Biofilm Formation in Acinetobacter Baumannii: Genotype-Phenotype Correlation
Abstract
:1. Introduction
2. Results
2.1. Antibiotic Susceptibility Testing
2.2. Minimum Inhibitory Concentration Determination
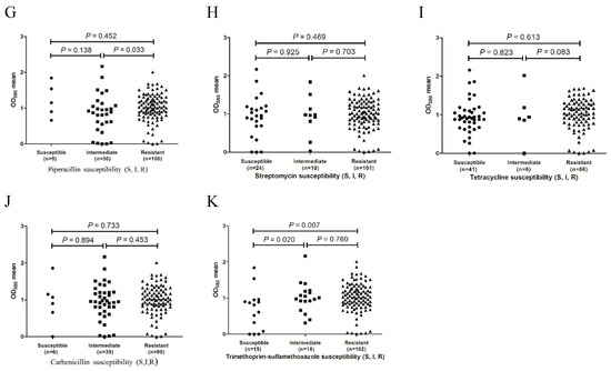
2.3. Relationship between Antibiotic Susceptibility and Biofilm Formation
2.4. Relationship of Biofilm Formation and the Biofilm Related Genes
2.5. Microscopic Analysis of Biofilms Formation Ability
3. Discussion
4. Material and Methods
4.1. Bacterial Strains
4.2. Antibiotic Susceptibility Test
4.3. Detection of Biofilm Related Genes
4.4. Quantitative Biofilm Formation Assay
4.5. Microscopic Analysis of Biofilms Formation Ability
4.6. Statistical Analyses
5. Conclusions
Author Contributions
Funding
Conflicts of Interest
References
- Dijkshoorn, L.; Nemec, A.; Seifert, H. An increasing threat in hospitals: multidrug-resistant Acinetobacter baumannii. Nat. Rev. Microbiol. 2007, 5, 939–951. [Google Scholar] [CrossRef] [PubMed]
- Sengstock, D.M.; Thyagarajan, R.; Apalara, J.; Mira, A.; Chopra, T.; Kaye, K.S. Multidrug-resistant Acinetobacter baumannii: an emerging pathogen among older adults in community hospitals and nursing homes. Clin. Infect. Dis. 2010, 50, 1611–1616. [Google Scholar] [CrossRef]
- Gaddy, J.A.; Actis, L.A. Regulation of Acinetobacter baumannii biofilm formation. Future Microbiol. 2009, 4, 273–278. [Google Scholar] [CrossRef] [PubMed]
- Smani, Y.; McConnell, M.J.; Pachon, J. Role of fibronectin in the adhesion of Acinetobacter baumannii to host cells. PLoS ONE 2012, 7, e33073. [Google Scholar] [CrossRef]
- Flemming, H.C.; Wingender, J. The biofilm matrix. Nat. Rev. Microbiol. 2010, 8, 623–633. [Google Scholar] [CrossRef]
- Longo, F.; Vuotto, C.; Donelli, G. Biofilm formation in Acinetobacter baumannii. New Microbiol. 2014, 37, 119–127. [Google Scholar]
- Fattahian, Y.; Rasooli, I.; Gargari, S.L.M.; Rahbar, M.R.; Astaneh, S.D.A.; Amani, J. Protection against Acinetobacter baumannii infection via its functional deprivation of biofilm associated protein (Bap). Microb. Pathog. 2011, 51, 402–406. [Google Scholar] [CrossRef]
- Aliramezani, A.; Douraghi, M.; Hajihasani, A.; Mohammadzadeh, M.; Rahbar, M. Clonal relatedness and biofilm formation of OXA-23-producing carbapenem resistant Acinetobacter baumannii isolates from hospital environment. Micobial. Pathog. 2016, 99, 204–208. [Google Scholar] [CrossRef]
- Brossard, K.A.; Campagnari, A.A. The Acinetobacter baumannii biofilm-associated protein plays a role in adherence to human epithelial cells. Infect. Immun. 2012, 80, 228–233. [Google Scholar] [CrossRef] [PubMed]
- Loehfelm, T.W.; Luke, N.R.; Campagnari, A.A. Identification and characterization of an Acinetobacter baumannii biofilm-associated protein. J. Bacteriol. 2008, 190, 1036–1044. [Google Scholar] [CrossRef] [PubMed]
- Lee, H.W.; Kim, J.; Lee, J.C.; Lee, Y.C.; Seol, S.Y. Capacity of multidrug-resistant clinical isolates of Acinetobacter baumannii to form biofilm and adhere to epithelial cell surfaces. Clin. Microbiol. Infect. 2008, 14, 49–54. [Google Scholar] [CrossRef]
- Cincarova, L.; Polansky, O.; Babak, V.; Kulich, P.; Kralik, P. Changes in the Expression of biofilm-associated surface proteins in Staphylococcus aureus food-environmental isolates subjected to sublethal concentrations of disinfectants. Biomed. Res. Int. 2016, 4034517. [Google Scholar] [CrossRef]
- Tomaras, A.P.; Flagler, M.J.; Dorsey, C.W.; Gaddy, J.A.; Actis, L.A. Characterization of a two-component regulatory system from Acinetobacter baumannii that controls biofilm formation and cellular morphology. Microbiol. 2008, 154, 3398–3409. [Google Scholar] [CrossRef]
- Seng, R.; Kitti, T.; Thummeepak, R.; Kongthai, P.; Leungtongkam, U.; Wannalerdsakun, S.; Sitthisak, S. Biofilm formation of methicillin-resistant coagulase negative staphylococci (MR-CoNS) isolated from community and hospital environments. PLoS One. 2017, 12, e0184172. [Google Scholar] [CrossRef]
- De Gregorio, E.; Del Franco, M.; Roscetto, M.; Zarrilli, R.; Di Nocera, P.P. Biofilm-associated proteins: news from Acinetobacter. BMC Genom. 2015, 16, 933. [Google Scholar] [CrossRef]
- Reichhardt, C.; Stevens, DA.; Cegelski, L. Fungal biofilm composition and opportunities in drug discovery. Future Med Chem. 2016, 8(12), 1455–1468. [Google Scholar] [CrossRef]
- Rodrigues, CF.; Rodrigues, ME.; Silva, S.; Henriques, M. Candida glabrata Biofilms: How Far Have We Come? J. Fungi (Basel) 2017, 3, 11. [Google Scholar] [CrossRef]
- CLSI. Performance Standards for Antimicrobial Susceptibility Testing; Twenty-Fourth Informational Supplement (M100-S24); Clinical and Laboratory Standards Institute: Wayne, PA, USA, 2014. [Google Scholar]
- Neuhäuser, M. Wilcoxon–Mann–Whitney Test. In International Encyclopedia of Statistical Science; Lovric, M., Ed.; Springer: Berlin/Heidelberg, Germany, 2011; pp. 1656–1658. [Google Scholar]
- Dumaru, R.; Baral, R.; Shrestha, L.B. Study of biofilm formation and antibiotic resistance pattern of gram-negative Bacilli among the clinical isolates at BPKIHS, Dharan. BMC Res Notes 2019, 12, 38. [Google Scholar] [CrossRef]
- Eze, E.C.; Chenia, H.Y.; Zowalaty, M.E. Acinetobacter baumannii biofilms: effects of physicochemical factors, virulence, antibiotic resistance determinants, gene regulation, and future antimicrobial treatments. Infect Drug Resist. 2018, 11, 2277–2299. [Google Scholar] [CrossRef]
- Poole, K. Mechanisms of bacterial biocide and antibiotic resistance. Symp. Ser. Soc. Appl. Microbiol. 2002, 55S–64S. [Google Scholar] [CrossRef]
- Stowe, S.D.; Richards, J.J.; Tucker, A.T.; Thompson, R.; Melander, C.; Cavanagh, J. Anti-biofilm compounds derived from marine sponges. Mar. Drugs. 2011, 9, 2010–2035. [Google Scholar] [CrossRef]
- Hoyle, B.D.; Costerton, J.W. Bacterial resistance to antibiotics: the role of biofilms. Prog. Drug. Res. 1991, 37, 91–105. [Google Scholar]
- Wen, Z.Y.; Yang, L.; Xu, Y. Multidrug-resistant genes of aminoglycoside-modifying enzymes and 16S rRNA methylases in Acinetobacter baumannii strains. Genet. Mol. Res. 2014, 13, 3842–3849. [Google Scholar] [CrossRef] [PubMed]
- Hoffman, L.R.; D’Argenio, D.A.; MacCoss, M.J.; Zhang, Z.; Jones, R.A.; Miller, S.I. Aminoglycoside antibiotics induce bacterial biofilm formation. Nature 2005, 436, 1171. [Google Scholar] [CrossRef]
- El-Shazly, S.; Dashti, A.; Vali, L.; Bolaris, M.; Ibrahim, A.S. Molecular epidemiology and characterization of multiple drug-resistant (MDR) clinical isolates of Acinetobacter baumannii. Int. J. Infect. Dis. 2015, 41, 42–49. [Google Scholar] [CrossRef]
- Sechi, L.A.; Karadenizli, A.; Deriu, A.; Zanetti, S.; Kolayli, F.; Balikci, E. PER-1 type beta-lactamase production in Acinetobacter baumannii is related to cell adhesion. Med. Sci. Monit. 2004, 10, BR180–184. [Google Scholar]
- Bardbari, A.M.; Arabestani, M.R.; Karami, M.; Keramat, F.; Alikhani, M.Y.; Bagheri, K.P. Correlation between ability of biofilm formation with their responsible genes and MDR patterns in clinical and environmental Acinetobacter baumannii isolates. Microb. Pathog. 2017, 108, 122–128. [Google Scholar] [CrossRef]
- Gaddy, J.; Tomaras, A.; Actis, L. The Acinetobacter baumannii 19606 OmpA protein plays a role in biofilm formation on abiotic surfaces and in the interaction of this pathogen with eukaryotic cells. Infect. Immun. 2009, 77, 3150–3160. [Google Scholar] [CrossRef] [PubMed]
- Soumya, E.l.; Abed, S.; Latrache, H.; Hamadi, F. Scanning electron microscopy (SEM) and environmental SEM: suitable tools for study of adhesion stage and biofilm formation. In Scanning Electron Microscopy; Viacheslav Kazmiruk, IntechOpen: London, UK, 2012. [Google Scholar]
- Qi, L.; Zhang, C.; Liang, B.; Li, J.; Wang, L.; Du, X.; Liu, X.; Qiu, S.; Song, H. Relationship between antibiotic resistance, biofilm formation, and biofilm-specific resistance in Acinetobacter baumannii. Front. Microbiol. 2016, 7, 483. [Google Scholar] [CrossRef]
- Vijayakumar, S.; Rajenderan, S.; Laishram, S.; Anandan, S.; Balaji, V.; Biswas, I. Biofilm formation and motility depend on the nature of the Acinetobacter baumannii clinical isolates. Front. Public. Health. 2016, 4, 105. [Google Scholar] [CrossRef]
- Motta, P.M.; Makabe, S.; Naguro, T.; Correr, S. Oocyte follicle cells association during development of human ovarian follicle. A study by high resolution scanning and transmission electron microscopy. Arch. Histol. Cytol. 1994, 57, 369–394. [Google Scholar] [CrossRef] [PubMed]
- Cucarella, C.; Tormo, M.A.; Ubeda, C.; Trotonda, M.P.; Monzon, M.; Peris, C.; Amorena, B.; Lasa, I.; Penades, J.R. Role of biofilm-associated protein bap in the pathogenesis of bovine Staphylococcus aureus. Infect. Immun. 2004, 72, 2177–2185. [Google Scholar] [CrossRef] [PubMed]
- Pourhajibagher, M.; Mokhtaran, M.; Esmaeili, D.; Bahador, A. Assessment of biofilm formation among Acinetobacter baumannii strains isolated from burned patients. Der. Pharm. Lett. 2016, 8, 225–229. [Google Scholar]
Sample Availability: Samples of the strains are available from the authors. |





| Antimicrobial Category | Antimicrobial Agent | Antibiotic Resistance Level (%) | MIC (µg/mL) | ||||
|---|---|---|---|---|---|---|---|
| S | I | R | S | I | R | ||
| Aminoglycosides | Gentamicin | 36% | 23% | 41% | ≤4 | 4–8 | ≥16 |
| Amikacin | 35% | 39% | 27% | ≤16 | 16–32 | ≥64 | |
| Streptomycin | 24% | 44% | 32% | ≤4 | 4–8 | ≥16 | |
| Cephems | Cefepime | 11% | 31% | 59% | ≤4 | 4–6 | ≥16 |
| Carbapenems | Ceftazidime | 29% | 57% | 13% | ≤8 | 8–16 | ≥32 |
| Imipenem | 35% | 37% | 28% | ≤2 | 2–4 | ≥8 | |
| Penicillins | Ticarcillin | 15% | 44% | 41% | ≤16 | 16–64 | ≥128 |
| Piperacillin | 15% | 43% | 43% | ≤16 | 16–64 | ≥128 | |
| Carbenicillin | 6% | 37% | 56% | ≤16 | 16–32 | ≥64 | |
| Folate pathway inhibitors | Sulfamethoxazole-Triethoprim | 31% | 5% | 63% | ≤4 | 4–38 | ≥76 |
| Tetracycline | Tetracycline | 59% | 15% | 27% | ≤4 | 4–8 | ≥16 |
| Biofilm Formation * | Isolates /Biofilm Formation % | Biofilm-Related Genes | |||
|---|---|---|---|---|---|
| Isolates/Genes % | |||||
| bap | blaPER | ompA | csuE | ||
| Non biofilm | 10/6.5 | 6/3.9 | 3/1.9 | 10/6.5 | 7/4.5 |
| Weak biofilm | 24/15.6 | 18/11.7 | 6/3.9 | 22/14.3 | 16/10.4 |
| Moderate biofilm | 50/32.5 | 36/23.4 | 19/12.3 | 45/29.2 | 33/21.4 |
| Strong biofilm | 70/45.4 | 62/40.3 | 31/20.1 | 64/41.6 | 50/32.5 |
| Primers | Primer Sequence (5’-3’) | Product Size (bp) | References |
|---|---|---|---|
| bap | TGCTGACAGTGACGTAGAACCACA TGCAACTAGTGGAATAGCAGCCCA | 184 | [35] |
| blaPER-1 | GCAACTGCTGCAATACTCGG ATGTGCGACCACAGTACCAG | 900 | [29] |
| csuE | CATCTTCTATTTCGGTCCC CGGTCTGAGCATTGGTAA | 168 | [32] |
| ompA | GTTAAAGGCGACGTAGACG CCAGTGTTATCTGTGTGACC | 578 | [32] |
© 2019 by the authors. Licensee MDPI, Basel, Switzerland. This article is an open access article distributed under the terms and conditions of the Creative Commons Attribution (CC BY) license (http://creativecommons.org/licenses/by/4.0/).
Share and Cite
Yang, C.-H.; Su, P.-W.; Moi, S.-H.; Chuang, L.-Y. Biofilm Formation in Acinetobacter Baumannii: Genotype-Phenotype Correlation. Molecules 2019, 24, 1849. https://doi.org/10.3390/molecules24101849
Yang C-H, Su P-W, Moi S-H, Chuang L-Y. Biofilm Formation in Acinetobacter Baumannii: Genotype-Phenotype Correlation. Molecules. 2019; 24(10):1849. https://doi.org/10.3390/molecules24101849
Chicago/Turabian StyleYang, Cheng-Hong, Pai-Wei Su, Sin-Hua Moi, and Li-Yeh Chuang. 2019. "Biofilm Formation in Acinetobacter Baumannii: Genotype-Phenotype Correlation" Molecules 24, no. 10: 1849. https://doi.org/10.3390/molecules24101849
APA StyleYang, C.-H., Su, P.-W., Moi, S.-H., & Chuang, L.-Y. (2019). Biofilm Formation in Acinetobacter Baumannii: Genotype-Phenotype Correlation. Molecules, 24(10), 1849. https://doi.org/10.3390/molecules24101849
