Abstract
For the aim of discovering new fungicide, a series of phenylpyrrole-substituted tetramic acid derivatives bearing carbonates 6a–q were designed and synthesized via 4-(2,4-dioxopyrrolidin-3-ylidene)-4-(phenylamino)butanoic acids 4a–k and the cyclized products 1′,3,4,5′-tetrahydro-[2,3′-bipyrrolylidene]-2′,4′,5(1H)-triones 5a–k. The compounds were characterized using IR, 1H- and 13C-NMR spectroscopy, mass spectrometry (EI-MS), and elemental analysis. The structure of 6b was confirmed by X-ray diffraction crystallography. The title compounds 6a–q were bioassayed in vitro against the phytopathogenic fungi Fusarium graminearum, Botrytis cinerea and Rhizoctonia solani at a concentration of 100 μg/mL, respectively. Most compounds displayed good inhibitory activity.
1. Introduction
Tetramic acid derivatives, which represent an important class of nitrogen-containing heterocycles, have received considerable attention due to their significant biological activities [1], such as antioxidant [2], herbicidal [3,4], phytocytotoxic [5,6,7], anti-HIV [8,9], and antitumor properties [10,11]. Among the abundant bioactivity research of tetramic acid derivatives, 3-heterocycle substituted tetramic acids were proved to be more interesting. Some literatures reported that these compounds showed a wide variety of bioactivity. Fischerellin A, the most active allelochemical compound of Fischerella muscicola, exhibited a MIC (Minimal Inhibition Concentration) of 14 nM against Synechococcus PPC 6911 and had interesting herbicidal activity [12]. Benzothiadiazine-substituted tetramic acids are potent inhibitors of the hepatitis C virus RNA polymerase [13]. Vermelhotin was obtained from an unidentified fungus CRI247-01, which was found to display cytotoxic activity and antiplasmodial activity with the IC50 values of 1–10 μM [14]. Another tetramic acid derivative produced by a plant type-III polyketide synthase showed moderate antiproliferative activity against murine leukemia P388 cells [15]. However, almost no literatures have reported the antifungal activity of 3-heterocycle substituded tetramic acids.
As with many other five-membered heterocyclic compounds, pyrrole derivatives are highly significant in agrichemistry, many of these compounds have been widely used, given their fungicidal [16,17], insecticidal [18,19], and herbicidal [20] activities. In this work, we would like to introduce pyrrole to the 3-position of pyrrolidine-2,4-dione to design and synthesize 17 novel tetramic acid derivatives for revealing the influence of introduced groups (substituted phenylpyrroles and carbonates) on fungicidal activity of pyrrolidine-2,4-diones. Meanwhile, different electronegative and electropositive substitutions, which often incorporated in the structures of commoditized pesticides, were introduced to the phenyl ring to investigate the influence of the substituents and their positions on the antifungal activity. Similarly, in order to investigate whether the types of substituent on carbonate moieties would influence the antifungal activity, eight chloroformates were treated to give the final products. In addition, in view of the continued interest in the development of synthetic routes for preparing heterocyclic systems, an efficient and useful synthesis method of pyrrole was found and reported in this paper (Scheme 1).
Scheme 1.
Synthetic route to the title compounds 6a–q. Reaction conditions: (i) 4-Dimethylaminopyridine (DMAP), CH2Cl2/rt, 10 h; (ii) 10% aq. NaOH/110 °C, 2 h; (iii) 10% aq. HCl (71.7%); (iv) EtOH/90 °C, 6–24 h (56%–90%); (v) DMAP, 1-Ethyl-3-(3-dimethylaminopropyl)carbodiimide hydrochloride (EDCI), CH2Cl2/rt, 24 h (30.3%–73.1%); (vi) NEt3, CHCl3/0–5 °C, 0.5–2 h (30.7%–82.4%).
2. Results and Discussion
2.1. Synthesis of the Title Compounds 6
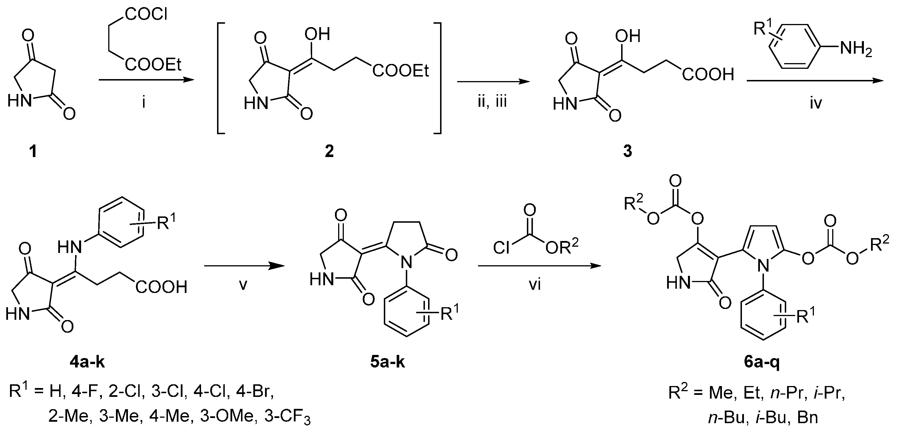
Pyrrolidine-2,4-dione 1 was prepared by the literature method [21], starting from ethyl glycinate hydrochloride, through N-acylation, Dieckmann cyclization and demethoxycarbonylation. The intermediate 4-(2,4-dioxopyrrolidin-3-ylidene)-4-hydroxybutanoic acid 3 was obtained as a light-yellow powder from compound 1 by successively performing the acylation using ethyl 4-chloro-4-oxobutanoate, saponification with 10% aqueous sodium hydroxide and acidification using 10% aqueous hydrochloride. Compound 3 and different substituted anilines were dissolved in ethanol and refluxed to give 4-(2,4-dioxopyrrolidin-3-ylidene)-4-(substituted phenylamino)butanoic acids 4a–k. Then the synthesis of 1-(substituted phenyl)-1′,3,4,5′-tetrahydro-[2,3′-bipyrrolylidene]-2′,4′,5(1H)-triones 5a–k were carried out via intramolecular cyclization of compounds 4 using EDCI as the condensation agent and DMAP as the catalysts. Finally, the title compounds 6a–q were conveniently obtained by the reaction of 5a–k with different chloroformates, respectively. The yields of 6a–q were ranged from 30.7% to 82.4%.
It was reported [22,23] that 3-(aryl or heterocyclic) tetramic acid derivatives were usually generated via Dieckmann cyclization of N-(aryl or heterocyclic-acetyl) amino acid esters (Scheme 2). In this paper, pyrroles were formed in the esterification with chloroformates after generation of the pyrrolidine-2-ones, this method was efficient and convenient, which might be useful to synthesize other 3-heterocyclic tetramic acid derivatives.
Scheme 2.
Usual synthesis of 3-aryl or heterocyclic tetramic acid derivatives.
2.2. Tautomerism of the Compounds 4 and 5
Each compound 4 and 5 possessing a β-tricarbonyl system, can undergo “internal” tautomerism and “external” tautomerism. In order to distinguish the existing forms of the tautomers, the isomers of these compounds were calculated with the Gaussian 03W package [24]. The compounds 4a and 5a were chosen as the models for calculation (Scheme 3). The HF/3-21G was used for preliminary optimization, and B3LYP/6-31G* was applied for further optimization. Single point energies of two compounds were calculated with DFT method at B3LYP/6-311++G** level. The solvent effect of DMSO was also taken in account. The calculated results showed that the relative energies of 4aα–4aδ were 0.00, 81.63, 5.12, and 89.09 kJ/mol, while 5aα–5aδ were 0.00, 77.8, 0.93, and 99.43 kJ/mol, respectively. This result suggested that 4aα (E-configuration) and 4aγ (Z-configuration) were the stable isomers for compound 4a, and 4aα was the major product in the mixture. Similarly, 5aα (E-configuration) and 5aγ (Z-configuration) were the stable isomers for compound 5a, and 5aα was the major product. For all products of 4 and 5, the intensities of the corresponding 1H-NMR signals tentatively assigned to the E isomers were 70.0% ± 5.0% and 72.5% ± 7.5%, respectively.
Scheme 3.
The internal and external tautomerisms of compounds 4 and 5.
2.3. X-ray Crystal Structure of Compound 6b
The single crystal of compound 6b was obtained by slow evaporation from the solution composed of chloroform and cyclohexane at room temperature. Diffraction data for this compound were collected with a Bruker Smart APEX II CCD diffractometer (Billerica, MA, USA) with graphite monochromatized Mo Kα radiation (λ = 0.71073 Å) using a φ–ω scan mode at 296 K. The crystal structure was solved and refined by SHELX and SHELXL [25,26]. The crystallographic data are provided in Table 1, Table 2 and Table 3.
Table 1.
The crystal and experimental data of compound 6b.
Table 2.
Selected geometric parameters of compound 6b (Å).
Table 3.
Hydrogen bonding data for compound 6b (Å, °).
In the crystal structure of compound 6b (Figure 1), the ethyl group connected to the atom O6 appears in a disordered state. In pyrrole system, the bonds C1-N1 and C4-N1 are significantly shorter than the typical single C-N bond and longer than the typical C=N bond, which indicates a significant electron delocalization exists in the pyrrole system. The three rings pyrrole, pyrroline, and benzene are not coplanar, their dihedral angles between pyrrole and pyrrolidone, pyrrole and benzene are 36.379(89)° and 48.522(93)°, respectively. There are three intramolecular hydrogen bonds C9-H9···O1, C19-H19A···O5 and C16-H16B···O5 (Figure 1), which ulteriorly stabilize the molecule. Moreover, other two intermolecular hydrogen bonds N2-H2A···O7 and C16-H16A···O2 between adjacent molecules form a two dimensional chain structure (Figure 2). As shown in Figure 3, C-H···π interaction exists between benzene and pyrrole. The distance between the hydrogen of benzene and the centroid of pyrrole is 3.004 Å. The C-H···π interaction connects the two dimensional chains to form a three-dimensional supramolecular framework.
Figure 1.
ORTEP diagram of compound 6b with intramolecular hydrogen bonds.
Figure 2.
Two-dimensional structure of compound 6b with intermolecular hydrogen bonds.
Figure 3.
Crystal parking diagram of compound 6b. Dashed lines show the C-H···π interaction.
2.4. Antifungal Activity
The inhibition effects of compounds 4–6 were tested in vitro against the phytopathogenic fungi Fusarium graminearum, Botrytis cinerea, and Rhizoctonia solani using mycelium growth rate method at the concentration of 100 μg/mL [27]. Compounds 4 and 5 were almost inactive against all tested fungus, such as 4a and 5a, their inhibition rates were less than 20%, while the title compounds of 6 exihibited obvious antifungal activities.
As shown in Table 4, B. cinerea and R. solani were more sensitive than F. graminearaum to most members of the compounds. Compound 6h showed the highest activity with an inhibitory rate of 82.2% against B. cinerea. It can be noticed that compounds 6d and 6f carrying two i-propyl or i-butyl groups displayed relatively better antifungal activity against the three kinds of fungi than compounds 6a–c, 6e, and 6g carrying two methyl, ethyl, n-propyl, n-butyl, or benzyl groups did. Screening data of compounds 6a–6g indicated that introducing medium-sized alkyls to the carbonate moiety may elevate the antifungal activity. Meanwhile, there is no direct relationship between antifungal activities and substituents of phenyl ring compared with the antifungal activities of compounds 6f and 6h–6q. That is, neither electronegative nor electropositive substitutions at phenyl have played a crucial role in the activity.
Table 4.
Percentage inhibition of compounds 6, 4a, and 5a against three test fungi.
3. Experimental Section
3.1. General
All melting points of the title compounds were determined on an uncorrected WRS-1B digital melting point apparatus. IR spectra (4000–400 cm–1) were recorded on a Bruker Tensor 27 FT-IR spectrometer, using KBr disks. 1H-NMR and 13C-NMR spectra were measured on Bruker 400 spectrometer (DMSO-d6 or CDCl3 as solvent, TMS as internal standard). Mass spectra were recorded on a TRACE 2000 spectrometer. The elemental analyses were performed on an Elementar Vario EL cube analyzer. CCDC-1432180 contains the supplementary crystallographic data for this paper. These data can be obtained free of charge via http://www.ccdc.cam.ac.uk/conts/retrieving.html (or from the CCDC, 12 Union Road, Cambridge CB2 1EZ, UK; Fax: +44-1223-336033; E-mail: deposit@ccdc.cam.ac.uk). Progress of the reactions was monitored by thin layer chromatography (TLC). All reagents and solvents were obtained from commercial suppliers. Reagents were analytically or chemically pure and were not further purified. All the solvents were dried by standard methods in advance.
3.2. General Procedure for the Synthesis of Compounds 3
A mixture of DMAP (14.2 g, 116.2 mmol) in dichloromethane (50 mL) was added to a mixture of pyrrolidine-2,4-dione 1 (5.0 g, 50.5 mmol) and ethyl succinyl chloride (8.3 g, 50.5 mmol) in dichloromethane (100 mL) at 0 °C. The resulting mixture was stirred at 25 °C for 10 h. Then the mixture was washed successively with 10% aqueous HCl, saturated brine and water, dried with Na2SO4, filtered and concentrated in vacuo to yield the crude product 2 (9.5 g) as a yellow solid which was used directly in the next step.
10% aqueous NaOH (100 mL) was added to the above obtained product 2 (9.5 g). The resulting mixture was stirred at 110 °C for 2 h. Then the mixture was allowed to cool to room temperature, acidified with 10% aqueous HCl to pH = 2–3 and precipitated. The yellow solid was collected by filtration, rinsed with water, and dried in the air to afford the desired product 3 (7.2 g, 36.2 mmol) with yield of 71.7%, m.p. 198.8 °C (decomp). 1H-NMR (DMSO-d6) δ (ppm): 12.24 (s, 1H, COOH), 9.73 (s, 1H, C=COH), 8.80 (s, 1H, NH), 3.80 (s, 2H, CH2NH), 3.01 (t, J = 6.9 Hz, 2H, C=CCH2), 2.53 (t, J = 7.0 Hz, 2H, CH2COOH); EI-MS (m/z) 199.1 [M]+.
3.3. General Procedure for the Synthesis of Compounds 4
A mixture of compound 3 (1.5 g, 7.5 mmol) and a substituted aniline (7.5 mmol) was refluxed in ethanol (25 mL) for 6–24 h. After cooling, the resulting solid product was collected by filtration and recrystallized from EtOH to give the desired products 4.
4-(2,4-Dioxopyrrolidin-3-ylidene)-4-(phenylamino)butanoic acid (4a). White solid (76.3%), m.p. 218.4 °C (decomp). IR (KBr, cm−1) ν: 3314, 3070, 2930, 1724, 1666, 1567, 1438, 1272, 1189, 1080, 896, 787; 1H-NMR (400 MHz, DMSO-d6) δ (ppm): 12.33 (s, (0.3)1H (Z), PhNH), 12.31 (s, 1H, COOH), 12.26 (s, (0.7)1H (E), PhNH), 7.92 (s, (0.7)1H (E), CH2NH), 7.52 (s, (0.3)1H (Z), CH2NH), 7.48 (d, J = 7.4 Hz, 2H, PhH), 7.44–7.31 (m, 3H, PhH), 3.70 (s, (0.6)2H (Z), CH2NH), 3.61 (s, (1.4)2H (E), CH2NH), 3.06–2.98 (m, (0.6)2H (Z), C=CCH2), 2.98–2.89 (m, (1.4)2H (E), C=CCH2), 2.49–2.42 (m, 2H, CH2COOH); 13C-NMR (101 MHz, DMSO-d6) δ (ppm): 198.32 (Z), 193.77 (E), 175.63 (E), 173.21 (E), 173.12 (Z), 171.59 (Z), 168.71 (Z), 168.35 (E), 136.33 (E), 136.27 (Z), 130.07 (2 × C), 128.34 (Z), 128.11 (E), 126.51 (2 × C (Z)), 126.23 (2 × C (E)), 97.98 (Z), 96.11 (E), 50.82 (E), 49.59 (Z), 32.08 (Z), 31.45 (E), 23.64 (E), 22.85 (Z); EI-MS (m/z) 274.1 [M]+. Anal. Calcd. for C14H14N2O4: C, 61.31; H, 5.14; N, 10.21. Found: C, 61.44; H, 5.25; N, 10.07.
4-(2,4-Dioxopyrrolidin-3-ylidene)-4-((4-fluorophenyl)amino)butanoic acid (4b). White solid (80.3%), m.p. 223.8 °C (decomp). IR (KBr, cm−1) ν: 3313, 3070, 2885, 1723, 1667, 1568, 1484, 1379, 1271, 1187, 1084, 803, 741; 1H-NMR (400 MHz, DMSO-d6) δ (ppm): 12.30 (s, 1H, COOH), 12.19 (s, (0.3)1H (Z), PhNH), 12.12 (s, (0.7)1H (E), PhNH), 7.90 (s, (0.7)1H (E), CH2NH), 7.51 (s, (0.3)1H (Z), CH2NH), 7.48–7.38 (m, 2H, PhH), 7.44–7.31 (m, 2H, PhH), 3.70 (s, (0.6)2H (Z), CH2NH), 3.61 (s, (1.4)2H (E), CH2NH), 3.01–2.94 (m, (0.6)2H (Z), C=CCH2), 2.94–2.86 (m, (1.4)2H (E), C=CCH2), 2.49–2.42 (m, 2H, CH2COOH); 13C-NMR (101 MHz, DMSO-d6) δ (ppm): 198.30 (Z), 193.79 (E), 175.56 (E), 173.20 (E), 173.12 (Z), 171.57 (Z), 169.01 (Z), 168.68 (E), 161.54 (d, JCF = 245.1 Hz), 132.66 (d, JCF = 2.9 Hz), 129.09 (d, JCF = 9.0 Hz, 2 × C (Z)), 128.82 (d, JCF = 8.8 Hz, 2 × C (E)), 116.81 (d, JCF = 22.8 Hz, 2 × C), 97.98 (Z), 96.13 (E), 50.85 (E), 49.59 (Z), 32.04 (Z), 31.41 (E), 23.59 (E), 22.81 (Z); EI-MS (m/z) 292.1 [M]+. Anal. Calcd. for C14H13FN2O4: C, 57.53; H, 4.48; N, 9.59. Found: C, 57.64; H, 4.62; N, 9.47.
4-((2-Chlorophenyl)amino)-4-(2,4-dioxopyrrolidin-3-ylidene)butanoic acid (4c). White solid (56.0%), m.p. 246.2 °C (decomp). IR (KBr, cm−1) ν: 3171, 3040, 2912, 1719, 1676, 1640, 1566, 1467, 1376, 1254, 1199, 1056, 988, 756; 1H-NMR (400 MHz, DMSO-d6) δ (ppm): 12.32 (s, 1H, COOH), 12.18 (s, 1H, PhNH), 7.99 (s, (0.7)1H (E), CH2NH), 7.71–7.64 (m, 1H, PhH), 7.64–7.58 (m, 1H, PhH), 7.57 (s, (0.3)1H (Z), CH2NH), 7.50–7.40 (m, 2H, PhH), 3.74 (s, (0.6)2H (Z), CH2NH), 3.64 (s, (1.4)2H (E), CH2NH), 2.98–2.92 (m, (0.6)2H (Z), C=CCH2), 2.92–2.83 (m, (1.4)2H (E), C=CCH2), 2.45–2.35 (m, 2H, CH2COOH); 13C-NMR (101 MHz, DMSO-d6) δ (ppm): 198.76 (Z), 194.01 (E), 175.30 (E), 173.04 (E), 172.95 (Z), 171.25 (Z), 168.84 (Z), 168.54 (E), 133.87 (E), 133.84 (Z), 130.58, 130.50 (Z), 130.45 (E), 130.25 (Z), 130.00 (E), 129.55 (Z), 129.22 (E), 128.69, 98.61 (Z), 96.85 (E), 50.94 (E), 49.64 (Z), 31.94 (Z), 31.33 (E), 23.67 (E), 22.92 (Z); EI-MS (m/z) 308.1 [M]+. Anal. Calcd. for C14H13ClN2O4: C, 54.47; H, 4.24; N, 9.07. Found: C, 54.36; H, 4.35; N, 9.18.
4-((3-Chlorophenyl)amino)-4-(2,4-dioxopyrrolidin-3-ylidene)butanoic acid (4d). White solid (70.6%), m.p. 223.5 °C (decomp). IR (KBr, cm−1) ν: 3169, 3037, 2923, 1715, 1644, 1560, 1470, 1342, 1255, 1159, 867, 713; 1H-NMR (400 MHz, DMSO-d6) δ (ppm): 12.31 (s, 1H, COOH), 12.24 (s, 1H, PhNH), 7.96 (s, (0.7)1H (E), CH2NH), 7.58–7.45 (m, 3H, PhH), 7.44(s, (0.3)1H (Z), CH2NH), 7.35 (t, J = 9.9 Hz, 1H, PhH), 3.71 (s, (0.6)2H (Z), CH2NH), 3.62 (s, (1.4)2H (E), CH2NH), 3.05–2.99 (m, (0.6)2H (Z), C=CCH2), 2.98–2.90 (m, (1.4)2H (E), C=CCH2), 2.49–2.43 (m, 2H, CH2COOH); 13C-NMR (101 MHz, DMSO-d6) δ (ppm): 198.41 (Z), 193.93 (E), 175.36 (E), 173.21 (E), 173.13 (Z), 171.40 (Z), 168.50 (Z), 168.22 (E), 137.99 (E), 137.92 (Z), 134.13 (E), 134.10 (Z), 131.50 (E), 131.47 (Z), 128.26 (Z), 128.00 (E), 126.64 (Z), 126.29 (E), 125.53 (Z), 125.19 (E), 98.38 (Z), 96.59 (E), 50.85 (E), 49.61 (Z), 32.07 (Z), 31.42 (E), 23.63 (E), 22.88 (Z); EI-MS (m/z) 308.1 [M]+. Anal. Calcd. for C14H13ClN2O4: C, 54.47; H, 4.24; N, 9.07. Found: C, 54.56; H, 4.14; N, 8.93.
4-((4-Chlorophenyl)amino)-4-(2,4-dioxopyrrolidin-3-ylidene)butanoic acid (4e). White solid (70.0%), m.p. 230.5 °C (decomp). IR (KBr, cm−1) ν: 3322, 3065, 2926, 1709, 1672, 1560, 1482, 1378, 1246, 1093, 807, 715; 1H-NMR (400 MHz, DMSO-d6) δ (ppm): 12.30 (s, 1H, COOH), 12.23 (s, (0.3)1H (Z), PhNH), 12.20 (s, (0.7)1H (E), PhNH), 7.93 (s, (0.7)1H (E), CH2NH), 7.55 (s, (0.3)1H (Z), CH2NH), 7.53 (d, J = 8.4 Hz, 2H, PhH), 7.40 (t, J = 10.1 Hz, 2H, PhH), 3.70 (s, (0.6)2H (Z), CH2NH), 3.61 (s, (1.4)2H (E), CH2NH), 3.05–2.97 (m, (0.6)2H (Z), C=CCH2), 2.97–2.89 (m, (1.4)2H (E), C=CCH2), 2.48–2.42 (m, 2H, CH2COOH); 13C-NMR (101 MHz, DMSO-d6) δ (ppm): 198.37 (Z), 193.85 (E), 175.45 (E), 173.18 (E), 173.10 (Z), 171.46 (Z), 168.61 (Z), 168.30 (E), 135.41 (E), 135.36 (Z), 132.71 (Z), 132.45 (E), 129.95 (2 × C), 128.53 (2 × C (Z)), 128.21 (2 × C (E)), 98.26 (Z), 96.44 (E), 50.84 (E), 49.60 (Z), 32.08 (Z), 31.44 (E), 23.60 (E), 22.83 (Z); EI-MS (m/z) 308.1 [M]+. Anal. Calcd. for C14H13ClN2O4: C, 54.47; H, 4.24; N, 9.07. Found: C, 54.39; H, 4.10; N, 9.22.
4-((4-Bromophenyl)amino)-4-(2,4-dioxopyrrolidin-3-ylidene)butanoic acid (4f). White solid (83.6%), m.p. 239.8 °C (decomp). IR (KBr, cm−1) ν: 3327, 3065, 2952, 1709, 1671, 1559, 1400, 1377, 1247, 1072, 805, 713; 1H-NMR (400 MHz, DMSO-d6) δ (ppm): 12.31 (s, 1H, COOH), 12.21 (s, (0.3)1H (Z), PhNH), 12.19 (s, (0.7)1H (E), PhNH), 7.94 (s, (0.7)1H (E), CH2NH), 7.71–7.63 (m, 2H, PhH), 7.54 (s, (0.3)1H (Z), CH2NH), 7.33 (t, J = 10.0 Hz, 2H, PhH), 3.70 (s, (0.6)2H (Z), CH2NH), 3.61 (s, (1.4)2H (E), CH2NH), 3.05–2.97 (m, (0.6)2H (Z), C=CCH2), 2.97–2.89 (m, (1.4)2H (E), C=CCH2), 2.49–2.41 (m, 2H, CH2COOH); 13C-NMR (101 MHz, DMSO-d6) δ (ppm): 198.38 (Z), 193.85 (E), 175.44 (E), 173.19 (E), 173.11 (Z), 171.44 (Z), 168.51 (Z), 168.20 (E), 135.86 (E), 135.80 (Z), 132.88 (2 × C), 128.79 (2 × C (Z)), 128.47 (2 × C (E)), 121.11 (Z), 120.82 (E), 98.30 (Z), 96.48 (E), 50.84 (E), 49.61 (Z), 32.10 (Z), 31.45 (E), 23.60 (E), 22.84 (Z); EI-MS (m/z) 352.0 [M]+. Anal. Calcd. for C14H13BrN2O4: C, 47.61; H, 3.71; N, 7.93. Found: C, 47.68; H, 3.85; N, 8.06.
4-(2,4-Dioxopyrrolidin-3-ylidene)-4-(o-tolylamino)butanoic acid (4g). White solid (67.7%), m.p. 235.4 °C (decomp). IR (KBr, cm−1) ν: 3180, 3041, 2914, 1724, 1643, 1560, 1379, 1253, 1200, 1162, 849, 753; 1H-NMR (400 MHz, DMSO-d6) δ (ppm): 12.28 (s, 1H, COOH), 12.22 (s, (0.3)1H (Z), PhNH), 12.14 (s, (0.7)1H (E), PhNH), 7.88 (s, (0.7)1H (E), CH2NH), 7.50 (s, (0.3)1H (Z), CH2NH), 7.38 (d, J = 3.9 Hz, 1H, PhH), 7.35–7.26 (m, 3H, PhH), 3.71 (s, (0.6)2H (Z), CH2NH), 3.61 (s, (1.4)2H (E), CH2NH), 2.96–2.90 (m, (0.6)2H (Z), C=CCH2), 2.89–2.83 (m, (1.4)2H (E), C=CCH2), 2.46–2.35 (m, 2H, CH2COOH), 2.22 (s, 3H, CH3); 13C-NMR (101 MHz, DMSO-d6) δ (ppm): 198.45 (Z), 193.64 (E), 175.82 (E), 173.18 (E), 173.09 (Z), 171.66 (Z), 169.25 (Z), 168.88 (E), 135.20, 134.42 (Z), 134.39 (E), 131.45, 128.75 (Z), 128.52 (E), 127.45 (Z), 127.35 (Z), 127.32 (E), 127.16 (E), 98.00 (Z), 96.09 (E), 50.86 (E), 49.59 (Z), 31.92 (Z), 31.32 (E), 23.64 (E), 22.90 (Z), 17.94 (E), 17.92 (Z); EI-MS (m/z) 288.1 [M]+. Anal. Calcd. for C15H16N2O4: C, 62.49; H, 5.59; N, 9.72. Found: C, 62.41; H, 5.47; N, 9.86.
4-(2,4-Dioxopyrrolidin-3-ylidene)-4-(m-tolylamino)butanoic acid (4h). White solid (73.7%), m.p. 214.7 °C (decomp). IR (KBr, cm−1) ν: 3172, 3038, 2923, 1721, 1644, 1568, 1442, 1376, 1260, 1163, 1037, 878, 706; 1H-NMR (400 MHz, DMSO-d6) δ (ppm): 12.34 (s, 1H, COOH), 12.32 (s, (0.3)1H (Z), PhNH), 12.24 (s, (0.7)1H (E), PhNH), 7.91 (s, (0.7)1H (E), CH2NH), 7.52 (s, (0.3)1H (Z), CH2NH), 7.36 (t, J = 7.5 Hz, 1H, PhH), 7.25–7.10 (m, 3H, PhH), 3.70 (s, (0.6)2H (Z), CH2NH), 3.60 (s, (1.4)2H (E), CH2NH), 3.05–2.98 (m, (0.6)2H (Z), C=CCH2), 2.98–2.90 (m, (1.4)2H (E), C=CCH2), 2.49–2.42 (m, 2H, CH2COOH), 2.34 (s, 3H, CH3); 13C-NMR (101 MHz, DMSO-d6) δ (ppm): 198.30 (Z), 193.73 (E), 175.66 (E), 173.23 (E), 173.14 (Z), 171.61 (Z), 168.70 (Z), 168.32 (E), 139.77, 136.23 (E), 136.15 (Z), 129.83, 128.96 (Z), 128.74 (E), 126.79 (Z), 126.53 (E), 123.39 (Z), 123.10 (E), 97.94 (Z), 96.05 (E), 50.81 (E), 49.59 (Z), 32.14 (Z), 31.50 (E), 23.67 (E), 22.89 (Z), 21.25; EI-MS (m/z) 288.1 [M]+. Anal. Calcd. for C15H16N2O4: C, 62.49; H, 5.59; N, 9.72. Found: C, 62.40; H, 5.71; N, 9.84.
4-(2,4-Dioxopyrrolidin-3-ylidene)-4-(p-tolylamino)butanoic acid (4i). White solid (90.0%), m.p. 234.2 °C (decomp). IR (KBr, cm−1) ν: 3302, 3034, 2924, 1725, 1665, 1590, 1441, 1384, 1247, 1162, 1084, 820, 706; 1H-NMR (400 MHz, DMSO-d6) δ (ppm): 12.32 (s, 1H, COOH), 12.27 (s, (0.3)1H (Z), PhNH), 12.17 (s, (0.7)1H (E), PhNH), 7.86 (s, (0.7)1H (E), CH2NH), 7.47 (s, (0.3)1H (Z), CH2NH), 7.28 (d, J = 7.9 Hz, 2H, PhH), 7.23 (t, J = 9.3 Hz, 2H, PhH), 3.69 (s, (0.6)2H (Z), CH2NH), 3.59 (s, (1.4)2H (E), CH2NH), 3.03–2.95 (m, (0.6)2H (Z), C=CCH2), 2.95–2.88 (m, (1.4)2H (E), C=CCH2), 2.49–2.41 (m, 2H, CH2COOH), 2.34 (s, 3H, CH3); 13C-NMR (101 MHz, DMSO-d6) δ (ppm): 198.24 (Z), 193.68 (E), 175.70 (E), 173.21 (E), 173.13 (Z), 171.65 (Z), 168.88 (Z), 168.50 (E), 137.90 (Z), 137.67 (E), 133.67 (E), 133.62 (Z), 130.52 (2 × C), 126.33 (2 × C (Z)), 126.11 (2 × C (E)), 97.83 (Z), 95.94 (E), 50.82 (E), 49.59 (Z), 32.09 (Z), 31.46 (E), 23.63 (E), 22.84 (Z), 21.05; EI-MS (m/z) 288.1 [M]+. Anal. Calcd. for C15H16N2O4: C, 62.49; H, 5.59; N, 9.72. Found: C, 62.63; H, 5.72; N, 9.63.
4-(2,4-Dioxopyrrolidin-3-ylidene)-4-((3-methoxyphenyl)amino)butanoic acid (4j). White solid (79.9%), m.p. 202.6 °C (decomp). IR (KBr, cm−1) ν: 3315, 3070, 2945, 1728, 1666, 1560, 1454, 1379, 1268, 1151, 1043, 869, 785; 1H-NMR (400 MHz, DMSO-d6) δ (ppm): 12.31 (s, 1H, COOH), 12.30 (s, (0.3)1H (Z), PhNH), 12.23 (s, (0.7)1H (E), PhNH), 7.91 (s, (0.7)1H (E), CH2NH), 7.51 (s, (0.3)1H (Z), CH2NH), 7.42–7.35 (m, 1H, PhH), 7.01–6.87 (m, 3H, PhH), 3.78 (s, 3H, CH3), 3.70 (s, (0.6)2H (Z), CH2NH), 3.60 (s, (1.4)2H (E), CH2NH), 3.06–3.00 (m, (0.6)2H (Z), C=CCH2), 3.00–2.93 (m, (1.4)2H (E), C=CCH2), 2.54–2.45 (m, 2H, CH2COOH); 13C-NMR (101 MHz, DMSO-d6) δ (ppm): 198.32 (Z), 193.78 (E), 175.60 (E), 173.25 (E), 173.17 (Z), 171.57 (Z), 168.72 (Z), 168.35 (E), 160.45 (E), 160.43 (Z), 137.48 (E), 137.39 (Z), 130.84, 118.48 (Z), 118.22 (E), 114.25 (Z), 114.03 (E), 111.97 (Z), 111.67 (E), 98.02 (Z), 96.15 (E), 55.87 (Z), 55.85 (E), 50.83 (E), 49.59 (Z), 32.17 (Z), 31.52 (E), 23.75 (E), 22.96 (Z); EI-MS (m/z) 304.1 [M]+. Anal. Calcd. for C15H16N2O5: C, 59.21; H, 5.30; N, 9.21. Found: C, 59.06; H, 5.18; N, 9.13.
4-(2,4-Dioxopyrrolidin-3-ylidene)-4-((3-(trifluoromethyl)phenyl)amino)butanoic acid (4k). White solid (69.8%), m.p. 215.9 °C (decomp). IR (KBr, cm−1) ν: 3300, 3070, 2941, 1719, 1681, 1569, 1431, 1322, 1254, 1116, 991, 797; 1H-NMR (400 MHz, DMSO-d6) δ (ppm): 12.31 (s, 1H, COOH), 12.29 (s, 1H, PhNH), 7.98 (s, (0.7)1H (E), CH2NH), 7.82–7.65 (m, 4H, PhH), 7.58 (s, (0.3)1H (Z), CH2NH), 3.72 (s, (0.6)2H (Z), CH2NH), 3.63 (s, (1.4)2H (E), CH2NH), 3.03–2.97 (m, (0.6)2H (Z), C=CCH2), 2.97–2.91 (m, (1.4)2H (E), C=CCH2), 2.55–2.44 (m, 2H, CH2COOH); 13C-NMR (101 MHz, DMSO-d6) δ (ppm): 198.40 (Z), 193.98 (E), 175.31 (E), 173.17 (E), 173.10 (Z), 171.38 (Z), 168.49 (Z), 168.26 (E), 137.45 (E), 137.41 (Z), 131.17 (E), 131.12 (Z), 130.92 (Z), 130.63 (q, JCF = 32.2 Hz), 130.55 (E), 124.55 (q, JCF = 3.6 Hz), 124.12 (q, JCF = 272.6 Hz), 123.23 (q, JCF = 3.7 Hz), 98.52 (Z), 96.76 (E), 50.86 (E), 49.63 (Z), 32.07 (Z), 31.40 (E), 23.67 (E), 22.95 (Z); EI-MS (m/z) 342.1 [M]+. Anal. Calcd. for C15H13F3N2O4: C, 52.64; H, 3.83; N, 8.18. Found: C, 52.48; H, 3.93; N, 8.04.
3.4. General Procedure for the Synthesis of Compounds 5
A mixture of compound 4 (4 mmol), EDCI (4.8 mmol) and DMAP (4.6 mmol) in dichloromethane (30 mL) was stirred at room temperature for 24 h. The resulting solid product was collected by filtration and recrystallized from MeOH to give the desired products 5.
1-Phenyl-1′,3,4,5′-tetrahydro-[2,3′-bipyrrolylidene]-2′,4′,5(1H)-trione (5a). White solid (71.4%), m.p. 257.5 °C (decomp). IR (KBr, cm−1) ν: 3199, 3063, 2899, 1752, 1713, 1667, 1556, 1453, 1353, 1289, 1106, 853, 758; 1H-NMR (400 MHz, DMSO-d6) δ (ppm): 7.92 (s, (0.65)1H (E), NH), 7.39 (s, (0.35)1H (Z), NH), 7.39–7.25 (m, 3H, PhH), 7.21–7.13 (m, 2H, PhH), 3.63 (s, (0.7)2H (Z), CH2NH), 3.53–3.47 (m, (1.3)2H (E), C=CCH2), 3.46–3.40 (m, (0.7)2H (Z), C=CCH2), 3.37 (s, (1.3)2H (E), CH2NH), 2.79–2.69 (m, 2H, C=OCH2); 13C-NMR (101 MHz, DMSO-d6) δ (ppm): 198.40 (Z), 191.32 (E), 179.28 (Z), 178.98 (E), 171.16 (E), 167.22 (Z), 166.75 (Z), 165.95 (E), 138.21 (Z), 137.90 (E), 128.53 (2 × C (E)), 128.42 (2 × C (Z)), 127.99 (E), 127.82 (Z), 126.91 (2 × C (Z)), 126.70 (2 × C (E)), 102.09 (Z), 101.49 (E), 51.15 (Z), 50.26 (E), 28.45 (Z), 27.63 (E), 27.52 (Z), 27.45 (E); EI-MS (m/z) 256.1 [M]+. Anal. Calcd. for C14H12N2O3: C, 65.62; H, 4.72; N, 10.93. Found: C, 65.50; H, 4.59; N, 11.08.
1-(4-Fluorophenyl)-1′,3,4,5′-tetrahydro-[2,3′-bipyrrolylidene]-2′,4′,5(1H)-trione (5b). White solid (63.4%), m.p. 252.4 °C (decomp). IR (KBr, cm−1) ν: 3168, 3056, 2920, 1768, 1712, 1651, 1566, 1454, 1359, 1292, 1141, 947, 768; 1H-NMR (400 MHz, DMSO-d6) δ (ppm): 7.91 (s, (0.8)1H (E), NH), 7.43 (s, (0.2)1H (Z), NH), 7.29–7.14 (m, 4H, PhH), 3.63 (s, (0.4)2H (Z), CH2NH), 3.54–3.46 (m, (1.6)2H (E), C=CCH2), 3.44–3.40 (m, (0.4)2H (Z), C=CCH2), 3.39 (s, (1.6)2H (E), CH2NH), 2.78–2.68 (m, 2H, C=OCH2); 13C-NMR (101 MHz, DMSO-d6) δ (ppm): 198.40 (Z), 191.62 (E), 179.31 (Z), 178.99 (E), 171.13 (E), 167.30 (Z), 166.82 (Z), 166.10 (E), 163.59 (d, JCF = 243.5 Hz), 134.55 (d, JCF = 3.2 Hz (Z)), 134.24 (d, JCF = 2.8 Hz (E)), 129.12 (d, JCF = 9.0 Hz, 2 × C (Z)), 128.97 (d, JCF = 8.9 Hz, 2 × C (E)), 115.34 (d, JCF = 23.0 Hz, 2 × C (E)), 115.25 (d, JCF = 22.9 Hz, 2 × C (Z)), 101.95 (Z), 101.37 (E), 51.12 (Z), 50.28 (E), 28.40 (Z), 27.50 (E), 27.41; EI-MS (m/z) 274.1 [M]+. Anal. Calcd. for C14H11FN2O3: C, 61.31; H, 4.04; N, 10.21. Found: C, 61.18; H, 4.18; N, 10.13.
1-(2-Chlorophenyl)-1′,3,4,5′-tetrahydro-[2,3′-bipyrrolylidene]-2′,4′,5(1H)-trione (5c). White solid (43.9%), m.p. 216.4 °C (decomp). IR (KBr, cm−1) ν: 3143, 3057, 2855, 1767, 1716, 1663, 1547, 1450, 1300, 1212, 1149, 966, 716; 1H-NMR (400 MHz, DMSO-d6) δ (ppm): 7.95 (s, (0.8)1H (E), NH), 7.53 (d, J = 7.9 Hz, 1H, PhH), 7.46 (s, (0.2)1H (Z), NH), 7.44–7.27 (m, 3H, PhH), 3.64 (s, (0.4)2H (Z), CH2NH), 3.62–3.45 (m, 2H, C=CCH2), 3.39 (s, (1.6)2H (E), CH2NH), 2.86–2.70 (m, 2H, C=OCH2); 13C-NMR (101 MHz, DMSO-d6) δ (ppm): 198.39 (Z), 192.00 (E), 178.53 (Z), 178.21 (E), 170.79 (E), 166.58 (Z), 165.70 (Z), 164.57 (E), 136.05 (Z), 135.71 (E), 131.96 (E), 131.92 (Z), 130.37 (E), 130.11 (Z), 129.54 (Z), 129.43 (E), 129.34, 127.52 (E), 127.43 (Z), 102.53 (Z), 101.88 (E), 51.09 (Z), 50.16 (E), 28.32 (Z), 27.37 (E), 27.12 (E), 27.00 (Z); EI-MS (m/z) 290.0 [M]+. Anal. Calcd. for C14H11ClN2O3: C, 57.84; H, 3.81; N, 9.64. Found: C, 57.99; H, 3.93; N, 9.53.
1-(3-Chlorophenyl)-1′,3,4,5′-tetrahydro-[2,3′-bipyrrolylidene]-2′,4′,5(1H)-trione (5d). White solid (73.1%), m.p. 244.8 °C (decomp). IR (KBr, cm−1) ν: 3368, 3082, 2917, 1758, 1717, 1666, 1560, 1446, 1373, 1299, 1135, 806, 765; 1H-NMR (400 MHz, DMSO-d6) δ (ppm): 7.98 (s, (0.8)1H (E), NH), 7.51 (s, (0.2)1H (Z), NH), 7.44–7.35 (m, 2H, PhH), 7.31 (d, J = 14.8 Hz, 1H, PhH), 7.19 (d, J = 3.5 Hz, 1H, PhH), 3.66 (s, (0.4)2H (Z), CH2NH), 3.53–3.47 (m, (1.6)2H (E), C=CCH2), 3.46–3.42 (m, (0.4)2H (Z), C=CCH2), 3.41 (s, (1.6)2H (E), CH2NH), 2.78–2.68 (m, 2H, C=OCH2); 13C-NMR (101 MHz, DMSO-d6) δ (ppm): 198.38 (Z), 191.76 (E), 179.08 (Z), 178.80 (E), 170.98 (E), 166.78 (Z), 166.64 (Z), 165.48 (E), 139.51 (Z), 139.19 (E), 132.62 (E), 132.48 (Z), 130.09 (E), 129.98 (Z), 128.10 (E), 127.92 (Z), 127.13 (Z), 127.00 (E), 126.04 (Z), 125.78 (E), 102.11 (Z), 101.57 (E), 51.13 (Z), 50.28 (E), 28.38 (Z), 27.56 (E), 27.45 (Z), 27.42 (E); EI-MS (m/z) 290.0 [M]+. Anal. Calcd. for C14H11ClN2O3: C, 57.84; H, 3.81; N, 9.64. Found: C, 57.72; H, 3.95; N, 9.55.
1-(4-Chlorophenyl)-1′,3,4,5′-tetrahydro-[2,3′-bipyrrolylidene]-2′,4′,5(1H)-trione (5e). White solid (61.3%), m.p. 255.1 °C (decomp). IR (KBr, cm−1) ν: 3201, 3059, 2920, 1761, 1719, 1666, 1548, 1459, 1296, 1181, 1017, 858, 768; 1H-NMR (400 MHz, DMSO-d6) δ (ppm): 7.94 (s, (0.65)1H (E), NH), 7.46 (s, (0.35)1H (Z), NH), 7.42 (t, J = 8.0 Hz, 2H, PhH), 7.26–7.17 (m, 2H, PhH), 3.64 (s, (0.7)2H (Z), CH2NH), 3.52–3.46 (m, (1.3)2H (E), C=CCH2), 3.45–3.40 (m, (0.7)2H (Z), C=CCH2), 3.40 (s, (1.3)2H (E), CH2NH), 2.78–2.68 (m, 2H, C=OCH2); 13C-NMR (101 MHz, DMSO-d6) δ (ppm): 198.35 (Z), 191.71 (E), 179.14 (Z), 178.85 (E), 171.01 (E), 166.95 (Z), 166.81 (Z), 165.77 (E), 137.17 (Z), 136.83 (E), 132.41 (E), 132.27 (Z), 128.87 (2 × C (Z)), 128.66 (2 × C (E)), 128.58 (2 × C (E)), 128.49 (2 × C (Z)), 102.07 (Z), 101.54 (E), 51.14 (Z), 50.29 (E), 28.41 (Z), 27.58 (E), 27.47 (Z), 27.44 (E); EI-MS (m/z) 290.0 [M]+. Anal. Calcd. for C14H11ClN2O3: C, 57.84; H, 3.81; N, 9.64. Found: C, 57.68; H, 3.94; N, 9.53.
1-(4-Bromophenyl)-1′,3,4,5′-tetrahydro-[2,3′-bipyrrolylidene]-2′,4′,5(1H)-trione (5f). White solid (51.6%), m.p. 252.5 °C (decomp). IR (KBr, cm−1) ν: 3207, 3061, 2846, 1759, 1713, 1666, 1550, 1488, 1287, 1135, 857, 703; 1H-NMR (400 MHz, DMSO-d6) δ (ppm): 7.95 (s, (0.8)1H (E), NH), 7.55 (t, J = 7.9 Hz, 2H, PhH), 7.48 (s, (0.2)1H (Z), NH), 7.15 (t, J = 9.5 Hz, 2H, PhH), 3.64 (s, (0.4)2H (Z), CH2NH), 3.53–3.45 (m, (1.6)2H (E), C=CCH2), 3.44–3.41 (m, (0.4)2H (Z), C=CCH2), 3.40 (s, (1.6)2H (E), CH2NH), 2.77–2.68 (m, 2H, C=OCH2); 13C-NMR (101 MHz, DMSO-d6) δ (ppm): 198.33 (Z), 191.72 (E), 179.10 (Z), 178.80 (E), 171.00 (E), 166.88 (Z), 166.81 (Z), 165.70 (E), 137.61 (Z), 137.26 (E), 131.51 (2 × C (E)), 131.43 (2 × C (Z)), 129.19 (2 × C (Z)), 128.97 (2 × C (E)), 120.94 (E), 120.80 (Z), 102.08 (Z), 101.56 (E), 51.15 (Z), 50.29 (E), 28.42 (Z), 27.60 (E), 27.49 (Z), 27.45 (E); EI-MS (m/z) 334.0 [M]+. Anal. Calcd. for C14H11BrN2O3: C, 50.17; H, 3.31; N, 8.36. Found: C, 50.07; H, 3.19; N, 8.44.
1-(o-Tolyl)-1′,3,4,5′-tetrahydro-[2,3′-bipyrrolylidene]-2′,4′,5(1H)-trione (5g). White solid (50.3%), m.p. 233.6 °C (decomp). IR (KBr, cm−1) ν: 3149, 3056, 2853, 1758, 1713, 1663, 1545, 1454, 1294, 1147, 964, 857, 779; 1H-NMR (400 MHz, DMSO-d6) δ (ppm): 7.90 (s, (0.6)1H (E), NH), 7.35 (s, (0.4)1H (Z), NH), 7.28–7.18 (m, 2H, PhH), 7.16–7.09 (m, 1H, PhH), 7.06–6.99 (m, 1H, PhH), 3.62 (s, (0.8)2H (Z), CH2NH), 3.60–3.42 (m, 2H, C=CCH2), 3.36 (s, (1.2)2H (E), CH2NH), 2.86–2.65 (m, 2H, 2H, C=OCH2), 2.07 (s, (1.8)3H (Z), CH3), 2.07 (s, (1.2)3H (E), CH3); 13C-NMR (101 MHz, DMSO-d6) δ (ppm): 198.37 (Z), 191.48 (E), 179.18 (Z), 178.85 (E), 171.09 (E), 167.31 (Z), 166.65 (Z), 166.19 (E), 137.72 (Z), 137.38 (E), 136.16 (Z), 136.07 (E), 130.32 (E), 130.21 (Z), 128.61 (E), 128.39 (Z), 126.82 (Z), 126.67 (E), 126.13 (E), 126.06 (Z), 102.21 (Z), 101.56 (E), 51.11 (Z), 50.18 (E), 28.59 (Z), 27.59 (E), 27.35 (E), 27.24 (Z), 18.20 (E), 18.19 (Z); EI-MS (m/z) 270.1 [M]+. Anal. Calcd. for C15H14N2O3: C, 66.66; H, 5.22; N, 10.36. Found: C, 66.86; H, 5.33; N, 10.24.
1-(m-Tolyl)-1′,3,4,5′-tetrahydro-[2,3′-bipyrrolylidene]-2′,4′,5(1H)-trione (5h). White solid (61.6%), m.p. 233.1 °C (decomp). IR (KBr, cm−1) ν: 3260, 3057, 2917, 1752, 1718, 1651, 1548, 1441, 1297, 1132, 810, 770; 1H-NMR (400 MHz, DMSO-d6) δ (ppm): 7.91 (s, (0.6)1H (E), NH), 7.36 (s, (0.4)1H (Z), NH), 7.26–7.19 (m, 1H, PhH), 7.11 (t, J = 8.1 Hz, 1H, PhH), 7.02–6.92 (m, 2H, PhH), 3.63 (s, (0.8)2H (Z), CH2NH), 3.51–3.47 (m, (1.2)2H (E), C=CCH2), 3.44–3.39 (m, (0.8)2H (Z), C=CCH2), 3.37 (s, (1.2)2H (E), CH2NH), 2.76–2.69 (m, 2H, C=OCH2), 2.29 (s, (1.8)3H (E), CH3), 2.29 (s, (1.2)3H (Z), CH3); 13C-NMR (101 MHz, DMSO-d6) δ (ppm): 198.42 (Z), 191.26 (E), 179.32 (Z), 178.99 (E), 171.19 (E), 167.22 (Z), 166.72 (Z), 165.95 (E), 138.11 (Z), 137.79 (E), 137.68 (E), 137.47 (Z), 128.68 (E), 128.56 (Z), 128.31 (E), 128.22 (Z), 127.33 (Z), 127.12 (E), 124.10 (Z), 123.85 (E), 102.08 (Z), 101.48 (E), 51.14 (Z), 50.25 (E), 28.44 (Z), 27.61 (E), 27.49 (Z), 27.44 (E), 21.39 (Z), 21.33 (E); EI-MS (m/z) 270.1 [M]+. Anal. Calcd. for C15H14N2O3: C, 66.66; H, 5.22; N, 10.36. Found: C, 66.48; H, 5.33; N, 10.51.
1-(p-Tolyl)-1′,3,4,5′-tetrahydro-[2,3′-bipyrrolylidene]-2′,4′,5(1H)-trione (5i). White solid (58.1%), m.p. 273.1 °C (decomp). IR (KBr, cm−1) ν: 3206, 3063, 2843, 1749, 1713, 1667, 1553, 1458, 1227, 1136, 963, 705; 1H-NMR (400 MHz, DMSO-d6) δ (ppm): 7.89 (s, (0.65)1H (E), NH), 7.35 (s, (0.35)1H (Z), NH), 7.14 (t, J = 7.9 Hz, 2H, PhH), 7.04 (t, J = 8.8 Hz, 2H, PhH), 3.62 (s, (0.7)2H (Z), CH2NH), 3.52–3.46 (m, (1.3)2H (E), C=CCH2), 3.44–3.39 (m, (0.7)2H (Z), C=CCH2), 3.37 (s, (1.3)2H (E), CH2NH), 2.77–2.68 (m, 2H, C=OCH2), 2.32 (s, 3H, CH3); 13C-NMR (101 MHz, DMSO-d6) δ (ppm): 198.35 (Z), 191.26 (E), 179.35 (Z), 179.04 (E), 171.19 (E), 167.46 (Z), 166.75 (Z), 166.20 (E), 137.14 (E), 136.94 (Z), 135.68 (Z), 135.40 (E), 129.03 (2 × C (E)), 128.95 (2 × C (Z)), 126.64 (2 × C (Z)), 126.44 (2 × C (E)), 102.02 (Z), 101.41 (E), 51.15 (Z), 50.26 (E), 28.43 (Z), 27.59 (E), 27.48 (Z), 27.43 (E), 21.27 (Z), 21.24 (E); EI-MS (m/z) 270.1 [M]+. Anal. Calcd. for C15H14N2O3: C, 66.66; H, 5.22; N, 10.36. Found: C, 66.78; H, 5.07; N, 10.49.
1-(3-Methoxyphenyl)-1′,3,4,5′-tetrahydro-[2,3′-bipyrrolylidene]-2′,4′,5(1H)-trione (5j). White solid (64.1%), m.p. 238.4 °C (decomp). IR (KBr, cm−1) ν: 3184, 3069, 2838, 1759, 1711, 1662, 1541, 1454, 1241, 1126, 1030, 804, 769; 1H-NMR (400 MHz, DMSO-d6) δ (ppm): 7.92 (s, (0.6)1H (E), NH), 7.39 (s, (0.4)1H (Z), NH), 7.29–7.20 (m, 1H, PhH), 6.92–6.84 (m, 1H, PhH), 6.79–6.72 (m, 2H, PhH), 3.72 (s, 3H, CH3), 3.63 (s, (0.8)2H (Z), CH2NH), 3.52–3.46 (m, (1.2)2H (E), C=CCH2), 3.44–3.39 (m, (0.8)2H (Z), C=CCH2), 3.38 (s, (1.2)2H (E), CH2NH), 2.77–2.68 (m, 2H, C=OCH2); 13C-NMR (101 MHz, DMSO-d6) δ (ppm): 198.41 (Z), 191.39 (E), 179.15 (Z), 178.86 (E), 171.17 (E), 167.06 (Z), 166.76 (Z), 165.75 (E), 159.40 (E), 159.35 (Z), 139.14 (Z), 138.86 (E), 129.20 (E), 129.10 (Z), 119.45 (Z), 119.27 (E), 113.63 (E), 113.26 (Z), 113.23 (Z), 112.82 (E), 102.15 (Z), 101.50 (E), 55.67 (E), 55.63 (Z), 51.15 (Z), 50.25 (E), 28.41 (Z), 27.59 (E), 27.50 (Z), 27.40 (E); EI-MS (m/z) 286.1 [M]+. Anal. Calcd. for C15H14N2O4: C, 62.93; H, 4.93; N, 9.79. Found: C, 62.82; H, 4.79; N, 9.64.
1-(3-(Trifluoromethyl)phenyl)-1′,3,4,5′-tetrahydro-[2,3′-bipyrrolylidene]-2′,4′,5(1H)-trione (5k). White solid (30.3%), m.p. 225.8 °C (decomp). IR (KBr, cm−1) ν: 3163, 3058, 2879, 1759, 1718, 1667, 1545, 1455, 1326, 1143, 1108, 859, 791; 1H-NMR (400 MHz, DMSO-d6) δ (ppm): 7.97 (s, (0.7)1H (E), NH), 7.69 (t, J = 10.2 Hz, 1H, PhH), 7.61 (t, J = 11.4 Hz, 2H, PhH), 7.51 (d, J = 7.8 Hz, 1H, PhH), 7.48 (s, (0.3)1H (Z), NH), 3.65 (s, (0.6)2H (Z), CH2NH), 3.54–3.50 (m, (1.4)2H (E), C=CCH2), 3.47–3.42 (m, (0.6)2H (Z), C=CCH2), 3.38 (s, (1.4)2H (E), CH2NH), 2.79–2.70 (m, 2H, C=OCH2); 13C-NMR (101 MHz, DMSO-d6) δ (ppm): 198.42 (Z), 191.87 (E), 179.23 (Z), 178.91 (E), 170.94 (E), 166.82 (Z), 166.70 (Z), 165.61 (E), 138.96 (Z), 138.62 (E), 131.34 (Z), 131.04 (E), 129.75 (E), 129.59 (Z), 129.28 (q, JCF = 32.0 Hz (E)), 129.16 (q, JCF = 32.0 Hz (Z)), 124.82 (q, JCF = 3.9 Hz (E)), 124.66 (q, JCF = 3.7 Hz (Z)), 124.46 (q, JCF = 272.3 Hz), 124.20 (q, JCF = 4.0 Hz (Z)), 124.02 (q, JCF = 4.1 Hz (E)), 102.00 (Z), 101.49 (E), 51.13 (Z), 50.24 (E), 28.83 (Z), 28.42 (E), 27.58 (Z), 27.47 (E); EI-MS (m/z) 324.1 [M]+. Anal. Calcd. for C15H11F3N2O3: C, 55.56; H, 3.42; N, 8.64. Found: C, 55.47; H, 3.52; N, 8.54.
3.5. General Procedure for the Synthesis of Compounds 6
The chloroformate (3.2 mmol) was added dropwise to a mixture of compound 5 (1.5 mmol) in Et3N (0.34 g, 3.4 mmol) and chloroform (25 mL) at 0 °C. The resulting mixture was stirred at 0 °C for 0.5–2 h. Then the mixture was washed with water, dried with Na2SO4, filtered and concentrated in vacuo. The desired products 6 were obtained by purification on a silica gel column with petroleum ether/ethyl acetate (v/v, 3:1).
1-(3-Chlorophenyl)-2′-oxo-2′,5′-dihydro-1H,1′H-[2,3′-bipyrrole]-4′,5-diyl dimethyl bis(carbonate) (6a). White solid (50.1%), m.p. 164.6–166.2 °C. IR (KBr, cm−1) ν: 3198, 3073, 2962, 2863, 1762, 1690, 1557, 1431, 1375, 1235, 928, 773; 1H-NMR (400 MHz, CDCl3) δ (ppm): 7.35–7.28 (m, 3H, PhH), 7.13–7.07 (m, 1H, PhH), 6.57 (d, J = 4.0 Hz, 1H, ArH), 6.39–6.22 (brs, 1H, NH), 6.10 (d, J = 4.0 Hz, 1H, ArH), 4.24 (s, 2H, CH2NH), 3.79 (s, 3H, CH3), 3.76 (s, 3H, CH3); 13C-NMR (101 MHz, CDCl3) δ (ppm): 171.40, 156.62, 152.73, 150.93, 138.32, 137.57, 134.31, 129.87, 127.67, 127.23, 125.22, 116.34, 111.49 (2 × C), 96.98, 55.94, 55.89, 45.38; EI-MS (m/z) 406.1 [M]+. Anal. Calcd. for C18H15ClN2O7: C, 53.15; H, 3.72; N, 6.89. Found: C, 53.02; H, 3.80; N, 6.81.
1-(3-Chlorophenyl)-2′-oxo-2′,5′-dihydro-1H,1′H-[2,3′-bipyrrole]-4′,5-diyl diethyl bis(carbonate) (6b). White solid (82.4%), m.p. 138.1–140.0 °C. IR (KBr, cm−1) ν: 3188, 3081, 2993, 2863, 1764, 1693, 1592, 1490, 1367, 1211, 881, 770; 1H-NMR (400 MHz, CDCl3) δ (ppm): 7.34 (s, 1H, PhH), 7.28 (dd, J = 3.9, 1.7 Hz, 2H, PhH), 7.14–7.08 (m, 1H, PhH), 6.75–6.35 (brs, 1H, NH), 6.55 (d, J = 4.0 Hz, 1H, ArH), 6.08 (d, J = 4.0 Hz, 1H, ArH), 4.24 (s, 2H, NHCH2), 4.18 (q, J = 7.1 Hz, 2H, OCH2), 4.14 (q, J = 7.1 Hz, 2H, OCH2), 1.32 (t, J = 7.1 Hz, 3H, CH3), 1.24 (t, J = 7.1 Hz, 3H, CH3); 13C-NMR (101 MHz, CDCl3) δ (ppm): 171.51, 156.87, 152.19, 150.27, 138.28, 137.69, 134.22, 129.84, 127.60, 127.07, 125.19, 116.42, 111.38, 111.30, 97.13, 65.74, 65.48, 45.46, 14.00, 13.94; EI-MS (m/z) 434.1 [M]+. Anal. Calcd. for C20H19ClN2O7: C, 55.24; H, 4.40; N, 6.44. Found: C, 55.34; H, 4.29; N, 6.33.
1-(3-Chlorophenyl)-2′-oxo-2′,5′-dihydro-1H,1′H-[2,3′-bipyrrole]-4′,5-diyl dipropyl bis(carbonate) (6c). White solid (69.3%), m.p. 102.0–103.0 °C. IR (KBr, cm−1) ν: 3221, 3076, 2970, 2877, 1765, 1695, 1567, 1477, 1204, 1022, 927, 771; 1H-NMR (400 MHz, CDCl3) δ (ppm): 7.34–7.31 (m, 1H, PhH), 7.28 (dd, J = 3.9, 1.9 Hz, 2H, PhH), 7.14–7.10 (m, 1H, PhH), 6.54 (d, J = 4.0 Hz, 1H, ArH), 6.42–6.19 (brs, 1H, NH), 6.07 (d, J = 4.0 Hz, 1H, ArH), 4.24 (s, 2H, NHCH2), 4.09 (t, J = 6.7 Hz, 2H, OCH2), 4.04 (t, J = 6.8 Hz, 2H, OCH2), 1.75–1.66 (m, 2H, CH2CH3), 1.66–1.57 (m, 2H, CH2CH3), 0.96 (t, J = 7.4 Hz, 3H, CH3), 0.89 (t, J = 7.4 Hz, 3H, CH3); 13C-NMR (101 MHz, CDCl3) δ (ppm): 171.51, 157.03, 152.37, 150.41, 138.29, 137.68, 134.22, 129.81, 127.61, 127.04, 125.19, 116.40, 111.36 (2 × C), 97.18, 71.21, 70.97, 45.48, 21.79, 21.72, 10.10, 9.97; EI-MS (m/z) 462.1 [M]+. Anal. Calcd. for C22H23ClN2O7: C, 57.09; H, 5.01; N, 6.05. Found: C, 57.21; H, 5.11; N, 6.23.
1-(3-Chlorophenyl)-2′-oxo-2′,5′-dihydro-1H,1′H-[2,3′-bipyrrole]-4′,5-diyl diisopropyl bis(carbonate) (6d). White solid (40.2%), m.p. 122.1–124.1 °C. IR (KBr, cm−1) ν: 3187, 3059, 2997, 2877, 1768, 1689, 1593, 1420, 1339, 1226, 1025, 904, 752; 1H-NMR (400 MHz, CDCl3) δ (ppm): 7.33 (s, 1H, PhH), 7.29–7.25 (m, 2H, PhH), 7.15–7.09 (m, 1H, PhH), 6.52 (d, J = 3.9 Hz, 1H, ArH), 6.39–6.11 (brs, 1H, NH), 6.06 (d, J = 4.0 Hz, 1H, ArH), 4.87–4.71 (m, 2H, 2 × OCH), 4.26 (s, 2H, CH2), 1.30 (d, J = 6.3 Hz, 6H, 2 × CH3), 1.21 (d, J = 6.3 Hz, 6H, 2 × CH3); 13C-NMR (101 MHz, CDCl3) δ (ppm): 171.47, 157.32, 151.79, 149.75, 138.23, 137.84, 134.16, 129.75, 127.56, 126.89, 125.08, 116.47, 111.22, 110.95, 97.28, 74.41, 73.90, 45.57, 21.46 (2 × C), 21.40 (2 × C); EI-MS (m/z) 462.1 [M]+. Anal. Calcd. for C22H23ClN2O7: C, 57.09; H, 5.01; N, 6.05. Found: C, 57.17; H, 5.15; N, 6.16.
Dibutyl (1-(3-chlorophenyl)-2′-oxo-2′,5′-dihydro-1H,1′H-[2,3′-bipyrrole]-4′,5-diyl) bis(carbonate) (6e). White solid (51.3%), m.p. 81.7–83.5 °C. IR (KBr, cm−1) ν: 3199, 3079, 2962, 2874, 1765, 1697, 1594, 1492, 1204, 1017, 906, 772; 1H-NMR (400 MHz, CDCl3) δ (ppm): 7.34–7.31 (m, 1H, PhH), 7.30–7.27 (m, 2H, PhH), 7.13–7.09 (m, 1H, PhH), 6.68–6.55 (brs, 1H, NH), 6.54 (d, J = 4.0 Hz, 1H, ArH), 6.07 (d, J = 4.0 Hz, 1H, ArH), 4.24 (s, 2H, NHCH2), 4.13 (t, J = 6.6 Hz, 2H, OCH2), 4.08 (t, J = 6.7 Hz, 2H, OCH2), 1.70–1.61 (m, 2H, OCH2CH2), 1.61–1.52 (m, 2H, OCH2CH2), 1.45–1.35 (m, 2H, CH2CH3), 1.34–1.25 (m, 2H, CH2CH3), 0.95 (t, J = 7.4 Hz, 3H, CH2CH3), 0.90 (t, J = 7.4 Hz, 3H, CH2CH3); 13C-NMR (101 MHz, CDCl3) δ (ppm): 171.43, 157.00, 152.37, 150.42, 138.29, 137.68, 134.22, 129.79, 127.59, 127.04, 125.20, 116.40, 111.37, 111.33, 97.19, 69.59, 69.30, 45.46, 30.40, 30.30, 18.83, 18.69, 13.63, 13.57; EI-MS (m/z) 490.2 [M]+. Anal. Calcd. for C24H27ClN2O7: C, 58.72; H, 5.54; N, 5.71. Found: C, 58.58; H, 5.71; N, 5.62.
1-(3-Chlorophenyl)-2′-oxo-2′,5′-dihydro-1H,1′H-[2,3′-bipyrrole]-4′,5-diyl diisobutyl bis(carbonate) (6f). White solid (75.3%), m.p. 104.8–106.0 °C. IR (KBr, cm−1) ν: 3188, 3073, 2966, 2876, 1769, 1689, 1560, 1473, 1368, 1206, 1032, 933, 747; 1H-NMR (400 MHz, CDCl3) δ (ppm): 7.33–7.31 (m, 1H, PhH), 7.28 (dd, J = 3.9, 1.9 Hz, 2H, PhH), 7.15–7.09 (m, 1H, PhH), 6.54 (d, J = 4.0 Hz, 1H, ArH), 6.42–6.17 (brs, 1H, NH), 6.07 (d, J = 4.0 Hz, 1H, ArH), 4.24 (s, 2H, NHCH2), 3.90 (d, J = 6.7 Hz, 2H, OCH2), 3.86 (d, J = 6.7 Hz, 2H, OCH2), 2.06–1.84 (m, 2H, 2 × CHCH3), 0.95 (d, J = 6.7 Hz, 6H, 2 × CH3), 0.87 (d, J = 6.7 Hz, 6H, 2 × CH3); 13C-NMR (101 MHz, CDCl3) δ (ppm): 171.38, 157.10, 152.45, 150.48, 138.29, 137.67, 134.22, 129.80, 127.61, 127.00, 125.19, 116.38, 111.41, 111.38, 97.24, 75.58, 75.33, 45.43, 27.66, 27.60, 18.82 (2 × C), 18.66 (2 × C); EI-MS (m/z) 490.2 [M]+. Anal. Calcd. for C24H27ClN2O7: C, 58.72; H, 5.54; N, 5.71. Found: C, 58.59; H, 5.39; N, 5.85.
Dibenzyl (1-(3-chlorophenyl)-2′-oxo-2′,5′-dihydro-1H,1′H-[2,3′-bipyrrole]-4′,5-diyl) bis(carbonate) (6g). White solid (30.7%), m.p. 132.2–135.0 °C. IR (KBr, cm−1) ν: 3186, 3074, 2877, 1767, 1688, 1560, 1496, 1318, 1204, 1033, 903, 772; 1H-NMR (400 MHz, CDCl3) δ (ppm): 7.42–7.31 (m, 9H, PhH), 7.25 (d, J = 6.4 Hz, 2H, PhH), 7.18 (d, J = 7.9 Hz, 1H, PhH), 7.11 (t, J = 7.9 Hz, 1H, PhH), 7.05 (d, J = 8.0 Hz, 1H, PhH), 6.52 (d, J = 4.0 Hz, 1H, ArH), 6.25–6.10 (brs, 1H, NH), 6.07 (d, J = 4.0 Hz, 1H, ArH), 5.12 (s, 2H, OCH2), 5.09 (s, 2H, OCH2), 4.22 (s, 2H, NHCH2); 13C-NMR (101 MHz, CDCl3) δ (ppm): 171.19, 156.88, 152.25, 150.27, 138.23, 137.50, 134.30, 134.21, 133.83, 129.80, 129.11, 128.81, 128.78 (2 × C), 128.67 (4 × C), 128.41 (2 × C), 127.69, 127.03, 125.15, 116.33, 111.46 (2 × C), 97.20, 71.12, 70.83, 45.43; EI-MS (m/z) 502.0 [M − 56]+. Anal. Calcd. for C30H23ClN2O7: C, 64.46; H, 4.15; N, 5.01. Found: C, 64.36; H, 4.04; N, 5.14.
Diisobutyl (2′-oxo-1-phenyl-2′,5′-dihydro-1H,1′H-[2,3′-bipyrrole]-4′,5-diyl) bis(carbonate) (6h). White solid (32.6%), m.p. 95.0–96.8 °C. IR (KBr, cm−1) ν: 3198, 3085, 2963, 2874, 1766, 1695, 1560, 1498, 1367, 1204, 1029, 922, 774; 1H-NMR (400 MHz, CDCl3) δ (ppm): 7.38–7.32 (m, 2H, PhH), 7.30 (d, J = 7.0 Hz, 1H, PhH), 7.25 (d, J = 8.7 Hz, 2H, PhH), 6.53 (d, J = 4.0 Hz, 1H, ArH), 6.35–6.10 (brs, 1H, NH), 6.07 (d, J = 4.0 Hz, 1H, ArH), 4.21 (s, 2H, NHCH2), 3.86 (d, J = 6.7 Hz, 2H, OCH2), 3.81 (d, J = 6.6 Hz, 2H, OCH2), 2.01–1.82 (m, 2H, 2 × CHCH3), 0.96 (d, J = 6.7 Hz, 6H, 2 × CH3), 0.84 (d, J = 6.7 Hz, 6H, 2 × CH3); 13C-NMR (101 MHz, CDCl3) δ (ppm): 171.74, 156.97, 152.53, 150.46, 138.34, 136.49, 128.77 (2 × C), 127.35, 126.86 (2 × C), 116.32, 111.73, 110.91, 96.91, 75.30, 75.15, 45.43, 27.61, 27.58, 18.84 (2 × C), 18.67 (2 × C); EI-MS (m/z) 456.2 [M]+. Anal. Calcd. for C24H28N2O7: C, 63.15; H, 6.18; N, 6.14. Found: C, 63.04; H, 6.07; N, 6.26.
1-(4-Fluorophenyl)-2′-oxo-2′,5′-dihydro-1H,1′H-[2,3′-bipyrrole]-4′,5-diyl diisobutyl bis(carbonate) (6i). White solid (48.6%), m.p. 93.9–95.1 °C. IR (KBr, cm−1) ν: 3208, 3079, 2964, 2874, 1767, 1690, 1509, 1466, 1370, 1205, 1099, 842, 775; 1H-NMR (400 MHz, CDCl3) δ (ppm): 7.25 (dd, J = 8.5, 4.9 Hz, 2H, PhH), 7.03 (t, J = 8.4 Hz, 2H, PhH), 6.50 (d, J = 3.7 Hz, 1H, ArH), 6.27–6.19 (brs, 1H, NH), 6.06 (d, J = 3.8 Hz, 1H, ArH), 4.22 (s, 2H, NHCH2), 3.87 (t, J = 6.9 Hz, 4H, 2 × OCH2), 2.02–1.82 (m, 2H, 2 × CHCH3), 0.96 (d, J = 6.7 Hz, 6H, 6H, 2 × CH3), 0.86 (d, J = 6.7 Hz, 6H, 6H, 2 × CH3); 13C-NMR (101 MHz, CDCl3) δ (ppm): 171.48, 161.69 (d, JC-F = 247.3 Hz), 157.32, 152.50, 150.52, 138.38, 132.50 (d, JC-F = 2.9 Hz), 128.76 (d, JC-F = 8.6 Hz, 2 × C), 116.40, 115.66 (d, JC-F = 22.8 Hz, 2 × C), 111.65, 110.96, 96.91, 75.47, 75.24, 45.48, 27.63, 27.62, 18.81 (2 × C), 18.64 (2 × C); EI-MS (m/z) 474.2 [M]+. Anal. Calcd. for C24H27FN2O7: C, 60.75; H, 5.74; N, 5.90. Found: C, 60.83; H, 5.60; N, 5.78.
1-(2-Chlorophenyl)-2′-oxo-2′,5′-dihydro-1H,1′H-[2,3′-bipyrrole]-4′,5-diyl diisobutyl bis(carbonate) (6j). White solid (46.2%), m.p. 107.2–109.1 °C. IR (KBr, cm−1) ν: 3204, 3082, 2966, 2872, 1769, 1694, 1559, 1491, 1370, 1208, 990, 765; 1H-NMR (400 MHz, CDCl3) δ (ppm): 7.44 (d, J = 8.0 Hz, 1H, PhH), 7.34–7.21 (m, 3H, PhH), 6.57 (d, J = 4.0 Hz, 1H, ArH), 6.23–6.14 (brs, 1H, NH), 6.12 (d, J = 4.0 Hz, 1H, ArH), 4.21 (s, 2H, CH2NH), 3.90 (dd, J = 6.8, 1.2 Hz, 2H, OCH2), 3.86 (dd, J = 6.6, 2.7 Hz, 2H, OCH2), 2.03–1.84 (m, 2H, 2 × CHCH3), 0.98 (d, J = 6.7 Hz, 6H, 2 × CH3), 0.85 (d, J = 6.7 Hz, 6H, 2 × CH3); 13C-NMR (101 MHz, CDCl3) δ (ppm): 171.47, 157.21, 152.19, 150.60, 138.46, 134.22, 133.25, 130.33, 130.08, 129.32, 126.95, 116.48, 111.29, 111.10, 96.82, 75.44, 75.14, 45.36, 27.64, 27.61, 18.86 (2 × C), 18.67 (2 × C); EI-MS (m/z) 490.2 [M]+. Anal. Calcd. for C24H27ClN2O7: C, 58.72; H, 5.54; N, 5.71. Found: C, 58.85; H, 5.66; N, 5.81.
1-(4-Chlorophenyl)-2′-oxo-2′,5′-dihydro-1H,1′H-[2,3′-bipyrrole]-4′,5-diyl diisobutyl bis(carbonate) (6k). White solid (59.2%), m.p. 123.7–125.1 °C. IR (KBr, cm−1) ν: 3223, 3079, 2964, 2874, 1767, 1685, 1560, 1494, 1204, 1091, 831, 776; 1H-NMR (400 MHz, CDCl3) δ (ppm): 7.32 (d, J = 8.7 Hz, 2H, PhH), 7.21 (d, J = 8.7 Hz, 2H, PhH), 6.53 (d, J = 4.0 Hz, 1H, ArH), 6.42–6.23 (brs, 1H, NH), 6.07 (d, J = 4.0 Hz, 1H, ArH), 4.24 (s, 2H, NHCH2), 3.89 (d, J = 6.7 Hz, 2H, OCH2), 3.86 (d, J = 6.6 Hz, 2H, OCH2), 2.02–1.83 (m, 2H, 2 × CHCH3), 0.96 (d, J = 6.7 Hz, 6H, 2 × CH3), 0.86 (d, J = 6.7 Hz, 6H, 2 × CH3); 13C-NMR (101 MHz, CDCl3) δ (ppm): 171.42, 157.05, 152.42, 150.50, 138.28, 135.14, 133.22, 129.01 (2 × C), 128.14 (2 × C), 116.35, 111.55, 111.28, 97.08, 75.50, 75.28, 45.45, 27.64, 27.61, 18.80 (2 × C), 18.63 (2 × C); EI-MS (m/z) 490.2 [M]+. Anal. Calcd. for C24H27ClN2O7: C, 58.72; H, 5.54; N, 5.71. Found: C, 58.56; H, 5.39; N, 5.79.
1-(4-bromophenyl)-2′-oxo-2′,5′-dihydro-1H,1′H-[2,3′-bipyrrole]-4′,5-diyl diisobutyl bis(carbonate) (6l). White solid (60.0%), m.p. 126.7–128.7 °C. IR (KBr, cm−1) ν: 3233, 3073, 2964, 2869, 1768, 1685, 1560, 1491, 1371, 1211, 994, 775; 1H-NMR (400 MHz, CDCl3) δ (ppm): 7.47 (d, J = 8.7 Hz, 2H, PhH), 7.15 (d, J = 8.7 Hz, 2H, PhH), 6.60–6.44 (brs, 1H, NH), 6.54 (d, J = 4.0 Hz, 1H, ArH), 6.07 (d, J = 4.0 Hz, 1H, ArH), 4.24 (s, 2H, NHCH2), 3.89 (d, J = 6.7 Hz, 2H, OCH2), 3.86 (d, J = 6.6 Hz, 2H, OCH2), 2.01–1.92 (m, 1H, CHCH3), 1.91–1.83 (m, 1H, CHCH3), 0.97 (d, J = 6.7 Hz, 6H, 2 × CH3), 0.87 (d, J = 6.7 Hz, 6H, 2 × CH3); 13C-NMR (101 MHz, CDCl3) δ (ppm): 171.45, 156.94, 152.41, 150.49, 138.21, 135.65, 132.02 (2 × C), 128.42 (2 × C), 121.19, 116.31, 111.47, 111.35, 97.14, 75.53, 75.29, 45.47, 27.64, 27.62, 18.83 (2 × C), 18.64 (2 × C); EI-MS (m/z) 534.1 [M]+. Anal. Calcd. for C24H27BrN2O7: C, 53.84; H, 5.08; N, 5.23. Found: C, 53.71; H, 4.97; N, 5.12.
Diisobutyl (2′-oxo-1-(o-tolyl)-2′,5′-dihydro-1H,1′H-[2,3′-bipyrrole]-4′,5-diyl) bis(carbonate) (6m). White solid (66.6%), m.p. 91.3–92.9 °C. IR (KBr, cm−1) ν: 3204, 3085, 2965, 2874, 1770, 1693, 1553, 1496, 1376, 1208, 989, 770; 1H-NMR (400 MHz, CDCl3) δ (ppm): 7.25–7.10 (m, 4H, PhH), 6.70–6.54 (brs, 1H, NH), 6.52 (d, J = 4.0 Hz, 1H, ArH), 6.08 (d, J = 4.0 Hz, 1H, ArH), 4.18 (s, 2H, NHCH2), 3.87–3.80 (m, 4H, 2 × OCH2), 2.10 (s, 3H, PhCH3), 2.04–1.92 (m, 1H, CHCH3), 1.88–1.76 (m, 1H, CHCH3), 0.98 (d, J = 6.7 Hz, 6H, 2 × CHCH3), 0.80 (d, J = 6.7 Hz, 6H, 2 × CHCH3); 13C-NMR (101 MHz, CDCl3) δ (ppm): 171.74, 157.27, 152.45, 150.54, 138.36, 136.90, 135.24, 130.56, 128.89, 128.28, 125.92, 116.48, 111.53, 110.47, 96.57, 75.35, 75.00, 45.35, 27.63, 27.57, 18.88, 18.87, 18.62 (2 × C), 17.55; EI-MS (m/z) 470.2 [M]+. Anal. Calcd. for C25H30N2O7: C, 63.82; H, 6.43; N, 5.95. Found: C, 63.65; H, 6.31; N, 5.83.
Diisobutyl (2′-oxo-1-(m-tolyl)-2′,5′-dihydro-1H,1′H-[2,3′-bipyrrole]-4′,5-diyl) bis(carbonate) (6n). White solid (59.7%), m.p. 82.4–84.0 °C. IR (KBr, cm−1) ν: 3185, 3079, 2967, 2874, 1767, 1689, 1560, 1492, 1369, 1208, 1033, 933, 744; 1H-NMR (400 MHz, CDCl3) δ (ppm): 7.21 (dd, J = 10.9, 5.3 Hz, 1H, PhH), 7.07 (dd, J = 15.2, 6.8 Hz, 3H, PhH), 6.52 (d, J = 4.0 Hz, 1H, ArH), 6.46–6.27 (brs, 1H, NH), 6.05 (d, J = 4.0 Hz, 1H, ArH), 4.21 (s, 2H, NHCH2), 3.88 (d, J = 6.7 Hz, 2H, OCH2), 3.81 (d, J = 6.7 Hz, 2H, OCH2), 2.32 (s, 3H, PhCH3), 2.00–1.81 (m, 2H, 2 × CHCH3), 0.95 (d, J = 6.7 Hz, 6H, 2 × CHCH3), 0.85 (d, J = 6.7 Hz, 6H, 2 × CHCH3); 13C-NMR (101 MHz, CDCl3) δ (ppm): 171.76, 156.83, 152.58, 150.51, 138.66, 138.33, 136.37, 128.51, 128.08, 127.25, 123.83, 116.30, 111.86, 110.87, 96.86, 75.32, 75.12, 45.37, 27.64, 27.60, 21.29, 18.83 (2 × C), 18.66 (2 × C); EI-MS (m/z) 470.2 [M]+. Anal. Calcd. for C25H30N2O7: C, 63.82; H, 6.43; N, 5.95. Found: C, 64.02; H, 6.55; N, 6.10.
Diisobutyl (2′-oxo-1-(p-tolyl)-2′,5′-dihydro-1H,1′H-[2,3′-bipyrrole]-4′,5-diyl) bis(carbonate) (6o). White solid (40.2%), m.p. 94.7–96.6 °C. IR (KBr, cm−1) ν: 3204, 3082, 2964, 2874, 1766, 1689, 1516, 1469, 1369, 1212, 1107, 995, 774; 1H-NMR (400 MHz, CDCl3) δ (ppm): 7.12 (s, 4H, PhH), 6.72–6.55 (brs, 1H, NH), 6.49 (d, J = 4.0 Hz, 1H, ArH), 6.04 (d, J = 4.0 Hz, 1H, ArH), 4.21 (s, 2H, NHCH2), 3.87 (d, J = 6.7 Hz, 2H, OCH2), 3.81 (d, J = 6.6 Hz, 2H, OCH2), 2.34 (s, 3H, PhCH3), 2.01–1.81 (m, 2H, 2 × CHCH3), 0.96 (d, J = 6.7 Hz, 6H, 2 × CHCH3), 0.85 (d, J = 6.7 Hz, 6H, 2 × CHCH3); 13C-NMR (101 MHz, CDCl3) δ (ppm): 171.79, 157.01, 152.57, 150.52, 138.38, 137.10, 133.89, 129.36 (2 × C), 126.63 (2 × C), 116.31, 111.89, 110.68, 96.72, 75.26, 75.10, 45.42, 27.62, 27.60, 21.12, 18.82 (2 × C), 18.65 (2 × C); EI-MS (m/z) 470.2 [M]+. Anal. Calcd. for C25H30N2O7: C, 63.82; H, 6.43; N, 5.95. Found: C, 64.00; H, 6.32; N, 6.11.
Diisobutyl (1-(3-methoxyphenyl)-2′-oxo-2′,5′-dihydro-1H,1′H-[2,3′-bipyrrole]-4′,5-diyl) bis(carbonate) (6p). White solid (61.2%), m.p. 102.5–103.8 °C. IR (KBr, cm−1) ν: 3204, 3068, 2964, 2872, 1766, 1686, 1560, 1494, 1369, 1206, 1030, 937, 784; 1H-NMR (400 MHz, CDCl3) δ (ppm): 7.23 (t, J = 8.0 Hz, 1H, PhH), 6.83 (d, J = 8.0 Hz, 3H, PhH), 6.53 (d, J = 4.0 Hz, 1H, ArH), 6.45–6.32 (brs, 1H, NH), 6.06 (d, J = 4.0 Hz, 1H, ArH), 4.22 (s, 2H, NHCH2), 3.88 (d, J = 6.7 Hz, 2H, OCH2), 3.81 (d, J = 6.7 Hz, 2H, OCH2), 3.76 (s, 3H, PhOCH3), 1.99–1.82 (m, 2H, 2 × CHCH3), 0.94 (d, J = 6.7 Hz, 6H, 2 × CHCH3), 0.86 (d, J = 6.7 Hz, 6H, 2 × CHCH3); 13C-NMR (101 MHz, CDCl3) δ (ppm): 171.69, 159.77, 156.95, 152.57, 150.54, 138.31, 137.52, 129.42, 119.00, 116.34, 113.57, 112.09, 111.90, 111.00, 96.97, 75.38, 75.17, 55.35, 45.39, 27.64, 27.56, 18.81 (2 × C), 18.67 (2 × C); EI-MS (m/z) 486.2 [M]+. Anal. Calcd. for C25H30N2O8: C, 61.72; H, 6.22; N, 5.76. Found: C, 61.53; H, 6.32; N, 5.91.
Diisobutyl (2′-oxo-1-(3-(trifluoromethyl)phenyl)-2′,5′-dihydro-1H,1′H-[2,3′-bipyrrole]-4′,5-diyl) bis(carbonate) (6q). White solid (76.7%), m.p. 81.4–83.5 °C. IR (KBr, cm−1) ν: 3190, 3078, 2970, 2878, 1770, 1690, 1546, 1496, 1335, 1209, 1125, 932, 750; 1H-NMR (400 MHz, CDCl3) δ (ppm): 7.61–7.54 (m, 2H, PhH), 7.47 (d, J = 7.7 Hz, 1H, PhH), 7.44 (s, 1H, PhH), 6.54 (d, J = 4.0 Hz, 1H, ArH), 6.47–6.32 (brs, 1H, NH), 6.10 (d, J = 4.0 Hz, 1H, ArH), 4.23 (s, 2H, NHCH2), 3.89 (d, J = 6.7 Hz, 2H, OCH2), 3.84 (d, J = 6.8 Hz, 2H, OCH2), 2.00–1.81 (m, 2H, 2 × CHCH3), 0.93 (d, J = 6.7 Hz, 6H, 2 × CHCH3), 0.85 (d, J = 6.7 Hz, 6H, 2 × CHCH3); 13C-NMR (101 MHz, CDCl3) δ (ppm): 13C-NMR (101 MHz, CDCl3) δ (ppm): 171.24, 157.53, 152.38, 150.45, 138.24, 137.16, 131.31 (q, JCF = 32.9 Hz), 130.16, 129.47, 124.06 (q, JCF = 3.7 Hz), 123.72 (q, JCF = 3.9 Hz), 123.59 (q, JCF = 272.5 Hz), 116.27, 111.51, 111.38, 97.32, 75.56, 75.36, 45.46, 27.62, 27.52, 18.72 (2 × C), 18.58 (2 × C); EI-MS (m/z) 524.2 [M]+. Anal. Calcd. for C25H27F3N2O7: C, 57.25; H, 5.19; N, 5.34. Found: C, 57.11; H, 5.31; N, 5.18.
3.6. Antifungal Activity Test
Compounds 4–6 were screened in vitro for antifungal activity against the phytopathogenic fungi F. graminearum, B. cinerea, and R. solani with the mycelium growth rate method according the reported procedure [27]. Drazoxolon was co-tested as positive control. Every tested compound was dissolved in 0.5 mL DMSO and mixed with PSA (potato sucrose agar) medium (45 mL). The final concentration was 100 μg/mL. Meanwhile, 0.5 mL DMSO in 45 mL PSA medium was used as the control experiment. The medium was poured into three 9 cm petri plates uniformly, cooled, and solidified. The fungi were inoculated to the center of the medium. Then the treatments were cultured at 25 ± 1 °C for 3–5 days in the dark. The diameters of the fungal colonies were measured to calculate the growth inhibition rate when the Petri dishes had been covered two-thirds by the fungal colonies in the control treatment.
4. Conclusions
In this paper, a convenient synthesis of novel bioactive heterocycle compounds, phenylpyrrol-substituted tetramic acid derivatives bearing carbonates, was reported. The structures were well supported by spectroscopic data and single crystal X-ray diffraction analysis. The antifungal activity test indicated that these compounds showed obvious antifungal activities.
Supplementary Materials
Supplementary materials can be accessed at: http://www.mdpi.com/1420-3049/21/3/355/s1.
Acknowledgments
The authors gratefully acknowledge the financial support of the National Natural Science Foundation of China (No. 31171889) and the fund for independent innovation of agricultural sciences in Jiangsu Province of China (No. CX(15)1001).
Author Contributions
C.-L.Y. conceived and designed the experiments; W.-Q.X. performed the experiments; W.-Q.X., M.C. and K.-Y.W. analyzed the data; A.-M.L. contributed reagents/materials/analysis tools. C.-L.Y. and W.-Q.X. wrote the paper.
Conflicts of Interest
The authors declare no conflict of interest.
References
- Mo, X.H.; Li, Q.L.; Ju, J.H. Naturally occurring tetramic acid products: Isolation, structure elucidation and biological activity. RSC Adv. 2014, 4, 50566–50593. [Google Scholar] [CrossRef]
- Riley, R.T.; Showker, J.L. The mechanism of patulin’s cytotoxicity and the antioxidant activity of indole tetramic acids. Toxicol. Appl. Pharmacol. 1991, 109, 108–126. [Google Scholar] [CrossRef]
- Zhu, Y.-Q.; Yao, C.-S.; Zou, X.-M.; Hu, F.-Z.; Liu, B.; Li, Y.-H.; Yang, H.-Z. The Synthesis and herbicidal activity of 1-alkyl-3-(α-hydroxysubstituted benzylidene)pyrrolidine-2,4-diones. Molecules 2005, 10, 427–434. [Google Scholar] [CrossRef] [PubMed]
- Graupner, P.R.; Carr, A.; Clancy, E.; Gilbert, J.; Bailey, K.L.; Derby, J.-A.; Gerwick, B.C. The macrocidins: Novel cyclic tetramic acids with herbicidal activity produced by Phoma macrostoma. J. Nat. Prod. 2003, 66, 1558–1561. [Google Scholar] [CrossRef] [PubMed]
- Zhao, H.P.; Cui, Z.P.; Gu, Y.C.; Liu, Y.X.; Wang, Q.M. The phytotoxicity of natural tetramic acid derivatives. Pest Manag. Sci. 2011, 67, 1059–1061. [Google Scholar] [CrossRef] [PubMed]
- Chen, S.G.; Yin, C.Y.; Dai, X.B.; Qiang, S.; Xu, X.M. Action of tenuazonic acid, a natural phytotoxin, on photosystem II of spinach. Environ. Exp. Bot. 2008, 62, 279–289. [Google Scholar] [CrossRef]
- Marfori, E.C.; Kajiyama, S.; Fukusaki, E.-I.; Kobayashi, A. Phytotoxicity of the tetramic acid metabolite trichosetin. Phytochemistry 2003, 62, 715–721. [Google Scholar] [CrossRef]
- Yang, S.-W.; Mierzwa, R.; Terracciano, J.; Patel, M.; Gullo, V.; Wagner, N.; Baroudy, B.; Puar, M.; Chan, T.-M.; Chu, M. Sch 213766, a novel chemokine receptor CCR-5 inhibitor from Chaetomium globosum. J. Antibiot. 2007, 60, 524–528. [Google Scholar] [CrossRef] [PubMed]
- Singh, S.B.; Zink, D.L.; Heimbach, B.; Genilloud, O.; Teran, A.; Silverman, K.C.; Lingham, R.B.; Felock, P.; Hazuda, D.J. Structure, stereochemistry, and biological activity of integramycin, a novel hexacyclic natural product produced by Actinoplanes sp. that inhibits HIV-1 integrase. Org. Lett. 2002, 4, 1123–1126. [Google Scholar] [CrossRef] [PubMed]
- Antony, M.; Gupta, K.P.; Janardanan, K.K.; Mehrotra, N.K. Inhibition of mouse skin tumor promotion by tenuazonic acid. Cancer Lett. 1991, 61, 21–25. [Google Scholar] [CrossRef]
- Biersack, B.; Diestel, R.; Jagusch, C.; Rapp, G.; Sasse, F.; Schobert, R. First syntheses of melophlins P, Q, and R, and effects of melophlins on the growth of microorganisms and tumor cells. Chem. Biodivers. 2008, 5, 2423–2430. [Google Scholar] [CrossRef] [PubMed]
- Hagmann, L.; Jüttner, F. Fischerellin A, a novel photosystem-II-inhibiting allelochemical of the cyanobacterium Fischerella muscicola with antifungal and herbicidal activity. Tetrahedron Lett. 1996, 37, 6539–6542. [Google Scholar] [CrossRef]
- Evans, K.A.; Chai, D.; Graybill, T.L.; Burton, G.; Sarisky, R.T.; Lin-Goerke, J.; Johnston, V.K.; Rivero, R.A. An efficient, asymmetric solid-phase synthesis of benzothiadiazine-substituted tetramic acids: Potent inhibitors of the hepatitis C virus RNA-dependent RNA polymerase. Bioorg. Med. Chem. Lett. 2006, 16, 2205–2208. [Google Scholar] [CrossRef] [PubMed]
- Kasettrathat, C.; Ngamrojanavanich, N.; Wiyakrutta, S.; Mahidol, C.; Ruchirawat, S.; Kittakoop, P. Cytotoxic and antiplasmodial substances from marine-derived fungi, Nodulisporium sp. and CRI247–01. Phytochemistry 2008, 69, 2621–2626. [Google Scholar] [CrossRef] [PubMed]
- Wakimoto, T.; Mori, T.; Morita, H.; Abe, I. Cytotoxic tetramic acid derivative produced by a plant type-III polyketide synthase. J. Am. Chem. Soc. 2011, 133, 4746–4749. [Google Scholar] [CrossRef] [PubMed]
- Nyfeler, R. 3-Phenyl-4-cyanopyrrole Derivatives, Process for Their Preparation and Their Use as Microbicides. Patent EP0,130,149A1, 2 January 1985. [Google Scholar]
- Nyfeler, R.; Ehrenfreund, J. Difluorbenzodioxyl Cyanopyrrole Microbicidal Compositions. U.S. Patent 4,705,800, 10 November 1987. [Google Scholar]
- Herman, R.A.; Kukel, C.F. Method of and Bait Compositions for Controlling Mollusks. U.S. Patent 4,929,634, 29 May 1990. [Google Scholar]
- Zhao, Y.; Mao, C.H.; Li, Y.Q.; Zhang, P.X.; Huang, Z.Q.; Bi, F.C.; Huang, R.Q.; Wang, Q.M. Synthesis, crystal structure and insecticidal activity of novel N-alkyloxyoxalyl derivatives of 2-arylpyrrole. J. Agric. Food Chem. 2008, 56, 7326–7332. [Google Scholar] [CrossRef] [PubMed]
- Tsang, T.H. 2-Benzoyl Pyrrole and Benzoyl Imidazole Herbicides. U.S. Patent 5,512,537, 30 April 1996. [Google Scholar]
- Jeong, Y.-C.; Moloney, M.G. Tetramic acids as scaffolds: Synthesis, tautomeric and antibacterial behaviour. Synlett 2009, 15, 2487–2491. [Google Scholar]
- Fitch, D.M.; Evans, K.A.; Chai, D.; Duffy, K.J. A highly efficient, asymmetric synthesis of benzothiadiazine-substituted tetramic acids: Potent inhibitors of hepatitis C virus RNA-dependent RNA polymerase. Org. Lett. 2005, 7, 5521–5524. [Google Scholar] [CrossRef] [PubMed]
- Mawer, I.M.; Kulagowski, J.J.; Leeson, P.D.; Grimwood, S.; Marshall, G.R. Tetramic acids as novel glycine site antagonists. Bioorg. Med. Chem. Lett. 1995, 5, 2643–2648. [Google Scholar] [CrossRef]
- Arulmani, R.; Sankaran, K.R. Synthesis, spectral, SHG efficiency and computational studies of some newly synthesized unsymmetrical azines of 4-biphenylcarboxaldehyde. Spectrochim. Acta A 2014, 129, 491–498. [Google Scholar] [CrossRef] [PubMed]
- Sheldrick, G.M. SHELXS-97, Program for Crystal Structure Solution; University of Göttingen: Göttingen, Germany, 1997. [Google Scholar]
- Sheldrick, G.M. SHELXL-97, Program for Crystal Structure Refinement; University of Göttingen: Göttingen, Germany, 1997. [Google Scholar]
- Wang, X.F.; Si, T.F.; Li, Q.B.; Zhu, Z.Y.; Zhu, X.J.; Qiang, S.; Yang, C.L. Synthesis, characterization and biological activity of novel (5-RS,6-S)-5-sec-butyl-3-(1-substituted-amino)ethylidene-1H-pyrrolidine-2,4-diones. ARKIVOC 2010, 2010, 31–48. [Google Scholar]
- Sample Availability: Samples of the compounds are available from the authors.
© 2016 by the authors. Licensee MDPI, Basel, Switzerland. This article is an open access article distributed under the terms and conditions of the Creative Commons by Attribution (CC-BY) license ( http://creativecommons.org/licenses/by/4.0/).





