Abstract
Palladium-catalyzed base-free addition of aryltriolborates to aldehydes has been developed, leading to a wide range of carbinol derivatives in good to excellent yields. The efficiency of this transformation was demonstrated by compatibility with a wide range of functional groups. The present synthetic route to carbinol derivatives could be readily scaled up to gram quantity without difficulty. Thus, this method represents a simple and practical procedure to access carbinol derivatives.
1. Introduction
Diarylmethanols [1,2] are not only versatile building blocks for organic synthesis, but are also generally used as important precursors for the synthesis of many pharmaceutically active compounds. For example, the 1,1-diarylalkyl moiety is found in compounds with reported activity as antimuscarinics [3], antidepressants [4], and endothelin antagonists [5]. One of the most common methods for the synthesis of these compounds involves the addition reaction of aldehydes with organometallic reagents [6], such as organolithium [7], organomagnesium [8], organotin [9], organoaluminum [10], and organozinc compounds [11,12,13]. Compared to these abovementioned organometallic reagents, organoboron reagents [14,15,16] are highly regarded due to their advantages of stability to air and moisture as well as good functional group tolerance. As a consequence, considerable efforts have been made to develop efficient strategies for the construction of diarylmethanols by the use of organoboron reagents as coupling partners. In 1998, the pioneering work of Miyaura and co-workers [17] on the rhodium-catalyzed addition reaction of arylboronic acids to aldehydes provided attractive and valuable routes for the synthesis of diarylmethanols. Since then, many examples have been reported by other research groups [18,19,20,21,22,23,24,25,26,27,28,29,30,31,32]. Our group also developed a transition-metal-catalyzed reaction of arylboronic acids with aldehydes under different reaction conditions, leading to the selective synthesis of diaryl ketones [33,34], diarylmethanols [35,36] and aryl benzoate derivatives [37]. However, as for most transition-metal-catalyzed reactions using organoboron reagents as coupling partners, the presence of at least stoichiometric amounts of a base was required to accelerate the transmetalation step in the catalytic cycle of the transformation. It was previously reported that the addition of organoboron reagents to aldehydes could proceed readily in the presence of various bases, such as tBuOK [18,19,20], NaOMe [21], NaOH [22,23], etc. As a result, base-sensitive substrates may be incompatible due to the use of large amounts of a base, especially a strong base [18,19,20,21] which may be a major limitation for these applications. Therefore, the development of an efficient and operationally simple catalyst system avoiding the use of large amounts of a base remains a challenge and has becomes an urgent issue.
To the best of our knowledge, the synthesis of diarylmethanols using aryltriolborates as coupling partners has very few reports to date [32], even though aryltriolborates have exceptionally high levels of stability in air/water, reasonable solubility in organic solvents, and are generally used as the aryl source for C-C and C-N bond-forming reactions [38,39,40,41,42,43]. As part of the continuing efforts in our laboratory toward the development of palladium-catalyzed addition reactions [33,34,35,36,37,44,45,46,47,48,49,50,51,52], we herein report a simple and efficient protocol for the synthesis of diarylmethanols by the Pd-catalyzed base-free addition of aryltriolborates to aldehydes (Scheme 1).
Scheme 1.
Palladium-catalyzed addition of aryltriolborates to aldehydes affording carbinol derivatives.
2. Results and Discussion
We began our investigation by examining the reaction between p-methoxybenzaldehyde (1b) and phenyltriolborate (2a) to obtain the optimal reaction conditions (Table 1).
Table 1.
Optimization of the reaction conditions a.
Through a screening process, no target product was detected using the common PPh3 as a ligand with a variety of parameters including palladium sources, solvents, and temperature. To our delight, a trace amount of the desired product (4-methoxyphenyl)(phenyl)methanol (3b) was observed by GC/MS (EI) analysis using tris(2,6-dimethylphenyl)phosphine as the ligand in the presence of PdCl2 (Table 1, entry 1). Moreover, we were pleased to find that the yield of the desired product 3b could be improved to 18% in THF under an air atmosphere after the ligand was changed to the bulky, electron-rich tri(naphthalen-1-yl)phosphine [P(1-Nap)3] (Table 1, entry 2). Encouraged by this promising result, a series of trial experiments was performed in the presence of palladium catalysts and with adjustments to the reaction parameters in order to obtain more satisfactory results. First, we investigated the solvent effect and found that 1,4-dioxane was superior to other solvents such as THF, toluene, xylene, n-hexane, ethyl acetate, isopropanol, and DMF (Table 1, entries 2–9). Among the palladium sources used, PdCl2 exhibited the highest catalytic reactivity in 87% yield (Table 1, entries 8 and 10–19). Increasing or decreasing the amount of P(1-Nap)3 in the system affected the yield of the reaction to some extent (Table 1, entries 20–22). In addition, the desired product 3b was isolated in 85% yield when the procedure was carried out under a N2 atmosphere (Table 1, entry 23).
With the optimized reaction conditions in hand, we next examined the scope and generality of the addition reaction of various aldehydes with aryltriolborates.
First, the addition reaction between various aldehydes (1a–1o) with phenyltriolborate (2a) was investigated under standard conditions, and the results are summarized in Table 2. The mono-substituent positions at the phenyl moiety of aromatic aldehydes were evaluated, and the results demonstrated that steric effects of substituents had little impact on the yield of the reaction. For example, the addition reaction of 2a with para-, and ortho-methoxybenzaldehyde was examined, and 87% of 3b and 84% of 3c were isolated (Table 2, entries 2 and 3). The same phenomenon was observed in the addition reaction of 2a with para-, meta- and ortho-nitrobenzaldehyde (1d–1f) to afford 3d, 3e, and 3f in 96%, 99%, and 94% isolated yield, respectively (Table 2, entries 4–6). The electronic properties of the substituents on the phenyl ring of the aromatic aldehydes affected the yields of the reaction to some extent. In general, the aromatic aldehydes bearing an electron-withdrawing substituent (e.g., –F, –Cl, –NO2 and –CN) produced a slightly higher yield of products than those analogues bearing an electron-donating substituent (e.g., –OMe) (Table 2, entries 2, 4, 7, 9, and 10). It is noteworthy that substrate 1h, bearing two functionalized formyl groups, was treated with 2a to afford the corresponding product 3h, leaving a formyl group on the 4-position untouched (Table 2, entry 8) [30,35], which may be due to the electronic nature playing important roles, and the activity of carbonyl was decreased in the product 3h, and hampered the further addition of 2a to the formyl group of 3h. Substrate 1k, bearing a naphthyl group, was treated with 2a to deliver the desired product 3k in 83% yield (Table 2, entry 11). Gratifyingly, substrates 1l–1m, bearing a heteroaryl group, underwent the reaction smoothly to afford the target products 3l and 3m in 83% and 86% yields, respectively (Table 2, entries 12 and 13). On the other hand, the transformation of aliphatic aldehydes, such as 3-phenylpropanal (1n) and butyraldehyde (1o), with 2a also proceeded successfully to provide the corresponding products 3n and 3o in 87% and 84% yields, respectively (Table 2, entries 14 and 15). Unfortunately, aromatic ketones and α,β-unsaturated aldehydes cannot proceed smoothly under present condition (Table 2, entries 16 and 17).
Table 2.
Addition of various aldehydes with phenyltriolborate a.
Next, we turned our attention to the effect of the reaction of various aryltriolborates (2a–2k) with benzaldehyde (1a) or p-nitrobenzaldehyde (1d) under standard conditions (Table 3). As expected, the groups on the phenyl ring of aryltriolborates, such as methyl, methoxy, fluoro, chloro, naphthyl, and thienyl, were quite compatible under the optimized reaction conditions. The electronic properties of the groups on the phenyl moiety of aryltriolborates had little effect on the reaction. For example, substrate 2f bearing an electron-donating substituent (e.g., –OMe), or substrate 2g bearing an electron-withdrawing substituent (e.g., –F), reacted with 1d smoothly and afforded the corresponding products 3t and 3u in 99% and 96% yields, respectively (Table 3, entries 7 and 8). It is noteworthy that the chloro (commonly used for cross-coupling reaction), and fluoro moieties in aromatic aldehydes were all tolerated and afforded several halogen-containing products 3u–3v in excellent yields (Table 3, entries 8 and 9). Moreover, bicycloltriolborates such as biphenyl-4-yltriolborate (2i) and naphthalen-1-yltriolborate (2j) were also good partners and coupled with 1d efficiently, affording the corresponding products 3w–3x in good yields (Table 3, entries 10 and 11). Heterocyclic triolborates, and in particular 3-thienyltriolborate (2k) is a good partner for this transformation, and the desired product 3y was isolated in 85% yield (Table 3, entry 12). However, the treatment of an alkyltriolborate such as methyltriolborate or cyclopropyltriolborate with 1d under the optimized conditions afforded only a trace amount of the desired products.
Table 3.
Addition of 1a/1d with various aryltriolborates a.
Finally, the present synthetic route to diarylmethanols could be readily scaled up to gram quantity without difficulty. For instance, the reaction at the 20 mmol scale afforded the corresponding product diphenylmethanol (3a) in 87% yield (Scheme 2).
Scheme 2.
Gram-scale synthesis of diphenylmethanol (3a).
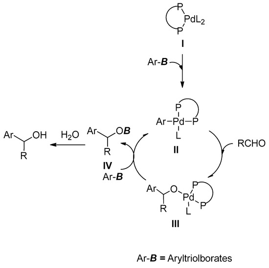
A tentative reaction mechanism is illustrated in Scheme 3. It has been suggested that the transmetalation of an electrophilic Pd(II) intermediate such as I can lead to intermediate II. Coordination of the aldehyde to the electrophilic metal center followed by the migration of the aryl group to the activated aldehyde then leads to intermediate III, from which the carbinol is released and the catalyst is regenerated.
Scheme 3.
Tentative mechanism for the formation of carbinol.
3. Materials and Methods
3.1. General Information
Chemicals were received from commercial sources without further purification, or prepared by methods from the literature. 1H-NMR and 13C-NMR spectra were measured on a 300 or 500 MHz Bruker (Billerica, MA, USA) spectrometer, using CDCl3 as the solvent with tetramethylsilane (TMS) as the internal standard at room temperature. Chemical shifts are given in δ relative to TMS; the coupling constants J are given in Hz. All reactions were conducted under air atmosphere. Column chromatography was performed using EM Silica gel 60 (300–400 mesh). All products are known compounds and identified by comparison with authentic samples. The structures of all the title compounds 3a–3y were characterized by 1H-NMR and 13C-NMR spectra (Supplementary Materials).
3.2. General Procedure for the Synthesis of Carbinol Derivatives through the Palladium-Catalyzed Addition of Aryltriolborates to Aldehydes
Under air atmosphere, a Teflon-valve-sealed Schlenk tube was charged with aldehydes (0.3 mmol), aryltriolborates (0.6 mmol), PdCl2 (5 mol %) and P(1-Nap)3 (5 mol %) in 1,4-dioxane (3 mL) at room temperature. The reaction mixture was stirred vigorously at 55 °C for 24 h. After the completion of the reaction, as monitored by TLC and GC-MS analysis, the reaction mixture was cooled to room temperature. The mixture was extracted with diethyl ether (3 × 10 mL). The combined ether extracts were concentrated in vacuo and the residue was purified by flash column chromatography on silica gel to give the desired product carbinol derivatives.
Diphenylmethanol (3a): While solid; m.p. 67–68 °C (Lit. not reported); 1H-NMR (CDCl3, 300 MHz): δ 2.28 (s, 1H), 5.85 (s, 1H), 7.25–7.30 (m, 2H), 7.32–7.41 (m, 8H); 13C-NMR (CDCl3, 125 MHz): δ 76.2, 126.5, 127.5, 128.5, 143.8.
(4-Methoxyphenyl)(phenyl)methanol (3b): Oil; 1H-NMR (CDCl3, 500 MHz): δ 2.42 (s, 1H), 3.76 (s, 3H), 5.75 (s, 1H), 6.83–6.85 (m, 2H), 7.23–7.26 (m, 3H), 7.31–7.36 (m, 4H); 13C-NMR (CDCl3, 125 MHz): δ 55.2, 75.7, 113.8, 126.3, 127.3, 127.9, 128.4, 136.1, 144.0, 158.9.
(2-Methoxyphenyl)(phenyl)methanol (3c): Oil; 1H-NMR (CDCl3, 500 MHz): δ 3.09 (s, 1H), 3.80 (s, 3H) 6.05–6.06 (m, 1H), 6.88–6.96 (m, 2H), 7.22–7.39 (m, 7H); 13C-NMR (CDCl3, 125 MHz): δ 55.4, 72.2, 110.7, 120.8, 126.5, 127.1, 127.8, 128.1, 128.6, 129.5, 143.2, 156.7.
(4-Nitrophenyl)(phenyl)methanol (3d): Pale yellow solid; m.p. 70.2–71.3 °C (Lit. 72 °C); 1H-NMR (CDCl3, 500 MHz): δ 2.80 (s, 1H), 5.88 (s, 1H), 7.29–7.37 (m, 5H), 7.55 (d, J = 8.5 Hz, 2H), 8.15 (d, J = 9.0 Hz, 2H); 13C-NMR (CDCl3, 125 MHz): δ 75.5, 123.7, 126.7, 127.1, 128.4, 129.0, 142.7, 147.1, 150.9.
(3-Nitrophenyl)(phenyl)methanol (3e): Oil; 1H-NMR (CDCl3, 500 MHz): δ 2.75 (s, 1H), 5.89 (s, 1H), 7.29–7.38 (m, 5H), 7.48 (t, J = 8.0 Hz, 1H), 7.69 (d, J = 8.0 Hz, 1H), 8.09 (d, J = 8.0 Hz, 1H), 8.27 (s, 1H); 13C-NMR (CDCl3, 125 MHz): δ 75.4, 121.3, 122.4, 126.67, 128.4, 128.9, 129.4, 132.5, 142.8, 145.8, 148.3.
(2-Nitrophenyl)(phenyl)methanol (3f): Oil; 1H-NMR (CDCl3, 500 MHz): δ 2.96 (s, 1H), 6.42 (s, 1H), 7.28–7.34 (m, 5H), 7.44 (t, J = 7.5 Hz, 1H), 7.63 (t, J = 7.5 Hz, 1H), 7.74 (d, J = 7.5 Hz, 1H), 7.92 (d, J = 8.0 Hz, 1H); 13C-NMR (CDCl3, 125 MHz): δ 71.5, 124.7, 127.0, 128.1, 128.5, 128.6, 129.4, 133.4, 138.5, 141.6, 148.4.
(4-Cyanophenyl)(phenyl)methanol (3g): Oil; 1H-NMR (CDCl3, 500 MHz): δ 2.64 (s, 1H), 5.84 (s, 1H), 7.29–7.37 (m, 5H), 7.50 (d, J = 8.0 Hz, 2H), 7.60 (d, J = 8.5 Hz, 2H); 13C-NMR (CDCl3, 125 MHz): δ 75.5, 111.1, 118.7, 126.6, 127.0, 128.2, 128.8, 132.2, 142.8, 148.9.
4-(Hydroxy(phenyl)methyl)benzaldehyde (3h): Oil; 1H-NMR (CDCl3, 500 MHz): δ 2.54 (s, 1H), 5.89 (s, 1H), 7.29–7.31 (m, 1H), 7.33–7.37 (m, 4H), 7.57 (d, J = 8.0 Hz, 2H), 7.84 (d, J = 8.0 Hz, 2H), 9.97 (s, 1H); 13C-NMR (CDCl3, 125 MHz): δ 75.9, 126.7, 126.9, 128.1, 128.8, 129.9, 135.6, 143.1, 150.4, 191.9.
(4-Fluorophenyl)(phenyl)methanol (3i): Oil; 1H-NMR (CDCl3, 500 MHz): δ 2.57 (s, 1H), 5.78 (s, 1H), 7.00–7.05 (m, 2H), 7.28–7.38 (m, 7H); 13C-NMR (CDCl3, 125 MHz): δ 75.5, 115.1, 115.3, 126.4, 127.7, 128.1, 128.2, 128.5, 139.5, 143.6, 161.1, 163.1.
(4-Chlorophenyl)(phenyl)methanol (3j): Oil; 1H-NMR (CDCl3, 300 MHz): δ 2.42 (s, 1H), 5.79 (s, 1H), 7.28–7.35 (m, 9H); 13C-NMR (CDCl3, 125 MHz): δ 75.6, 126.5, 127.8, 127.9, 128.6, 128.6, 133.2, 142.2, 143.4.
Naphthalen-1-yl(phenyl)methanol (3k): Oil; 1H-NMR (CDCl3, 500 MHz): δ 2.42 (s, 1H), 6.54 (s, 1H), 7.27–7.35 (m, 3H), 7.41–7.51 (m, 5H), 7.64 (d, J = 7.0 Hz, 1H), 7.82–7.89 (m, 2H), 8.05 (d, J = 7.5 Hz, 1H); 13C-NMR (CDCl3, 125 MHz): δ 73.7, 124.0, 124.7, 125.4, 125.6, 126.2, 127.1, 127.7, 128.5, 128.6, 128.8, 130.7, 134.0, 138.8, 143.2.
Phenyl(thiophen-2-yl)methanol (3l): Oil; 1H-NMR (CDCl3, 500 MHz): δ 2.51 (s, 1H), 6.06 (s, 1H), 6.89–6.96 (m, 2H), 7.26–7.47 (m, 6H); 13C-NMR (CDCl3, 125 MHz): δ 72.4, 124.9, 125.4, 126.3, 126.6, 128.0, 128.5, 143.1, 148.1.
Phenyl(pyridin-4-yl)methanol (3m): While solid; m.p. 123–124 °C (Lit. not reported); 1H-NMR (CDCl3, 500 MHz): δ 4.87 (s, 1H), 5.74 (s, 1H), 7.27–7.32 (m, 7H), 8.32 (s, 2H); 13C-NMR (CDCl3, 125 MHz): δ 74.6, 121.4, 126.8, 128.0, 128.7, 143.0, 149.1, 153.4.
1,3-Diphenylpropan-1-ol (3n): Oil; 1H-NMR (CDCl3, 500 MHz): δ 2.03–2.17 (m, 3H), 2.67–2.78 (m, 2H), 4.68–4.71 (m, 1H), 7.20–7.23 (m, 3H), 7.29–7.33 (m, 3H), 7.36–7.40 (m, 4H); 13C-NMR (CDCl3, 125 MHz): δ 32.0, 40.4, 73.8, 125.8, 125.9, 127.6, 128.3, 128.4, 128.5, 141.8, 144.5.
1-Phenylbutan-1-ol (3o): Oil; 1H-NMR (CDCl3, 300 MHz): δ 0.90 (t, J = 7.5 Hz, 3H), 1.23–1.44 (m, 2H), 1.60–1.80 (m, 2H), 1.97 (s, 1H), 4.63 (d, J = 6.0 Hz, 1H), 7.22–7.31 (m, 5H), 7.53 (m, 5H); 13C-NMR (CDCl3, 125 MHz): δ 13.9, 19.0, 41.2, 74.4, 125.9, 127.4, 128.4, 144.9.
Phenyl(m-tolyl)methanol (3p): Oil; 1H-NMR (CDCl3, 500 MHz): δ 2.92 (s, 3H), 2.38 (s, 1H), 5.78 (s, 1H), 7.06 (d, J = 5.0 Hz, 1H), 7.13–7.26 (m, 4H), 7.30–7.37 (m, 4H); 13C-NMR (CDCl3, 125 MHz): δ 21.5, 76.3, 123.7, 126.6, 127.3, 127.5, 128.4, 128.4, 128.5, 138.2, 143.8, 143.9.
(3-Methoxyphenyl)(phenyl)methanol (3q): Oil; 1H-NMR (CDCl3, 300 MHz): δ 2.32 (s, 1H), 3.82 (s, 3H), 5.84 (s, 1H), 6.85 (d, J = 11 Hz, 1H), 6,99 (d, J =11 Hz, 2H), 7.29–7.43 (m, 6H); 13C-NMR (CDCl3, 125 MHz): δ 55.2, 76.2, 112.1, 113.0, 118.9, 126.5, 127.6, 128.5, 129.5, 143.7, 145.5, 159.8.
(3-Chlorophenyl)(phenyl)methanol (3r): Oil; 1H-NMR (CDCl3, 500 MHz): δ 2.46 (s, 1H), 5.78 (s, 1H), 7.23–7.25 (m, 3H), 7.28–7.36 (m, 5H), 7.40 (s, 1H); 13C-NMR (CDCl3, 125 MHz): δ 75.7, 124.7, 126.6, 126.6, 126.7, 128.0, 128.7, 129.8, 134.4, 143.2, 145.8.
(4-Nitrophenyl)(p-tolyl)methanol (3s): Pale yellow solid; m.p. 99–100 °C (Lit. 97 °C); 1H-NMR (CDCl3, 500 MHz): δ 2.34 (s, 3H), 2.51 (s, 1H), 5.87 (s, 1H), 7.16 (d, J = 8.0 Hz, 2H), 7.22 (d, J = 8.0 Hz, 2H), 7.56 (d, J = 8.5 Hz, 2H), 8.17 (d, J = 8.5 Hz, 2H); 13C-NMR (CDCl3, 125 MHz): δ 21.1, 75.3, 123.6, 126.7, 127.0, 129.6, 138.3, 139.8, 147.1, 151.0.
(4-Methoxyphenyl)(4-nitrophenyl)methanol (3t): Pale yellow solid; m.p. 57–58 °C (Lit. 55.4–56.8 °C); 1H-NMR (CDCl3, 500 MHz): δ 2.55 (s, 1H), 3.70 (s, 3H), 5.86 (s, 1H), 6.87 (d, J = 9.0 Hz, 2H), 7.23 (d, J = 9.0 Hz, 2H), 7.55 (d, J = 9.0 Hz, 2H), 8.16 (d, J = 9.0 Hz, 2H); 13C-NMR (CDCl3, 125 MHz): δ 55.3, 75.2, 114.2, 123.6, 126.9, 128.1, 135.0, 147.0, 151.1, 159.6.
(4-Fluorophenyl)(4-nitrophenyl)methanol (3u): Pale yellow solid; m.p. 75–76 °C (Lit. 77 °C); 1H-NMR (CDCl3, 400 MHz): δ 2.17 (s, 1H), 5.92 (s, 1H), 7.05 (t, J = 8.8 Hz, 2H), 7.34–7.31 (m, 2H), 7.56 (d, J = 8.8 Hz, 2H), 8.19 (d, J = 8.8 Hz, 2H); 13C-NMR (CDCl3, 125 MHz): δ 74.7, 115.7, 115.8, 123.7, 127.0, 128.4, 128.5, 138.5, 138.5, 147.2, 150.6, 161.5, 163.5.
(4-Chlorophenyl)(4-nitrophenyl)methanol (3v): Pale yellow solid; m.p. 133–134 °C (Lit. 132–133 °C); 1H-NMR (CDCl3, 500 MHz): δ 2.68 (s, 1H), 5.88 (s, 1H), 7.27 (d, J = 8.5 Hz, 2H), 7.32 (d, J = 8.5 Hz, 2H), 7.53 (d, J = 9.0 Hz, 2H), 8.17 (d, J = 8.5 Hz, 2H); 13C-NMR (CDCl3, 125 MHz): δ 74.8, 123.7, 127.0, 128.0, 129.0, 134.2, 141.1, 147.3, 150.3
Biphenyl-4-yl(4-nitrophenyl)methanol (3w): While solid; m.p. 138.1–139 °C (Lit. 138.7–140.1 °C); 1H-NMR (CDCl3, 300 MHz): δ 2.55 (s, 1H), 5.96 (s, 1H), 7.34–7.47 (m, 5H), 7.55–7.63 (m, 6H), 8.20 (d, J = 8.4 Hz, 2H); 13C-NMR (CDCl3, 125 MHz): δ 75.3, 123.7, 127.0, 127.1, 127.1, 127.5, 127.6, 128.8, 140.3, 141.3, 141.6, 147.2, 150.7.
Naphthalen-1-yl(4-nitrophenyl)methanol (3x): Oil; 1H-NMR (CDCl3, 500 MHz): δ 2.92 (s, 1H), 6.49 (s, 1H), 7.44–7.50 (m, 4H), 7.53 (d, J = 8.5 Hz, 2H), 7.82–7.88 (m, 2H), 7.99 (d, J = 8.0 Hz, 1H), 8.11 (d, J = 9.0 Hz, 2H); 13C-NMR (CDCl3, 125 MHz): δ 73.0, 123.4, 123.5, 125.1, 125.4, 125.8, 126.4, 127.2, 128.8, 129.1, 130.3, 134.0, 137.6, 147.0, 150.2.
(4-Nitrophenyl)(thiophen-3-yl)methanol (3y): Pale yellow solid; m.p. 99–100 °C; 1H-NMR (CDCl3, 500 MHz): δ 2.56 (s, 1H), 5.99 (s, 1H), 6.97 (d, J = 5.0 Hz, 1H), 7.22–7.32 (m, 2H), 7.58 (d, J = 8.5 Hz, 2H), 8.19 (d, J = 8.5 Hz, 2H); 13C-NMR (CDCl3, 125 MHz): δ 71.6, 122.5, 123.7, 125.9, 127.0, 129.1, 144.0, 147.3, 150.3.
4. Conclusions
In summary, we have developed a base-free protocol for the synthesis of a wide range of diarylmethanols in good to excellent yields via the palladium-catalyzed addition of aryltriolborates to aldehydes. The base-free conditions tolerate a broad range of substrates and functional groups. Further efforts to explore other palladium-catalyzed base-free reactions using aryltriolborates as coupling partners and to extend the applications of the transformation are currently underway in our laboratories.
Supplementary Materials
Supplementary materials are available online.
Acknowledgments
We are grateful to the National Natural Science Foundation of China (No. 21572162), Natural Science Foundation of Zhejiang Province (No. LY14B020009) and Science and Technology Project of Zhejiang Province (No. 2016C31022).
Author Contributions
K.H., Y.S. and J.C. conceived and designed the experiments; K.H. performed the experiments; K.H., P.Y., Q.Z., X.Y. and T.X. analyzed the data; P.Y., Q.Z., X.Y. and T.X. contributed reagents/materials/analysis tools; Y.S. wrote the paper.
Conflicts of Interest
The authors declare no conflict of interest.
References
- Schmidt, F.; Stemmler, R.T.; Rudolph, J.; Bolm, C. Catalytic asymmetric approaches towards enantiomerically enriched diarylmethanols and diarylmethylamines. Chem. Soc. Rev. 2006, 35, 454–470. [Google Scholar] [PubMed]
- Seto, M.; Aramaki, Y.; Imoto, H.; Akikawa, K.; Oda, T.; Kanzaki, N.; Iizawa, Y.; Baba, M.; Shiraishi, M. Orally Active CCR5 Antagonists as Anti-HIV-1 Agents 2: Synthesis and Biological Activities of Anilide Derivatives Containing a Pyridine N-Oxide Moiety. Chem. Pharm. Bull. 2004, 52, 818–829. [Google Scholar] [CrossRef]
- Nilvebrant, L.; Andersson, K.-E.; Gillberg, P.-G.; Stahl, M.; Sparf, B. Tolterodine—A new bladder-selective antimuscarinic agent. Eur. J. Pharmacol. 1997, 327, 195–207. [Google Scholar] [CrossRef]
- Welch, W.M.; Kraska, A.R.; Sarges, R.; Coe, K.B. Nontricyclic antidepressant agents derived from cis- and trans-1-amino-4-aryltetralins. J. Med. Chem. 1984, 27, 1508–1515. [Google Scholar] [CrossRef] [PubMed]
- Astles, P.C.; Brown, T.J.; Halley, F.; Handscombe, C.M.; Harris, N.V.; Majid, T.N.; McCarthy, C.; McLay, I.M.; Morley, A.; Porter, B.; et al. Selective ETA Antagonists. 5. Discovery and Structure-Activity Relationships of Phenoxyphenylacetic Acid Derivatives. J. Med. Chem. 2000, 43, 900–910. [Google Scholar] [CrossRef] [PubMed]
- Bolm, C.; Hildebrand, J.P.; Muniz, K.; Hermanns, N. Catalyzed Asymmetric Arylation Reactions. Angew. Chem. Int. Ed. 2001, 40, 3284–3308. [Google Scholar] [CrossRef]
- Soai, K.; Kawase, Y. Enantioselective Furylation of Prochiral Aldehydes by Difurylrinc in the Presence of a Chiral Amino Alcohol: Asymmetric Synthesis of 2-Furylmethanols. J. Chem. Soc. Perkin Trans. 1 1990, 3214–3215. [Google Scholar] [CrossRef]
- Boymond, L.; Rottländer, M.; Cahiez, G.; Knochel, P. Preparation of Highly Functionalized Grignard Reagents by an Iodine-Magnesium Exchange Reaction and its Application in Solid-Phase Synthesis. Angew. Chem. Int. Ed. 1998, 37, 1701–1703. [Google Scholar] [CrossRef]
- Li, C.-J.; Meng, Y. Grignard-Type Carbonyl Phenylation in Water and under an Air Atmosphere. J. Am. Chem. Soc. 2000, 122, 9538–9539. [Google Scholar] [CrossRef]
- Wu, K.-H.; Gau, H.-M. Remarkably Efficient Enantioselective Titanium(IV)−(R)-H8-BINOLate Catalyst for Arylations to Aldehydes by Triaryl(tetrahydrofuran)aluminum Reagents. J. Am. Chem. Soc. 2006, 128, 14808–14809. [Google Scholar] [CrossRef] [PubMed]
- Bolm, C.; Rudolph, J. Catalyzed Asymmetric Aryl Transfer Reactions to Aldehydes with Boronic Acids as Aryl Source. J. Am. Chem. Soc. 2002, 124, 14850–14851. [Google Scholar] [CrossRef] [PubMed]
- Braga, A.L.; Lüdtke, D.S.; Vargas, F.; Paixão, M.W. Catalytic enantioselective arylation of aldehydes: Boronic acids as a suitable source of transferable aryl groups. Chem. Commun. 2005, 2512–2514. [Google Scholar] [CrossRef] [PubMed]
- Infante, R.; Nieto, J.; Andrés, C. Asymmetric additive-free aryl addition to aldehydes using perhydrobenzoxazines as ligands and boroxins as aryl source. Org. Biomol. Chem. 2011, 9, 6691–6699. [Google Scholar] [CrossRef] [PubMed]
- Suzuki, A. Organoborates in New Synthetic Reactions. Acc. Chem. Res. 1982, 15, 178–184. [Google Scholar] [CrossRef]
- Miyaura, N.; Suzuki, A. Palladium-Catalyzed Cross-Coupling Reactions of Organoboron Compounds. Chem. Rev. 1995, 95, 2457–2483. [Google Scholar] [CrossRef]
- Suzuki, A. Recent advances in the cross-coupling reactions of organoboron derivatives with organic electrophiles, 1995–1998. J. Organomet. Chem. 1998, 576, 147–168. [Google Scholar] [CrossRef]
- Sakai, M.; Ueda, M.; Miyaura, N. Rhodium-Catalyzed Addition of Organoboronic Acids to Aldehydes. Angew. Chem. Int. Ed. 1998, 37, 3279–3281. [Google Scholar] [CrossRef]
- Gois, P.M.P.; Trindade, A.F.; Veiros, L.F.; André, V.; Duarte, M.T.; Afonso, C.A.M.; Caddick, S.; Cloke, F.G.N. Tuning the Reactivity of Dirhodium(II) Complexes with Axial N-Heterocyclic Carbene Ligands: The Arylation of Aldehydes. Angew. Chem. Int. Ed. 2007, 46, 5750–5753. [Google Scholar] [CrossRef] [PubMed]
- Leng, W.; Peng, Y.; Zhang, J.; Lu, H.; Feng, X.; Ge, R.; Dong, B.; Wang, B.; Hu, X.; Gao, Y. Sophisticated Design of Covalent Organic Frameworks with Controllable Bimetallic Docking for a Cascade Reaction. Chem. Eur. J. 2016, 22, 9087–9091. [Google Scholar] [CrossRef] [PubMed]
- He, Y.; Cai, C. A simple procedure for the polymer-supported N-heterocyclic carbene–rhodium complex via click chemistry: A recyclable catalyst for the addition of arylboronic acids to aldehydes. Chem. Commun. 2011, 47, 12319–12321. [Google Scholar] [CrossRef] [PubMed]
- Desroches, J.; Tremblay, A.; Paquin, J.-F. Racemic and enantioselective metal-catalyzed synthesis of SF5-containing diarylmethanols. Org. Biomol. Chem. 2016, 14, 8764–8780. [Google Scholar] [CrossRef] [PubMed]
- Trindade, A.F.; Gois, P.M.P.; Veiros, L.F.; André, V.; Duarte, M.T.; Afonso, C.A.M.; Caddick, S.; Geoffrey, F.; Cloke, N. Axial Coordination of NHC Ligands on Dirhodium(II) Complexes: Generation of a New Family of Catalysts. J. Org. Chem. 2008, 73, 4076–4086. [Google Scholar] [CrossRef] [PubMed]
- Yang, J.; Chen, X.; Wang, Z. The carbonyl group tuned electron-deficient phosphorus ligands and their application in Rhodium catalyzed arylation to aldehydes. Tetrahedron Lett. 2015, 56, 5673–5675. [Google Scholar] [CrossRef]
- Tan, J.; Kuang, Y.; Wang, Y.; Huang, Q.; Zhu, J.; Wang, Y. Axial Tri-tert-butylphosphane Coordination to Rh2(OAc)4: Synthesis, Structure, and Catalytic Studies. Organometallics 2016, 35, 3139–3147. [Google Scholar] [CrossRef]
- Yamamoto, T.; Ohta, T.; Ito, Y. Palladium-Catalyzed Addition of Arylboronic Acids to Aldehydes. Org. Lett. 2005, 7, 4153–4155. [Google Scholar] [CrossRef] [PubMed]
- He, P.; Lu, Y.; Dong, C.; Hu, Q. Anionic Four-Electron Donor-Based Palladacycles as Catalysts for Addition Reactions of Arylboronic Acids with α,β-Unsaturated Ketones, Aldehydes, and α-Ketoesters. Org. Lett. 2007, 9, 343–346. [Google Scholar] [CrossRef] [PubMed]
- Kuriyama, M.; Shimazawa, R.; Shirai, R. Efficient 1,2-Addition of Aryl- and Alkenylboronic Acids to Aldehydes Catalyzed by the Palladium/Thioether−Imidazolinium Chloride System. J. Org. Chem. 2008, 73, 1597–1600. [Google Scholar] [CrossRef] [PubMed]
- Liao, Y.; Xing, C.; Israeland, M.; Hu, Q. A nontransmetalation reaction pathway for anionic four-electron donor-based palladacycle-catalyzed addition reactions of arylborons with aldehydes. Tetrahedron Lett. 2011, 52, 3324–3328. [Google Scholar] [CrossRef]
- Zou, T.; Pi, S.; Li, J. FeCl3-Catalyzed 1,2-Addition Reactions of Aryl Aldehydes with Arylboronic Acids. Org. Lett. 2009, 11, 453–456. [Google Scholar] [CrossRef] [PubMed]
- Karthikeyan, J.; Jeganmohan, M.; Cheng, C. Cobalt-Catalyzed Addition Reaction of Organoboronic Acids with Aldehydes: Highly Enantioselective Synthesis of Diarylmethanols. Chem. Eur. J. 2010, 16, 8989–8992. [Google Scholar] [CrossRef] [PubMed]
- Takahashi, G.; Shirakawa, E.; Tsuchimoto, T.; Kawakami, Y. Alkynes as activators in the nickel-catalysed addition of organoboronates to aldehydes. Chem. Commun. 2005, 21, 1459–1461. [Google Scholar] [CrossRef] [PubMed]
- Sakurai, F.; Kondo, K.; Aoyama, T. Et-duphos-nickel-catalyzed asymmetric arylation of benzaldehyde derivatives bearing an ortho-Me2PhSi group with potassium aryltriolborates. Tetrahedron Lett. 2009, 50, 6001–6003. [Google Scholar] [CrossRef]
- Qin, C.; Chen, J.; Wu, H.; Cheng, J.; Zhang, Q.; Zuo, B.; Su, W.; Ding, J. One-pot synthesis of diaryl ketones from aldehydes via palladium-catalyzed reaction with aryl boronic acids. Tetrahedron Lett. 2008, 49, 1884–1888. [Google Scholar] [CrossRef]
- Zheng, H.; Ding, J.; Chen, J.; Liu, M.; Gao, W.; Wu, H. Copper-Catalyzed Arylation of Arylboronic Acids with Aldehydes. Synlett 2011, 2011, 1626–1630. [Google Scholar]
- Zheng, H.; Zhang, Q.; Chen, J.; Liu, M.; Cheng, S.; Ding, J.; Wu, H.; Su, W. Copper(II) Acetate-Catalyzed Addition of Arylboronic Acids to Aromatic Aldehydes. J. Org. Chem. 2009, 74, 943–945. [Google Scholar] [CrossRef] [PubMed]
- Qin, C.; Wu, H.; Cheng, J.; Chen, X.; Liu, M.; Zhang, W.; Su, W.; Ding, J. The Palladium-Catalyzed Addition of Aryl- and Heteroarylboronic Acids to Aldehydes. J. Org. Chem. 2007, 72, 4102–4107. [Google Scholar] [CrossRef] [PubMed]
- Qin, C.; Wu, H.; Chen, J.; Liu, M.; Cheng, J.; Su, W.; Ding, J. Palladium-Catalyzed Aromatic Esterification of Aldehydes with Organoboronic Acids and Molecular Oxygen. Org. Lett. 2008, 10, 1537–1540. [Google Scholar] [CrossRef] [PubMed]
- Yamamoto, Y. Cyclic Triolborate Salts: Novel Reagent for Organic Synthesis. Heterocycles 2012, 85, 799–819. [Google Scholar] [CrossRef]
- Yamamoto, Y.; Takizawa, M.; Yu, X.; Miyaura, N. Cyclic Triolborates: Air- and Water-Stable Ate Complexes of Organoboronic Acids. Angew. Chem. Int. Ed. 2008, 47, 928–931. [Google Scholar] [CrossRef] [PubMed]
- Huang, W.; Zhao, S.; Xu, N. Aryltriolborates as Air- and Water-Stable Bases for Wittig Olefination. Synthesis 2015, 47, 359–366. [Google Scholar] [CrossRef]
- Yu, X.; Yamamoto, Y.; Miyaura, N. Aryl Triolborates: Novel Reagent for Copper-Catalyzed N Arylation of Amines, Anilines, and Imidazoles. Chem. Asian J. 2008, 3, 1517–1522. [Google Scholar] [CrossRef] [PubMed]
- Yamamoto, Y.; Ikizakura, K.; Ito, H.; Miyaura, N. Cross-Coupling Reaction with Lithium Methyltriolborate. Molecules 2013, 18, 430–439. [Google Scholar] [CrossRef] [PubMed]
- Sakashita, S.; Takizawa, M.; Sugai, J.; Ito, H.; Yamamoto, Y. Tetrabutylammonium 2-Pyridyltriolborate Salts for Suzuki-Miyaura Cross-Coupling Reactions with Aryl Chlorides. Org. Lett. 2013, 15, 4308–4311. [Google Scholar] [CrossRef] [PubMed]
- Yang, W.; Qiao, R.; Chen, J.; Huang, X.; Liu, M.; Gao, W.; Ding, J.; Wu, H. Palladium-Catalyzed Cascade Reaction of 2-Amino-N′-arylbenzohydrazides with Triethyl Orthobenzoates to Construct Indazolo[3,2-b]quinazolinones. J. Org. Chem. 2015, 80, 482–489. [Google Scholar] [CrossRef] [PubMed]
- Min, L.; Wu, G.; Liu, M.; Gao, W.; Ding, J.; Chen, J.; Huang, X.; Wu, H. Copper-Catalyzed Oxirane-Opening Reaction with Aryl Iodides and Se Powder. J. Org. Chem. 2016, 81, 7584–7590. [Google Scholar] [CrossRef] [PubMed]
- Yang, W.; Chen, J.; Huang, X.; Ding, J.; Liu, M.; Wu, H. Pd-Catalyzed Intramolecular Aerobic Oxidative C–H Amination of 2-Aryl-3-(arylamino)quinazolinones: Synthesis of Fluorescent Indazolo[3,2-b]quinazolinones. Org. Lett. 2014, 16, 5418–5421. [Google Scholar] [CrossRef] [PubMed]
- Chen, J.; Ye, L.; Su, W. Palladium-catalyzed direct addition of arylboronic acids to 2-aminobenzonitrile derivatives: Synthesis, biological evaluation and in silico analysis of 2-aminobenzophenones, 7-benzoyl-2-oxoindolines, and 7-benzoylindoles. Org. Biomol. Chem. 2014, 12, 8204–8211. [Google Scholar] [CrossRef] [PubMed]
- Wang, X.; Liu, M.; Xu, L.; Wang, Q.; Chen, J.; Ding, J.; Wu, H. Palladium-Catalyzed Addition of Potassium Aryltrifluoroborates to Aliphatic Nitriles: Synthesis of Alkyl Aryl Ketones, Diketone Compounds, and 2-Arylbenzo[b]furans. J. Org. Chem. 2013, 78, 5273–5281. [Google Scholar] [CrossRef] [PubMed]
- Chen, J.; Peng, Y.; Liu, M.; Ding, J.; Su, W.; Wu, H. Palladium-Catalyzed Aerobic Oxidative Coupling of Acyl Chlorides with Arylboronic Acids. Adv. Synth. Catal. 2012, 354, 2117–2122. [Google Scholar] [CrossRef]
- Lu, W.; Chen, J.; Liu, M.; Ding, J.; Gao, W.; Wu, H. Palladium-Catalyzed Decarboxylative Coupling of Isatoic Anhydrides with Arylboronic Acids. Org. Lett. 2011, 13, 6114–6117. [Google Scholar] [CrossRef] [PubMed]
- Qi, L.; Hu, K.; Yu, S.; Zhu, J.; Cheng, T.; Wang, X.; Chen, J.; Wu, H. Tandem Addition/Cyclization for Access to Isoquinolines and Isoquinolones via Catalytic Carbopalladation of Nitriles. Org. Lett. 2017, 19, 218–221. [Google Scholar] [CrossRef] [PubMed]
- Hu, K.; Qi, L.; Yu, S.; Cheng, T.; Wang, X.; Li, Z.; Xia, Y.; Chen, J.; Wu, H. Efficient synthesis of isoquinolines in water by a alkylnitriles with arylboronic acids. Green Chem. 2017, 19, 1740–1750. [Google Scholar] [CrossRef]
Sample Availability: Samples of the compounds are available from the authors. |
© 2017 by the authors. Licensee MDPI, Basel, Switzerland. This article is an open access article distributed under the terms and conditions of the Creative Commons Attribution (CC BY) license (http://creativecommons.org/licenses/by/4.0/).































