Abstract
Twenty-six novel thiosemicarbazone derivative B1–B26 were synthesized via condensation reactions between the corresponding thiosemicarbazides and aldehydes. The chemical characterization of the compounds was carried out by infrared (IR), mass (MS), proton and carbon nuclear magnetic resonance (1H- and 13C-NMR) spectroscopic analyses. The compounds were investigated for their monoamine oxidase A (MAO-A) and monoamine oxidase B (MAO-B) inhibitory activity and most of them were more potent against MAO-A enzyme when compared with MAO-B enzyme. N-Cyclohexyl-2-[4-[(4-chlorophenyl)thio]benzylidene]hydrazine-1-carbothioamide (B24) was the most active compound against MAO-A. The enzyme kinetics study revealed that compound B24 has a reversible and competitive mode of binding. Interaction modes between compound B24 and MAO-A were clarified by docking studies. In addition, the favourable absorption, distribution, metabolism, and excretion (ADME) properties and non-toxic nature of compound B24 make this compound a promising MAO-A inhibitor.
1. Introduction
The process of synaptic neurotransmission is ensured by the correct functioning of enzymes. Monoamine oxidases (MAOs) are flavoproteins bound to the outer membranes of mitochondria throughout the brain, catalysing the oxidative deamination of monoamine neurotransmitters, thereby participating in this mechanism by modulating the levels of neurotransmitters [1,2]. Two subtypes of MAO exist in mammals, namely MAO-A and MAO-B, varying in substrate specificity, sensitivity to inhibitors and amino acid sequences [3,4]. MAO-A preferentially oxidizes norepinephrine and serotonin and is selectively inhibited by clorgyline, while MAO-B preferentially deaminates dopamine and is irreversibly inhibited by l-deprenyl [5,6]. Both isoforms are significant drug targets in the therapy of neuropsychiatric and neurodegenerative disorders. Inhibitors of MAO-A are employed as antidepressants and anxiolytics [7,8] while MAO-B inhibitors are clinically used for individuals suffering from Parkinson’s disease and Alzheimer’s disease [9]. Adverse effects of irreversible and nonselective MAO inhibitors [10] have led to great interest in the discovery of novel and selective drug candidates.
Excessive levels of metal ions accumulate in brain with aging, leading to neurodegeneration. Metal-induced neurotoxicity is assumed to be connected with several neurological diseases [11]. In recent years, chelation therapy has become a useful treatment for the symptoms associated with the central nervous system [12]. Thiosemicarbazones (TSCs) are a class of sulphur- and nitrogen- containing compounds that are able to form complexes with metal ions present in biological systems [13]. Due to the strong reactivity of the hydrazine nitrogen (C=N) and thioketone (C=S) groups, TCS compounds represent a versatile class of Schiff bases and are important in medicinal chemistry [14]. Recently, there has been a concentrated research on Schiff bases and their complexes due to their range of biological activity including antifungal, antibacterial, antimalarial, antiviral, anticancer, anti-inflammatory, sedative-hypnotic, antidepressant, analgesic, cytotoxic, anticonvulsant [15,16,17,18,19,20,21,22].
TSCs are small molecules that can cross the blood brain barrier and hence be used as potential drugs in the treatment of neurodegenerative diseases. Furthermore, it has been reported that TSCs have some common features as H-bond acceptors, H-bond donors, hydrophobic substructures, positive ionizable atoms, and aromatic rings to interact with MAO enzymes [23].
Taking these facts into account, in this study, we prepared a series of thiosemicarbazide derivatives, which were substituted with a various aliphatic and aromatic groups at the N(1) and N(4) atoms. The newly synthesized compounds were examined for their inhibitory activities against MAO-A and MAO-B. Enzyme kinetic and docking studies were also carried out to clarify their inhibition profiles and mechanism(s) of action.
2. Results and Discussion
2.1. Chemistry
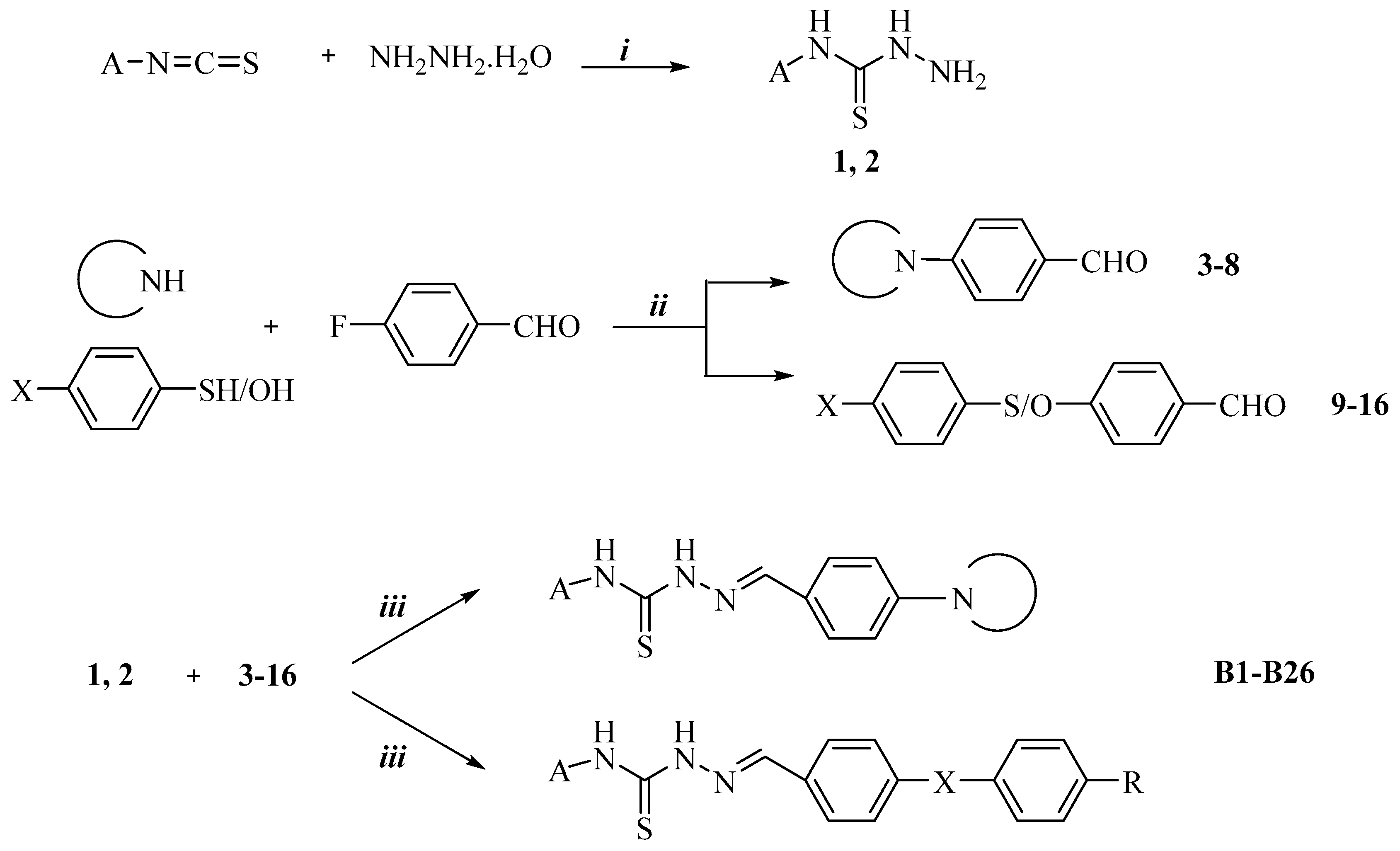
The synthetic pathways and structural features of the compounds B1–B26 are outlined in Scheme 1. In the first step, phenyl- or cyclohexylisothiocyanate and hydrazine hydrate were reacted to obtain N-phenyl/cyclohexylhydrazinecarbothioamides 1,2. In the second step, in order to synthesize aldehyde derivatives 3–16, suitable secondary amines or 4-substituted phenol/thiophenols and 4-fluorophenylbenzaldehyde were refluxed in dimethylformamide. In the final step, the condensation in ethanol of N-phenyl/cyclohexylhydrazinecarbothioamides 1,2 and the synthesized 4-substituted benzaldehyde derivatives 3–16 gave the title compounds.
Scheme 1.
The synthetic route of the compounds B1–B26. Reagents and conditions: (i) ethanol, ice bath, 2 h; (ii) N,N-dimethylformamide (DMF), K2CO3, reflux, 24 h; (iii) ethanol, reflux, 4–10 h.
The structures of all final compounds were elucidated by infrared, mass, 1H- and 13C-NMR spectroscopy experiments. In the infrared (IR) spectra, N-H, aromatic and aromatic C-Hs, C=N, C=C, C-N and C-O bands were observed. N-H bands were recorded around 3280 cm−1. C-H bands for aromatic and aliphatic examples were observed between 3157 cm−1 and 2929 cm−1. C=N and C=C groups were recorded at 1600 cm−1–1442 cm−1. C-N and C-O bands were observed between 1287–1124 cm−1. In the 1H-NMR spectra, alkyl group protons had peaks between 0.92 ppm and 4.37 ppm. The chemical shift values of aromatic ring protons were between 6.81 ppm and 7.82 ppm, depending on the substituent groups. Imine protons appeared between 7.83 ppm and 8.14 ppm, while N-H protons were seen at 7.91 ppm−11.85 ppm. In the 13C-NMR spectra, aliphatic and aromatic carbons were observed between 19.65 ppm−55.90 ppm and 112.14 ppm−163.11 ppm, respectively. Thiocarbonyl carbons were observed between 175.53 ppm and 176.44 ppm. In High Resolution Mass (HRMS) analysis, the calculated and expected masses were matched at the ppm level. The IR, 1H-NMR, 13C-NMR, and HRMS spectra of compound B24 are presented in supplementary file.
2.2. Monoamine oxidase Inhibition Assay
The novel series of thiosemicarbazone derivatives B1–B26 were investigated for their MAO-A and MAO-B inhibitory activity by a two-step fluorometric method. In the first step, compounds B1–B26 were screened at 10−3 and 10−4 M concentrations. Compounds that indicate more than 50% inhibition at first step, were tested at 10−5–10−9 M concentrations. As seen in Table 1, compounds B19, B21–B26 showed 50% inhibitory activity against MAO-A at 10−3 concentration. Except for compound B24, these compounds did not display 50% inhibition at 10−4 concentration, thus only compound B24 was selected for the second step activity assay. The result of this step is presented in Figure 1. The second screening of compound B24 against MAO-A revealed that this compound displayed a half-maximal inhibitory concentration (IC50) of 0.662 μM, whereas reference drug moclobemide had an IC50 of 2.179 μM. None of the compounds showed inhibitory effect towards MAO-B at tested concentrations. These findings suggest that compounds are more selective inhibitors against MAO-A than MAO-B.
Table 1.
Initial screening results to determine inhibition potency of compounds B1–B26, moclobemide and selegiline against monoamine oxidase A (MAO-A) and monoamine oxidase B (MAO-B) at concentrations of 10−3 M and 10−4 M.
Figure 1.
Further screening to determine inhibition potency and a half-maximal inhibitory concentration (IC50) values of B24 and moclobemide against MAO-A.
Generally, compounds B14–B26 have been found to more active than compounds B1–B13. Therefore, it can be concluded that a cyclohexyl ring at the N(1) position is more favourable for the MAO-A inhibitory activity. Furthermore, between compounds B14–B26, compounds containing 4-substituted phenyl ring linked by an oxygen or sulphur atom were indicated as more potent. As the most active inhibitory agent is N-cyclohexyl-2-[4-[(4-chlorophenyl)thio]benzylidene]hydrazine-1-carbothioamide (B24), a 4-chlorophenyl group linked with a sulphur atom was demonstrated to be beneficial for MAO-A inhibitory activity.
2.3. Enzyme Kinetic Studies
The mechanism of MAO-A inhibition was examined by enzyme kinetics, following a similar procedure to the MAO inhibition assay. The linear Lineweaver-Burk graphics were used to determine the type of inhibition. Enzyme kinetics were analyzed by recording substrate velocity curves in the absence and presence of the most potent compound B24, which was prepared at IC50/2, IC50 and 2 × IC50 concentrations. The initial velocity measurements were gained at different substrate (tyramine) concentrations ranging from 20 µM to 0.625 µM. The steady-state inhibition constant (Ki) values of compound B24 was determined from the secondary plot slope versus varying concentrations. The graphical analysis of steady-state inhibition data for compound B24 is presented in Figure 2.
Figure 2.
(A) Lineweaver–Burk plots for the inhibition of MAO-A by compound B24. [S], substrate concentration (μM); V, reaction velocity (nmol/min/mg protein). Inhibitor concentrations are shown at the left. Michaelis-Menten constant (Km) values from IC50/2 to control; 3.303, 6.455, 10.656 and 0.933 (μM). Vmax value of the competitive inhibition; 111.015 ± 2.557 (nmol/min/mg protein); (B) Secondary plot for calculation of steady-state inhibition constant (Ki) of compound B24. Ki was calculated as 0.142 μM.
Enzyme inhibitors can be classified as reversible or irreversible relative to the type of interaction. Uncompetitive, competitive, noncompetitive, and mixed inhibitions are the subtypes of reversible inhibitors than can be determined by Lineweaver-Burk graphics [24]. It is known that uncompetitive type inhibition is observed with a graph, including the parallel lines of inhibitor and control without any cross. If there is a line crossing at the same point but not on the x-axis or y-axis the inhibition type is called mixed-type. Non-competitive inhibitors display the same intercept on the x-axis but with diverse slopes and intercepts on the y-axis between the two data sets. Oppositely, competitive inhibitors give plots with the same intercept on the y-axis but different slopes and intercepts on the x-axis as observed in Figure 2. Therefore, it can be stated that compound B24 is a reversible and competitive inhibitor, showing similar inhibition features as the substrate. The Ki value for compound B24 was calculated as 0.142 μM for the inhibition of MAO-A.
2.4. Cytotoxicity Test
After the preliminary enzyme inhibition assay, compound B24 was selected for the second step, and besides its toxicity was measured because the cytotoxicity of a compound is a crucial parameter in medicinal chemistry to obtain a safe drug candidate. A methylthiazolyl tetrazolium (MTT) assay [25] was applied to screen the cytotoxic effects of compound B24 on healthy NIH/3T3 mouse embryonic fibroblast cell lines (ATCC CRL1658, London, UK). It has been determined that compound B24 had an IC50 value of 24.6 µM against NIH/3T3 cells, while its IC50 value was 0.662 µM against MAO-A, thus proving that compound B24 is non-toxic at its effective concentration towards MAO-A.
2.5. Molecular Docking Studies
As stated in MAO inhibition assay, compound B24 was found to be most active and selective derivative against MAO-A. Thus, to assess in silico its activity and observe the binding modes between B24 and MAO-A, docking studies were carried out. The X-ray crystal structure of MAO-A (PDB ID: 2Z5X) [26] was obtained from the Protein Data Bank server (www.pdb.org). The docking poses of compound B24 on MAO-A are presented in Figure 3.
Figure 3.
The interacting mode of compound B24 in the active region of MAO-A. The inhibitor and the important residues in the active site of the enzyme are presented by tube model. The flavin adenine dinucleotide (FAD) molecule is colored green with ball and stick model. After superposing X-ray ligands Root Mean Square Deviation (RMSD) value is 0.029 Å. Docking score, glide gscore and glide emodel for compound B24 were found as: −11.869, −11.869 and −96.645, respectively.
By looking at the interactions described in the literature for harmine, it was seen that harmine is positioned in the active site of the enzyme MAO-A. It interacts with Tyr69, Asn181, Phe208, Val210, Gln215, Cys323, Ile325, Ile335, Leu337, Phe352, Tyr407, Tyr444 and flavin adenine dinucleotide (FAD) molecule. The amide group of the Gln215 side chain interacts tightly with harmine by a π–π interaction. Also, the pyridine ring is stabilized with Tyr407 and Tyr444 by forming a π-π interaction with phenyl rings [26,27]. When the docking pose of compound B24 was analysed, both similar and additional interactions were observed. Compound B24 closely binds to some amino acid residues lining the cavity, and is located very near the FAD cofactor. According to the docking pose (Figure 3), two π-π interactions are observed.
The 4-chlorophenyl substructure is in an interaction with the phenyl of Phe208, whereas the benzylidene substructure establishes a π-π interaction with the phenyl of Phe352. Due to its hydrogen acceptor and donor atoms thiosemicarbazide moiety is essential for polar interactions. Two nitrogen atoms (N3 and N4) of this group have ability to form two different hydrogen bonds. The first hydrogen bond is observed between the amino nitrogen and the carbonyl of Asn181. The other one is seen between the imine nitrogen and hydroxyl of Tyr407. These interactions support the approach, which reveals that amino acid side chains, coating the cavity, are very favorable to interact with the amine moieties [28,29,30,31]. The last interaction in the structure is seen as a halogen bond. The chloro atom at the C4 position of the phenyl ring forms a halogen bond with Ala111. The appearance of this interaction explains why compound B24 displays stronger binding to MAO-A.
When the chemical structures of the synthesized compounds are examined in general, it would be expected that compounds B10 and B11 should display similar activity to compound B24. However, their low inhibition rates may be due to the presence of the phenyl ring in place of a cyclohexyl. It is thought that the phenyl ring makes the structure more stable and leads a a rigid conformation. As a result, for compounds B10 and B11 it could be suggested that the presence of a phenyl on the N1 atom leads to less binding to the enzyme active site, which reduces their enzyme inhibition potency.
2.6. Theoretical Determination of Absorption, Distribution, Metabolism, and Excretion (ADME) Properties
The physicochemical properties of a compound are important for its suitability to be developed as an oral drug candidate. Absorption, distribution, metabolism, and excretion (ADME) studies were performed using the QikProp 4.8 software [32]. This software calculates any violations of Lipinski’s rule of five [33] and Jorgensen’s rule of three [34]. The results are exhibited in Table 2. Considering Lipkinski’s rule of five, compounds with a number of violations of not more than 1 show good bioavailability. Molecular weights (MW) of the all compounds are smaller than 500 Dalton. Their hydrogen bond donors (DHB), hydrogen bond acceptors (AHB) and polar surface area (PSA) values are within the range. Some of the compounds have an octanol/water partition coefficient (log P) value bigger than five. Compounds B1–B24 are in general accordance with the rule by causing no more than one violation. In accordance with Jorgensen’s rule of three, all apparent Caco-2 cell permeability (PCaco) values are very high and number of likely primer metabolic reactions (PM) are within the limits. The aqueous solubility (log S) of the compounds are smaller than −5.7 and the only violation from this rule.
Table 2.
Calculated Absorption, Distribution, Metabolism, and Excretion (ADME) parameters of compounds B1–B26.
MAO inhibitors target to have effects on central nervous system (CNS), thus should able to pass the blood-brain barrier (BBB). The blood/brain partition coefficient (logBB), apparent Madin-Darby canine kidney (MDCK) cell permeability (PMDCK) are useful parameters to assign the penetration capacity of a compound from blood-brain barrier. The logBB values of all compounds are within recommended −3–+1.2 range. The PMDCK value of all compounds are higher than 500. The predicted CNS value of compound B24 is 1, while this value is 0 for the rest of the compounds. Consequently, compounds B1–B26 are determined to have good pharmacokinetic profiles and high BBB permeability, which enhances the biological importance of these compounds as potential CNS drug candidates.
3. Materials and Methods
3.1. General Information
All chemicals were purchased from Sigma-Aldrich Chemical Co. (St. Louis, MO, USA) and Merck KGaA (Darmstadt, Germany). All melting points (m.p.) were determined on an Electrothermal 9100 digital melting point apparatus (Electrothermal, Essex, UK) and are uncorrected. All reactions were monitored by thin-layer chromatography (TLC) using Silica Gel 60 F254 TLC plates (Merck KGaA). Spectroscopic data were recorded with the following instruments: IR: 8400S spectrophotometer (Shimadzu, Tokyo, Japan); 1H-NMR: DPX 300 NMR spectrometer (Bruker Bioscience, Billerica, MA, USA), 13C-NMR: Bruker DPX 75 NMR spectrometer in dimethyl sulfoxide (DMSO)-d6, using TMS as internal standard; HRMS: Shimadzu, Liquid Chromatography/Mass Spectrometer Ion-Trap and Time-of-Flight (LC/MS ITTOF) system.
3.2. Chemistry
3.2.1. Synthesis of N-Phenyl/Cyclohexylhydrazinecarbothioamides 1,2
Phenyl- or cyclohexylisothiocyanate (25 mmol) was dissolved in ethanol (200 mL). Hydrazine hydrate (50 mmol) was placed in an addition funnel and diluted with ethanol (20 mL). The diluted hydrazine hydrate was added to the mixture in an ice bath. After the completion of the addition, the resulting solid product was filtered and washed with cold ethanol. The products were recrystallized from ethanol.
3.2.2. Synthesis of 4-Substituted Benzaldehyde Derivatives 3–16
Appropriate seconder amines (5 mmol) or 4-substituted phenol/thiophenol derivatives (5 mmol) were refluxed with 4-fluorobenzaldehyde (5 mmol, 0.62 g) in dimethylformamide (10 mL) with the presence of potassium carbonate (6 mmol, 0.83 g). After TLC screening, the mixture was poured into ice water and filtered. The products were recrystallized from ethanol.
3.2.3. Synthesis of 2-(4-Substituted Benzylidene)-N-phenyl/cyclohexylhydrazine-1-carbothioamide Derivatives B1–B26
Equal amounts of N-phenyl/cyclohexylhydrazinecarbothioamides 1,2 (2 mmol) and the synthesized 4-substituted benzaldehyde (2 mmol) derivatives 3–16 were refluxed in ethanol (40 mL). After completion of the reaction, the product was filtered and recrystallized from ethanol.
N-Phenyl-2-[4-(piperidin-1-yl)benzylidene]hydrazine-1-carbothioamide (B1): Yield 68–70%, m.p. 182–184 °C. Fourier transform IR (FTIR) (Attenuated total reflection (ATR), cm−1): 3300 (N-H), 3134 (aromatic C-H), 2929 (aliphatic C-H), 1591–1444 (C=N and C=C), 1124 (C-N). 1H-NMR (300 MHz, DMSO-d6, ppm) δ 1.58 (6H, s, piperidine-H), 3.26 (4H, s, piperidine-H), 6.93 (2H, d, J = 8.9 Hz, disubstituted phenyl-H), 7.19 (1H, t, J = 7.4 Hz, phenyl-H), 7.36 (2H, t, J = 7.8 Hz, phenyl-H), 7.59 (2H, d, J = 7.9 Hz, phenyl-H), 7.69 (2H, d, J = 8.8 Hz, disubstituted phenyl-H), 8.05 (1H, s, N=CH), 9.95 (1H, s, NH), 11.60 (1H, s, NH). 13C-NMR (75 MHz, DMSO-d6, ppm) δ 24.37, 25.43, 48.85, 114.89, 123.39, 125.54, 126.03, 128.47, 129.43, 139.61, 144.10, 152.90, 175.55. HRMS (m/z): [M + H]+ calcd. for C19H22N4S: 339.1638; found 339.1626.
N-phenyl-2-[4-(2-methylpiperidin-1-yl)benzylidene]hydrazine-1-carbothioamide (B2): Yield 68–70%, m.p. 178–180 °C. FTIR (ATR, cm−1): 3300 (N-H), 3132 (aromatic C-H), 2976 (aliphatic C-H), 1591–1444 (C=N and C=C), 1182 (C-N). 1H-NMR (300 MHz, DMSO-d6, ppm) δ 0.91 (3H, d, J = 6.6 Hz, CH3), 1.06–1.14 (1H, m, piperidine-H), 1.44–1.79 (4H, m, piperidine-H), 2.37–2.45 (1H, m, piperidine-H), 2.67–2.76 (1H, m, piperidine-H), 3.70–3.80 (2H, m, piperidine-H), 6.94 (2H, d, J = 8.9 Hz, disubstituted phenyl-H), 7.19 (1H, t, J = 7.3 Hz, phenyl-H), 7.36 (2H, t, J = 8.1 Hz, phenyl-H), 7.59 (2H, d, J = 7.5 Hz, phenyl-H), 7.69 (2H, d, J = 8.9 Hz, disubstituted phenyl-H), 8.04 (1H, s, N=CH), 9.94 (1H, s, NH), 11.59 (1H, s, NH). 13C-NMR (75 MHz, DMSO-d6, ppm) δ 19.65, 24.87, 30.54, 32.96, 48.25, 55.66, 114.82, 123.25, 125.54, 126.03, 128.47, 129.46, 139.62, 144.13, 152.68, 175.53. HRMS (m/z): [M + H]+ calcd. for C20H24N4S: 353.1794; found 353.1809.
N-Phenyl-2-[4-(4-methylpiperidin-1-yl)benzylidene]hydrazine-1-carbothioamide (B3): Yield 68–70%, m.p. 156–159 °C. FTIR (ATR, cm−1): 3280 (N-H), 3134 (aromatic C-H), 2943 (aliphatic C-H), 1591–1442 (C=N and C=C), 1132 (C-N). 1H-NMR (300 MHz, DMSO-d6, ppm) δ 0.92 (3H, d, J = 6.5 Hz, CH3), 1.11–1.24 (2H, m, piperidine-H), 1.47–1.60 (1H, m, piperidine-H), 1.66–1.70 (2H, m, piperidine-H), 2.70–2.79 (2H, m, piperidine-H), 3.79–3.83 (2H, m, piperidine-H), 6.93 (2H, d, J = 9.0 Hz, disubstituted phenyl-H), 7.19 (1H, t, J = 7.3 Hz, phenyl-H), 7.36 (2H, t, J = 7.9 Hz, phenyl-H), 7.59 (2H, d, J = 7.5 Hz, phenyl-H), 7.69 (2H, d, J = 8.9 Hz, disubstituted phenyl-H), 8.04 (1H, s, N=CH), 9.94 (1H, s, NH), 11.60 (1H, s, NH). 13C-NMR (75 MHz, DMSO-d6, ppm) δ 22.22, 30.70, 33.68, 48.18, 114.90, 123.37, 125.54, 126.03, 128.47, 129.44, 139.61, 144.11, 152.68, 175.54. HRMS (m/z): [M + H]+ calcd. for C20H24N4S: 353.1794; found 353.1793.
N-phenyl-2-[4-(4-phenylpiperazin-1-yl)benzylidene]hydrazine-1-carbothioamide (B4): Yield 68–70%, m.p. 214–217 °C. FTIR (ATR, cm−1): 3344 (N-H), 3118 (aromatic C-H), 2966 (aliphatic C-H), 1593–1444 (C=N and C=C), 1207 (C-N). 1H-NMR (300 MHz, DMSO-d6, ppm) δ 3.25–3.29 (4H, m, piperazine-H), 3.42 (4H, s, piperazine-H), 6.81 (1H, t, J = 7.2 Hz, phenyl-H), 7.01 (4H, m, disubstituted phenyl-H), 7.17–7.27 (3H, m, phenyl-H), 7.36 (2H, t, J = 8.1 Hz, phenyl-H), 7.58 (2H, d, J = 7.5 Hz, phenyl-H), 7.75 (2H, d, J = 8.9 Hz, disubstituted phenyl-H), 8.07 (1H, s, N=CH), 9.98 (1H, s, NH), 11.63 (1H, s, NH). 13C-NMR (75 MHz, DMSO-d6, ppm) δ 47.71, 48.62, 115.05, 116.14, 119.68, 124.45, 125.60, 126.14, 128.48, 129.41, 129.48, 139.61, 143.92, 151.29, 152.47, 175.70. HRMS (m/z): [M + H]+ calcd. for C24H25N5S: 416.1903; found 416.1892.
N-phenyl-2-[4-[4-(4-methoxyphenyl)piperazin-1-yl]benzylidene]hydrazine-1-carbothioamide (B5): Yield 68–70%, m.p. 212–215 °C. FTIR (ATR, cm−1): 3334 (N-H), 3122 (aromatic C-H), 2974 (aliphatic C-H), 1591–1446 (C=N and C=C), 1269–1028 (C-N and C-O). 1H-NMR (300 MHz, DMSO-d6, ppm) δ 3.12–3.16 (4H, m, piperazine-H), 3.38 (4H, s, piperazine-H), 3.69 (3H, s, OCH3), 6.84 (2H, d, J = 9.1 Hz, methoxyphenyl-H), 6.95 (2H, d, J = 9.0 Hz, methoxyphenyl-H), 7.02 (2H, d, J = 8.9 Hz, disubstituted phenyl-H), 7.19 (1H, t, J = 7.5 Hz, phenyl-H), 7.36 (2H, t, J = 7.9 Hz, phenyl-H), 7.58 (2H, d, J = 7.5 Hz, phenyl-H), 7.75 (2H, d, J = 8.8 Hz, disubstituted phenyl-H), 8.07 (1H, s, N=CH), 9.98 (1H, s, NH), 11.64 (1H, s, NH). 13C-NMR (75 MHz, DMSO-d6, ppm) δ 47.86, 50.12, 55.66, 114.77, 115.05, 118.24, 124.43, 125.58, 126.14, 128.47, 129.40, 139.63, 143.90, 145.67, 152.51, 153.66, 175.70. HRMS (m/z): [M + H]+ calcd. for C25H27N5OS: 446.2009; found 446.1992.
N-phenyl-2-[4-(4-methylphenoxy)benzylidene]hydrazine-1-carbothioamide (B6): Yield 68–70%, m.p. 175–178 °C. FTIR (ATR, cm−1): 3318 (N-H), 3113 (aromatic C-H), 2970 (aliphatic C-H), 1593–1449 (C=N and C=C), 1238–1157 (C-N and C-O). 1H-NMR (300 MHz, DMSO-d6, ppm) δ 2.31 (3H, s, CH3), 6.97–6.99 (4H, m, methylphenyl-H, disubstituted phenyl-H), 7.17–7.24 (3H, m, methylphenyl-H, phenyl-H), 7.37 (2H, t, J = 7.8 Hz, phenyl-H), 7.57 (2H, d, J = 7.8 Hz, phenyl-H), 7.90 (2H, d, J = 8.7 Hz, disubstituted phenyl-H), 8.13 (1H, s, N=CH), 10.08 (1H, s, NH), 11.78 (1H, s, NH). 13C-NMR (75 MHz, DMSO-d6, ppm) δ 20.77, 118.09, 119.92, 125.73, 126.30, 128.50, 129.19, 129.97, 131.02, 133.83, 139.54, 142.75, 153.80, 159.46, 176.24. HRMS (m/z): [M + H]+ calcd. for C21H19N3OS: 362.1322; found 362.1315.
N-phenyl-2-[4-[(4-methylphenyl)thio]benzylidene]hydrazine-1-carbothioamide (B7): Yield 68–70%, m.p. 162–165 °C. FTIR (ATR, cm−1): 3420 (N-H), 3136 (aromatic C-H), 2978 (aliphatic C-H), 1591–1447 (C=N and C=C), 1263 (C-N). 1H-NMR (300 MHz, DMSO-d6, ppm) δ 2.32 (3H, s, CH3), 7.18 (2H, d, J = 8.4 Hz, disubstituted phenyl-H), 7.22–7.24 (3H, m, methylphenyl-H, phenyl-H), 7.33–7.39 (4H, m, methylphenyl-H, phenyl-H), 7.55 (2H, d, J = 7.7 Hz, phenyl-H), 7.84 (2H, d, J = 8.4 Hz, disubstituted phenyl-H), 8.09 (1H, s, N=CH), 10.08 (1H, s, NH), 11.82 (1H, s, NH). 13C-NMR (75 MHz, DMSO-d6, ppm) δ 21.19, 125.82, 126.30, 128.53, 128.61, 128.84, 129.32, 130.98, 132.50, 133.46, 138.87, 139.45, 139.75, 142.51, 176.33. HRMS (m/z): [M + H]+ calcd. for C21H19N3S2: 378.1093; found 378.1086.
N-Phenyl-2-[4-(4-methoxyphenoxy)benzylidene]hydrazine-1-carbothioamide (B8): Yield 68–70%, m.p. 189–192 °C. FTIR (ATR, cm−1): 3306 (N-H), 3129 (aromatic C-H), 2968 (aliphatic C-H), 1595–1447 (C=N and C=C), 1254–1194 (C-N and C-O). 1H-NMR (300 MHz, DMSO-d6, ppm) δ 3.75 (3H, s, OCH3), 6.93 (2H, d, J = 8.8 Hz, disubstituted phenyl-H), 6.99 (2H, d, J = 9.2 Hz, methoxyphenyl-H), 7.06 (2H, d, J = 9.1 Hz, methoxyphenyl-H), 7.20 (1H, t, J = 7.4 Hz, phenyl-H), 7.36 (2H, t, J = 7.7 Hz, phenyl-H), 7.55 (2H, d, J = 7.3 Hz, phenyl-H), 7.81 (2H, d, J = 8.5 Hz, disubstituted phenyl-H), 8.09 (1H, s, N=CH), 10.08 (1H, s, NH), 11.82 (1H, s, NH). 13C-NMR (75 MHz, DMSO-d6, ppm) δ 55.90, 115.65, 117.40, 121.67, 125.76, 126.28, 128.51, 128.78, 129.94, 139.51, 142.86, 149.01, 156.47, 160.21, 176.20. HRMS (m/z): [M + H]+ calcd. for C21H19N3SO2: 378.1271; found 378.1263.
N-Phenyl-2-[4-[(4-methoxyphenyl)thio]benzylidene]hydrazine-1-carbothioamide (B9): Yield 68–70%, m.p. 175–178 °C. FTIR (ATR, cm−1): 3289 (N-H), 3157 (aromatic C-H), 2974 (aliphatic C-H), 1591–1456 (C=N and C=C), 1287–1190 (C-N and C-O). 1H-NMR (300 MHz, DMSO-d6, ppm) δ 3.80 (3H, s, OCH3), 7.05 (2H, d, J = 8.9 Hz, methoxyphenyl-H), 7.09 (2H, d, J = 8.4 Hz, disubstituted phenyl-H), 7.20 (1H, t, J = 7.4 Hz, phenyl-H), 7.36 (2H, t, J = 7.8 Hz, phenyl-H), 7.47 (2H, d, J = 8.8 Hz, methoxyphenyl-H), 7.56 (2H, d, J = 7.7 Hz, phenyl-H), 7.88 (2H, d, J = 8.8 Hz, disubstituted phenyl-H), 8.11 (1H, s, N=CH), 10.05 (1H, s, NH), 11.75 (1H, s, NH). 13C-NMR (75 MHz, DMSO-d6, ppm) δ 55.82, 116.01, 122.14, 125.77, 126.28, 127.20, 128.50, 128.76, 131.94, 136.46, 139.49, 141.29, 142.53, 160.54, 176.28. HRMS (m/z): [M + H]+ calcd. for C21H19N3S2O: 394.1042; found 394.1034.
N-Phenyl-2-[4-(4-chlorophenoxy)benzylidene]hydrazine-1-carbothioamide (B10): Yield 68–70%, m.p. 167–170 °C. FTIR (ATR, cm−1): 3318 (N-H), 3111 (aromatic C-H), 2966 (aliphatic C-H), 1589–1447 (C=N and C=C), 1236–1194 (C-N and C-O). 1H-NMR (300 MHz, DMSO-d6, ppm) δ 7.06 (2H, d, J = 8.8 Hz, disubstituted phenyl-H), 7.10 (2H, d, J = 8.9 Hz, chlorophenyl-H), 7.20 (1H, t, J = 7.4 Hz, phenyl-H), 7.37 (2H, t, J = 7.8 Hz, phenyl-H), 7.47 (2H, d, J = 8.9 Hz, chlorophenyl-H), 7.56 (2H, d, J = 7.4 Hz, phenyl-H), 7.95 (2H, d, J = 8.8 Hz, disubstituted phenyl-H), 8.14 (1H, s, N=CH), 10.10 (1H, s, NH), 11.81 (1H, s, NH). 13C-NMR (75 MHz, DMSO-d6, ppm) δ 118.94, 121.29, 125.77, 126.34, 128.25, 128.50, 129.49, 130.10, 130.50, 139.53, 142.57, 155.40, 158.39, 176.32. HRMS (m/z): [M + H]+ calcd. for C20H16N3SOCl: 382.0775; found 382.0764.
N-Phenyl-2-[4-[(4-chlorophenyl)thio]benzylidene]hydrazine-1-carbothioamide (B11): Yield 68–70%, m.p. 175–177 °C. FTIR (ATR, cm−1): 3329 (N-H), 3127 (aromatic C-H), 2972 (aliphatic C-H), 1591–1447 (C=N and C=C), 1269–1203 (C-N and C-S). 1H-NMR (300 MHz, DMSO-d6, ppm) δ 7.20 (1H, t, J = 7.4 Hz, phenyl-H), 7.31 (2H, d, J = 8.4 Hz, disubstituted phenyl-H), 7.37–7.41 (4H, m, chlorophenyl-H, phenyl-H), 7.47 (2H, d, J = 8.7 Hz, chlorophenyl-H), 7.54 (2H, d, J = 7.4 Hz, phenyl-H), 7.90 (2H, d, J = 8.4 Hz, disubstituted phenyl-H), 8.12 (1H, s, N=CH), 10.12 (1H, s, NH), 11.85 (1H, s, NH). 13C-NMR (75 MHz, DMSO-d6, ppm) δ 125.86, 126.36, 128.54, 129.09, 130.16, 130.49, 133.19, 133.38, 133.51, 133.55, 137.31, 139.45, 142.32, 176.44. HRMS (m/z): [M + H]+ calcd. for C20H16N3S2Cl: 398.0547; found 398.0533.
N-Phenyl-2-[4-(4-fluorophenoxy)benzylidene]hydrazine-1-carbothioamide (B12): Yield 68–70%, m.p. 135–136 °C. FTIR (ATR, cm−1): 3285 (N-H), 3126 (aromatic C-H), 2974 (aliphatic C-H), 1591–1495 (C=N and C=C), 1271–1192 (C-N and C-O). 1H-NMR (300 MHz, DMSO-d6, ppm) δ 7.00 (2H, d, J = 8.8 Hz, disubstituted phenyl-H), 7.11–7.14 (2H, m, fluorophenyl-H), 7.20 (1H, t, J = 7.3 Hz, phenyl-H), 7.24–7.20 (2H, m, fluorophenyl -H), 7.36 (2H, t, J = 7.8 Hz, phenyl-H), 7.54 (2H, d, J = 7.4 Hz, phenyl-H), 7.91 (2H, d, J = 8.8 Hz, disubstituted phenyl-H), 8.12 (1H, s, N=CH), 10.08 (1H, s, NH), 11.77 (1H, s, NH). 13C-NMR (75 MHz, DMSO-d6, ppm) δ 117.23 (d, J = 23.3 Hz), 118.16, 121.82 (d, J = 8.3 Hz), 125.79, 126.31, 128.52, 129.02 (d, J = 3.1 Hz), 129.47, 130.04, 139.50, 142.71, 159.29, 163.11 (d, J = 242.3 Hz), 176.27. HRMS (m/z): [M + H]+ calcd. for C20H16N3SOF: 366.1071; found 366.1061.
N-Phenyl-2-[4-[(4-fluorophenyl)thio]benzylidene]hydrazine-1-carbothioamide (B13): Yield 68–70%, m.p. 168–169 °C. FTIR (ATR, cm−1): 3331 (N-H), 3127 (aromatic C-H), 2974 (aliphatic C-H), 1591–1447 (C=N and C=C), 1271–1153 (C-N and C-S). 1H-NMR (300 MHz, DMSO-d6, ppm) δ 7.20–7.23 (2H, m, disubstituted phenyl-H, phenyl-H), 7.27–7.39 (2H, m, fluorophenyl-H, phenyl-H), 7.50–7.57 (2H, m, fluorophenyl-H, phenyl-H), 7.87 (2H, d, J = 8.5 Hz, disubstituted phenyl-H), 8.10 (1H, s, N=CH), 10.10 (1H, s, NH), 11.85 (1H, s, NH). 13C-NMR (75 MHz, DMSO-d6, ppm) δ 117.43 (d, J = 21.8 Hz), 125.81, 126.34, 128.51, 128.81, 128.98 (d, J = 3.0 Hz), 132.89, 135.62 (d, J = 8.4 Hz), 139.03, 139.48, 142.36, 162.68 (d, J = 244.5 Hz), 176.39. HRMS (m/z): [M + H]+ calcd. for C20H16N3S2F: 382.0842; found 382.0831.
N-Cyclohexyl-2-[4-(piperidin-1-yl)benzylidene]hydrazine-1-carbothioamide (B14): Yield 66–68%, m.p. 204–205 °C. FTIR (ATR, cm−1): 3310 (N-H), 3061 (aromatic C-H), 2987 (aliphatic C-H), 1600 (C=N), 1449 (C=C), 1269 (C-N). 1H-NMR (300 MHz, DMSO-d6, ppm) δ 1.08–1.88 (16H, m, cyclohexyl-H, piperidine-H), 3.25 (4H, br s, cyclohexyl-H, piperidine-H), 4.11–4.22 (1H, m, cyclohexyl-H, piperidine-H), 6.92 (2H, d, J = 8.9 Hz, disubstituted phenyl-H), 7.57 (2H, d, J = 8.8 Hz, disubstituted phenyl-H), 7.84 (1H, d, J = 8.6 Hz, N=CH), 7.94 (1H, s, NH), 11.19 (1H, s, NH). 13C-NMR (75 MHz, DMSO-d6, ppm) δ 24.38, 25.38, 25.44, 25.62, 32.39, 48.92, 52.85, 115.02, 123.61, 129.03, 143.27, 152.77, 178.58. HRMS (m/z): [M + H]+ calcd. for C19H28N4S: 345.2107; found 345.2091.
N-Cyclohexyl-2-[4-(2-methylpiperidin-1-yl)benzylidene]hydrazine-1-carbothioamide (B15): Yield 68–70%, m.p. 212–213 °C. FTIR (ATR, cm−1): 3306 (N-H), 3051 (aromatic C-H), 2986 (aliphatic C-H), 1599 (C=N), 1452 (C=C), 1219 (C-N). 1H-NMR (300 MHz, DMSO-d6, ppm) δ 0.92 (3H, d, J = 6.5 Hz, CH3), 1.12–1.88 (16H, m, cyclohexyl-H, piperidine-H), 2.69–2.78 (2H, m, cyclohexyl-H, piperidine-H), 3.77–3.81 (2H, m, cyclohexyl-H, piperidine-H), 4.11–4.22 (1H, m, cyclohexyl-H, piperidine-H), 6.92 (2H, d, J = 8.9 Hz, disubstituted phenyl -H), 7.57 (2H, d, J = 8.9 Hz, disubstituted phenyl -H), 7.83 (1H, d, J = 8.6 Hz, N=CH), 7.94 (1H, s, NH), 11.18 (1H, s, NH). 13C-NMR (75 MHz, DMSO-d6, ppm) δ 22.22, 25.38, 25.62, 30.70, 32.39, 33.69, 48.25, 52.85, 115.02, 123.59, 129.04, 143.27, 152.55, 175.58. HRMS (m/z): [M + H]+ calcd. for C20H30N4S: 359.2264; found 359.2252.
N-Cyclohexyl-2-[4-(4-methylpiperidin-1-yl)benzylidene]hydrazine-1-carbothioamide (B16): Yield 68–70%, m.p. 200–201 °C. FTIR (ATR, cm−1): 3310 (N-H), 3067 (aromatic C-H), 2976 (aliphatic C-H), 1599 (C=N), 1503 (C=C), 1218 (C-N). 1H-NMR (300 MHz, DMSO-d6, ppm) δ 0.91 (3H, d, J = 6.6 Hz, CH3), 1.02–1.89 (16H, m, cyclohexyl-H, piperidine-H), 2.40–2.44 (1H, m, cyclohexyl-H, piperidine-H), 2.65–2.74 (1H, m, cyclohexyl-H, piperidine-H), 3.68–3.76 (2H, m, cyclohexyl-H, piperidine-H), 4.16–4.18 (1H, m, cyclohexyl-H, piperidine-H), 6.92 (2H, d, J = 8.9 Hz, disubstituted phenyl -H), 7.56 (2H, d, J = 8.9 Hz, disubstituted phenyl-H), 7.83 (1H, d, J = 8.6 Hz, N=CH), 7.94 (1H, s, NH), 11.19 (1H, s, NH). 13C-NMR (75 MHz, DMSO-d6, ppm) δ 19.67, 24.87, 25.37, 25.62, 30.53, 32.39, 32.97, 48.33, 52.83, 55.75, 114.94, 123.46, 129.05, 143.23, 152.55, 175.57. HRMS (m/z): [M + H]+ calcd. for C20H30N4S: 359.2264; found 359.2262.
N-Cyclohexyl-2-[4-(4-phenylpiperazin-1-yl)benzylidene]hydrazine-1-carbothioamide (B17): Yield 68–70%, m.p. 227–228 °C. FTIR (ATR, cm−1): 3300 (N-H), 3061 (aromatic C-H), 2972 (aliphatic C-H), 1597 (C=N),1493 (C=C), 1229 (C-N). 1H-NMR (300 MHz, DMSO-d6, ppm) δ 1.03–1.89 (10H, m, cyclohexyl-H), 3.26–3.29 (4H, m, piperazine-H), 3.38–3.41 (4H, m, piperazine-H), 4.12–4.23 (1H, m, cyclohexyl-H), 6.81 (1H, t, J = 7.3 Hz, phenyl-H), 6.98–7.03 (4H, m, phenyl-H, disubstituted phenyl-H), 7.24 (2H, t, J = 8.0 Hz, phenyl-H), 7.64 (2H, d, J = 8.9 Hz, disubstituted phenyl-H), 7.88 (1H, d, J = 8.6 Hz, N=CH), 7.91 (1H, s, NH), 11.23 (1H, s, NH). 13C-NMR (75 MHz, DMSO-d6, ppm) δ 25.40, 25.63, 32.38, 47.79, 48.62, 52.92, 115.16, 116.14, 119.66, 124.64, 129.02, 129.46, 143.10, 151.31, 152.33, 175.66. HRMS (m/z): [M + H]+ calcd. for C24H31N5S: 422.2373; found 422.2357.
N-Cyclohexyl-2-[4-[4-(4-methoxyphenyl)piperazin-1-yl]benzylidene]hydrazine-1-carbothioamide (B18): Yield 68–70%, m.p. 238–239 °C. FTIR (ATR, cm−1): 3333 (N-H), 3052 (aromatic C-H), 2974 (aliphatic C-H), 1599 (C=N), 1489 (C=C), 1227–1107 (C-N and C-O). 1H-NMR (300 MHz, DMSO-d6, ppm) δ 1.12–1.89 (10H, m, cyclohexyl-H), 3.14 (4H, br s, piperazine-H), 3.37 (4H, br s, piperazine-H), 3.69 (3H, s, OCH3), 4.17–4.19 (1H, m, cyclohexyl-H), 6.84 (2H, d, J = 8.0 Hz, methoxyphenyl-H), 6.95 (2H, d, J = 8.1 Hz, methoxyphenyl-H), 7.01 (2H, d, J = 7.9 Hz, disubstituted phenyl-H), 7.63 (2H, d, J = 7.7 Hz, phenyl-H), 7.88 (1H, d, J = 8.1 Hz, N=CH), 7.97 (1H, s, NH), 11.23 (1H, s, NH). 13C-NMR (75 MHz, DMSO-d6, ppm) δ 25.40, 25.63, 32.38, 47.93, 50.12, 52.91, 55.66, 114.76, 115.15, 118.22, 124.61, 129.01, 143.10, 145.67, 152.37, 153.66, 175.66. HRMS (m/z): [M + H]+ calcd. for C25H33N5OS: 452.2479; found 452.2460.
N-Cyclohexyl-2-[4-(4-methylphenoxy)benzylidene]hydrazine-1-carbothioamide (B19): Yield 68–70%, m.p. 169–170 °C. FTIR (ATR, cm−1): 3312 (N-H), 3057 (aromatic C-H), 2988 (aliphatic C-H), 1595 (C=N), 1497 (C=C), 1269–1076 (C-N and C-O). 1H-NMR (300 MHz, DMSO-d6, ppm) δ 1.08–1.94 (10H, m, cyclohexyl-H), 2.30 (3H, s, CH3), 4.12–4.24 (1H, m, cyclohexyl-H), 6.96–6.98 (4H, m, disubstituted phenyl-H, methylphenyl-H), 7.23 (2H, d, J = 8.4 Hz, methylphenyl-H), 7.78 (2H, d, J = 8.7 Hz, disubstituted phenyl-H), 7.97 (1H, d, J = 8.6 Hz, N=CH), 8.03 (1H, s, NH), 11.36 (1H, s, NH). 13C-NMR (75 MHz, DMSO-d6, ppm) δ 20.77 (CH3), 25.40, 25.62, 32.30, 53.05, 118.16, 119.85, 129.29, 129.62, 131.00, 133.78, 142.00, 153.84, 159.25, 176.01. HRMS (m/z): [M + H]+ calcd. for C21H25N3OS: 368.1791; found 368.1784.
N-Cyclohexyl-2-[4-[(4-methylphenyl)thio]benzylidene]hydrazine-1-carbothioamide (B20): Yield 68–70%, m.p. 176–177 °C. FTIR (ATR, cm−1): 3306 (N-H), 3067 (aromatic C-H), 2986 (aliphatic C-H), 1593 (C=N), 1491 (C=C), 1209 (C-N). 1H-NMR (300 MHz, DMSO-d6, ppm) δ 1.03–1.87 (10H, m, cyclohexyl-H), 2.33 (3H, s, CH3), 4.11–4.24 (1H, m, cyclohexyl-H), 7.17 (2H, d, J = 8.4 Hz, disubstituted phenyl-H), 7.26 (2H, d, J = 8.1 Hz, methylphenyl-H), 7.35 (2H, d, J = 8.1 Hz, methylphenyl-H), 7.72 (2H, d, J = 8.4 Hz, disubstituted phenyl-H), 7.99 (1H, d, J = 8.6 Hz, N=CH), 7.99 (1H, s, NH), 11.42 (1H, s, NH). 13C-NMR (75 MHz, DMSO-d6, ppm) δ 21.18, 25.40, 25.62, 32.26, 53.10, 128.54, 128.68, 129.40, 130.96, 132.62, 133.42, 138.82, 139.41, 141.69, 176.07. HRMS (m/z): [M + H]+ calcd. for C21H25N3S2: 384.1563; found 384.1545.
N-Cyclohexyl-2-[4-(4-methoxyphenoxy)benzylidene]hydrazine-1-carbothioamide (B21): Yield 68–70%, m.p. 159–160 °C. FTIR (ATR, cm−1): 3312 (N-H), 3051 (aromatic C-H), 2986 (aliphatic C-H), 1535 (C=N), 1495 (C=C), 1229–1076 (C-N and C-O). 1H-NMR (300 MHz, DMSO-d6, ppm) δ 1.03–1.88 (10H, m, cyclohexyl-H), 3.76 (3H, s, OCH3), 4.13–4.23 (1H, m, cyclohexyl-H), 6.93 (2H, d, J = 8.7 Hz, disubstituted phenyl-H), 6.98 (2H, d, J = 9.0 Hz, methoxyphenyl-H), 7.05 (2H, d, J = 9.1 Hz, methoxyphenyl-H), 7.76 (2H, d, J = 8.7 Hz, disubstituted phenyl-H), 7.96 (1H, d, J = 8.6 Hz, N=CH), 8.02 (1H, s, NH), 11.36 (1H, s, NH). 13C-NMR (75 MHz, DMSO-d6, ppm) δ 25.40, 25.62, 32.31, 53.03, 55.90, 115.64, 117.44, 121.64, 128.90, 129.58, 142.05, 149.05, 156.46, 160.01, 176.00. HRMS (m/z): [M + H]+ calcd. for C21H25N3O2S: 384.1740; found 384.1736.
N-Cyclohexyl-2-[4-[(4-methoxyphenyl)thio]benzylidene]hydrazine-1-carbothioamide (B22): Yield 68–70%, m.p. 146–147 °C. FTIR (ATR, cm−1): 3308 (N-H), 3049 (aromatic C-H), 2974 (aliphatic C-H), 1591 (C=N), 1493 (C=C), 1242 (C-N). 1H-NMR (300 MHz, DMSO-d6, ppm) δ 1.09–1.87 (10H, m, cyclohexyl-H), 3.80 (3H, s, OCH3), 4.11–4.30 (1H, m, cyclohexyl-H), 7.46 (2H, d, J = 8.9 Hz, methoxyphenyl-H), 7.08 (2H, d, J = 8.3 Hz, disubstituted phenyl-H), 7.46 (2H, d, J = 8.7 Hz, methoxyphenyl-H), 7.69 (2H, d, J = 8.4 Hz, disubstituted phenyl-H), 7.95–7.98 (2H, m, N=CH, NH), 11.41 (1H, s, NH). 13C-NMR (75 MHz, DMSO-d6, ppm) δ 25.40, 25.62, 32.27, 53.07, 55.84, 116.00, 122.19, 127.27, 128.45, 130.96, 132.04, 136.42, 141.00, 141.77, 160.53, 176.04. HRMS (m/z): [M + H]+ calcd. for C21H25N3OS2: 400.1512; found 400.1506.
N-Cyclohexyl-2-[4-(4-chlorophenoxy)benzylidene]hydrazine-1-carbothioamide (B23): Yield 68–70%, m.p. 176–177 °C. FTIR (ATR, cm−1): 3308 (N-H), 3063 (aromatic C-H), 2988 (aliphatic C-H), 1589 (C=N), 1483 (C=C), 1234–1076 (C-N and C-O). 1H-NMR (300 MHz, DMSO-d6, ppm) δ 1.06–1.88 (10H, m, cyclohexyl-H), 4.14–4.24 (1H, m, cyclohexyl-H), 7.05 (2H, d, J = 8.7 Hz, disubstituted phenyl-H), 7.09 (2H, d, J = 8.9 Hz, chlorophenyl-H), 7.46 (2H, d, J = 8.9 Hz, chlorophenyl-H), 7.82 (2H, d, J = 8.8 Hz, disubstituted phenyl-H), 8.00 (1H, d, J = 8.6 Hz, N=CH), 8.04 (1H, s, NH), 11.39 (1H, s, NH). 13C-NMR (75 MHz, DMSO-d6, ppm) δ 25.25, 25.41, 25.62, 32.29, 53.08, 119.01, 121.23, 128.20, 129.75, 130.14, 130.49, 141.82, 155.43, 158.18, 176.06. HRMS (m/z): [M + H]+ calcd. for C20H22ClN3OS: 388.1245; found 388.1228.
N-Cyclohexyl-2-[4-[(4-chlorophenyl)thio]benzylidene]hydrazine-1-carbothioamide (B24): Yield 68–70%, m.p. 200–201 °C. FTIR (ATR, cm−1): 3306 (N-H), 3051 (aromatic C-H), 2980 (aliphatic C-H), 1593 (C=N), 1474 (C=C), 1209 (C-N). 1H-NMR (300 MHz, DMSO-d6, ppm) δ 1.10–1.88 (10H, m, cyclohexyl-H), 4.12–4.25 (1H, m, cyclohexyl-H), 7.31 (2H, d, J = 8.4 Hz, disubstituted phenyl-H), 7.38 (2H, d, J = 8.7 Hz, chlorophenyl-H), 7.47 (2H, d, J = 8.7 Hz, chlorophenyl-H), 7.79 (2H, d, J = 8.4 Hz, disubstituted phenyl-H), 8.01–8.05 (2H, m, N=CH, NH), 11.45 (1H, s, NH). 13C-NMR (75 MHz, DMSO-d6, ppm) δ 25.41, 25.62, 32.25, 53.14, 128.79, 130.15, 130.61, 133.12, 133.40, 133.49, 133.69, 136.95, 141.51, 176.13. HRMS (m/z): [M + H]+ calcd. for C20H22ClN3S2: 404.1016; found 404.1001.
N-Cyclohexyl-2-[4-(4-fluorophenoxy)benzylidene]hydrazine-1-carbothioamide (B25): Yield 68–70%, m.p. 175–176 °C. FTIR (ATR, cm−1): 3314 (N-H), 3063 (aromatic C-H), 2976 (aliphatic C-H), 1593 (C=N), 1476 (C=C), 1248–1088 (C-N and C-O). 1H-NMR (300 MHz, DMSO-d6, ppm) δ 1.05–1.91 (10H, m, cyclohexyl-H), 4.12–4.37 (1H, m, cyclohexyl-H), 6.99 (2H, d, J = 8.8 Hz, disubstituted phenyl-H), 7.11–7.15 (2H, m, fluorophenyl-H), 7.23–7.29 (2H, m, fluorophenyl-H), 7.80 (2H, d, J = 8.8 Hz, disubstituted phenyl-H), 7.98 (1H, d, J = 8.6 Hz, N=CH), 8.03 (1H, s, NH), 11.38 (1H, s, NH). 13C-NMR (75 MHz, DMSO-d6, ppm) δ 25.40, 25.62, 32.30, 53.06, 112.14, 117.21 (d, J = 23.3 Hz), 118.22, 121.75 (d, J = 8.3 Hz), 129.64 (d, J = 6.0 Hz), 141.90, 152.26, 159.01 (d, J = 238.5 Hz), 159.08, 176.03. HRMS (m/z): [M + H]+ calcd. for C20H22FN3OS: 372.1540; found 372.1534.
N-Cyclohexyl-2-[4-[(4-fluorophenyl)thio]benzylidene]hydrazine-1-carbothioamide (B26): Yield 68–70%, m.p. 173–174 °C. FTIR (ATR, cm−1): 3308 (N-H), 3067 (aromatic C-H), 2987 (aliphatic C-H), 1591 (C=N), 1487 (C=C), 1225 (C-N). 1H-NMR (300 MHz, DMSO-d6, ppm) δ 1.05–1.87 (10H, m, cyclohexyl-H), 4.12–4.24 (1H, m, cyclohexyl-H), 7.21 (2H, d, J = 8.3 Hz, disubstituted phenyl-H), 7.27–7.33 (2H, m, fluorophenyl-H), 7.48–7.53 (2H, m, fluorophenyl-H), 7.75 (2H, d, J = 8.4 Hz, disubstituted phenyl-H), 7.99–8.02 (2H, m, N=CH and NH),11.43 (1H, s, NH). 13C-NMR (75 MHz, DMSO-d6, ppm) δ 25.41, 25.62, 32.26, 53.12, 117.42 (d, J = 21.8 Hz), 128.65, 128.86, 129.08, 132.99, 135.56 (d, J = 8.3 Hz), 138.72, 141.61, 162.66 (d, J = 244.5 Hz), 176.09. HRMS (m/z): [M + H]+ calcd. for C20H22FN3S2: 388.1312; found 388.1300.
3.3. MAO Inhibition Assay
MAO inhibition assay was applied in concert with our recent study [35]. Ampliflu Red (10-Acetyl-3,7-dihydroxyphenoxazine), peroxidase from horseradish, MAO-A, MAO-B, H2O2, tyramine hydrochloride, moclobemide and selegiline were purchased from Sigma-Aldrich Chemical Co. (St. Louis, MO, USA) and retained under the suggested conditions by supplier. All pipetting processes were performed using a BioTek Precision XS robotic system (BioTek Instruments, Winooski, VT, USA). Measurements were carried out by a BioTek-Synergy H1 microplate reader (USA) based on the fluorescence generated (excitation, 535 nm, emission, 587 nm) over a 30 min period, in which the fluorescence increased linearly.
In the enzymatic assay, three different daily prepared solutions, consisting of inhibitor solutions, enzyme solutions and working solution, were used. Synthesized compounds and reference agents were prepared in 2% DMSO in 10−3–10−9 M concentrations (10 mL for each concentration) in order to gain inhibitor solution. Enzyme solutions were prepared using recombinant MAO-A (0.5 U/mL) and recombinant MAO-B (0.64 U/mL). These enzymes were dissolved in the phosphate buffer and final volumes were adjusted to 10 mL. Working solution consist of three main components: Horseradish peroxidase (200 U/mL, 100 µL), Ampliflu Red (20 mM, 200 µL) and tyramine (100 mM, 200 µL). These components were dissolved in the phosphate buffer and final volume was adjusted to 10 mL.
The solutions of inhibitor (20 µL/well) and MAO-A (100 µL/well) or MAO-B (100 µL/well) were added to the flat black bottom 96-well micro test plate, and incubated at 37 °C for 30 min. After this incubation period, working solution (100 µL/well) were added into each well to start the reaction. The mixture was incubated at 37 °C for 30 min and the fluorescence (Excitation/emission = 535/587 nm) was measured at 5 min intervals. For control experiments, 2% DMSO (20 µL) were used simultaneously by replacing the inhibitor solution. In addition, the possible capacity of the inhibitors to modify the fluorescence generated in the reaction mixture due to non-enzymatic inhibition was determined by mixing inhibitor and working solutions.
The specific fluorescence emission that used to obtain the final results was calculated after subtraction of the background activity, which was determined from vials containing all components except the MAO isoforms, which were replaced by phosphate buffer (100 μL/well). Blank, control and all concentrations of inhibitors were analyzed in quadruplicate and inhibition percent was calculated by using following equation:
FCt2: Fluorescence of a control well measured at t2 time, FCt1: Fluorescence of a control well measured at t2 time, FIt2: Fluorescence of an inhibitor well measured at t2 time, FIt1: Fluorescence of an inhibitor well measured at t1 time, The IC50 values were calculated from a dose-response curve obtained by plotting the percentage inhibition versus the log concentration with the use of GraphPad PRISM software (version 5.0, GraphPad Software Inc., La Jolla, CA, USA). The results were displayed as mean ± standard deviation (SD).
3.4. Enzyme Kinetic Studies
The similar protocol of MAO inhibition assay was followed by using the same materials. The most active compound B24 was tested at the concentrations of IC50/2, IC50, and 2 × IC50. The solutions of compound B24 (20 μL/well) and MAO-B enzyme were added to the flat black bottom 96-well micro test plate, and incubated at 37 °C for 30 min. Once incubation was completed, the working solution, including various concentrations (20, 10, 5, 2.5, 1.25 and 0.625 μM) of substrate (100 μL/well) was added. The increase of the fluorescence (Excitation/emission = 535/587 nm) was recorded for 30 min. A parallel experiment was carried out without inhibitor. All experiments were performed in quadruplicate. The experimental data were analyzed as Lineweaver-Burk plots using Microsoft Office Excel 2013. The Km/Vmax (slope) values of the Lineweaver-Burk plots were replotted versus the inhibitor concentration to determine Ki values from the x-axis intercept as -Ki.
3.5. Cytotoxicity Test
The cytotoxic potency of the most active compound B24 was measured by MTT method [25] using the NIH/3T3 mouse embryonic fibroblast cell line (ATCC CRL-1658, London, UK) which is recommended for cytotoxicity screening by ISO (10993-5, 2009) [36]. NIH/3T3 cells were incubated according to the supplier’s recommendations. NIH/3T3 cells were seeded at 1 × 104 cells into each well of 96-well plates. After this process, cells were treated with the compounds at concentrations ranging from 1000 µM to 0.316 µM. The IC50 value was determined by plotting a dose-response curve of inhibition % versus compound concentrations applied [37].
3.6. Molecular Docking Studies
A structure based in silico procedure was applied to discover the interaction modes between compound B24 and MAO-A enzyme active site. The crystal structures of MAO-A (PDB ID: 2Z5X) [26], which was crystallized with the reversible inhibitor harmine, was retrieved from the Protein Data Bank server (www.pdb.org).
The structures of ligands were built using the Schrödinger Maestro [38] interface and then were submitted to the Protein Preparation Wizard protocol of the Schrödinger Suite 2016 Update 2 [39]. The ligands were prepared by the LigPrep 3.8 [40] to assign the protonation states at pH 7.4 ± 1.0 and the atom types, correctly. Bond orders were assigned, and hydrogen atoms were added to the structures. The grid generation was formed using Glide 7.1 [41]. The grid box with dimensions of 20 Å × 20 Å × 20 Å was centered in the vicinity of the flavin (FAD) N5 atom on the catalytic site of the protein to cover all binding sites and neighboring residues [1,42]. Flexible docking runs were performed with single precision docking mode (SP).
3.7. Theoretical Determination of ADME Properties
Physicochemical properties and BBB permeability of the compounds were predicted via QikProp 4.8 software [32].
4. Conclusions
In this paper, we focused on the synthesis and biological evaluation of some novel thiosemicarbazones as MAO inhibitors. According to an activity assay, compound B24 was determined as the most active molecule amongst all prepared compounds. Enzyme kinetics and docking studies clarified the type of interaction and binding modes between the enzyme and compounds. Compound B24 was found to be a reversible and competitive inhibitor of MAO-A, that additionally shows molecular interactions with the active site of MAO-A in a modelling study. Cytotoxicity and ADME studies further indicated the potential biological importance of this compound. Based on these results, new molecules derived from compound B24, targeting MAO isoforms selectively, could possibly afford more promising drugs for the treatment of neurological diseases.
Supplementary Materials
The Supplementary Materials are available online, Figure S1: Compound B24 IR spectrum, Figure S2: Compound B24 mass spectrum, Figure S3: Compound B24 1H-NMR spectrum, Figure S4: Compound B24 13C-NMR spectrum.
Acknowledgments
This study was financially supported by Anadolu University Scientific Projects Fund, Project No.: 1705S183.
Author Contributions
Y.O. and Z.A.K. conceived and designed the experiments; B.K.Ç., D.O. and U.A.Ç. performed the synthesis; S.L. performed analysis studies; A.B.K. performed the cytotoxicity test; B.N.S. performed docking, enzyme kinetic and ADME studies; Z.A.K., Y.O., U.A.Ç., B.N.S., S.L., B.K.Ç. and D.O. wrote the paper.
Conflicts of Interest
The authors declare no conflict of interest.
References
- Evranos-Aksöz, B.; Yabanoğlu-Çiftçi, S.; Uçar, G.; Yelekçi, K.; Ertan, R. Synthesis of some novel hydrazone and 2-pyrazoline derivatives: Monoamine oxidase inhibitory activities and docking studies. Bioorg. Med. Chem. Lett. 2014, 24, 3278–3284. [Google Scholar] [CrossRef] [PubMed]
- Mathew, B.; Haridas, A.; Uçar, G.; Baysal, I.; Adeniyi, A.A.; Soliman, M.E.; Joy, M.; Mathew, G.E.; Lakshmanan, B.; Jayaprakash, V. Exploration of chlorinated thienyl chalcones: A new class of monoamine oxidase-B inhibitors. Int. J. Biol. Macromol. 2016, 91, 680–695. [Google Scholar] [CrossRef] [PubMed]
- Choi, J.W.; Jang, B.K.; Cho, N.C.; Park, J.H.; Yeon, S.K.; Ju, E.J.; Lee, Y.S.; Han, G.; Pae, A.N.; Kim, D.J.; et al. Synthesis of a series of unsaturated ketone derivatives as selective and reversible monoamine oxidase inhibitors. Bioorg. Med. Chem. 2015, 23, 6486–6496. [Google Scholar] [CrossRef] [PubMed]
- Wang, L.; Esteban, G.; Ojima, M.; Bautista-Aguilera, O.M.; Inokuchi, T.; Moraleda, I.; Iriepa, I.; Samadi, A.; Youdim, M.B.; Romero, A.; et al. Donepezil + propargylamine + 8-hydroxyquinoline hybrids as new multifunctional metal-chelators, ChE and MAO inhibitors for the potential treatment of Alzheimer’s disease. Eur. J. Med. Chem. 2014, 80, 543–561. [Google Scholar] [CrossRef] [PubMed]
- Johnston, J.P. Some observations upon a new inhibitor of monoamine oxidase in brain tissue. Biochem. Pharmacol. 1968, 17, 1285–1297. [Google Scholar] [CrossRef]
- Knoll, J.; Magyar, K. Some puzzling pharmacological effects of monoamine oxidase inhibitors. Adv. Biochem. Psychopharmacol. 1972, 5, 393–408. [Google Scholar] [PubMed]
- Pare, C.M. Unwanted effects of long-term medication in schizophrenia and depression. Pharmakopsychiatr. Neuropsychopharmakol. 1976, 9, 187–192. [Google Scholar] [PubMed]
- Shih, J.; Chen, K.; Ridd, M.J. Monoamine oxidase: From genes to behavior. Annu. Rev. Neurosci. 1999, 22, 197–217. [Google Scholar] [CrossRef] [PubMed]
- Binda, C.; Newton-Vinson, P.; Hubalek, F.; Edmondson, D.E.; Mattevi, A. Structure of human monoamine oxidase B, a drug target for the treatment of neurological disorders. Nat. Struct. Biol. 2002, 9, 22–26. [Google Scholar] [CrossRef] [PubMed]
- Kaya, B.; Sağlık, B.N.; Levent, S.; Özkay, Y.; Kaplancıklı, Z.A. Synthesis of some novel 2-substituted benzothiazole derivatives containing benzylamine moiety as monoamine oxidase inhibitory agents. J. Enzym. Inhib. Med. Chem. 2016, 31, 1654–1661. [Google Scholar] [CrossRef] [PubMed]
- Boldron, C.; Van der Auwera, I.; Deraeve, C.; Gornitzka, H.; Wera, S.; Pitié, M.; Van Leuven, F.; Meunier, B. Preparation of cyclo-phen-type ligands: Chelators of metal ions as potential therapeutic agents in the treatment of neurodegenerative diseases. ChemBioChem 2005, 6, 1976–1980. [Google Scholar] [CrossRef] [PubMed]
- Ayton, S.; Lei, P.; Bush, A.I. Metallostasis in Alzheimer’s disease. Free Radic. Biol. Med. 2013, 62, 76–89. [Google Scholar] [CrossRef] [PubMed]
- Suvarapu, L.N.; Somala, A.R.; Koduru, J.R.; Baek, S.O.; Ammireddy, V.R. A critical review on analytical and biological applications of thio- and phenyl-thiosemicarbazones. Asian J. Chem. 2012, 24, 1889–1898. [Google Scholar]
- Garg, B.S.; Jain, V.K. Analytical applications of thiosemicarbazones and semicarbazones. Microchem. J. 1988, 38, 144–169. [Google Scholar] [CrossRef]
- Hall, I.H.; Chen, S.Y.; Rajendran, K.G.; West, D.X. The anti-inflammatory activity of metal complexes of heterocyclic thiosemicarbazones, 2-substituted pyridine N-oxides and 2-pyridylthioureas. Appl. Organomet. Chem. 1996, 10, 485–493. [Google Scholar] [CrossRef]
- Kulandaivelu, U.; Padmini, V.G.; Suneetha, K.; Shireesha, B.; Vidyasagar, J.V.; Rao, T.R.; K N, J.; Basu, A.; Jayaprakash, V. Synthesis, antimicrobial and anticancer activity of new thiosemicarbazone derivatives. Arch. Pharm. 2011, 344, 84–90. [Google Scholar] [CrossRef] [PubMed]
- Mohamed, N.A.; Mohamed, R.R.; Seoudi, R.S. Synthesis and characterization of some novel antimicrobial thiosemicarbazone O-carboxymethyl chitosan derivatives. Int. J. Biol. Macromol. 2014, 63, 163–169. [Google Scholar] [CrossRef] [PubMed]
- Mallari, J.P.; Guiguemde, W.A.; Guy, R.K. Antimalarial activity of thiosemicarbazones and purine derived nitriles. Bioorg. Med. Chem. Lett. 2009, 19, 3546–3549. [Google Scholar] [CrossRef] [PubMed]
- Banerjee, D.; Yogeeswari, P.; Bhat, P.; Thomas, A.; Srividya, M.; Sriram, D. Novel isatinyl hiosemicarbazones derivatives as potential molecule to combat HIV-TB coinfection. Eur. J. Med. Chem. 2011, 46, 106–121. [Google Scholar] [CrossRef] [PubMed]
- Singh, R.; Mishra, S.P.; Mishra, R. Synthesis and evaluation of biological activities of thiosemicarbazones derivatives. Int. J. PharmTech Res. 2011, 3, 1625–1629. [Google Scholar]
- Thomas, A.B.; Nanda, R.K.; Kothapalli, L.P.; Hamane, S.C. Synthesis and biological evaluation of Schiff’s bases and 2-azetidinones of isonicotinyl hydrazone as potential antidepressant and nootropic agents. Arab. J. Chem. 2016, 9, 79–90. [Google Scholar] [CrossRef]
- Aly, M.M.; Mohamed, Y.A.; El-Bayouki, K.A.M.; Basyouni, W.M.; Abbas, S.Y. Synthesis of some new 4(3H)-quinazolinone-2-carboxaldehyde thiosemicarbazones and their metal complexes and a study on their anticonvulsant, analgesic, cytotoxic and antimicrobial activities—Part-1. Eur. J. Med. Chem. 2010, 45, 3365–3373. [Google Scholar] [CrossRef] [PubMed]
- Vilar, S.; Ferino, G.; Quezada, E.; Santana, L.; Friedman, C. Predicting monoamine oxidase inhibitory activity through ligand-based models. Curr. Top. Med. Chem. 2012, 12, 2258–2274. [Google Scholar] [CrossRef] [PubMed]
- Bhagavan, N.V. Essentials of Medical Biochemistry: With Clinical Cases, 1st ed.; Elsevier: Burlington, MA, USA, 2011; pp. 47–58. [Google Scholar]
- Sağlık, B.N.; Ilgın, S.; Özkay, Y. Synthesis of new donepezil analogues and investigation of their effects on cholinesterase enzymes. Eur. J. Med. Chem. 2016, 124, 1026–1040. [Google Scholar] [CrossRef] [PubMed]
- Son, S.Y.; Ma, J.; Kondou, Y.; Yoshimura, M.; Yamashita, E.; Tsukihara, T. Structure of human monoamine oxidase A at 2.2-Å resolution: The control of opening the entry for substrates/inhibitors. Proc. Natl. Acad. Sci. USA 2008, 105, 5739–5744. [Google Scholar] [CrossRef] [PubMed]
- Reniers, J.; Robert, S.; Frederick, R.; Masereel, B.; Vincent, S.; Wouters, J. Synthesis and evaluation of β-carboline derivatives as potential monoamine oxidase inhibitors. Bioorg. Med. Chem. 2011, 19, 134–144. [Google Scholar] [CrossRef] [PubMed]
- Edmondson, D.E.; Binda, C.; Mattevi, A. The FAD binding sites of human monoamine oxidases A and B. Neurotoxicology 2004, 25, 63–72. [Google Scholar] [CrossRef]
- Hubálek, F.; Binda, C.; Khalil, A.; Li, M.; Mattevi, A.; Castagnoli, N.; Edmondson, D.E. Demonstration of isoleucine 199 as a structural determinant for the selective inhibition of human monoamine oxidase B by specific reversible inhibitors. J. Biol. Chem. 2005, 280, 15761–15766. [Google Scholar] [CrossRef] [PubMed]
- Ma, J.; Yoshimura, M.; Yamashita, E.; Nakagawa, A.; Ito, A.; Tsukihara, T. Structure of rat monoamine oxidase A and its specific recognitions for substrates and inhibitors. J. Mol. Biol. 2004, 338, 103–114. [Google Scholar] [CrossRef] [PubMed]
- Andrés, A.M.; Soldevila, M.; Navarro, A.; Kidd, K.K.; Oliva, B.; Bertranpetit, J. Positive selection in MAOA gene is human exclusive: Determination of the putative amino acid change selected in the human lineage. J. Hum. Genet. 2004, 115, 377–386. [Google Scholar]
- QikProp, version 4.8; Schrödinger, LLC: New York, NY, USA, 2016.
- Lipinski, C.A.; Lombardo, F.; Dominy, B.W.; Feeney, P.J. Experimental and computational approaches to estimate solubility and permeability in drug discovery and development settings. Adv. Drug Deliv. Rev. 2001, 46, 3–26. [Google Scholar] [CrossRef]
- Jorgensen, W.L.; Duffy, E.M. Prediction of drug solubility from structure. Adv. Drug Deliv. Rev. 2002, 54, 355–366. [Google Scholar] [CrossRef]
- Can, Ö.D.; Osmaniye, D.; Demir Özkay, Ü.; Sağlık, B.N.; Levent, S.; Ilgın, S.; Baysal, M.; Özkay, Y.; Kaplancıklı, Z.A. MAO enzymes inhibitory activity of new benzimidazole derivatives including hydrazone and propargyl side chains. Eur. J. Med. Chem. 2017, 131, 92–106. [Google Scholar] [CrossRef] [PubMed]
- International Organization for Standardization. Biological Evaluation of Medical Devices-Part 5: Tests for In Vitro Cytotoxicity ISO-10993-5, 3rd ed.; International Organization for Standardization: Geneva, Switzerland, 2009. [Google Scholar]
- Patel, S.; Gheewala, N.; Suthar, A.; Shah, A. In-vitro cytotoxicity activity of Solanum nigrum extract against Hela cell line and Vero cell line. Int. J. Pharm. Sci. 2009, 1, 38–46. [Google Scholar]
- Maestro, version 10.6; Schrödinger, LLC: New York, NY, USA, 2016.
- Schrödinger, version 2016-2; Schrödinger, LLC: New York, NY, USA, 2016.
- LigPrep, version 3.8; Schrödinger, LLC: New York, NY, USA, 2016.
- Glide, version 7.1; Schrödinger, LLC: New York, NY, USA, 2016.
- Toprakçí, M.; Yelekçi, K. Docking studies on monoamine oxidase-B inhibitors: Estimation of inhibition constants (Ki) of a series of experimentally tested compounds. Bioorg. Med. Chem. Lett. 2005, 15, 4438–4446. [Google Scholar] [CrossRef] [PubMed]
Sample Availability: Samples of the compounds B1–B24 are available from the authors. |
© 2017 by the authors. Licensee MDPI, Basel, Switzerland. This article is an open access article distributed under the terms and conditions of the Creative Commons Attribution (CC BY) license (http://creativecommons.org/licenses/by/4.0/).



