Potent GH20 N-Acetyl-β-d-hexosaminidase Inhibitors: N-Substituted 3-acetamido-4-amino-5-hydroxymethyl-cyclopentanediols
Abstract
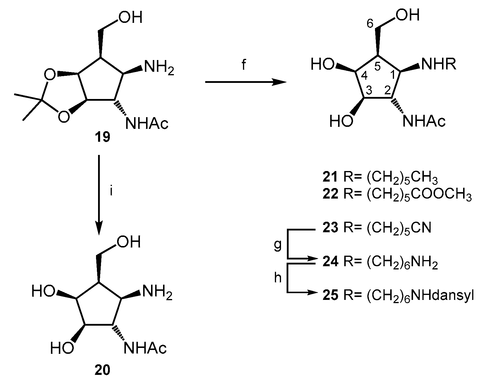
1. Introduction
2. Results and Discussion
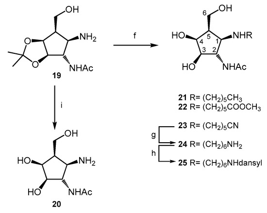
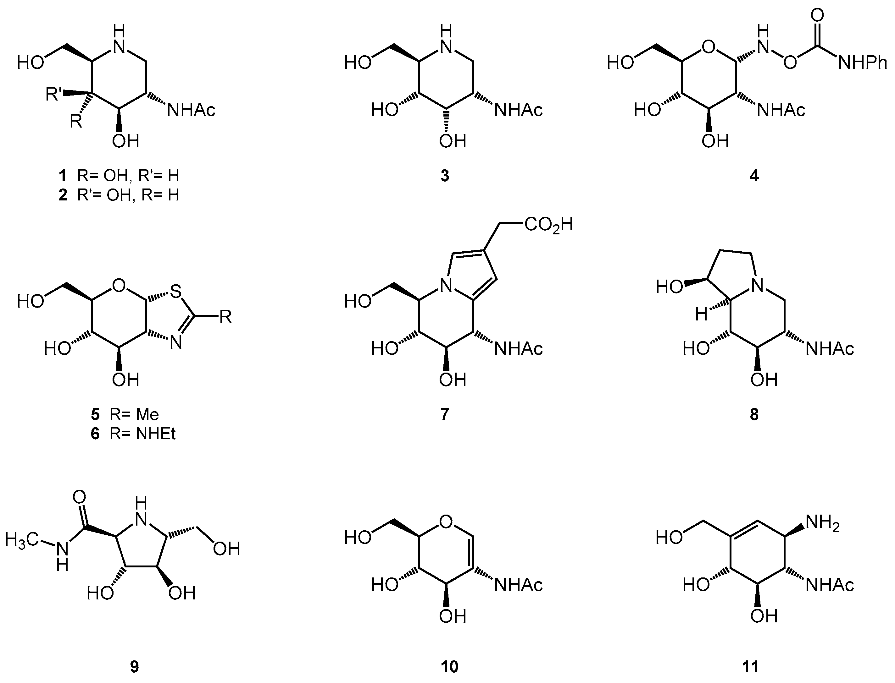
2.1. Synthesis
2.2. Biological Evaluation
3. Materials and Methods
3.1. General Methods
3.2. Biochemical Methods
3.3. (3aR,3bS,6aR,7R,7aR)-Hexahydro-5,5-dimethyl-1-phenyl-1H-[1,3]dioxolo[3,4]cyclopent[1,2-c]isoxazol-7-ol or 1-l-(1,2,3,4,5)-11,21-Anhydro-1-hydroxymethyl-2-(N-hydroxy)benzylamino-4,5-O-isopropylidene-3,4,5-cyclopentanetriol 14
3.4. (3aR,3bS,6aR,7S,7aR)-Hexahydro-7-azido-5,5-dimethyl-1-phenyl-1H-[1,3]dioxolo[3,4]cyclopent[1,2-c]isoxazol or 1-l-(1,2,4,5/3)-11,21-Anhydro-3-azido-1-hydroxymethyl-2-(N-hydroxy)benzylamino-4,5-O-isopropylidene-4,5-cyclopentanediol 16
3.5. (3aR,3bS,6aR,7S,7aR)-Hexahydro-7-acetamido-5,5-dimethyl-1-phenyl-1H-[1,3]dioxolo[3,4]cyclopent[1,2-c]isoxazol or 1-l-(1,2,4,5/3)-11,21-Anhydro-3-acetamido-1-hydroxymethyl-2-(N-hydroxy)benzylamino-4,5-O-isopropylidene-4,5-cyclopentanediol 18
3.6. (3aS,4R,5R,6S,6aR)-5-Amino-tetrahydro-6-acetamido-2,2-dimethyl-4H-cyclopenta-1,3-dioxole-4-methanol or 1-l-(1,2,4,5/3)-3-Acetamido-2-amino-1-hydroxymethyl-4,5-O-isopropylidene-4,5-cyclopentanediol 19
3.7. (1S,2R,3S,4R,5R)-3-Acetamido-4-amino-5-hydroxymethylcyclopentanetriol or “1-amino-2-acetamido-2-deoxy-β-d-galacto-cyclopentane” 20
3.8. (1S,2R,3S,4R,5R)-N-(1-Hexyl)-3-acetamido-4-amino-5-hydroxymethylcyclopentanetriol or “2-Acetamido-2-deoxy-1-(hexyl)amino-β-d-galacto-cyclopentane” 21
3.9. (1S,2R,3S,4R,5R)-N-(Methoxycarbonyl)pentyl-3-acetamido-4-amino-5-hydroxymethyl-cyclopentanetriol or “2-Acetamido-2-deoxy-1-(methoxycarbonylhexyl)amino-β-d-galacto-cyclopentane” 22
3.10. (1S,2R,3S,4R,5R)-N-(6-Amino)hexyl-3-acetamido-4-amino-5-hydroxymethyl-cyclopentanetriol or “2-Acetamido-2-deoxy-1-(6-aminohexyl)amino-β-d-galacto-cyclopentane” 24
3.11. (1S,2R,3S,4R,5R)-N-(6-Dansylamino)hexyl-3-acetamido-4-amino-5-hydroxymethyl-cyclopentanetriol or “2-Acetamido-2-deoxy-1-(6-dansylaminohexyl)amino-β-d-galacto-cyclopentane” 25
Supplementary Materials
Acknowledgments
Author Contributions
Conflicts of Interest
References
- Mahuran, D.J. The GM2 Activator Protein, Its Roles as a Co-Factor in GM2 Hydrolysis and as a General Glycolipid Transport Protein. Biochim. Biophys. Acta 1998, 1393, 1–18. [Google Scholar] [CrossRef]
- Dong, D.L.; Hart, G.W. Purification and characterization of an O-GlcNAc selective N-acetyl-β-d-glucosaminidase from rat spleen cytosol. J. Biol. Chem. 1994, 269, 19321–19330. [Google Scholar] [PubMed]
- Pasztoi, M.; Sodar, B.; Misjak, P.; Paloczi, K.; Kittel, A.; Toth, K.; Wellinger, K.; Geher, P.; Nagy, G.; Lakatos, T.; et al. The recently identified hexosaminidase D enzyme substantially contributes to the elevated hexosaminidase activity in rheumatoid arthritis. Immunol. Lett. 2013, 149, 71–76. [Google Scholar] [CrossRef] [PubMed]
- Mark, B.L.; Vocadlo, D.J.; Knapp, S.; Triggs-Raine, B.L.; Withers, S.G.; James, M.N.G.J. Crystallographic Evidence for Substrate-assisted Catalysis in a Bacterial β-Hexosaminidase. J. Biol. Chem. 2001, 276, 10330–10337. [Google Scholar] [CrossRef] [PubMed]
- Slamova, K.; Bojarova, P.; Petraskova, L.; Kren, V. β-N-Acetylhexosaminidase: What’s in a name…? Biotechnol. Adv. 2010, 28, 682–693. [Google Scholar] [CrossRef] [PubMed]
- Slamova, K.; Bojarova, P. Engineered N-acetylhexosamine-active enzymes in glycoscience. Biochim. Biophys. Acta 2017, 1861, 2070–2087. [Google Scholar] [CrossRef] [PubMed]
- Maegawa, G.H.B.; Tropak, M.; Buttner, J.; Stockley, T.; Kok, F.; Clarke, J.T.R.; Mahuran, D.J. Pyrimethamine as a potential pharmacological chaperone for late-onset forms of GM2 gangliosidosis. J. Biol. Chem. 2007, 282, 9150–9161. [Google Scholar] [CrossRef] [PubMed]
- Chou, T.Y.; Hart, G.W. O-Linked N-acetylglucosamine and cancer: Messages from the glycosylation of c-Myc. Adv. Exp. Med. Biol. 2001, 491, 413–418. [Google Scholar] [PubMed]
- Dias, W.; Hart, G. O-GlcNAc modification in diabetes and Alzheimer’s disease. Mol. Biosyst. 2007, 3, 766–772. [Google Scholar] [CrossRef] [PubMed]
- Fleet, G.W.J.; Smith, P.W.; Nash, R.J.; Fellows, L.E.; Parekh, R.B.; Rademacher, T.W. Synthesis of 2-acetamido-1,5-imino-1,2,5-trideoxy-d-mannitol and of 2-acetamido-1,5-imino-1,2,5-trideoxy-d-glucitol, a potent and specific inhibitor of a number of β-N-acetylglucosaminidases. Chem. Lett. 1986, 15, 1051–1054. [Google Scholar] [CrossRef]
- Best, D.; Chairatana, P.; Glawar, A.F.G.; Crabtree, E.; Butters, T.D.; Wilson, F.X.; Yu, C.-Y.; Wang, W.-B.; Jia, Y.-M.; Adachi, I.; et al. Synthesis of 2-acetamido-1,2-dideoxy-d-galacto-nojirimycin from d-glucuronolactone: The first sub-micromolar inhibitor of β-N-acetylgalactosaminidases. Tetrahedron Lett. 2010, 51, 2222–2224. [Google Scholar] [CrossRef]
- de la Fuente, A.; Risquez-Cuadro, R.; Verdaguer, X.; Garcia Fernandez, J.M.; Nanba, E.; Higaki, K.; Ortiz Mellet, C. Efficient stereoselective synthesis of 2-acetamido-1,2-dideoxyallonojirimycin (DAJNAc) and sp2-iminosugar conjugates: Novel hexosaminidase inhibitors with discrimination capabilities between the mature and precursor forms of the enzyme. Eur. J. Med. Chem. 2016, 121, 926–938. [Google Scholar] [CrossRef] [PubMed]
- Beer, D.; Maloisel, J.M.; Rast, D.M.; Vasella, A. Synthesis of 2-Acetamido-2-deoxy-d-gluconhydroximolactone- and chitobionhydroximolactone-derived N-phenylcarbamates, potential inhibitors of β-N-acetylglucosaminidase. Helv. Chim. Acta 1990, 73, 1918–1922. [Google Scholar] [CrossRef]
- Knapp, S.; Vocadlo, D.; Gao, Z.; Kirk, B.; Lou, J.; Withers, S.G. NAG-thiazoline, an N-acetyl-β-hexosaminidase inhibitor that implicates acetamido participation. J. Am. Chem. Soc. 1996, 118, 6804–6805. [Google Scholar] [CrossRef]
- Yuzwa, S.A.; Macauley, M.S.; Heinonen, J.E.; Shan, X.; Dennis, R.J.; He, Y.; Whitworth, G.E.; Stubbs, K.A.; Mceachern, E.J.; Davies, G.J.; et al. A potent mechanism-inspired O-GlcNAcase inhibitor that blocks phosphorylation of tau in vivo. Nat. Chem. Biol. 2008, 4, 483–490. [Google Scholar] [CrossRef] [PubMed]
- Dorfmueller, H.C.; Borodkin, V.S.; Schimpl, M.; Zheng, X.; Kime, R.; Read, K.D.; van Aalten, D.M.F. Cell-penetrant, nanomolar O-GlcNAcase inhibitors selective against lysosomal hexosaminidases. Chem. Biol. 2010, 17, 1250–1255. [Google Scholar] [CrossRef] [PubMed][Green Version]
- Liu, P.S.; Kang, M.S.; Sunkara, P.S. A potent inhibitor of β-N-acetylglucosaminidases: 6-Acetamido-6-deoxycastanospermine. Tetrahedron Lett. 1991, 32, 719–720. [Google Scholar] [CrossRef]
- Glawar, A.F.G.; Martinez, R.F.; Ayers, B.J.; Hollas, M.A.; Ngo, N.; Nakagawa, S.; Kato, A.; Butters, T.D.; Fleet, G.W.J.; Jenkinson, S.F. Structural essentials for β-N-acetylhexosaminidase inhibition by amides of prolines, pipecolic and azetidine carboxylic acids. Org. Biomol. Chem. 2016, 14, 10371–10385. [Google Scholar] [CrossRef] [PubMed]
- Santana, A.G.; Vadlamani, G.; Mark, B.L.; Withers, S.G. N-acetyl glycals as tight-binding and environmentally insensitive inhibitors of hexosaminidases. Chem. Commun. 2016, 52, 7943–7946. [Google Scholar] [CrossRef] [PubMed]
- Scaffidi, A.; Stubbs, K.A.R.; Dennis, J.; Taylor, E.J.; Davies, G.J.; Vocadlo, D.J.; Stick, R.V. A 1-acetamido derivative of 6-EPI-valienamine: An inhibitor of a diverse group of β-N-acetylglucosaminidases. Org. Biomol. Chem. 2007, 5, 3013–3019. [Google Scholar] [CrossRef] [PubMed]
- Kleban, M.; Hilgers, P.; Greul, J.N.; Kugler, R.D.; Li, J.; Picasso, S.; Vogel, P.; Jäger, V. Amino(hydroxymethyl)cyclopentanetriols, an emerging class of potent glycosidase inhibitors—Part 1: Synthesis and evaluation of β-d-pyranoside analogues in the manno, gluco, galacto, and GlcNAc series. ChemBioChem 2001, 2, 356–368. [Google Scholar] [CrossRef]
- Bernet, B.; Vasella, A. Carbacyclische Verbindungen aus Monosacchariden. I. Umsetzungen in der Glucosereihe. Helv. Chim. Acta 1979, 62, 1990–2016. [Google Scholar] [CrossRef]
- Padwa, A. Intramolecular 1,3-dipolar cycloaddition reactions. Angew. Chem. Int. Ed. 1976, 15, 123–136. [Google Scholar] [CrossRef]
- Oppolzer, W. Intramolecular [4 + 2]- and [3 + 2]-cycloadditions in organic synthesis. Angew. Chem. Int. Ed. 1977, 16, 10–23. [Google Scholar] [CrossRef]
- Schalli, M.; Weber, P.; Tysoe, C.; Pabst, B.M.; Thonhofer, M.; Paschke, E.; Stütz, A.E.; Tschernutter, M.; Windischhofer, W.; Withers, S.G. A new type of pharmacological chaperone for GM1-gangliosidosis related human lysosomal β-galactosidase: N-Substituted 5-amino-1-hydroxymethylcyclopentanetriols. Bioorg. Med. Chem. Lett. 2017, 27, 3431–3435. [Google Scholar] [CrossRef] [PubMed]
- Greul, J.N.; Kleban, M.; Schneier, B.; Picasso, S.; Jäger, V. Amino(hydroxymethyl)cyclopentanetriols, an emerging class of potent glycosidase inhibitors—Part II: Synthesis, evaluation and optimization of β-d-galactopyranoside analogues. ChemBioChem 2001, 2, 368–370. [Google Scholar] [CrossRef]
- Williams, S.J.; Mark, B.L.; Vocadlo, D.J.; James, M.N.G.; Withers, S.G. Aspartate 313 in the Streptomyces plicatus hexosaminidase plays a critical role in substrate-assisted catalysis by orienting the 2-acetamido group and stabilizing the transition state. J. Biol. Chem. 2002, 277, 40055–40065. [Google Scholar] [CrossRef] [PubMed]
- Greimel, P.; Häusler, H.; Lundt, I.; Rupitz, K.; Stütz, A.E.; Tarling, C.A.; Withers, S.G.; Wrodnigg, T.M. Fluorescent glycosidase inhibiting 1,5-dideoxy-1,5-iminoalditols. Bioorg. Med. Chem. Lett. 2006, 16, 2067–2070. [Google Scholar] [CrossRef] [PubMed]
Sample Availability: Samples of compounds are available from the authors. |




| Enzyme | ![]() | ![]() | ![]() | ![]() | ![]() |
| SpHex | 0.0007 | 0.0006 | 0.0007 | 0.0007 | 0.00006 |
| HexA (h.lys.) | n.d. | 0.88 | n.d. | n.d. | 0.30 |
© 2018 by the authors. Licensee MDPI, Basel, Switzerland. This article is an open access article distributed under the terms and conditions of the Creative Commons Attribution (CC BY) license (http://creativecommons.org/licenses/by/4.0/).
Share and Cite
Weber, P.; Nasseri, S.A.; Pabst, B.M.; Torvisco, A.; Müller, P.; Paschke, E.; Tschernutter, M.; Windischhofer, W.; Withers, S.G.; Wrodnigg, T.M.; et al. Potent GH20 N-Acetyl-β-d-hexosaminidase Inhibitors: N-Substituted 3-acetamido-4-amino-5-hydroxymethyl-cyclopentanediols. Molecules 2018, 23, 708. https://doi.org/10.3390/molecules23030708
Weber P, Nasseri SA, Pabst BM, Torvisco A, Müller P, Paschke E, Tschernutter M, Windischhofer W, Withers SG, Wrodnigg TM, et al. Potent GH20 N-Acetyl-β-d-hexosaminidase Inhibitors: N-Substituted 3-acetamido-4-amino-5-hydroxymethyl-cyclopentanediols. Molecules. 2018; 23(3):708. https://doi.org/10.3390/molecules23030708
Chicago/Turabian StyleWeber, Patrick, Seyed A. Nasseri, Bettina M. Pabst, Ana Torvisco, Philipp Müller, Eduard Paschke, Marion Tschernutter, Werner Windischhofer, Stephen G. Withers, Tanja M. Wrodnigg, and et al. 2018. "Potent GH20 N-Acetyl-β-d-hexosaminidase Inhibitors: N-Substituted 3-acetamido-4-amino-5-hydroxymethyl-cyclopentanediols" Molecules 23, no. 3: 708. https://doi.org/10.3390/molecules23030708
APA StyleWeber, P., Nasseri, S. A., Pabst, B. M., Torvisco, A., Müller, P., Paschke, E., Tschernutter, M., Windischhofer, W., Withers, S. G., Wrodnigg, T. M., & Stütz, A. E. (2018). Potent GH20 N-Acetyl-β-d-hexosaminidase Inhibitors: N-Substituted 3-acetamido-4-amino-5-hydroxymethyl-cyclopentanediols. Molecules, 23(3), 708. https://doi.org/10.3390/molecules23030708






