You are currently viewing a new version of our website. To view the old version click .
Molecules
  • Article
  • Open Access

10 May 2018

Synthesis and Biological Evaluation of Bisthiazoles and Polythiazoles

,
and
1
Department of Chemistry, Faculty of Science, King Faisal University, Hofuf 31982, Saudi Arabia
2
Department of Chemistry, Faculty of Science, Beni-Suef University, Beni-suef 62514, Egypt
3
Department of Chemistry, Faculty of Science, Mansoura University, Mansoura 35516, Egypt
*
Author to whom correspondence should be addressed.

Abstract

Small heterocyclic compounds containing nitrogen and sulfur atoms, such as thiazole derivatives, represent a significant class of organic azoles that exhibit promising bioactivities and have a great potential in medicinal and agricultural fields. A convenient and high-yielding synthetic approach for a range of organic molecules is presented. The nuclease-like activities of compounds were studied with the aid of E. coli AB1157 DNA and agarose gel electrophoresis. The antioxidant evaluation of the compounds was carried out with different antioxidant techniques, such as ABTS and NO scavenging efficiency. The antibacterial behavior was evaluated against various bacterial strains, both Gram-positive and -negative, and the minimum inhibitory concentration (MIC) values of these compounds were determined. The antiproliferative activities and IC50 values of the synthesized organic molecules compounds against HEPG-2, MCF-7, and HCT-116 cell lines were evaluated.

1. Introduction

Hydrazonoyl halides are pivotal in chemical synthesis due to the fact that these compounds are synthetic precursors that generate a large number of alicyclic and organic molecules. Moreover, the hydrazonoyl halide derivatives exhibit significant biological activities, such as herbicidal, antimicrobial, acaricidal, antiviral, pesticidal, fungicidal, miticidal, antisarcoptic, insecticidal, anthelmintic, and antiarthropodal [1,2].
A series of thiosemicarbazone derivatives have shown to have a wide range of chemotherapeutic value and pharmacological importance. The bioactivities of thiosemicarbazone derivatives represent a wide range of properties including antitumor, cytotoxic [3], antibacterial [4], and antiviral [5] activities.
Thiazole derivatives are present in numerous pharmaceutically active compounds and play a significant role in agricultural industry. These have been reported to display antimicrobial [6,7], anti-rheumatoid [8], anti-hypertensive [9], anti-human immunodeficiency virus (HIV) [10], anticancer [11], antifever [12], anticonvulsant [13], herbicidal, insecticidal, schistosomicidal, and anthelmintic [14] activities. In addition, vitamin B1 also contains a thiazole ring in its structure, and this vitamin plays an essential role as coenzyme in the decarboxylation process of carbohydrate metabolism [15]. It is also required for diabetic patients to improve their carbohydrate catabolism. Moreover, a large number of thiazole-containing pharmaceutical compounds are present in several drug molecules, such as Tiazofurin (antineoplastic mediators), Bleomycin [16], Ritonavir (anti-HIV medication) [17], Fanetizole and Meloxicam (arthritis mediators) [18], Nizatidine (antiulcer mediator) [19], Imidacloprid (insecticide), and sulfathiazole as an antibiotic [20].
The thiazole motif is characterized as a ligand for estrogen [21] and adenosine [22] receptors. In addition, thiazole derivatives with diacylhydrazine substitutions at 2,4 positions have been reported as a PGE2 antagonist [23]. These derivatives have also been found to represent a new class of active molecules, which can be employed as therapeutic drugs in breast cancer and osteoporosis curing [24]. Literature reveals that the synthesis and reactivity of 5-keto thiazole to prepare diazonium chlorides is very simple [25]. Treatment of 1,3,4-oxadiazolyl with ethyl chloroacetate and α-haloketones affords thiazole derivatives [26]. Synthesis of 1,3-thiazoles via reaction of thiosemicarbazide derivatives with various halogens, such as ethyl bromoacetate and ethyl-2-bromopropionate, is also known [27]. Moreover, synthesis of bisthiazoles by treating dihydrazonoyl dichloride with hydrazone has also been documented [28,29].
The prime objective of this article relies on utilization of simple method to synthesize bioactive thiazoles and polythiazoles. The desired products have been evaluated using different biological assays such as antimicrobial, antioxidants, and nuclease-like activity assays and IC50 determination.

2. Results and Discussion

2.1. Chemistry

We report here a rapid and simple method to synthesize thiazoles in excellent yield and short reaction time. We prepared thiazole derivatives 4a, 4b, and 5 using two different methods. The first method proceeded in two steps. The first step involved the preparation of thiosemicarbazones 2a, 2b, and 3 by reaction of aldehyde with thiosemicarbazide. In the second step, treatment of bishydrazonoyl 1 with 2-(arylidene)hydrazinecarbothioamides 2a, 2b, or 3 in dioxane and basic medium, under reflux for 30 min, proceeded through a nucleophilic substitution reaction followed by elimination of water to give thiazoles 4a, 4b, or 5 as the only isolated products (confirmed by thin layer chromatography) (Scheme 1). The reaction is rapid, simple, and gives excellent yields and has a short reaction time in comparison to previous method [28]. The obtained products were elucidated by spectral data. 1H NMR spectrum of thiazoles showed the absence of NH2 protons present in the starting material. The IR spectra revealed the absence of carbonyl absorption present in the starting bishydrazonoyl 1, as shown in Scheme 1.
Scheme 1. Synthesis of bisthiazoles 4a, 4b, and 5.
In the second method, an alternative method for the synthesis of bisthiazole 4a and 4b, took place by coupling compounds 4A, 4B [30] to aryldiazonium salts to furnish compounds 4a and 4b. These products showed similar IR spectra, m.ps., and mixed m.ps. to those from the reaction of 1 with 2a or 2b.
Similarly, treatment of the bishydrazonoyl 6 with 2-(arylidene)hydrazinecarbothioamides 2a, 2b, and 3 in dioxane containing a catalytic amount of base and heating for 30 min furnished the desired bisthiazole derivatives 7a, 7b, and 8 in excellent yields and short reaction times (Scheme 2). It is envisaged that these compounds follow the same mechanistic route as that explained for the formation of 4a, 4b, and 5.
Scheme 2. Synthesis of bisthiazoles 7a, 7b, and 8.
An alternative method for the synthesis of bisthiazoles 7a and 7b was performed based on the coupling of compounds 4A, 4B [30] to aryldiazonium salts to furnish compounds 7a and 7b. These products had identical IR spectra, m.ps., and mixed m.ps. when compared to the compounds obtained by the reaction of 6 with 2a or 2b.
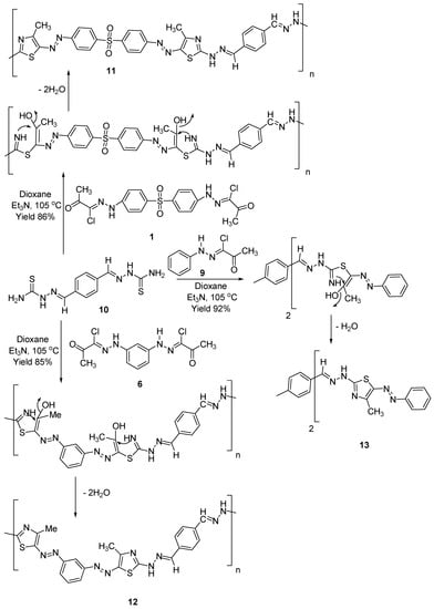
In order to further explore this chemistry, 2,2′-(1,4-phenylenebis-(methanylylidene))-bis-(hydrazinecarbothioamide) 10 was reacted with monohydrazonoyl (α-halocarbonyl) 9 to give product 13. We extended this work to prepare polythiazoles. Thus, the reaction of 2,2′-(1,4-phenylenebis(methanylylidene))bis-(hydrazinecarbothioamide) 10 with bishydrazonoyl halides containing α-halocarbonyl 1 or 6 gave products 11 and 12, as described in Scheme 3. The mechanistic formation of the products is similar to that proposed for previous reactions, through elimination of hydrochloric acids to form S-alkylated intermediate, which cyclized by loss of water molecules. The IR spectra of the final products 11 and 12 showed absence of the carbonyl group band, which was present in the starting materials. In addition, the IR spectra of 11 and 12 revealed bands indicating a secondary amine stretch vibration at 3154 and 3364 cm−1 and a methyl group at 1356 and 1358 cm−1. The molecular weight of the polymers could not be analyzed due to poor solubility in different solvent.
Scheme 3. Synthesis of bisthiazole 13 and polythiazoles 11 and 12.
We checked the solubility of polythiazoles 11 and 12. These polymers are soluble in N-methylpyrolidone (NMP), dimethylformamide (DMF), dimethylacetamide (DMA), and dimethylsulfoxide (DMSO). In addition, we found these compounds are insoluble in carbon tetrachloride, benzene, cyclohexane, methylene chloride, petroleum ether, chloroform, methanol, and ethanol.

2.2. Biological Evaluations

2.2.1. DNA Digestion Pattern

The DNA digestion ability of the synthesized compounds 1, 4a, 4b, 5, 6, 7a, 7b, 8, 9, 11, 12, and 13 compared to that of controls is owing to their DNA affinity and digestion ability. The synthesized compounds were permitted to bind with DNA extracted from E. coli AB1157 for studying the DNA digestion ability. In the current study, the compounds exhibited an increase in the DNA digestion ability.
By varying the concentration of the tested compounds, their ability to interact with the DNA was demonstrated, as represented in Figure 1. DNA digestion activity of the compounds was examined in aerobic conditions at 37 °C and in the absence of any exterior additives. The results verified that the synthesized compounds show promising ability to bind and digest the DNA. The achieved results show that the synthesized compound 1 at concentration 4 µg has nuclease-like activities, as the DNA has a smear, as represented in Figure 1B, Lane 3. Moreover, compound 1 at concentration 6 µg has higher DNA affinity and accomplished DNA degradation, as shown in Figure 1C,D, whereas at concentration of 2 µg, compound 1 displayed no cleavage effect on the genomic DNA compared to the controls (Figure 1A). After incubation for 1 h, the DNA was substantially digested at a concentration of 6 µg by compounds 4a, 6, 7a, 7b, 8, 11, 12, and 13, while at 6 µg of compound 1, the DNA was entirely cleaved, as shown in Figure 1B,C. Instead, the smeared DNA detected with compounds 4b, 5, and 9 at 8 µg may be due to their cytostatic binding ability. The genomic DNA was completely degraded by the compounds at concentration 10 µg, as represented in Figure 1E. These data indicate that the DNA cleaving activity of 1, 4a, 4b, 5, 6, 7a, 7b, 8, 9, 11, 12, and 13 depend on the concentration and the structure of the studied samples. The increase in nuclease-like activities of compound 1 may be due to the electron withdrawing activity of the sulfonyl moiety and the negative inductive effect of two Cl atoms, which lie between C=O and =N–N–H as electron donating groups. The results of DNA degradation by the tested compounds was in agreement with that formerly stated [31,32,33,34,35]. In conclusion, the present study proves that the compounds have substantial DNA digestion abilities, in the absence of external materials, at 10 µg. The DNA cleavage activity, deprived of any additional material, is valuable information that renders the synthesized compounds promising agents for antitumor treatment.
Figure 1. A figure showing the degradation effect of 2 (A), 4 (B), 6 (C), 8 (D), and 10 (E) µM of compounds (1, 4a, 4b, 5, 6, 7a, 7b, 8, 9, 11, 12, and 13) (Lanes 3–14) on the genomic DNA isolated from E. coli. Lane 1 E. coli DNA; Lane 2 E. coli DNA + DMSO.

2.2.2. Antioxidant Activities

Subsequent to the DNA digestion investigation showing that the synthesized organic molecules displayed respectable binding and affinity toward DNA at concentration of 10 µg, the activity of the organic molecules as antioxidants was examined. The ABTS test is broadly utilized for measuring the scavenging activity ability of the ABTS•+ radical. Typically, existing as a moderately stable molecule, the ABTS free radical cation displays a sharp absorption band in the visible spectrum at 734 nm. The antioxidant efficiency of the tested compounds was assessed and the scavenging effect of ABTS cation by the compounds were in the following order: 1 > 12 > 4a > 6 > 11 > 13, as illustrated in Table 1, while organic molecules 4b, 5, 7a, 7b, 8, and 9 displayed good activity. Compounds 1, 4b, 6, 8, 12, 11, and 13 exhibited better activity compared to the other studied compounds. The presence of 4-CH3C6H4 in the structure of thiazole compound 4a increased the antioxidant activity more than that with C6H4 in the structure of thiazole compound 4b.
Table 1. Antioxidant activity assay (ABTS) of the tested compounds.
The organic molecules were similarly established for their antioxidant activities by nitric oxide (NO) scavenging action evaluation method (Figure 2). The compounds 1, 4a, 6, 9, 11, 12, and 13 showed good radical scavenging activity. Other thiazole compounds, 5 and 8, showed significant antioxidant efficiency, while the thiazoles 7a and 7b exhibited moderate NO scavenging compared with the control. The ability of the compounds to respond to the development of nitric oxide indicates the possibility for these compounds to mitigate harm caused by excess NO in vivo. The present work obviously proves that organic molecules 1, 4a, 6, 9, 11, 12, and 13 are powerful NO scavengers. Nitric oxide has been documented to play an important and useful role in a variety of biochemical metabolic pathways. NO is a small free radical formed non-enzymatically and causes harm to most high molecular weight molecules, such as protein, lipids, and DNA. It also exacerbates cancer, swelling, and other injurious situations [31]. NO produced from sodium nitroprusside reacts with O2 to generate NO2. Therefore, the compounds may prevent NO2 generation by interacting with O2 to prevent its reaction with NO. The existence of C6H4–CH=N–NH– in the compounds increases its antioxidant efficiency.
Figure 2. The nitric oxide scavenging activity of the tested compounds.
The occurrence of antioxidant activities in the tested organic molecules causes the reduction of the ferricyanide/Fe3+ composite to the Fe++ oxidation state. Consequently, ferrous reduction can be observed by measuring blue Perl’s Prussian at 700 nm. The creamy color of the test solution changes to different shades of blue and green, depending on the antioxidant power of the organic molecules. The antioxidant power of the compounds may act as an important proxy of its antioxidant potential efficiency. As revealed by Figure 3, the thiazole compounds had a powerful and effective antioxidant effect on the ferricyanide/Fe3+ composite when compared to the control. For the determination of the antioxidant ability of the compounds, the Fe2+/Fe3+ oxidation state was examined in the presence of the compounds. The resulting antioxidant activities demonstrate the electron-donating capability of the compounds, thus scavenging free radicals and creating stable products. The consequence of the oxidation–reduction response is the elimination of free radical chain responses that may be harmful. The compounds displayed an effective antioxidant potential in the fatty acid emulsification structure. The result of 2 μg of the compounds on the peroxidation of fatty acid (linoleic) emulsification is presented in Figure 3. The linoleic acid autoxidation in emulsion without compounds or control resulted in a quick increase in peroxides. Therefore, these results obviously indicate that the compounds 1, 4a, 6, 9, 11, and 12 had sufficient antioxidant efficiency compared to the control. The presence of Cl atoms in the structure of compound 6 increase the antioxidant properties compared to that recorded in the absence of Cl atoms in the structure of compounds 11 and 13.
Figure 3. The activity of the tested compounds against lipid peroxidation.

2.2.3. Antibacterial Activities

The antibacterial activities of compounds 1, 4a, 4b, 5, 6, 7a, 7b, 8, 9, 11, 12, and 13 were verified against both Gram-positive and Gram-negative strains, using only one concentration from them in DMSO as a control. The diameters of inhibition zones resulting from the tested compounds applied to the established bacterial strains are shown in Table 2. From the data, it is clear that the tested organic molecules 1, 4a, 6, 11, and 12 exhibit the strongest antimicrobial activities towards all the investigated microorganisms compared to the ampicillin as a reference antibiotic. The tested compounds 4b, 5, 7a, 7b, and 13 reveal good antimicrobial activity against the surveyed microorganisms. However, compound 8 revealed the lowest antimicrobial activity in this work.
Table 2. Effect of novel compounds on Gram-negative and Gram-positive microorganisms. The results are expressed as zone inhibition in mm diameter.
Based on the previously established structures of organic molecules’ and their activity against bacterial strains, it is apparent that for the compounds 1, 4a, 6, 11, and 12, the presence of electron donating groups CH3, S, N, and aromaticity, respectively, increase the antibacterial activities of the tested compounds. This may be owing to the existence of N and S atoms in the tested compound. It has been proposed that the compounds that have N and S atoms might repress enzyme activity, since enzymes which require certain clusters for their activity are especially susceptible to deactivation by the tested compounds [32].
The minimum inhibitory concentration (MIC) of the synthesized compounds 1, 4a, 4b, 5, 6, 7a, 7b, 8, 9, 11, 12, and 13 is defined as the concentration at which no bacterial growth was detected. The MIC of the compounds toward E. coli, P. aeruginosa, B. megaterium, and S. aureus bacterial strains was evaluated. The MIC values (in μg/mL) of the tested compounds toward the above bacterial strains is presented in Table 3. The compounds 1, 4a, 6, 11, 12, and 13 exhibited extreme inhibitory activities towards, E. coli, P. aeruginosa, S. aureus, and B. megaterium bacterial strains (MIC standards in the range of 30–45 μg/mL). The compounds 4b, 5, 7a, 7b, and 9 had moderate inhibitory activities towards all tested bacterial strains (MIC range: 50–70 μg/mL). A reasonable conclusion based on the obtained effects is that the antibacterial activities of the compounds is caused by their basic assembly and, furthermore, by the presence of S and N atoms, phenyl ring, and CH3 and Cl groups.
Table 3. Minimum inhibitory concentration (MIC) of novel compounds (µg/mL) against four microorganisms.

2.2.4. Cytotoxicity Evaluation

In the current study, the cytotoxicity assay was performed utilizing hepatocellular carcinoma (HEPG-2), mammary gland (MCF-7), and colorectal carcinoma (HCT-116) cells (Table 4) to evaluate the anti-proliferative activities of the synthesized organic molecules (µM). Doxorubicin was utilized as a standard anticancer agent, which has very strong anticancer activities. Cytotoxicity was stated as the concentration that produced 50% loss (IC50) of the cell monolayer. As illustrated Table 4, compound 1 has very strong anticancer activities against cell lines HePG-2, HCT-116, and MCF-7, with IC50 values of 8.92 ± 0.6, 8.22 ± 0.9, and 6.89 ± 0.4 μM, respectively. The thiazole compound 4a also exhibited very strong anticancer activities against all the studied cell lines (HePG-2, HCT-116, and MCF-7) with IC50 values 9.94 ± 0.5, 8.87 ± 0.7, and 7.83 ± 0.6 μM, respectively. The thiazole compounds 6, 11, and 12 displayed strong anticancer activities against HePG-2, HCT-116, and MCF-7 cell lines, as represented in Table 4. The compounds 4b, 5, 7a, 7b, and 13 revealed moderate anticancer activities against all tested cell lines. Compounds 8 and 9 presented weak anticancer activities against all tested cell lines. The presence of two chlorine atoms and sulfonyl moiety (negative inductive effect, electron withdrawing group) in compound 1 increases the cytotoxicity activity towards HePG-2, HCT-116, and MCF-7. The thiazole moiety in compounds 4a, 6, 11, and 12 enhanced the cytotoxicity activity towards HePG-2, HCT-116, and MCF-7 cell lines. In compounds 11 and 12, the presence of polythiazole moiety increased the cytotoxicity activity against the studied cell lines.
Table 4. Cytotoxic activity of derivatives (µM) against human tumor cells.

3. Experimental

3.1. Synthesis

All melting points were determined on an electrothermal apparatus and are uncorrected. IR spectra were recorded (KBr discs) on a Shimadzu FT-IR 8201 PC spectrophotometer (Shimadzu, Tokyo, Japan). 1H NMR spectra were recorded in CDCl3 and (CD3)2SO solutions on a Varian Gemini 300 MHz spectrometer (Agilent, Palo Alto, CA, USA), and chemical shifts are expressed in δ units using TMS as an internal reference. Mass spectra were recorded on a Shimadzu GC-MS QP 1000 EX instrument. Elemental analyses were carried out at the Microanalytical Canter of Cairo University.
Synthesis of thiazoles (4a, 4b, 5, 7a, 7b, 8, 13) and polythiazoles (11 and 12):
Method A: To equivalent mole of 1, 6, or 9 in dioxane, an equivalent mole from thiosemicarbazones 2a, 2b, 3, or 10 was added in the presence of an equivalent mole of triethylamine. The reaction mixtures were heated for 30 min and then allowed to cool. The solid formed was filtered off and then recrystallized from dimethylformamide/methanol to get thiazoles 4a, 4b, 5, 7a, 7b, 8, 13, and polythiazoles 11 and 12.
Method B: (alternate synthesis of 4a, 4b, 7a, and 7b): Diazotized diamine, synthesized by diazotizing the diamine (5 mmol), dissolved in hydrochloric acid (6 M, 6 mL) with sodium nitrite (0.71 g, 10 mmol) in water (5 mL), was added dropwise to a stirred solution of 4A [30] or 4B [30] (10 mmol) in pyridine (40 mL) at 0–5 °C. The reaction mixture was chilled in an ice bath at 0–5 °C for 2 h with strong stirring and then left in refrigerator for 24 h. The final precipitated solid was collected and washed several times with water, dried and crystallized from dimethylformamide/methanol to afford the final products 4a, 4b, 7a, and 7b.
5,5′-(4,4′-Diphenylsulphone-4,4′-diyl)-bis-({2-(4-methylbenzylidenehydrazino}-4-methyl-5-azo-1,3-thiazole) (4a) [28]. Brown-red solid; Yield (90%); mp 248–250 °C (DMF/MeOH). IR (cm−1) (KBr): νmax 3220 (NH), 1599 (C=C), 1549 (N=N), 1378 (CH3) cm−1. 1H NMR (DMSO-d6): 2. 39 (s, 6H, 2CH3), 2.58 (s, 6H, 2CH3), 7.13–7.79 (m, 16H, ArH’s), 8.59 (s, 2H, N=CH) and 10.95 (s, 2H, NH), 13C NMR (DMSO-d6): at 16.8, 21.6, 115.2, 129.4, 130.0, 130.4, 132.4, 136.2, 140.0, 141.9, 142.0, 143.2, 160.1 and 171.8 ppm. MS m/z (%): 732 (M+, 63). Analysis Calcd for C36H32N10O2S2 (732.19): C, 59.00%; H, 4.40%; N, 19.11%; Found: C, 59.01%; H, 4.36%; N, 19.09%.
5,5′-(4,4′-Diphenylsulphone-4,4′-diyl)-bis-({2-(benzylidenehydrazino}-4-methyl-5-azo-1,3-thiazole) (4b) [28]. Red solid; Yield (88%); mp 256–259 °C (DMF/MeOH). IR (cm−1) (KBr): νmax 3226 (NH), 1598 (C=C), 1549 (N=N), 1377 (CH3) cm−1. 1H NMR (DMSO-d6): 2.58 (s, 6H, 2CH3), 7.46–7.76 (m, 18H, ArH’s), 8.71 (s, 2H, N=CH) and 10.92 (s, 2H, NH), 13C NMR (DMSO-d6): at 16.6, 114.4, 128.4, 128.9, 128.9, 131.8, 133.7, 134.4, 140.9, 147.4, 160.8, 172.6 and 178.9. MS m/z (%): 704 (M+, 79). Analysis Calcd for C34H28N10O2S3 (704.16): C, 57.94%; H, 4.00%; N, 19.87%; Found: C, 57.89%; H, 3.99%; N, 19.81%%.
5,5′-(4,4′-Diphenylsulphone-4,4′-diyl)-bis-({2-(2-hydroxynaphthylidenehydrazino}-4-methyl-5-azo-1,3-thiazole) (5). Black-brown solid; Yield (90%); mp > 300 °C (DMF/MeOH). IR (cm−1) (KBr): νmax 3425 (OH), 3213 (NH), 1598 (C=C), 1551 (N=N), 1379 (CH3) cm−1. 1H NMR (DMSO-d6): 2.56 (s, 6H, 2CH3), 7.03–7.97 (m, 20H, ArH’s), 8.84 (s, 2H, N=CH), 10.73 (s, 2H, OH) and 10.99 (s, 2H, NH), 13C NMR (DMSO-d6): at: 16.5, 114.8, 126.9, 127.9, 128.2, 128.5, 129.4, 131.7, 132.9, 136.3, 140.1, 142.3, 144.7, 146.9, 152.4, 162.1 and 171.4 ppm. MS m/z (%): 836 (M+, 72). Analysis Calcd for C42H32N10O4S3 (836.18): C, 60.27%; H, 3.85%; N, 16.74%; Found: C, 60.25%; H, 3.82%; N, 16.76%.
5,5′-(Phenyl-1,3-diyl)-bis-({2-(4-methylbenzylidenehydrazino}-4-methyl-5-azo-1,3-thiazole) (7a) [28]. Red crystal solid; Yield (88%); mp 181–183 °C (DMF/MeOH). IR (cm−1) (KBr): νmax 3157 (NH), 1592 (C=C), 1547 (N=N), 1367 (CH3) cm−1. 1H NMR (DMSO-d6): 2.38 (s, 6H, 2CH3), 2.54 (s, 6H, 2CH3), 7.01–7.88 (m, 12H, ArH’s), 8.45 (s, 2H, N=CH) and 10.71 (s, 2H, NH), 13C NMR (DMSO-d6): at 18.0, 21.6, 113.8, 125.9, 126.8, 127.4, 129.3, 130.4, 132.1, 133.9, 144.1, 150.1, 160.7 and 167.1 ppm. MS m/z (%): 592 (M+, 76). Analysis Calcd for C30H28N10S2 (592.74): C, 60.79%; H, 4.76%; N, 23.63%; Found: C, 60.73%; H, 4.77%; N, 23.59%.
5,5′-(Phenyl-1,3-diyl)-bis-({2-(benzylidenehydrazino}-4-methyl-5-azo-1,3-thiazole) (7b) [28]. Red solid; Yield (91%); mp 201 °C (DMF/MeOH). IR (cm−1) (KBr): νmax 3167 (NH), 1609 (C=N), 1542 (N=N), 1362 (CH3) cm−1. 1H NMR (DMSO-d6): 2.5 (s, 6H, 2CH3) 7.03–7.8 (m, 14H, ArH’s), 8.5 (s, 2H, N=CH) and 10.8 (s, 2H, NH), 13C NMR (DMSO-d6): at 20.9, 112.1, 115.2, 125.8, 126.9, 128.5, 130.0, 130.6, 131.1, 138.2, 139.3, 149.5 and 166.6 ppm; m/z (%): 564 (M+, 32). Analysis Calcd for C28H24N10S2 (564.69): C, 59.56%; H, 4.28%; N, 24.80%; Found: C, 59.51%; H, 4.25%; N, 24.81%.
5,5′-(Phenyl-1,3-diyl)-bis-({2-(2-hydroxynaphthylidenehydrazino}-4-methyl-5-azo-1,3-thiazole) (8). Black-brown crystal solid; Yield (95%); mp > 300 °C (DMF/MeOH). IR (KBr): νmax 3435 (OH), 3179 (NH), 1610 (C=N), 1549 (N=N), 1371 (CH3) cm−1. 1H NMR (DMSO-d6): 2.63 (s, 6H, 2CH3) 7.09–8.01 (m, 16H, ArH’s), 8.79 (s, 2H, N=CH), 10.79 (s, 2H, OH) and 10.92 (s, 2H, NH), 13C NMR (DMSO-d6): at: 20.9, 113.4, 117.1, 126.3, 127.9, 128.4, 130.2, 130.9, 131.2, 132.3, 135.9, 136.4, 137.5, 142.5, 149.1, 159.8 and 166.9 ppm. MS m/z (%): 696 (M+, 72). Analysis Calcd for C36H28N10O2S2 (696.18): C, 62.05%; H, 4.05%; N, 20.10%; Found: C, 60.01; H, 4.02; N, 20.11%.
Poly(5{4,4′-diphenylsulphone-4,4′-diyl}({2-(benzylidenehydrazino}-4-methyl-5-azo-1,3-thiazole) (11). Deep red-brown crystal solid; Yield (86%); mp > 300 °C (DMF/MeOH). IR (cm−1) (KBr): νmax 3364 (NH) 1589 (C=C), 1554 (N=N), 1356 (CH3) cm−1. 1H NMR (DMSO-d6): 2. 36 (s, CH3), 2.59 (s, CH3), 7.08–8.01 (m, ArH’s), 8.63 (s, N=CH) and 10.72 (s, NH). 13C NMR and molecular weight of the polymers could not be recorded due to poor solubility of isolated products in different solvent.
Poly(5-{Phenyl-1,3-diyl}-2-{benzylidenehydrazino}-4-methyl-5-azo-1,3-thiazole) (12). Deep red-brown crystal solid; Yield (85%); mp > 300 °C (DMF/MeOH). IR (cm−1) (KBr): νmax 3154 (NH), 1604 (C=C), 1552 (N=N), 1358 (CH3) cm−1. 1H NMR (DMSO-d6): 2.35 (s, CH3), 2.58 (s, CH3), 6.99–7.89 (m, ArH’s), 8.57 (s, N=CH) and 10.66 (s, NH). 13C NMR and molecular weight of the polymers could not be recorded due to poor solubility of isolated products in different solvent.
1,4-Bis(2-{4-methyl-5-[phenyldiazenyl]thiazol-2-yl]hydrazono}methyl)benzene (13). Red crystal solid; Yield (92%); mp 241–243 °C (DMF/MeOH). IR (cm−1) (KBr): νmax 3241 (NH), 1597 (C=N), 1358 (CH3) cm−1. 1H NMR (DMSO-d6): 2.63 (s, 6H, 2CH3), 7.01–7.83 (m, 14H, ArH’s), 8.71 (s, 2H, N=CH) and 10.71 (s, 2H, NH), 13C NMR (DMSO-d6): at 16.5, 111.2, 128.0, 128.1, 128.8, 131.5, 133.8, 134.7, 140.9, 147.2 and 174.2ppm. MS m/z (%): 565 (M+, 90). Analysis Calcd for C28H24N10S2 (564.16): C, 59.56%; H, 4.28%; N, 24.80%; Found: C, 59.52%; H, 4.30%; N, 24.78%.

3.2. Biological Evaluations

3.2.1. DNA Digestion Pattern

The DNA digestion pattern of the synthesized thiazoles was performed according to the reported procedure [32].

3.2.2. ABTS Antioxidant Assay

The ABTS antioxidant assay was carried out according to the reported method [33].

3.2.3. NO Scavenging Method

Griess reagent [31] was made and the NO scavenging method was performed according to the reported procedure [32].

3.2.4. Determination of Total Antioxidant Activity in Linoleic Acid Emulsion

The total antioxidant activity of the compounds was determined according to the Fe+2 to Fe+3 reported procedure [31,32,33,34,35].

3.2.5. Antibacterial Activities

The antimicrobial evaluation of the tested compounds was performed via cup diffusion procedure [36]. The Luria–Bertani agar medium was made as described [37].

3.2.6. Minimum Inhibitory Concentrations (MIC)

Evaluation the MIC of the tested organic molecules was made according to the standard procedures as described by CLSI/NCCLS methods [38].

3.2.7. Cytotoxicity Assay

The cell lines HEPG-2, MCF-7, and HCT-116 were obtained from ATCC via holding company for biological products and vaccines (VACSERA), Cairo, Egypt. Doxorubicin was used as a standard anticancer drug for comparison. The cell lines stated above were utilized to evaluate the inhibitory effects of the thiazole derivatives according to the reported method [39].

4. Conclusions

We report here a rapid and simple synthesis of bioactive bisthiazoles and polythiazoles in excellent yields and short reaction times. The desired products have been fully characterized. The nuclease-like activities of organic molecules were studied with the aid of E. coli AB1157 DNA and agarose gel electrophoresis. The antioxidant evaluation of the compounds was carried out with different antioxidant techniques, including ABTS and NO scavenging efficiency. The antibacterial behavior was evaluated against various bacterial strains of Gram-positive and -negative and the MIC values of these compounds was determined. The antiproliferative activities and IC50 of the synthesized compounds against HEPG-2, MCF-7, and HCT-116 cell lines was evaluated.

Author Contributions

A.R.S. planned for synthesize the organic molecules. M.A.A.-O. and M.M.Y. planned and carried out all biological experiments. M.A.A.-O., A.R.S. and M.M.Y. performed the statistical analyses and drafted the manuscript.

Acknowledgments

The financial support by the Deanship of Scientific Research (Project Number 170048) King Faisal University, Saudi Arabia is gratefully acknowledged.

Conflicts of Interest

The authors declare no conflict of interest.

References

  1. Jacques, P.; Andre, T.; Girault, P. Fungicidal 3-(Nitrophenoxy)-1,2,5-thiadiazole. FR 2215219 A1 1,974,0823, 23 August 1974. [Google Scholar]
  2. Noguchi, T.; Asada, M.; Ando, M.; Matsuda, K.; Uchiyama, Y. Insecticide-Acaricide Composition of the Hydrazine Series. JP 48008496 B 19730315, 15 March 1973. [Google Scholar]
  3. Quiroga, A.G.; Perez, J.M.; Lopez-Solera, I.; Masaguer, J.R.; Luque, A.; Raman, P.; Edwards, A.; Alonso, C.; Navarro-Ranninger, C. Novel Tetranuclear Orthometalated Complexes of Pd(II) and Pt(II) Derived from p-Isopropylbenzaldehyde Thiosemicarbazone with Cytotoxic Activity in cis-DDP Resistant Tumor Cell Lines. Interaction of These Complexes with DNA. J. Med. Chem. 1998, 41, 1399–1408. [Google Scholar] [CrossRef] [PubMed]
  4. Offiong, O.E.; Martelli, S. New 1-[quinolyl(4)]-1,2,3-triazoles: Synthesis and evaluation of antiinflammatory and analgesic properties. II Farmaco 1994, 49, 513–518. [Google Scholar] [PubMed]
  5. Hadjipavlou-Litina, D. Structure-Activity Relationships of some 1,4-Benzodioxane Aryl-piperazine Derivatives as α-Blocking Agents. Pharmazie 1996, 51, 468–470. [Google Scholar] [PubMed]
  6. Bharti, S.K.; Nath, G.; Tilak, R.; Singh, S.K. Synthesis, anti-bacterial and anti-fungal activities of some novel Schiff bases containing 2,4-disubstituted thiazole ring. Eur. J. Med. Chem. 2010, 45, 651–660. [Google Scholar] [CrossRef] [PubMed]
  7. Wilson, K.J.; Illig, C.R.; Subasinghe, N.; Hoffman, J.B.; Rudolph, M.J.; Soll, R.; Molloy, C.J.; Bone, R.; Green, D.; Randall, T.; et al. Synthesis of thiophene-2-carboxamidines containing 2-amino-thiazoles and their biological evaluation as urokinase inhibitors. Bioorgan. Med. Chem. Lett. 2001, 11, 915–918. [Google Scholar] [CrossRef]
  8. Haviv, F.; Ratajczyk, J.D.; DeNet, R.W.; Kerdesky, F.A.; Walters, R.L.; Schmidt, S.P.; Holms, J.H.; Young, P.R.; Carter, G.W. 3-[1-(2-Benzoxazolyl)hydrazino]-propanenitrile derivatives: Inhibitors of immune complex induced inflammation. J. Med. Chem. 1988, 31, 1719–1728. [Google Scholar] [CrossRef] [PubMed]
  9. Patt, W.C.; Hamilton, H.W.; Taylor, M.D.; Ryan, M.J.; Taylor, D.G.; Connolly, C.J., Jr.; Doherty, A.M.; Klutchko, S.R.; Sircar, I. Structure-activity relationships of a series of 2-amino-4-thiazole-containing renin inhibitors. J. Med. Chem. 1992, 35, 2562–2572. [Google Scholar] [CrossRef] [PubMed]
  10. Bell, F.W.; Cantrell, A.S.; Hoegberg, M.; Jaskunas, S.R.; Johansson, N.G.; Jordan, C.L.; Kinnick, M.D.; Lind, P.; Morin, J.M., Jr. Phenethylthiazolethiourea (PETT) Compounds, a New Class of HIV-1 Reverse Transcriptase Inhibitors. 1. Synthesis and Basic Structure-Activity Relationship Studies of PETT Analogs. J. Med. Chem. 1995, 38, 4929–4936. [Google Scholar] [CrossRef] [PubMed]
  11. Gu, X.H.; Wan, X.Z.; Jiang, B. Syntheses and biological activities of bis(3-indolyl)thiazoles, analogues of marine bis(indole)alkaloid nortopsentins. Bioorgan. Med. Chem. Lett. 1999, 9, 569–572. [Google Scholar] [CrossRef]
  12. Medime, E.; Capan, G. Synthesis and anticonvulsant activity of new 4-thiazolidone and 4-thiazoline derivatives. II Farmaco 1994, 49, 449–451. [Google Scholar]
  13. Metzger, J.V. Comprehensive Heterocyclic Chemistry I; Pergamon: New York, NY, USA, 1984; Volume 6, p. 328. [Google Scholar]
  14. Breslow, R. On the Mechanism of Thiamine Action. IV.1 Evidence from Studies on Model Systems. J. Am. Chem. Soc. 1958, 80, 3719–3726. [Google Scholar] [CrossRef]
  15. Milne, G.W. Ashgate Handbook of Antineoplastic Agents; Gower: London, UK, 2000. [Google Scholar]
  16. De Souza, M.V.N.; De Almeida, M.V. Drogas anti-VIH: Passado, presente e perspectivas futuras. Quim. Nova 2003, 26, 366–372. [Google Scholar] [CrossRef]
  17. Lednicer, D.; Mitscher, L.A.; George, G.I. Organic Chemistry of Drug Synthesis; Wiley: New York, NY, USA, 1990; Volume 4, pp. 95–97. [Google Scholar]
  18. Knadler, M.P.; Bergstrom, R.F.; Callaghan, J.T.; Rubin, A. Nizatidine, an H2-blocker. Its metabolism and disposition in man. Drug Metab. Dispos. 1986, 14, 175–182. [Google Scholar] [PubMed]
  19. Borisenko, V.E.; Koll, A.; Kolmakov, E.E.; Rjasnyi, A.G. Hydrogen bonds of 2-aminothiazoles in intermolecular complexes (1:1 and 1:2) with proton acceptors in solutions. J. Mol. Struct. 2006, 783, 101–115. [Google Scholar] [CrossRef]
  20. Beuchet, P.; Varache-Lembege, M.; Neveu, A.; Leger, J.M.; Vercauteren, J.; Larrouture, S.; Deffieux, G.; Nuhrich, A. New 2-sulfonamidothiazoles substituted at C-4: Synthesis of polyoxygenated aryl derivatives and in vitro evaluation of antifungal activity. Eur. J. Med. Chem. 1999, 34, 773–779. [Google Scholar] [CrossRef]
  21. Fink, B.E.; Mortensen, D.S.; Stauffer, S.R.; Aron, Z.D.; Katzenellenbogen, J.A. Novel structural templates for estrogen-receptor ligands and prospects for combinatorial synthesis of estrogens. Chem. Biol. 1999, 6, 205–219. [Google Scholar] [CrossRef]
  22. Van Muijlwijk-Koezen, J.E.; Timmerman, H.; Vollinga, R.C.; von Drabbe Kunzel, J.F.; de Groote, M.; Visser, S.; IJzerman, A.P. Thiazole and Thiadiazole Analogues as a Novel Class of Adenosine Receptor Antagonists. J. Med. Chem. 2001, 44, 749–762. [Google Scholar] [CrossRef] [PubMed]
  23. Hallinan, E.A.; Hagen, T.J.; Tsymbalov, S.; Stapelfeld, A.; Savage, M.A. 2,4-Disubstituted oxazoles and thiazoles as latent pharmacophores for diacylhydrazine of SC-51089, a potent PGE2 antagonist. Bioorgan. Med. Chem. 2001, 9, 1–6. [Google Scholar] [CrossRef]
  24. Buchanan, J.L.; Bohacek, R.S.; Luke, G.P.; Hatada, M.; Lu, X.; Dalgarno, D.C.; Narula, S.S.; Yuan, R.; Holt, D.A. Structure-based design and synthesis of a novel class of Src SH2 inhibitors. Bioorgan. Med. Chem. Lett. 1999, 9, 2353–2358. [Google Scholar] [CrossRef]
  25. Fekri, A.; Keshk, E.M. Utility involving thioacetoacetanilides as precursors for synthesis of new thiazole, thiadiazole and thiophene derivatives with antimicrobial activity. J. Sulfur Chem. 2016, 37, 148–161. [Google Scholar] [CrossRef]
  26. Dawood, K.M.; Gomha, S.M. Synthesis and Anti-cancer Activity of 1,3,4-Thiadiazole and 1,3-Thiazole Derivatives Having 1,3,4-Oxadiazole Moiety. J. Heerocycl. Chem. 2015, 52, 1400–1405. [Google Scholar] [CrossRef]
  27. El-Kady, M.; Abbas, E.M.H.; Salem, M.S.; Kassem, A.F.M.; Abd El-Moez, S.I. Synthesis and antimicrobial evaluation of novel 1,3-thiazoles and unsymmetrical azines. Res. Chem. Intermed. 2016, 4, 3333–3349. [Google Scholar] [CrossRef]
  28. Sayed, A.R. Synthesis of bis-thiazoles, bis-pyrazoles, bis-hydrazonates, and bis-triazolothiadiazoles based on bis-hydrazonoyl and bis-hydrazones. Turk. J. Chem. 2015, 39, 600–609. [Google Scholar] [CrossRef]
  29. Sayed, A.R. Synthesis of novel bis-thiadiazoles, bis-triazoles and polypyrazole derivatives based on hydrazonoyl halides. Tetrahedron 2013, 69, 5293–5298. [Google Scholar] [CrossRef]
  30. Maccioni, E.; Cardia, M.C.; Distinto, S.; Bonsignore, L.; De Logu, A. An investigation of the biological effect of structural modifications of isothiosemicarbazones and their cyclic analogues. II Farmaco 2003, 58, 951–959. [Google Scholar] [CrossRef]
  31. Re, R.; Pellegrini, N.; Proteggente, A.; Pannala, A.; Yang, M.; Rice-Evans, C. Antioxidant activity applying an improved ABTS radical cation decolorization assay. Free Radic. Biol. Med. 1999, 26, 1231–1237. [Google Scholar] [CrossRef]
  32. Ismail, M.A.; Arafa, R.K.; Youssef, M.M.; El-Sayed, W.M. Anticancer, antioxidant activities, and DNA affinity of novel monocationic bithiophenes and analogues. Drug Des. Dev. Ther. 2014, 8, 1659–1672. [Google Scholar] [CrossRef] [PubMed]
  33. Green, L.C.; Wagner, D.A.; Glogowski, J.; Skipper, P.L.; Wishnok, J.S.; Tannenbaum, S.R. Analysis of nitrate, nitrite, and [15N]nitrate in biological fluids. Anal. Biochem. 1982, 126, 131–138. [Google Scholar] [CrossRef]
  34. Youssef, M.M.; Al-Omair, M.A.; Ismail, M.A. Synthesis, DNA affinity, and antimicrobial activity of 4-substituted phenyl-2,2′-bichalcophenes and aza-analogues. Med. Chem. Res. 2012, 21, 4074–4082. [Google Scholar] [CrossRef]
  35. Youssef, M.M.; Arafa, R.K.; Ismail, M.A. Synthesis, antimicrobial, and antiproliferative activities of substituted phenylfuranylnicotinamidines. Drug Des. Dev. Ther. 2016, 10, 1133–1146. [Google Scholar]
  36. Bauer, A.W.; Kirby, W.M.; Sherris, J.C.; Turck, M. Antibiotic susceptibility testing by a standardized single disk method. Am. J. Clin. Pathol. 1966, 45, 493–496. [Google Scholar] [CrossRef] [PubMed]
  37. Adam, M.S.S.; Youssef, M.M.; Aboelghar, M.F.; Hafez, A.M.; El-Ayaan, U. Synthesis and characterization of binary and ternary oxovanadium complexes of N,N′-(2-pyridyl)thiourea and curcumin: Catalytic oxidation potential, antibacterial, antimicrobial, antioxidant and DNA interaction studies. Appl. Organomet. Chem. 2017, 31, e3650. [Google Scholar] [CrossRef]
  38. Clinical and Laboratory Standards Institute. Methods for Dilution Antimicrobial Susceptibility Tests for Bacteria That Grow Aerobically: Approved Standard, 7th ed.; CLSI: Wayne, Pennsylvania, 2006. [Google Scholar]
  39. Elghamry, I.; Youssef, M.M.; Al-Omair, M.A.; Elsawy, H. Synthesis, antimicrobial, DNA degradation and antioxidant activities of tricyclic sultams derivatives from saccharin. Eur. J. Med. Chem. 2017, 139, 107–113. [Google Scholar] [CrossRef] [PubMed]
Sample Availability: Samples of the compounds 1, 2a, 2b, 3, 4a, 4b, 6, 7a and 7b are available from the authors.

Article Metrics

Citations

Article Access Statistics

Multiple requests from the same IP address are counted as one view.