Broadband Two-Photon Absorption Characteristics of Highly Photostable Fluorenyl-Dicyanoethylenylated [60]Fullerene Dyads
Abstract
:1. Introduction
2. Results and Discussion
2.1. Materials Characterization
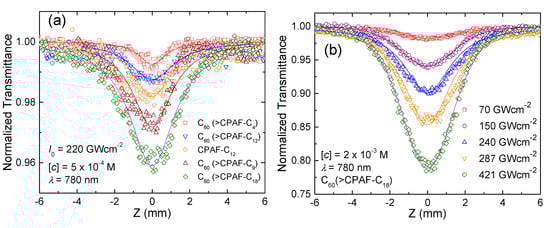
2.2. Nonlinear Z-Scan Measurements
3. Experimental Section
3.1. Materials
3.2. Spectroscopic Measurements
3.3. Synthetic Procedures
3.4. Z-scan and Light-Intensity Transmittance Measurements
4. Conclusions
Acknowledgments
Author Contributions
Conflicts of Interest
References
- He, G.S.; Tan, L.-S.; Zheng, Q.; Prasad, P.N. Multiphoton absorbing materials: Molecular designs, characterizations and applications. Chem. Rev. 2008, 108, 1245–1330. [Google Scholar] [CrossRef] [PubMed]
- Rumiand, M.; Perry, J.W. Two-photon absorption: An overview of measurements and principles. Adv. Opt. Photonics 2010, 2, 451–518. [Google Scholar]
- Tutt, L.W.; Boggess, T.F. A review of optical limiting mechanisms and devices using organics, fullerenes, semiconductors and other materials. Prog. Quant. Electron. 1993, 17, 299–338. [Google Scholar] [CrossRef]
- He, G.S.; Xu, G.C.; Prasad, P.N.; Reinhardt, B.A.; Bhatt, J.C.; Dillard, A.G. Two-photon absorption and optical-limiting properties of novel organic compounds. Opt. Lett. 1995, 20, 435–437. [Google Scholar] [CrossRef] [PubMed]
- Belfield, K.D.; Hagan, D.J.; Van Stryland, E.W.; Schafer, K.J.; Negres, R.A. New two-photon absorbing fluorene derivatives: Synthesis and nonlinear optical characterization. Org. Lett. 1999, 1, 1575–1578. [Google Scholar] [CrossRef]
- Kannan, R.; He, G.S.; Yuan, L.; Xu, F.; Prasad, P.N.; Dombroskie, A.G.; Reinhardt, B.A.; Baur, J.W.; Vaia, R.A.; Tan, L.-S. Diphenylaminofluorene-based two-photon-absorbing chromophores with various π-electron acceptors. Chem. Mater. 2001, 13, 1896–1904. [Google Scholar] [CrossRef]
- Kannan, R.; He, G.S.; Lin, T.-C.; Prasad, P.N.; Vaia, R.A.; Tan, L.-S. Toward highly active two-photon absorbing liquids. Synthesis and characterization of 1,3,5-triazine-based octapolar molecules. Chem. Mater. 2004, 16, 185–194. [Google Scholar] [CrossRef]
- Elim, H.I.; Anandakathir, R.; Jakubiak, R.; Chiang, L.Y.; Ji, W.; Tan, L.S. Large concentration-dependent nonlinear optical responses of starburst diphenylaminofluorenocarbonyl methano[60]fullerene pentaads. J. Mater. Chem. 2007, 17, 1826–1838. [Google Scholar] [CrossRef]
- Zheng, Q.; Gupta, S.K.; He, G.S.; Tan, L.-S.; Prasad, P.N. Synthesis, characterization, two-photon absorption, and optical limiting properties of ladder-type oligo-p-phenylene-cored chromophores. Adv. Funct. Mater. 2008, 18, 2770–2779. [Google Scholar] [CrossRef]
- Elim, H.I.; Jeon, S.-H.; Verma, S.; Ji, W.; Tan, L.-S.; Urbas, A.; Chiang, L.Y. Nonlinear optical transmission properties of C60 dyads consisting of a light-harvesting diphenylaminofluorene antenna. J. Phys. Chem. B 2008, 112, 9561–9564. [Google Scholar] [CrossRef] [PubMed]
- Tutt, L.W.; Kost, A. Optical limiting performance of C60 and C70 solutions. Nature 1992, 356, 225–226. [Google Scholar] [CrossRef]
- He, G.S.; Weder, C.; Smith, P.; Prasad, P.N. Optical power limiting and stabilization based on a novel polymer compound. IEEE J. Quant. Electron. 1998, 34, 2279–2285. [Google Scholar] [CrossRef]
- Chi, S.-H.; Hales, J.M.; Cozzuol, M.; Ochoa, C.; Fitzpatrick, M.; Perry, J.W. Conjugated polymer-fullerene blend with strong optical limiting in the near-infrared. Opt. Express 2009, 17, 22062–22072. [Google Scholar] [CrossRef] [PubMed]
- Jeon, S.; Wang, M.; Tan, L.-S.; Cooper, T.; Hamblin, M.R.; Chiang, L.Y. Synthesis of photoresponsive dual NIR two-photon absorptive [60]fullerene triads and tetrads. Molecules 2013, 18, 9603–9622. [Google Scholar] [CrossRef] [PubMed]
- Jeon, S.; Haley, J.; Flikkema, J.; Nalla, V.; Wang, M.; Sfeir, M.; Tan, L.-S.; Cooper, T.; Ji, W.; Hamblin, M.R.; Chiang, L.Y. Linear and nonlinear optical properties of light-harvesting hybrid [60]fullerene triads and tetraads with dual NIR two-photon absorption characteristics. J. Phys. Chem. C 2013, 117, 17186–17195. [Google Scholar] [CrossRef] [PubMed][Green Version]
- Luo, H.; Fujitsuka, M.; Araki, Y.; Ito, O.; Padmawar, P.; Chiang, L.Y. Inter- and intramolecular photoinduced electron-transfer processes between C60 and diphenylaminofluorene in solutions. J. Phys. Chem. B 2003, 107, 9312–9318. [Google Scholar] [CrossRef]
- Padmawar, P.A.; Rogers, J.O.; He, G.S.; Chiang, L.Y.; Canteenwala, T.; Tan, L.-S.; Zheng, Q.; Lu, C.; Slagle, J.E.; Danilov, E.; et al. Large cross-section enhancement and intramolecular energy transfer upon multiphoton absorption of hindered diphenylaminofluorene-C60 dyads and triads. Chem. Mater. 2006, 18, 4065–4074. [Google Scholar] [CrossRef]
- Chiang, L.Y.; Padmawar, P.A.; Rogers–Haley, J.E.; So, G.; Canteenwala, T.; Thota, S.; Tan, L.-S.; Pritzker, K.; Huang, Y.-Y.; Sharma, S.K.; et al. Synthesis and characterization of highly photoresponsive fullerenyl dyads with a close chromophore antenna–C60 contact and effective photodynamic potential. J. Mater. Chem. 2010, 20, 5280–5293. [Google Scholar] [CrossRef] [PubMed]
- El-Khouly, M.E.; Padmawar, P.; Araki, Y.; Verma, S.; Chiang, L.Y.; Ito, O. Photoinduced processes in a tricomponent molecule consisting of diphenylaminofluorene-dicyanoethylene-methano[60]fullerene. J. Phys. Chem. A 2006, 110, 884–891. [Google Scholar] [CrossRef] [PubMed]
- Riggs, J.E.; Sun, Y.-P. Optical limiting properties of mono- and multiple-functionalized fullerene derivatives. J. Chem. Phys. 2000, 112, 4221–4230. [Google Scholar] [CrossRef]
- Sheik-Bahae, M.; Said, A.A.; Wei, T.; Hagan, D.J.; van Stryland, E.W. Sensitive measurement of optical nonlinearities using a single beam. IEEE J. Quant. Electron. 1990, 26, 760–769. [Google Scholar] [CrossRef]
- He, J.; Qu, Y.; Li, H.; Mi, J.; Ji, W. Three-photon absorption in ZnO and ZnS crystals. Opt. Express 2005, 13, 9235–9247. [Google Scholar] [CrossRef] [PubMed]
- Padmawar, P.A.; Canteenwala, T.; Tan, L.-S.; Chiang, L.Y. Synthesis and characaterization of two-photon absorbing diphenylaminofluorenocarbonyl-methano[60]fullerenes. J. Mater. Chem. 2006, 16, 1366–1378. [Google Scholar] [CrossRef]
- Sample Availability: Samples of the compound 1-Cn are available from the authors for collaboration.








| Sample | [C]/M | β/cmGW−1 | σ2/10−48 cm4·s·photon−1·molecule−1 | σESA/10−78 cm6·s2· photon−2·molecule−1 |
|---|---|---|---|---|
| CPAF-C12 | 5.0 × 10−4 | 0.0026 | 2.20 (220 GM) | |
| 1.0 × 10−3 | 0.0048 | 2.03 (203 GM) | ||
| 2.0 × 10−3 | 0.0070 | 1.48 (148 GM) | 6.4 | |
| 1.0 × 10−2 | 0.0105 | 0.44 (44 GM) | 1.5 | |
| C60(>CPAF-C4) | 5.0 × 10−4 | 0.0015 | 1.28 (128 GM) | |
| 1.0 × 10−3 | 0.0027 | 1.12 (112 GM) | ||
| 2.0 × 10−3 | 0.0045 | 0.95 (95 GM) | 5.9 | |
| 1.0 × 10−2 | 0.0102 | 0.43 (43 GM) | ||
| C60(>CPAF-C9) | 5.0 × 10−4 | 0.0039 | 3.25 (325 GM) | |
| 1.0 × 10−3 | 0.0065 | 2.75 (275 GM) | ||
| 2.0 × 10−3 | 0.0080 | 1.69 (169 GM) | 10.2 | |
| 1.0 × 10−2 | 0.0110 | 0.46 (46 GM) | 5.4 | |
| C60(>CPAF-C12) | 5.0 × 10−4 | 0.0020 | 1.65 (165 GM) | |
| 1.0 × 10−3 | 0.0040 | 1.71 (171 GM) | ||
| 2.0 × 10−3 | 0.0065 | 1.39 (139 GM) | 9.1 | |
| 1.0 × 10−2 | 0.0124 | 0.535 (54 GM) | 4.4 | |
| C60(>CPAF-C18) | 5.0 × 10−4 | 0.0077 | 6.42 (642 GM) | 30.1 |
| 1.0 × 10−3 | 0.0094 | 3.97 (397 GM) | 24.7 | |
| 2.0 × 10−3 | 0.0105 | 2.14 (214 GM) | 11.3 | |
| 1.0 × 10−2 | 0.0139 | 0.59 (59 GM) | 5.1 |
© 2016 by the authors. Licensee MDPI, Basel, Switzerland. This article is an open access article distributed under the terms and conditions of the Creative Commons Attribution (CC-BY) license ( http://creativecommons.org/licenses/by/4.0/).
Share and Cite
Jeon, S.; Wang, M.; Ji, W.; Tan, L.-S.; Cooper, T.; Chiang, L.Y. Broadband Two-Photon Absorption Characteristics of Highly Photostable Fluorenyl-Dicyanoethylenylated [60]Fullerene Dyads. Molecules 2016, 21, 647. https://doi.org/10.3390/molecules21050647
Jeon S, Wang M, Ji W, Tan L-S, Cooper T, Chiang LY. Broadband Two-Photon Absorption Characteristics of Highly Photostable Fluorenyl-Dicyanoethylenylated [60]Fullerene Dyads. Molecules. 2016; 21(5):647. https://doi.org/10.3390/molecules21050647
Chicago/Turabian StyleJeon, Seaho, Min Wang, Wei Ji, Loon-Seng Tan, Thomas Cooper, and Long Y. Chiang. 2016. "Broadband Two-Photon Absorption Characteristics of Highly Photostable Fluorenyl-Dicyanoethylenylated [60]Fullerene Dyads" Molecules 21, no. 5: 647. https://doi.org/10.3390/molecules21050647
APA StyleJeon, S., Wang, M., Ji, W., Tan, L.-S., Cooper, T., & Chiang, L. Y. (2016). Broadband Two-Photon Absorption Characteristics of Highly Photostable Fluorenyl-Dicyanoethylenylated [60]Fullerene Dyads. Molecules, 21(5), 647. https://doi.org/10.3390/molecules21050647
