New Sesquiterpenoids and Anti-Platelet Aggregation Constituents from the Rhizomes of Curcuma zedoaria
Abstract
:1. Introduction
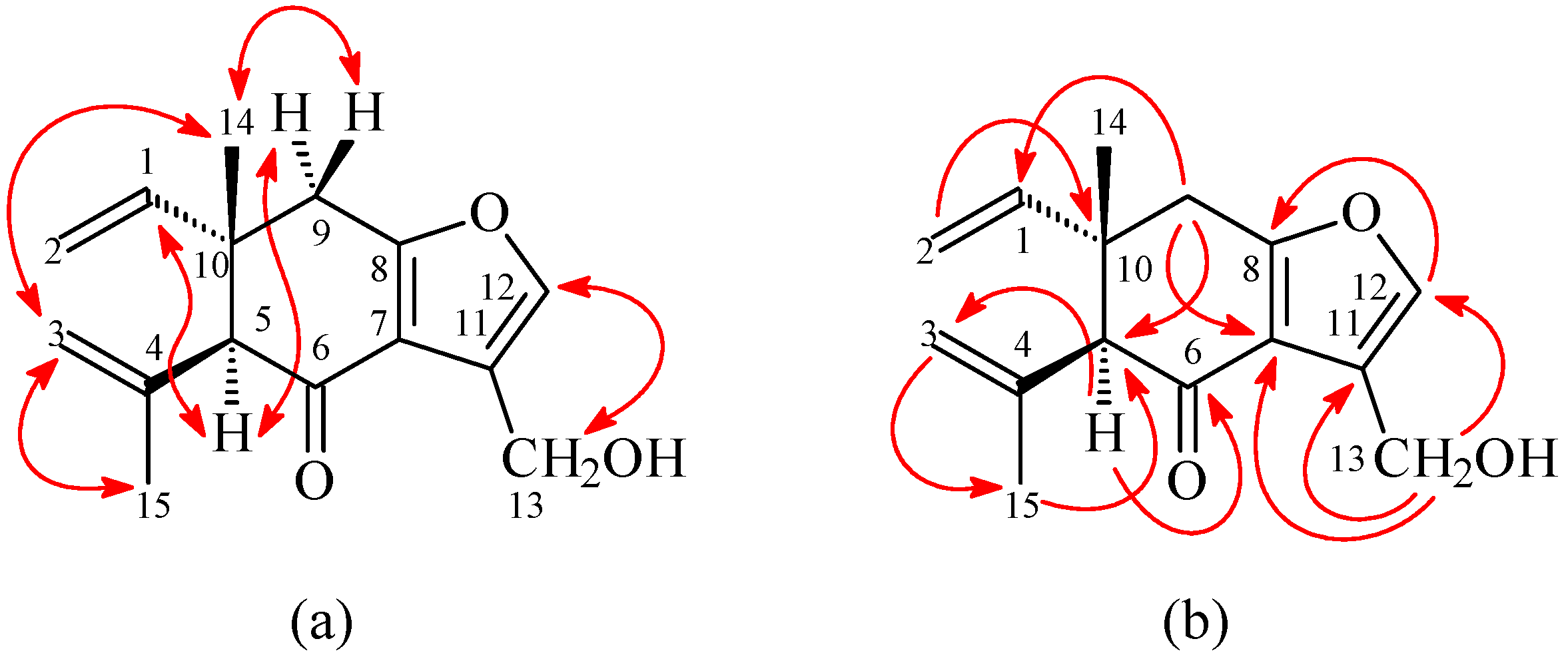
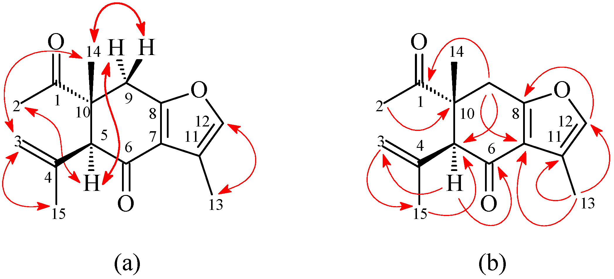
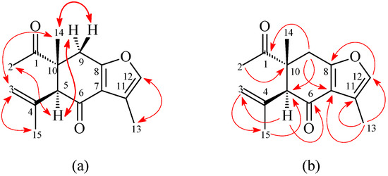
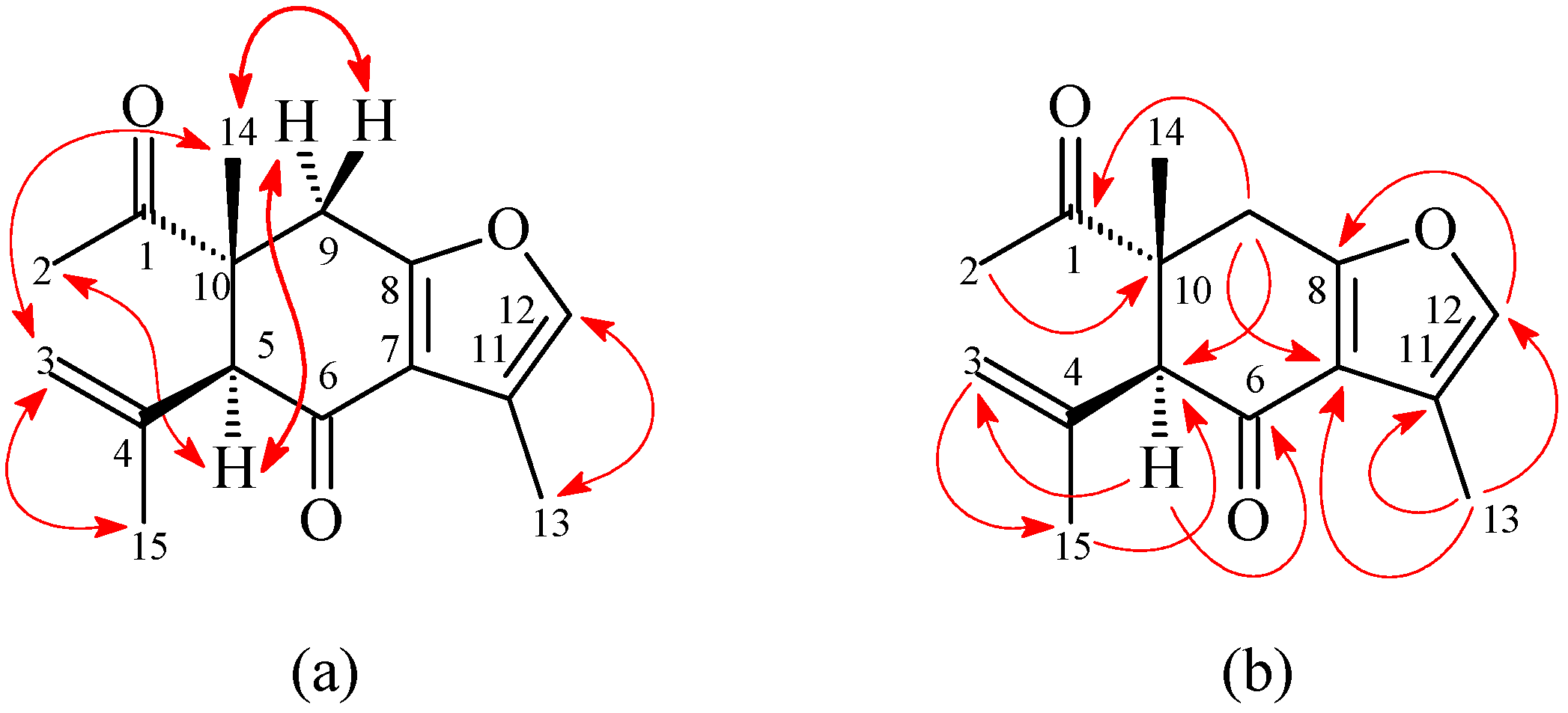
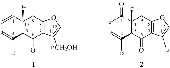
2. Results and Discussion
3. Materials and Methods
3.1. General Experimental Procedures
3.2. Plant Material
3.3. Extraction and Isolation
3.3.1. 13-Hydroxycurzerenone (1)
3.3.2. 1-Oxocurzerenone (2)
3.3.3. Curzerenone (3)
3.3.4. Germacrone (4)
3.3.5. Curcolone (5)
3.3.6. Procurcumenol (6)
3.3.7. Ermanin (= 3,4′-Dimethoxykaempferol) (7)
3.3.8. Curcumin (8)
3.3.9. 1-Oleoyl-2,3-distearoylglycerol (9)
3.3.10. Mixture of β-Sitosterol (10) and Stigmasterol (11) (ratio 4:1)
3.3.11. Mixture of Stigmast-4-en-3,6-dione (12) and Stigmasta-4,22-dien-3,6-dione (13) (ratio 4.7:1)
3.3.12. Mixture of 6β-Hydroxystigmast-4-en-3-one (14) and 6β-Hydroxystigmasta-4,22-dien-3-one (15) (ratio 3.3:1)
3.4. Anti-Platelet Aggregation Test
Statistical Analysis
4. Conclusions
Supplementary Materials
Acknowledgments
Author Contributions
Conflicts of Interest
Abbreviations
| fMLP | N-formyl-L-methionyl-L-leucyl-L-phenylalanine |
| CB | cytochalasin B |
| COSY | correlation spectroscopy |
| NOESY | nuclear Overhauser effect spectrometry |
| HMBC | heteronuclear multiple-bond correlation |
| HSQC | heteronuclear single-quantum coherence |
| DEPT | distortionless enhancement by polarization transfer |
| ESI | electrospray ionisation |
| HRESI | high-resolution electrospray ionization |
| CC | column chromatography |
| TLC | thin-layer chromatography |
| MPLC | medium pressure liquid chromatography |
References
- Makabe, H.; Maru, N.; Kuwabara, A.; Kamo, T.; Hirota, M. Anti-inflammatory sesquiterpenes from Curcuma zedoaria. Nat. Prod. Res. 2006, 20, 680–685. [Google Scholar] [CrossRef] [PubMed]
- Kasahara, K.; Nomura, S.; Subeki; Matsuura, H.; Yamasaki, M.; Yamato, O.; Maede, Y.; Katakura, K.; Suzuki, M.; Yoshihara, T. Anti-babesial compounds from Curcuma zedoaria. Planta Med. 2005, 71, 482–484. [Google Scholar] [CrossRef] [PubMed]
- Syu, W.J.; Shen, C.C.; Don, M.J.; Ou, J.C.; Lee, G.H.; Sun, C.M. Cytotoxicity of curcuminoids and some novel compounds from Curcuma zedoaria. J. Nat. Prod. 1998, 61, 1531–1534. [Google Scholar] [CrossRef] [PubMed]
- Chen, Z.; Wei, Y.; Li, X.; Peng, C.; Long, Z. Antifungal activity and mechanism of major compound isolated from hexane extract of Curcuma zedoaria. Asian J. Chem. 2013, 25, 6597–6600. [Google Scholar]
- Fukushima, S.; Kuroyanagi, M.; Ueno, A.; Akahori, Y.; Saiki, Y. Structure of curzerenone, a new sesquiterpene from Curcuma zedoaria. Yakugaku Zasshi 1970, 90, 863–869. [Google Scholar] [PubMed]
- Dekebo, A.; Dagne, E.; Sterner, O. Furanosesquiterpenes from Commiphora sphaerocarpa and related adulterants of true myrrh. Fitoterapia 2002, 73, 48–55. [Google Scholar] [CrossRef]
- Firman, K.; Kinoshita, T.; Itai, A.; Sankawa, U. Terpenoids from Curcuma heyneana. Phytochemistry 1988, 27, 3887–3892. [Google Scholar] [CrossRef]
- Hikino, H.; Sakurai, Y.; Takemoto, T. Structure of curcolone. Chem. Pharm. Bull. 1967, 15, 1065–1066. [Google Scholar] [CrossRef] [PubMed]
- Ohshiro, M.; Kuroyanagi, M.; Ueno, A. Structures of sesquiterpenes from Curcuma longa. Phytochemistry 1990, 29, 2201–2205. [Google Scholar] [CrossRef]
- Nakatani, N.; Jitoe, A.; Masuda, T.; Yonemori, S. Flavonoid constituents of Zingiber zerumbet Smith. Agric. Biol. Chem. 1991, 55, 455–460. [Google Scholar] [CrossRef]
- Sun, R.; Sacalis, J.N.; Chin, C.K.; Still, C.C. Bioactive aromatic compounds from leaves and stems of Vanilla fragrans. J. Agr. Food Chem. 2001, 49, 5161–5164. [Google Scholar] [CrossRef]
- Jie, M.S.F.L.K.; Lam, C.C. 13C-NMR studies of polyunsaturated triacylglycerols of type AAA and mixed triacylglycerols containing saturated, acetylenic and ethylenic acyl groups. Chem. Phys. Lipids 1995, 78. [Google Scholar] [CrossRef]
- Kristinsson, B.; Linderborg, K.M.; Kallio, H.; Haraldsson, G.G. Synthesis of enantiopure structured triacylglycerols. Tetrahedron: Asymmetry 2014, 25, 125–132. [Google Scholar] [CrossRef]
- Tao, R.; Wang, C.Z.; Kong, Z.W. Antibacterial/antifungal activity and synergistic interactions between polyprenols and other lipids isolated from Ginkgo Biloba L. leaves. Molecules 2013, 18, 2166–2182. [Google Scholar] [CrossRef] [PubMed]
- Ahmed, E.; Sharif, A.; Hussain, S.; Malik, A.; Mukhtar-Ul-Hassan; Munawar, M.A.; Nagra, S.A.; Anwar, J.; Ashraf, M.; Afza, N.; Athar, M. Phytochemical and antimicrobial studies of Grewia tenax. J. Chem. Soc. Pak. 2011, 33, 676–681. [Google Scholar]
- Cui, J.G.; Fan, L.; Huang, L.L.; Liu, H.L.; Zhou, A.M. Synthesis and evaluation of some steroidal oximes as cytotoxic agents: Structure/activity studies (I). Steroids 2009, 74, 62–72. [Google Scholar] [CrossRef] [PubMed]
- Sun, X.B.; Zhao, P.H.; Xu, Y.J.; Sun, L.M.; Cao, M.A.; Yuan, C.S. Chemical constituents from the roots of Polygonum bistorta. Chem. Nat. Compd. 2007, 43, 563–566. [Google Scholar] [CrossRef]
- Ayyad, S.N. A new cytotoxic stigmastane steroid from Pistia stratiotes. Pharmazie 2002, 57, 212–214. [Google Scholar] [PubMed]
- O′Brien, J.R. Platelet aggregation II.Some results from a new method of study. J. Clin. Path. 1962, 15, 452–455. [Google Scholar]
- Teng, C.M.; Chen, W.Y.; Ko, W.C.; Ouyang, C. Antiplatelet effect of butylidenephthalide. Biochem. Biophys. Acta 1987, 924, 375–382. [Google Scholar] [CrossRef]





| Position | 1 a | 2 a | 3 b | |||
|---|---|---|---|---|---|---|
| δH | δC | δH | δC | δH | δC | |
| 1 | 5.82 dd (17.5, 11.0) | 145.5 | 212.1 | 5.78 dd (17.6, 10.6) | 145.5 | |
| 2 | 4.96 d (17.5) | 115.6 | 2.13 s | 25.6 | 4.74–4.99 m | 115.7 |
| 4.97 d (11.0) | ||||||
| 3 | 4.76 s | 113.0 | 4.75 s | 113.0 | 4.74–4.99 m | 113.0 |
| 5.01 s | 5.01 s | |||||
| 4 | 141.1 | 141.0 | 141.1 | |||
| 5 | 3.02 s | 64.1 | 3.22 s | 61.9 | 3.00 s | 64.1 |
| 6 | 194.0 | 194.0 | 194.0 | |||
| 7 | 120.2 | 120.1 | 120.2 | |||
| 8 | 165.6 | 165.6 | 165.6 | |||
| 9α | 2.79 d (17.5) | 33.6 | 2.94 d (17.5) | 28.5 | 2.83 d (17.6) | 33.6 |
| 9β | 2.91 d (17.5) | 3.06 d (17.5) | 2.83 d (17.6) | |||
| 10 | 42.9 | 46.2 | 42.9 | |||
| 11 | 116.0 | 119.3 | 119.3 | |||
| 12 | 7.09 s | 139.6 | 7.08 s | 139.6 | 7.08 br s | 139.6 |
| 13 | 4.86 s | 52.2 | 2.18 d (1.5) | 9.0 | 2.16 br s | 9.1 |
| 14 | 1.19 s | 25.0 | 1.18 s | 16.2 | 1.17 s | 25.0 |
| 15 | 1.84 s | 24.9 | 1.83 s | 24.7 | 1.83 br s | 24.9 |
| Compounds (100 μM) | Collagen (10 μg/mL) | Arachidonic Acid (200 μM) |
|---|---|---|
| Inhibition (%) a,b | ||
| 13-Hydroxycurzerenone (1) | 22.82 ± 0.98 d | 31.65 ± 5.33 c |
| 1-Oxocurzerenone (2) | 23.22 ± 0.68 d | 12.55 ± 1.59 |
| Curzerenone (3) | 46.11 ± 0.38 e | 15.41 ± 1.24 c |
| Germacrone (4) | 21.97 ± 1.15 d | 13.22 ± 2.18 |
| Curcolone (5) | 35.85 ± 0.75 c | 23.44 ± 3.35 c |
| Procurcumenol (6) | 21.28 ± 1.76 d | 11.02 ± 0.86 |
| Ermanin (7) | 67.58 ± 3.82 e | 34.37 ± 2.74 e |
| Curcumin (8) | 31.57 ± 2.10 e | 95.36 ± 1.58 e |
| 1-Oleoyl-2,3-distearoylglycerol (9) | 4.10 ± 0.77 | 3.97 ± 0.27 |
| Mixture of β-sitosterol (10) and stigmasterol (11) | 3.08 ± 0.43 | 4.13 ± 0.64 |
| Mixture of stigmast-4-en-3,6-dione (12) and stigmasta-4,22-dien-3,6-dione (13) | 42.71 ± 2.11 c | 23.92 ± 2.31 d |
| Mixture of 6β-hydroxystigmast-4-en-3-one (14) and 6β-hydroxystigmasta-4,22-dien-3-one (15) | 8.21 ± 1.06 | 7.53 ± 0.95 |
| Aspirin b | 5.20 ± 0.35 e | 100.0 ± 0.0 e |
- Sample Availability: Samples of the compounds are available from the authors.
© 2016 by the authors. Licensee MDPI, Basel, Switzerland. This article is an open access article distributed under the terms and conditions of the Creative Commons Attribution (CC-BY) license ( http://creativecommons.org/licenses/by/4.0/).
Share and Cite
Chen, J.-J.; Tsai, T.-H.; Liao, H.-R.; Chen, L.-C.; Kuo, Y.-H.; Sung, P.-J.; Chen, C.-L.; Wei, C.-S. New Sesquiterpenoids and Anti-Platelet Aggregation Constituents from the Rhizomes of Curcuma zedoaria. Molecules 2016, 21, 1385. https://doi.org/10.3390/molecules21101385
Chen J-J, Tsai T-H, Liao H-R, Chen L-C, Kuo Y-H, Sung P-J, Chen C-L, Wei C-S. New Sesquiterpenoids and Anti-Platelet Aggregation Constituents from the Rhizomes of Curcuma zedoaria. Molecules. 2016; 21(10):1385. https://doi.org/10.3390/molecules21101385
Chicago/Turabian StyleChen, Jih-Jung, Tung-Han Tsai, Hsiang-Ruei Liao, Li-Chai Chen, Yueh-Hsiung Kuo, Ping-Jyun Sung, Chun-Lin Chen, and Chun-Sheng Wei. 2016. "New Sesquiterpenoids and Anti-Platelet Aggregation Constituents from the Rhizomes of Curcuma zedoaria" Molecules 21, no. 10: 1385. https://doi.org/10.3390/molecules21101385
APA StyleChen, J.-J., Tsai, T.-H., Liao, H.-R., Chen, L.-C., Kuo, Y.-H., Sung, P.-J., Chen, C.-L., & Wei, C.-S. (2016). New Sesquiterpenoids and Anti-Platelet Aggregation Constituents from the Rhizomes of Curcuma zedoaria. Molecules, 21(10), 1385. https://doi.org/10.3390/molecules21101385

