrac, O. FMECAengine Open Source Project. Available online: http://github.com/ovitrac/FMECAengine (accessed on 4 April 2018).
- Hatzigrigoriou, N.B.; Papaspyrides, C.D.; Joly, C.; Dole, P. Effect of Migrant Size on Diffusion in Dry and Hydrated Polyamide 6. J. Agric. Food Chem. 2010, 58, 8667–8673. [Google Scholar] [CrossRef] [PubMed]
Sample Availability: Samples of the compounds are not available from the authors. |









| CASE-STUDY | STEP 1: Storage Before Use | STEP 2: Contact During Use | ||
|---|---|---|---|---|
| Stacking | Equivalent Structure | Filled Bag | Equivalent Structure | |
| S1 (e.g., single-use bag made from a laminate AB) | Laminate AB | Laminate AB in contact with F: AB-F | ||
![]() | ![]() | ![]() | ![]() | |
| S2 (e.g., single-use bag made from a monomaterial B and wrapped in an over-packaging A) | Assembly A-air-B | B in contact with F: B-F | ||
![]() | ![]() | ![]() | ![]() | |
| CASE-STUDY | Parameters for Substance i = 1,2 (sA = 2, sB = 1) in Layer j = 0...m (F = 0, B = 1, A = 2 or 3) | ||||||||
|---|---|---|---|---|---|---|---|---|---|
| Layer | |||||||||
| S1 (Figure 1) | A (j = 2) | 0 | 1 | 0.5 | 2 | 0.5 | 0.5 | 0.5 | 100 |
| B (j = 1) | 1 | 0 | 1 | 1 | 1 | 1 | 1 | ||
| F (j = 0) | 0 | 0 | 10 | 2 | 0.5 | 5000 | 5000 | ||
| S2 (Figure 2) | A (j = 3) | 0 | 1 | 0.5 | 2 | 0.5 | 0.5 | 0.5 | 100 |
| air (j = 2) | 0 | 0 | 1 | 108 | 104 | 108 | 108 | ||
| B (j = 1) | 1 | 0 | 1 | 1 | 1 | 1 | 1 | ||
| F (j = 0) | 0 | 0 | 10 | 2 | 0.5 | 5000 | 5000 | ||
| Step | Step 1: Storage | Step 2: Contact | |||
|---|---|---|---|---|---|
| Case-Study | |||||
| Structure AB | Structure AB-F | ||||
| S1 | Layer A (j = 2) | The residual amounts of substances i = 1 (sA), 2 (sB) in A (layer j = 2) at the end of step 1 (at equilibrium) are: (14) | The residual amounts of substances i = 1 (sA), 2 (sB) in A (j = 2) at equilibrium are: (15) | ||
| Layer B (j = 1) | The complementary amounts in B (layer j = 1) are: (16) | The residual amounts of substances i = sA,sB in B (j = 1) at equilibrium are: (17) | |||
| Layer F (j = 0) | As the layer F is not present, | The maximum amount of substances i = 1 (sA), 2 (sB) transferred to F (layer j = 0) reads: (18) | |||
| Structure A-air-B | Structure B-F | ||||
| S2 | Layer A (j = 3) | The residual amount of substances i = 1 (sA), 2 (sB) in A (layer j = 3) at the end of step 1 are: (19) | |||
| Layer B (j = 1) | The complementary amounts in B (layer j = 1) are: (20) | The residual amounts of substances i = 1,2 in B (j = 1) at equilibrium are: (21) | |||
| Layer F (j = 0) | As the layer F is not present, | The maximum amount of substances i = 1 (sA), 2 (sB) transferred to F (layer j = 0) reads: (22) | |||
| Solute i | BAG T1 | BAG T2 | ||||||
|---|---|---|---|---|---|---|---|---|
(×10−14) (m2∙s−1) | (×10−14) (m2∙s−1) | (×10−14) (m2∙s−1) | (×10−14) (m2∙s−1) | |||||
| Acetic Acid | 0.16 | 0.23 | 147 | 6.97 | 0.09 | 0.23 | 209 | 6.97 |
| BHT | 0.57 | 0.97 | 2.52 | 0.18 | 1.12 | 0.97 | 5.39 | 0.18 |
| Ԑ-Caprolactam | 0.25 | 0.31 | 3.71 | 0.27 | 0.14 | 0.31 | 8.2 | 0.27 |
| Decane | 0.30 | 0.57 | 97.50 | 3.90 | 0.28 | 0.57 | 117 | 3.90 |
| Hexadecane | 0.20 | 0.26 | 10.10 | 0.44 | 0.07 | 0.26 | 13.3 | 0.44 |
| Hexanol | 0.35 | 0.59 | 187 | 4.07 | 0.82 | 0.59 | 122 | 4.07 |
| Irgafos 168 | 0.20 | 0.38 | 4.11 | 0.06 | 0.52 | 0.38 | 5.78 | 0.06 |
| Irganox 1010 | 0.45 | 0.94 | 1.21 | 0.24 | 0.50 | 0.94 | 2.13 | 0.24 |
| Irganox 1076 | 0.29 | 0.57 | 7.70 | 0.22 | 0.60 | 0.57 | 6.73 | 0.22 |
| Prodox 146 | 0.55 | 1.37 | 3.12 | 0.23 | 0.97 | 1.37 | 6.9 | 0.23 |
| Chemical Name | Short Name/Brand Names | CAS Number a | M (g∙mol−1) a | (25 °C)b | (mg∙kg−1) | Structure |
|---|---|---|---|---|---|---|
| Acetic acid | Acetic Acid | 64-19-7 | 60.05 | 2.14∙103 | c: 754 ± 63 d: 868 ± 56 e: 540 ± 15 f: 275 ± 16 | ![]() |
| Hexan-1-ol | Hexanol | 111-27-3 | 102.17 | 105 | c: 533 ± 31 d: 699 ± 18 e: 213 ± 5.8 f: 213 ± 5.3 | ![]() |
| Azepan-2-one | Ԑ-caprolactam | 105-60-2 | 113.16 | 0.483 | c: 854 ± 61 d: 1033 ± 36 e: 630 ± 33 f: 463 ± 1.6 | ![]() |
| Decane | Decane | 124-18-5 | 142.29 | 211 | c: 2227 ± 33 d: 2471 ± 125 e: 1189 ± 75 f: 1333 ± 45 | ![]() |
| 2,4-di-tert-butylphenol | Prodox 146 | 96-76-4 | 206.33 | 0.356 | c: 1258 ± 29 d: 1097 ± 2.9 e: 324 ± 30 f: 573 ± 11 | ![]() |
| Butylated hydroxytoluene | BHT | 128-37-0 | 220.35 | 0.236 | c: 1159 ± 27 d: 1010 ± 2.7 e: 299 ± 28 f: 528 ± 10 | ![]() |
| Hexadecane | Hexadecane | 544-76-3 | 286.8 | 0.929 | c: 4299 ± 129 d: 1660 ± 22 e: 2989 ± 123 f:1655 ± 65 | ![]() |
| Octadecyl 3-(3,5-di-tert-butyl-4-hydroxyphenyl)propanoate | Irganox 1076 | 2082-79-3 | 530.87 | 4.51∙10−11 | c: 2562 ± 58 d: 683 ± 27 e: 666 ± 13 f: 655 ± 77 | ![]() |
| Tris(2,4-di-tert-butylphenyl)phosphite | Irgafos 168 | 31570-04-4 | 646.92 | 6.32∙10−12 | c: 1907 ± 246 d: 417 ± 3.1 e: 172 ± 3.2 f: 795 ± 136 | ![]() |
| Pentaerythritol Tetrakis(3-(3,5-di-tert-butyl-4-hydroxyphenyl)propionate) | Irganox 1010 | 6683-19-8 | 1177.65 | 9.84∙10−29 | c: 635 ± 37 d: 625 ± 9.1 e: 48 ± 6.9 f: 85 ± 0.9 | ![]() |
| Material | Structure | Considered Experiment | Considered Migrant |
|---|---|---|---|
| Over-packaging | Trilayer laminate PE/PA6/PE (total thickness: 0.08 mm, with the relative thickness 2.3:1:1.3) | Step 1 | Ԑ-caprolactam (monomer of PA6) with a residual concentration 1244 ± 280 mg∙kg−1 of laminate. |
| Bag T1 | Trilayer laminate EVA/EVOH/EVA (total thickness l = 0.3 mm, with the relative thickness 53:1:6) Bag capacity: 50 mL Bag dimensions (L × W): 10.8 × 6.6 cm2 | Step 1 | Ԑ-caprolactam from overpackaging |
| As the previous one. Bag capacity: 150 mL Bag dimensions (L × W): 15.5 × 9 cm2 Number of connected tubes: 3 (internal Ø = 2.5 mm, wall thickness = 0.5 mm, length = 20 mm) | Step 2 | ten solutes (see Table 5) added by sorption | |
| Bag T2 | Trilayer laminate PE/EVOH/PE (total thickness l = 0.4 mm, with the relative thickness 10.2:1:4.8) Bag capacity: 50 mL Bag dimensions (L × W): 9.5 × 8 cm2 | Step 1 | Ԑ-caprolactam from overpackaging |
| As the previous one. Bag capacity: 100 mL Bag dimensions (L × W): 13 × 11 cm2 Number of connected tubes: tubes (internal Ø = 3 mm, wall thickness = 0.7 mm, length = 100 mm) | Step 2 | ten solutes (see Table 5) added by sorption |
| Bag T1 | Layer (index) | EVA (j = 1) | EVOH (j = 2) | EVA (j = 3) | air (j = 4) | PE (j = 5) | PA (j = 6) | PE (j = 7) |
| (kg∙m−3) | 0 | 0 | 0 | 0 | 0.58 | 3.62 | 0.58 | |
| 1.83 × 10−7 | 3.83 × 10−7 | 1.83 × 10−7 | 1 | 2.47 × 10−7 | 3.96 × 10−8 | 2.47 × 10−7 | ||
| (m2∙s−1) | 7.94 × 10−14 | 0.34 × 10−14 | 7.94 × 10−14 | 8.12 × 10−6 | 10.8 × 10−14 | 1.92 × 10−16 | 10.8 × 10−14 | |
| 50 | 46 | 6 | 1 | 7 | 285 | 4 | ||
| Bag T2 | Layer (index) | PE (j = 1) | EVOH (j =2) | PE (j = 3) | air (j = 4) | PE (j = 5) | PA (j = 6) | PE (j = 7) |
| (kg∙m−3) | 0 | 0 | 0 | 0 | 0.58 | 3.62 | 0.58 | |
| 2.47 × 10−7 | 3.83 × 10−7 | 2.47 × 10−7 | 1 | 2.47 × 10−7 | 3.96 × 10−8 | 2.47 × 10−7 | ||
| (m2∙s−1) | 10.8 × 10−14 | 0.34 × 10−14 | 10.8 × 10−14 | 8.12 × 10−6 | 10.8 × 10−14 | 1.92 × 10−16 | 10.8 × 10−14 | |
| 47 | 229 | 22 | 1 | 7 | 285 | 4 |
| Bag T1 | Layer (index) | EVA (j = 1) | EVOH (j = 2) | EVA (j = 3) | air (j = 4) | PE (j = 5) | PA (j = 6) | PE (j = 7) |
| (kg∙m−3) | 0 | 0 | 0 | 0 | 4.0 | 2.1 | 4.0 | |
| 2.37 × 10−6 | 2.90 × 10−6 | 2.37 × 10−6 | 1 | 1.63 × 10−6 | 3.20 × 10−6 | 1.63 × 10−6 | ||
| (m2∙s−1) | 3.52 × 10−14 | 0.24 × 10−14 | 3.52 × 10−14 | 5.29 × 10−6 | 9.97 × 10−14 | 4.50 × 10−17 | 9.97 × 10−14 | |
| 945 | 319 | 107 | 1 | 48 | 640,000 | 27 | ||
| Bag T2 | Layer (index) | PE (j = 1) | EVOH (j = 2) | PE (j = 3) | air (j = 4) | PE (j = 5) | PA (j = 6) | PE (j = 7) |
| (kg∙m−3) | 0 | 0 | 0 | 0 | 4.0 | 2.1 | 4.0 | |
| 1.63 × 10−6 | 2.90 × 10−6 | 1.63 × 10−6 | 1 | 1.63 × 10−6 | 3.20 × 10−6 | 1.63 × 10−6 | ||
| (m2∙s−1) | 9.97 × 10−14 | 0.33 × 10−14 | 9.97 × 10−14 | 8.12 × 10−6 | 9.97 × 10−14 | 4.50 × 10−17 | 9.97 × 10−14 | |
| 316 | 1597 | 149 | 1 | 48 | 640,000 | 27 |
© 2019 by the authors. Licensee MDPI, Basel, Switzerland. This article is an open access article distributed under the terms and conditions of the Creative Commons Attribution (CC BY) license (http://creativecommons.org/licenses/by/4.0/).
Share and Cite
Nguyen, P.-M.; Dorey, S.; Vitrac, O. The Ubiquitous Issue of Cross-Mass Transfer: Applications to Single-Use Systems. Molecules 2019, 24, 3467. https://doi.org/10.3390/molecules24193467
Nguyen P-M, Dorey S, Vitrac O. The Ubiquitous Issue of Cross-Mass Transfer: Applications to Single-Use Systems. Molecules. 2019; 24(19):3467. https://doi.org/10.3390/molecules24193467
Chicago/Turabian StyleNguyen, Phuong-Mai, Samuel Dorey, and Olivier Vitrac. 2019. "The Ubiquitous Issue of Cross-Mass Transfer: Applications to Single-Use Systems" Molecules 24, no. 19: 3467. https://doi.org/10.3390/molecules24193467
APA StyleNguyen, P.-M., Dorey, S., & Vitrac, O. (2019). The Ubiquitous Issue of Cross-Mass Transfer: Applications to Single-Use Systems. Molecules, 24(19), 3467. https://doi.org/10.3390/molecules24193467



















