Synthesis and Evaluation of Essential Oil-Derived β-Methoxyacrylate Derivatives as High Potential Fungicides
Abstract
:1. Introduction
2. Results and Discussion
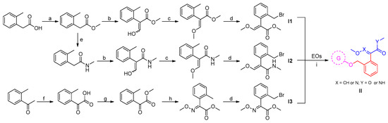
2.1. Synthesis
2.2. Spectroscopy
2.3. The In Vitro Antifungal Activity
3. Experimental
3.1. General Information
3.2. General Synthetic Procedure for Intermediates I
3.3. General Synthetic Procedure for Target Compounds II
3.4. Biological Assays
4. Conclusions
Supplementary Materials
Acknowledgment
Author Contributions
Conflicts of Interest
References
- Raut, J.S.; Karuppayil, S.M. A status review on the medicinal properties of essential oils. Ind. Crops Prod. 2014, 62, 250–264. [Google Scholar] [CrossRef]
- Boubaker, H.; Karim, H.; El Hamdaouia, A.; Msandaa, F.; Leach, D.; Bombarda, I.; Vanloot, P.; Abbad, A.; Boudyach, E.H.; Ait Ben Aoumar, A. Chemical characterization and antifungal activities of four Thymus species essential oils against postharvest fungal pathogens of citrus. Ind. Crops Prod. 2016, 86, 95–101. [Google Scholar] [CrossRef]
- Prakash, B.; Kedia, A.; Mishra, P.K.; Dubey, N.K. Plant essential oils as food preservatives to control moulds, mycotoxin contamination and oxidative deterioration of agri-food commodities-Potentials and challenges. Food Control. 2015, 7, 381–391. [Google Scholar] [CrossRef]
- Isman, M.B. Plant essential oils for pest and disease management. Crop Prot. 2000, 19, 603–608. [Google Scholar] [CrossRef]
- Bakkali, F.; Averbeck, S.; Averbeck, D.; Idaomar, M. Biological effects of essential oils—A review. Food Chem. Toxic. 2008, 46, 446–475. [Google Scholar] [CrossRef] [PubMed]
- Muller-Riebau, F.; Berger, B.; Yege, O. Chemical composition and fungitoxic properties to phytopathogenic fungi of essential oils of selected aromatic plants growing wild in Turkey. J. Agric. Food Chem. 1995, 3, 2262–2266. [Google Scholar] [CrossRef]
- Wilson, C.L.; Solar, J.M.; El Ghaouth, A.; Wisniewski, M.E. Rapid evaluation of plant extracts and essential oils for antifungal activity against Botrytis cinerea. Plant Dis. 1997, 81, 204–210. [Google Scholar] [CrossRef]
- Mehrparvar, M.; Otapeh, E.M.; Safaie, N.; Skani, S.; Hedesh, R.M. Antifungal activity of essential oils against mycelial growth of Lecanicillium fungicola var. fungicola and Agaricus bisporus. Ind. Crops Prod. 2016, 84, 391–398. [Google Scholar] [CrossRef]
- Camiletti, B.X.; Asensio, C.M.; Pecci, M.P.; Lucini, E.I. Natural control of corn postharvest fungi Aspergillus flavus and Penicillium sp. using essential oils from plants grown in Argentina. J. Food Sci. 2014, 79, 2499–2506. [Google Scholar] [CrossRef] [PubMed]
- Sokovic’, M.; Tzakou, O.; Pitarokili, D.; Couladis, M. Antifungal activities of selected aromatic plants growing wild in Greece. Nahrung-Food 2002, 6, 317–320. [Google Scholar] [CrossRef]
- Li, X.; Shi, X.; Qi, S.; Gao, J.; Zhang, A. Bioactive metabolites from biotransformation of paeonol by the white-rot basidiomycete Coriolus versicolor. Nat. Prod. Commun. 2011, 6, 1129–1130. [Google Scholar] [PubMed]
- Rodrigues, E.T.; Lopes, I.; Pardal, M.Â. Occurrence, fate and effects of azoxystrobin in aquatic ecosystems: A review. Environ. Int. 2013, 3, 18–28. [Google Scholar] [CrossRef] [PubMed]
- Leinhos, G.M.E.; Gold, R.E.; Duggelin, M.; Guggenheim, R. Development and morphology of Uncinula necator following treatment with the fungicides kresoxim-methyl and penconazole. Mycol. Res. 1997, 1, 1033–1046. [Google Scholar] [CrossRef]
- Sierotzki, H.; Wullschleger, J.; Gisi, U. Point mutation in cytochrome b gene conferring resistance to strobilurin fungicides in Erysiphe graminis f. sp. tritici field isolates. Pestic. Biochem. Phys. 2000, 8, 107–112. [Google Scholar] [CrossRef]
- Chin, K.M.; Chavaillaz, D.; Kaesbohrer, M.; Staub, T.; Felsenstein, F.G. Characterizing resistance risk of Erysiphe graminis f. sp. tritici to strobilurins. Crop Prot. 2001, 20, 87–96. [Google Scholar] [CrossRef]
- Gisi, U.; Sierotzki, H.; Cook, A.; McCaffery, A. Mechanisms influencing the evolution of resistance to Qo inhibitor fungicides. Pest Manag. Sci. 2001, 58, 859–867. [Google Scholar] [CrossRef] [PubMed]
- Ziogas, B.N.; Baldwin, B.C.; Young, J.E. Alternative respiration: A biochemical mechanism of resistance to azoxystrobin (ICIA5504) in Septoria tritici. Pestic. Sci. 1997, 50, 28–34. [Google Scholar] [CrossRef]
- Siah, A.; Deweer, C.; Morand, E.; Reignault, P.; Halama, P. Azoxystrobin resistance of French Mycosphaerella graminicola strains assessed by four in vitro bioassays and by screening of G143A substitution. Crop Prot. 2010, 9, 737–743. [Google Scholar] [CrossRef]
- Bolton, M.D.; Rivera, V.; Secor, G. Identification of the G143A mutation associated with QoI resistance in Cercospora beticola field isolates from Michigan, United States. Pest Manag. Sci. 2013, 69, 35–39. [Google Scholar] [CrossRef] [PubMed]
- Li, H.; Chen, C.; Cao, X. Essential oils-oriented chiral esters as potential pesticides: Asymmetric syntheses, characterization and bio-evaluation. Ind. Crops Prod. 2015, 76, 432–436. [Google Scholar] [CrossRef]
- Su, H.; Li, H.; Xu, S.; Chen, C.; Cao, X. Essential oils-oriented fenvalerate analogues: Syntheses, characterization and biological evaluation. J. Chem. Soc. Pak. 2016, 8, 724–729. [Google Scholar]
- Yang, G.; Zhao, P.; Huang, W.; Liu, Z. Methoxy acrylate fungicide, Its Preparation Process and Application for Prevention and Control of Plant Fungal Diseases. Patent CN 101,268,780A, 24 September 2008. [Google Scholar]
- Yu, K.; Li, Z.; Zhao, J.; Luo, Z. Process for Preparation of Methyl (E)-2-(2-halomethylphenyl)-3-methoxy-2-propenoate as Fungicide Intermediate. Patent CN 101,381,305A, 11 March 2009. [Google Scholar]
- Zhang, R.; Zhu, Z.; Li, Y. Process for Preparation of Trifloxystrobin. Patent CN 1,793,115A, 28 June 2006. [Google Scholar]
- Kordali, S.; Cakir, A.; Ozer, H.; Cakmakci, R.; Kesdek, M.; Mete, E. Antifungal, phytotoxic and insecticidal properties of essential oil isolated from Turkish Origanum acutidens and its three components, carvacrol, thymol and p-cymene. Bioresour. Technol. 2008, 99, 8788–8795. [Google Scholar] [CrossRef] [PubMed]
| Sample Availability: Samples of the compounds II-1–II-17 are available from the authors. | 






| Compd. No. | Substituents | Appearance | m.p. (°C) | Yield (%) a | ||
|---|---|---|---|---|---|---|
| G | X | Y | ||||
| II-1 |  | CH | O | Yellowish solid | 76–77 | 42.98 | 
| II-2 |  | CH | O | Yellowish solid | 66–67 | 78.50 | 
| II-3 |  | CH | O | Yellowish liquid | - | 37.72 | 
| II-4 |  | CH | O | White solid | 112–113 | 82.83 | 
| II-5 |  | CH | O | Yellowish solid | 126–127 | 38.40 | 
| II-6 |  | CH | O | Yellow solid | 87–88 | 56.56 | 
| II-7 |  | CH | NH | Yellowish solid | 73–74 | 37.60 | 
| II-8 |  | CH | NH | Yellowish solid | 76–77 | 47.28 | 
| II-9 |  | CH | NH | Yellow liquid | - | 31.68 | 
| II-10 |  | CH | NH | White solid | 105–106 | 90.72 | 
| II-11 |  | CH | NH | Yellowish solid | 122–123 | 37.60 | 
| II-12 |  | CH | NH | Yellow solid | 83–84 | 62.00 | 
| II-13 |  | N | O | Yellowish solid | 80–81 | 70.23 | 
| II-14 |  | N | O | Yellowish solid | 48–49 | 74.54 | 
| II-15 |  | N | O | Yellowish solid | 100–101 | 83.12 | 
| II-16 |  | N | O | Light pink solid | 97–98 | 81.83 | 
| II-17 |  | N | O | Yellowish solid | 103–104 | 68.02 | 
| Entry | Compd. No. | Inhibition Activity (%) | ||||||||||
|---|---|---|---|---|---|---|---|---|---|---|---|---|
| Pestalotiopsis theae | Botrytis cinerea | Colletotrichum fructicola sinensis Miyake | Sclerotinia sclerotiorum | Mucor | Phoma adianticola | Monilinia fructicola | Alternaria alternata | Phomopsis adianticola | Magnapothe grisea | Gibberella zeae | ||
| 1 | II-1 | 75.50 ± 4.45 | 57.50 ± 4.82 | 54.23 ± 3.52 | 82.54 ± 4.66 | 44.02 ± 1.98 | 60.23 ± 1.38 | 70.35 ± 8.02 | 38.98 ± 1.03 | 64.22 ± 1.23 | 74.39 ± 4.86 | 15.48 ± 0.00 | 
| 2 | II-2 | 92.39 ± 1.30 | 66.73 ± 13.56 | 58.94 ± 2.24 | 70.43 ± 10.60 | 48.99 ± 3.35 | 70.99 ± 0.23 | 92.29 ± 7.23 | 47.33 ± 1.83 | 64.14 ± 7.15 | 86.55 ± 0.61 | 44.13 ± 0.34 | 
| 3 | II-3 | 71.39 ± 2.03 | 45.59 ± 2.76 | 53.92 ± 0.67 | 80.40 ± 1.40 | 46.86 ± 1.37 | 68.14 ± 0.81 | 90.89 ± 1.05 | 38.98 ± 0.57 | 52.37 ± 2.57 | 82.83 ± 0.00 | 34.72 ± 3.50 | 
| 4 | II-4 | 51.71 ± 5.18 | 42.77 ± 3.15 | 35.66 ± 2.24 | 65.82 ± 19.22 | 31.99 ± 0.11 | 19.65 ± 3.92 | 64.41 ± 2.23 | 17.10 ± 3.09 | 55.61 ± 3.13 | 46.92 ± 2.43 | 14.13 ± 5.87 | 
| 5 | II-5 | 60.16 ± 3.61 | 76.14 ± 2.12 | 38.62 ± 7.48 | 72.98 ± 2.10 | 51.24 ± 6.15 | 31.96 ± 5.88 | 85.51 ± 3.55 | 44.98 ± 4.01 | 53.08 ± 0.22 | 47.28 ± 6.78 | 22.35 ± 3.50 | 
| 6 | II-6 | 45.42 ± 2.48 | 17.73 ± 0.00 | 33.49 ± 0.52 | 54.37 ± 9.79 | 28.53 ± 1.81 | 28.94 ± 1.84 | 80.39 ± 4.34 | 38.49 ± 3.09 | 41.07 ± 10.50 | 65.45 ± 2.33 | 35.67 ± 8.92 | 
| 7 | II-7 | 76.93 ± 6.70 | 48.27 ± 2.31 | 41.27 ± 7.33 | 79.57 ± 3.73 | 41.03 ± 2.25 | 51.11 ± 0.23 | 78.16 ± 9.59 | 33.95 ± 0.11 | 42.26 ± 5.77 | 86.12 ± 0.81 | 36.27 ± 1.19 | 
| 8 | II-8 | 86.45 ± 1.69 | 54.91 ± 3.86 | 50.58 ± 1.95 | 75.04 ± 4.31 | 47.71 ± 1.70 | 65.94 ± 1.84 | 81.97 ± 19.45 | 49.11 ± 0.23 | 68.72 ± 2.23 | 82.83 ± 1.01 | 38.51 ± 3.56 | 
| 9 | II-9 | 73.43 ± 0.17 | 41.18 ± 10.03 | 53.92 ± 0.67 | 76.85 ± 1.05 | 57.96 ± 7.52 | 69.77 ± 1.27 | 91.08 ± 1.05 | 52.19 ± 0.00 | 52.76 ± 2.01 | 77.90 ± 4.96 | 31.36 ± 3.84 | 
| 10 | II-10 | 45.10 ± 5.40 | 48.91 ± 0.00 | 31.85 ± 3.44 | 63.34 ± 14.56 | 44.29 ± 4.67 | 16.88 ± 2.07 | 87.55 ± 1.84 | 39.06 ± 2.52 | 45.34 ± 14.30 | 60.80 ± 15.58 | 6.86 ± 8.24 | 
| 11 | II-11 | 55.26 ± 4.90 | 64.41 ± 0.19 | 41.85 ± 5.91 | 72.16 ± 4.66 | 48.06 ± 0.33 | 38.80 ± 0.81 | 87.73 ± 3.15 | 50.24 ± 1.38 | 49.37 ± 2.79 | 84.19 ± 0.10 | 19.63 ± 7.22 | 
| 12 | II-12 | 49.44 ± 0.06 | 24.27 ± 0.00 | 36.19 ± 4.49 | 67.13 ± 0.12 | 32.88 ± 2.91 | 31.06 ± 3.23 | 95.54 ± 3.42 | 41.25 ± 1.03 | 43.05 ± 5.25 | 70.17 ± 0.91 | 48.40 ± 0.06 | 
| 13 | II-13 | 93.43 ± 1.41 | 82.00 ± 5.40 | 55.77 ± 8.83 | 83.77 ± 0.35 | 67.24 ± 8.45 | 58.77 ± 0.46 | 99.72 ± 0.39 | 62.56 ± 1.38 | 42.02 ± 6.70 | 95.71 ± 1.01 | 83.88 ± 8.80 | 
| 14 | II-14 | 78.61 ± 7.71 | 67.68 ± 1.35 | 52.96 ± 6.81 | 66.72 ± 5.36 | 56.06 ± 6.15 | 73.27 ± 1.61 | 85.87 ± 4.47 | 25.61 ± 4.35 | 27.49 ± 0.00 | 19.24 ± 3.34 | 36.15 ± 3.39 | 
| 15 | II-15 | 33.35 ± 1.75 | −11.45 ± 0.26 | 16.72 ± 6.58 | −76.28 ± 0.00 | 53.34 ± 4.83 | 27.80 ± 2.54 | 93.77 ± 1.45 | 41.82 ± 1.60 | 26.07 ± 5.14 | 50.79 ± 11.73 | 28.53 ± 5.47 | 
| 16 | II-16 | 39.16 ± 0.96 | 40.23 ± 7.52 | 18.73 ± 1.35 | 50.58 ± 6.99 | 26.94 ± 3.51 | 34.32 ± 4.38 | 64.22 ± 3.29 | 38.09 ± 0.23 | 31.44 ± 0.00 | 77.25 ± 3.64 | 26.26 ± 3.39 | 
| 17 | II-17 | 40.00 ± 4.73 | 64.36 ± 0.00 | 22.06 ± 0.00 | 65.65 ± 2.45 | 22.86 ± 4.78 | 15.17 ± 0.35 | −15.52 ± 0.00 | 32.58 ± 2.98 | 32.23 ± 2.52 | 45.35 ± 2.43 | 19.03 ± 9.06 | 
| 18 | I1 | 25.34 ± 0.00 | 4.09 ± 0.00 | 25.56 ± 0.52 | −162.93 ± 3.26 | 6.75 ± 0.00 | 19.57 ± 4.26 | 17.47 ± 2.37 | 31.28 ± 0.69 | 15.64 ± 5.92 | 36.48 ± 0.61 | 37.07 ± 2.71 | 
| 19 | I2 | 23.98 ± 1.35 | −6.09 ± 0.00 | 16.30 ± 3.14 | −155.11 ± 24.35 | 11.14 ± 2.58 | 17.78 ± 3.11 | 2.60 ± 0.00 | 32.98 ± 1.03 | 13.74 ± 0.00 | 34.19 ± 1.21 | 35.47 ± 1.86 | 
| 20 | I3 | 16.10 ± 5.18 | 9.14 ± 4.18 | 9.37 ± 0.00 | 11.53 ± 1.40 | 9.86 ± 0.00 | 18.27 ± 1.73 | 66.64 ± 0.39 | 7.78 ± 2.29 | 3.24 ± 0.00 | 1.65 ± 0.00 | 24.06 ± 6.04 | 
| 21 | Eugenol | 28.92 ± 1.69 | 37.27 ± 8.61 | 47.78 ± 2.32 | −167.46 ± 0.82 | 42.82 ± 5.11 | 18.02 ± 1.38 | 40.99 ± 1.45 | 9.32 ± 2.64 | 43.44 ± 0.00 | 22.82 ± 3.54 | 13.93 ± 0.00 | 
| 22 | Paoneol | 31.71 ± 2.70 | 82.14 ± 0.96 | 8.57 ± 0.00 | −168.53 ± 4.66 | 16.69 ± 7.80 | 55.83 ± 1.15 | 65.15 ± 12.49 | 14.26 ± 0.69 | 9.56 ± 0.00 | 8.30 ± 1.62 | 28.81 ± 0.00 | 
| 23 | Syringol | 9.80 ± 3.38 | −7.95 ± 0.32 | −2.70 ± 0.37 | −172.65 ± 0.00 | −15.68 ± 1.76 | 8.57 ± 0.00 | 6.69 ± 1.05 | 7.21 ± 0.34 | 9.32 ± 4.32 | 0.00 ± 1.62 | −6.98 ± 0.00 | 
| 24 | Azoxystrobin | 86.73 ± 0.17 | 54.32 ± 0.45 | 58.89 ± 3.07 | 31.80 ± 7.22 | 63.51 ± 2.09 | 71.32 ± 1.38 | 96.84 ± 0.00 | 51.46 ± 0.11 | 60.19 ± 17.20 | 83.83 ± 1.42 | 47.69 ± 14.45 | 
| Compd. No. | EC50 (mg/L) | ||||
|---|---|---|---|---|---|
| Pestalotiopsis theae | Phomopsis adianticola | Gibberella zeae | Sclerotinia sclerotiorum | Magnapothe grisea | |
| II-1 | - | - | - | 6.75 ± 0.12 | - | 
| II-2 | 0.25 ± 0.02 | - | - | 0.64 ± 0.06 | 0.96 ± 0.08 | 
| II-3 | - | - | - | 0.1 ± 0.01 | 2.05 ± 0.13 | 
| II-5 | - | - | - | - | - | 
| II-7 | - | - | - | 0.25 ± 0.05 | - | 
| II-8 | 0.04 ± 0.01 | 3.06 ± 0.29 | - | 0.003 ± 0.00 | 0.95 ± 0.08 | 
| II-9 | - | - | - | 0.79 ± 0.06 | - | 
| II-13 | - | - | 15.48 ± 1.76 | 0.1 ± 0.02 | - | 
| Azoxystrobin | 2.54 ± 0.38 | 35.3 ± 3.65 | 36.69 ± 3.69 | 18.75 ± 1.10 | 2.41 ± 0.30 | 
© 2017 by the authors. Licensee MDPI, Basel, Switzerland. This article is an open access article distributed under the terms and conditions of the Creative Commons Attribution (CC BY) license (http://creativecommons.org/licenses/by/4.0/).
Share and Cite
Su, H.; Wang, W.; Bao, L.; Wang, S.; Cao, X. Synthesis and Evaluation of Essential Oil-Derived β-Methoxyacrylate Derivatives as High Potential Fungicides. Molecules 2017, 22, 763. https://doi.org/10.3390/molecules22050763
Su H, Wang W, Bao L, Wang S, Cao X. Synthesis and Evaluation of Essential Oil-Derived β-Methoxyacrylate Derivatives as High Potential Fungicides. Molecules. 2017; 22(5):763. https://doi.org/10.3390/molecules22050763
Chicago/Turabian StyleSu, Haihuan, Wenda Wang, Longzhu Bao, Shuangshuang Wang, and Xiufang Cao. 2017. "Synthesis and Evaluation of Essential Oil-Derived β-Methoxyacrylate Derivatives as High Potential Fungicides" Molecules 22, no. 5: 763. https://doi.org/10.3390/molecules22050763
APA StyleSu, H., Wang, W., Bao, L., Wang, S., & Cao, X. (2017). Synthesis and Evaluation of Essential Oil-Derived β-Methoxyacrylate Derivatives as High Potential Fungicides. Molecules, 22(5), 763. https://doi.org/10.3390/molecules22050763
 
         
                                                
 
       