Abstract
In this review, we will present the different aspects of coumarins and derivatives, from natural origins or synthetically prepared, and their action on inflammation. Coumarins and also furo- and pyranocoumarins are found in many different plants. These compounds are very often investigated for antioxidant properties. Other biological properties are also possible and anti-inflammation activity is one of these. As coumarins are also available quite easily via synthesis, natural ones can be prepared this way but derivatives with special substituents are also feasible. A review on the same topic appeared in 2004 and our contribution will take into account everything published since then.
1. Introduction
Inflammation is a general and essential response to any aggression and may be shown by a localized response or by a more generalized one. Inflammation is thought to be at the start of different diseases including obesity, cancer and neurodegenerative illness. The biosynthetic cascade of arachidonic acid leading to the formation of prostaglandins (PG), leukotrienes (LT), hydroxyeicosatetraenoic acids (HETE) have been shown to be involved in the inflammation as well as other processes. Blocking the cascade is a possible way to fight inflammation. Inflammation is the process by which leucocytes and material derived from the serum are directed to the site of tissue injury. Coumarins are widespread natural chemicals [1]. Many of these compounds have a pharmacological use [2]. In this review we will investigate coumarins and derivatives with anti-inflammatory activity. We will present this study in terms of the chemical structure: simple coumarins, furo- and pyrano-coumarins.
In the first part, naturally occurring coumarins will be presented. The second part will be devoted to synthetic coumarins.
2. Naturally Occurring Coumarins
2.1. Simple Coumarins
Figure 1 shows the plant derived coumarins described in the literature with anti-inflammatory activities.
Figure 1.
Natural coumarins.
Coumarin 1 itself was used for the treatment of edema [3]. A general study on 2, 3, 5, 6, 7, 8 has been run on TNBS (trinitrobenzenesulfonic acid) induced colitis [4]. The study showed that these coumarins are potential agents for treating the inflammation. The effect seems directly related to the antioxidant properties of the coumarins, in particular for daphnetin 6, esculin 5 and scoparone 3. Food containing coumarins could be a possible strategy to prevent Inflammation Bowel Diseases (IBD). Natural products like esculetin 4, fraxetin 7, daphnetin 6 and other related coumarin derivatives are recognized as inhibitors not only of the lipoxygenase and cycloxygenase enzymic systems, but also of the neutrophil-dependent superoxide anion generation [5].The study on the ethanolic extract of Artemisia capillaris Thunberg (Compositaea) used in traditional Chinese medicine for amelioration of skin inflammation showed inhibition activity on 5-lipooxygenase [6]. In particular, esculetin 4 had the property along with other compounds [6]. Experiments run on inflammation in animal models (xylene induced ear edema, carrageanan induced paw edema and carrageanan induced mouse pleuresy) [7] have shown that esculin 5, a glycoside of esculetin, attenuated the phenomena. In-vitro pro-inflammatory cytokines levels of TNF-α and IL-6 were reduced by esculin. It was also found that esculin significantly inhibited LPS (lipopolysaccharide) induced activation of MAPK pathway in peritoneal macrophages. Esculin could be a promising agent for treating inflammatory diseases in humans. Another study on rat peritoneal leukocytes using 16 different coumarins [8] has pointed out the effect on LTB4 and TXB2 generated by calimycin (A23187). Fraxetin 7, esculetin 4, daphnetin 6, 4-methylesculetin 9 were the most active on LTB4 and herniarin 10, 4-methyl-5,7 dihydroxycoumarin 11 and daphnetin 6 on TXB2 with IC50 ranging from 1–75 µM. Daphnetin 6 appears often as an effective compound. The compound extracted from Daphnea odora was tested in collagen induced arthritis in rats [9]. The therapeutic effect was determined by the balance of Tregs and Th-17. The levels of these lymphocytes were evaluated by ELISA and those related receptors. by immunochemistry. Administration of daphnetin for 21 days highly alleviated the severity of arthritis by modulating the balance. In continuation looking at the power of daphnetin, some finding suggest that it might have a neuroprotective effect in stressed mice [10]. The role of daphnetin in microglial inflammatory response was explored. The study showed that all the pro-inflammatory mediators (IL-1B, TNFα induced by LPS) were strongly depressed in a dose dependent manner in BV2 microglia and it inhibited the LPS-induced iNOS and COX-2, even NO formation by microglia. In general daphnetin inhibits microglial activation and proinflammatory responses by modulating a series of intracellular pathways (IKK/κB,MAPKs and Pt.3K/Akt).
Umbelliferone 12 has not been found to have anti-inflammatory properties but some of its derivatives did. Among these, aurapten 13 and umbelliprenin 14 were the most studied. These compounds are found especially in the Ferula species. Aurapten 13 from Ferula szowitsiana showed cancer chemopreventive properties suggested by anti-inflammatory activity of the compound [11]. A mini-review on the biological activity of umbelliprenin from Artemisia species has appeared [12] linking the activity to iNOS inhibition. A paper [13] describing an extract from Ferula szowitsiana describes the activity of 6 terpenoïd coumarins isolated (methyl galbanate, galbanic acid, farnesiferol A, badrakemone, umbelliprenin and aurapten). In this case methylgalbanate 15 was the best inhibitor of nitric oxide production; it was better than umbelliprenin isolated from the same species.
Three naturally occurring O-prenyl coumarins; 4-isopentenyloxy-5-methyl-coumarin 16, 6-isopentenyloxy, -7-methoxy-coumarin 17, 8-isopentenyloxy-7-methoxy-coumarin 18; from respectively Gerbera crocera and Gerbera serrata (Asteraceae), Haplophyllum pedicellatum (Rutaceae) and divers Artemisia species were prepared by synthesis [14]. They have been studied as dual anti-bacterial and anti-inflammatory compounds for controlling peritoneal diseases. U937-3xκB-LUC cell line was used to evaluate the ability to inhibit the activation of NF-κB signaling pathway induced by LPS. Compounds 17 and 18 were effective in the inhibition but not 16. In fact, these two compounds also had anti-bacterial activity and were examples of dual action.
Osthole 19, 8-prenyl-7-methoxy-coumarinapplied in clinical practice in Traditional Chinese Medicine is found in different plants (Angelica, Archangelica, Citrus, Clausena) and in high content in the mature fruit of Cnidium monnieri. The anti-inflammatory properties are described in a recent review ([15] and ref cited therein). Osthole has also been described as decreasing ocular inflammation [16].
Murracarpin 20, structurally close to osthole and isolated from Murraya exotica showed strong anti-inflammatory and analgesic effect [17].
Ethylacetate extract of Canadian marple syrup contains many phenolics related compounds including coumarins. Fifteen pure compounds available were tested in LPS stimulated RAW264.7 murine macrophage and the decrease of nitric oxide and PGE2 measured. Unfortunately, the coumarinic isofraxidin 21 was not active [18]. All the biological results of simple coumarins are summarized in (Table 1).
Table 1.
Some anti-inflammatory activities of Simple coumarins.
2.2. Condensed Coumarins
The most condensed coumarins isolated from natural sources are furo- and pyranocoumarins. A review in 2006 [19] reports the biological activities of prenyloxy-furocoumarins and the in-vivo remarkable anti-inflammatory effect. We will review the publications appearing since then.
2.2.1. Furocoumarins
Among furocoumarins (Figure 2), imperatorin 22 has been the most investigated. The substance is found in Angelica dahurica, Glhenia littoralis, Cnidium monnieri and Peucedanum praeruptorum as well as in other Apiaceae and Umbellifereae species. These plants are used in traditional Chinese and Korean Medicine. as antipyretic and analgesic. Most assays that investigated the behavior against inflammation were run on LPS activated RAW264.7 cells [20,21,22,23,24,25,26] and carrageanan induced mouse paw edema [21]. In general, inhibition of NOS as well as COX-2 were found to be the cause. Imperatorin has also proved to be efficient on allergic rhinitis [27], acute lung injury induced by LPS in mouse [28], on sebum production in human sebocytes in vitro [29] and it has had an anti-allergic effect on Th-2 mediated allergic asthma [30]. It has been stated that phellopterin 23 presents the same features as imperatorin concerning this activity [20]. Dimeric furocoumarins from the roots of Angelica dahurica had the same activity [31].
Figure 2.
Naturally occurring furocoumarins.
An isomer of imperatorin, isoimperatorin 24, from the roots of Angelica dahurica [32] or Cimicifugae rhizome [33] was found to inhibit COX-dependent phases or TNF-α induced expression indicating its anti-inflammatory properties.
Various furocoumarins extracted from Chinese herbs were tested for iNOS 5 inhibition [34,35]. Among the different furocoumarins: imperatorin 22, deltoin 25 and sphondin 26 gave the best results. As sphondin is also available in different Heracleum species it may provide a basis for the use of plant extracts against inflammation. For example, sphondin extracted from Heracleum laciniatum inhibits IL-1β induced PGE2 release in A549 cells [36]. This inhibition is mediated by suppressing of COX-2 expression and maybe at least in part through suppression of NF-κB activity. It is worth noting that the extract of fruits from Heracleum crenatifolium contains different furocoumarins and has anticonvulsivant activity in male albino mice [37]. A review on Heracleum persicum details the pharmacology of the furocoumarins in it [38].The biological results of furocoumarins are summarized in (Table 2).
Table 2.
Some anti-inflammatory activities of furocoumarins.
2.2.2. Pyranocoumarins
Pyranocoumarins (Figure 3) have less been tested for this activity. The first compound of this class extracted was seselin 27 from Sigmathantus trifoliatus able to inhibit inflammatory hyperalgesia and having also antinociceptive effect [39]. Obtained from Seseli resinosum, calipteryxin 28 and a dihydroseselin derivative were associated in the inhibition of inflammatory enzymes (iNOS and COX-2) and cytokines (TNF-α and IL-6) via NF-κB, MAPK and Akt pathways [40]. (+)-Praeruptorin 29 from the roots of Peucedanum praerupotorum reduced NO production and release of IL-1β, IL-6 and TNF-α induced by LPS-stimulated macrophage [41,42]. Other derivatives anomalin 30 and corymbocoumarin 31 were obtained respectively from Saposhnikovia divaricata and Seseli gummniferum have been used in LPS-stimulated RAW264.7 macrophages [43]. Anomalin dose-dependently inhibited iNOS, COX-2 mRNA and protein expression. Concerning corymbocoumarin, it exerts its effect by suppressing NF-κB activation and inducing HO-1 expression [44]. The biological results of this kind of coumarins are summarized below in (Table 3).
Figure 3.
Naturally occurring pyranocoumarins.
Table 3.
Some anti-inflammatory activities of pyranocoumarins.
3. Synthetic Coumarins and Pyranocoumarins
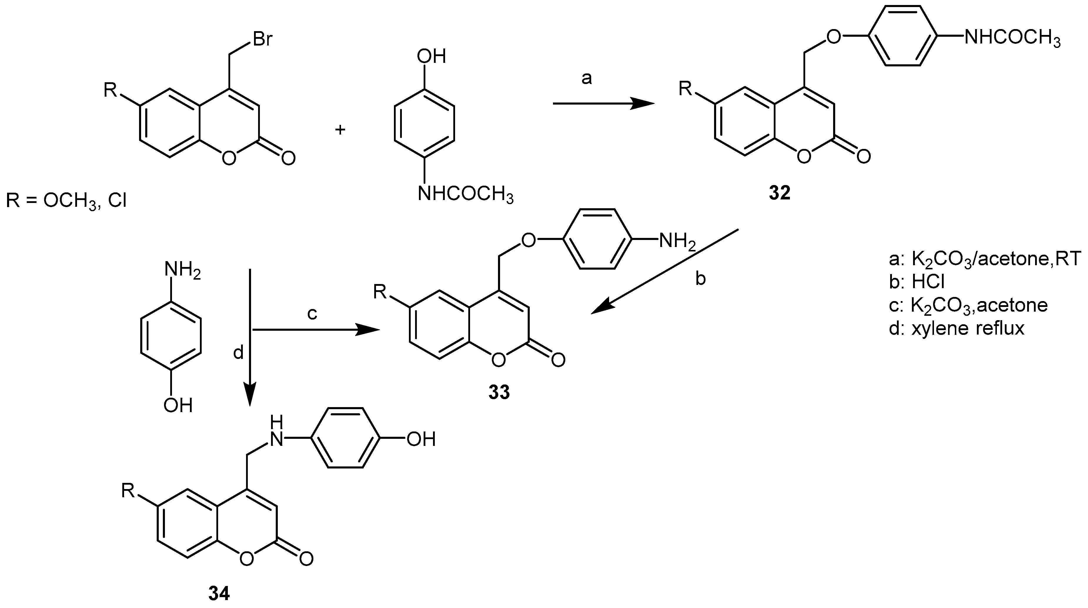
As functionalized coumarins can be easily prepared through synthesis, different compounds not naturally found have been prepared and tested (Figure 4). Starting from 6-chloro and 6-methoxy 4-bromomethyl-coumarin, paracetamol ethers 32, 33, 34 have been prepared (Figure 5).
Figure 4.
Synthetic coumarins and derivatives.
Figure 5.
Synthesis of paracetamol modified coumarins.
Screening the activity using carrageenan induced edema in rats gave the best results for compounds 32 where R = Cl and OCH3 was in position 6 [45]. A series of esters prepared from coumarin-3-carboxylic acids 35 obtained from the corresponding salicaldehydes, were tested in LPS-induced lung inflammation and elastase induced lung injury [46]. The data obtained showed that all coumarins had anti-inflammatory properties and that anti-elastase activity is essential to reducing lung inflammation in-vivo. For looking at 15-LPO inhibitors, a series of O-prenylated coumarins were synthesized (isopentyloxy, farnesyloxy, geranyloxy in 4, 5, 6, 7, and 8 position) [47]. 5-Farnesyloxycoumarin 36 showed the most potent activity against soybean lipoxygenase and 6-farnesyloxycoumarin 37 against human lipoxygenase. A great number of 7(2-oxoalkoxy)coumarins 38 have been prepared by condensation of hydroxycoumarins with α-chloroacetone [48] and the effects on expression of iNOS and COX-2 measured in comparison with 7-hydroxycoumarin. Result was that the substitution increased the activity compared to the unsubstituted one. Most active compounds were 38a and 38b. As it has been demonstrated, gold nanoparticles can reduce the expression of pro-inflammatory molecules [49], the idea to conjugate scopoletin 2 to gold nanoparticules emerged [50]. Scopoletin from Artemisia roxburghiana was conjugated in situ to gold nanoparticules prepared by reduction of tetrachloroauric acid. The NO inhibitory activity of scopoletin was unaffected by the conjugation (NOS was induced by LPS on J.774.2cell lines). However, the conjugation increased the prevention of oxidative burst of ROS in the whole blood phagocytes and isolated neutrophiles.
A methodology to prepare coumarins from ortho-benzoquinones has been used for the synthesis of benzopyranocoumarins 39 [51,52,53] analogs to benzo[1]khellactone. All tested compounds [52], highly inhibited soybean lipoxygenase, competing with DMSO for OH• and some induced protection against carrageenan induced rat paw edema. Another series [53] showed similar results for competition with DMSO for OH•, for O2− scavenging and lipoxygenase inhibition. The biological results of synthetic coumarins are summarized in (Table 4).
Table 4.
Some anti-inflammatory activities of synthetic coumarins.
4. Conclusions
Coumarins and derivatives, even those that have been known for a long time, are still a source of interesting biological active compounds. As the synthesis of these compounds is quite easy, access to a greater amount of derivatives is possible. Since the compounds are sometimes present in edible foods, these may serve as anti-inflammatory supply and as fiber containing plants are considered prebiotics this may help even more to fight inflammation.
Conflicts of Interest
The authors declare no conflict of interest.
References
- Matos, M.J.; Santana, L.; Uriarte, E.; Abreu, O.A.; Molina, E.; Yordi, E.G. Coumarins—An Important Class of Phytochemicals. In Phytochemicals-Isolation, Characterisation and Role in Human Health; Rao, A.V., Rao, L.G., Eds.; InTech: Rijeka, Croatia, 2015. [Google Scholar]
- Venugopala, K.N.; Rashmi, V.; Odhav, B. Review on natural coumarin lead compounds for their pharmacological activity. BioMed. Res. Int. 2013, 2013, 963248. [Google Scholar] [CrossRef] [PubMed]
- Piller, N.B. A comparison of the effectiveness of some anti-inflammatory drugs on thermal oedema. Br. J. Exp. Pathol. 1975, 56, 554–559. [Google Scholar] [PubMed]
- Witaicenis, A.; Seito, L.N.; da Silveira Chagas, A.; de Almeida, L.D.; Luchini, A.C.; Rodrigues-Orsi, P.; Cestari, S.H.; Di Stasi, L.C. Antioxidant and intestinal anti-inflammatory effects of plant-derived coumarin derivatives. Phytomed. Int. J. Phytother. Phytopharm. 2014, 21, 240–246. [Google Scholar] [CrossRef] [PubMed]
- Fylaktakidou, K.C.; Hadjipavlou-Litina, D.J.; Litinas, K.E.; Nicolaides, D.N. Natural and synthetic coumarin derivatives with anti-inflammatory/antioxidant activities. Curr. Pharm. Des. 2004, 10, 3813–3833. [Google Scholar] [CrossRef] [PubMed]
- Kwon, O.S.; Choi, J.S.; Islam, M.N.; Kim, Y.S.; Kim, H.P. Inhibition of 5-lipoxygenase and skin inflammation by the aerial parts of Artemisia capillaris and its constituents. Arch. Pharm. Res. 2011, 34, 1561–1569. [Google Scholar] [CrossRef] [PubMed]
- Niu, X.; Wang, Y.; Li, W.; Zhang, H.; Wang, X.; Mu, Q.; He, Z.; Yao, H. Esculin exhibited anti-inflammatory activities in vivo and regulated TNF-α and IL-6 production in LPS-stimulated mouse peritoneal macrophages in vitro through MAPK pathway. Int. Immunopharmacol. 2015, 29, 779–786. [Google Scholar] [CrossRef] [PubMed]
- Hoult, J.R.; Forder, R.A.; de las Heras, B.; Lobo, I.B.; Payá, M. Inhibitory activity of a series of coumarins on leukocyte eicosanoid generation. Agents Actions 1994, 42, 44–49. [Google Scholar] [CrossRef] [PubMed]
- Yao, R.; Fu, Y.; Li, S.; Tu, L.; Zeng, X.; Kuang, N. Regulatory effect of daphnetin, a coumarin extracted from Daphne odora, on the balance of Treg and Th17 in collagen-induced arthritis. Eur. J. Pharmacol. 2011, 670, 286–294. [Google Scholar] [CrossRef] [PubMed]
- Yu, W.; Wang, H.; Ying, H.; Yu, Y.; Chen, D.; Ge, W.; Shi, L. Daphnetin attenuates microglial activation and proinflammatory factor production via multiple signaling pathways. Int. Immunopharmacol. 2014, 21, 1–9. [Google Scholar] [CrossRef] [PubMed]
- Gholami, O.; Shamsara, J. Comparison of the cytotoxic effects of umbelliprenin and auraptene. Int. J. Pharm. Pharm. Sci. 2015, 8, 1–4. [Google Scholar]
- Shakeri, A.; Iranshahy, M.; Iranshahi, M. Biological properties and molecular targets of umbelliprenin—A mini-review. J. Asian Nat. Prod. Res. 2014, 16, 884–889. [Google Scholar] [CrossRef] [PubMed]
- Kohno, S.; Murata, T.; Sugiura, A.; Ito, C.; Iranshahi, M.; Hikita, K.; Kaneda, N. Methyl galbanate, a novel inhibitor of nitric oxide production in mouse macrophage RAW264.7 cells. J. Nat. Med. 2011, 65, 353–359. [Google Scholar] [CrossRef] [PubMed]
- Azelmat, J.; Fiorito, S.; Taddeo, V.A.; Genovese, S.; Epifano, F.; Grenier, D. Synthesis and evaluation of antibacterial and anti-inflammatory properties of naturally occurring coumarins. Phytochem. Lett. 2015, 13, 399–405. [Google Scholar] [CrossRef]
- Zhang, Z.-R.; Leung, W.N.; Cheung, H.Y.; Chan, C.W. Osthole: A Review on its bioactivities, pharmacological properties, and potential as alternative medicine. Evid. Based Complement. Alternat. Med. 2015, 2015, 1–10. [Google Scholar] [CrossRef] [PubMed]
- Chiou, G.C.Y.; Yao, Q.S.; Li, B.H.P. Inhibition of lens protein-, endotoxin- and interleukin-1-induced ocular inflammation with osthole and some other non-steroidal anti-inflammatory agents. Inflammopharmacology 1993, 2, 5–13. [Google Scholar] [CrossRef]
- Wu, L.-H.; Liu, Z.-W.; Zeng, J.; Xu, R.-A. Anti-inflammation and analgesic activities of coumarins compounds from the leaves of Murraya Exotica (L.). Chin. J. Spectrosc. Lab. 2011, 6, 2999–3003. [Google Scholar]
- Nahar, P.P.; Driscoll, M.V.; Li, L.; Slitt, A.L.; Seeram, N.P. Phenolic mediated anti-inflammatory properties of a maple syrup extract in RAW 264.7 murine macrophages. J. Funct. Foods 2014, 6, 126–136. [Google Scholar] [CrossRef]
- Curini, M.; Cravotto, G.; Epifano, F.; Giannone, G. Chemistry and biological activity of natural and synthetic prenyloxycoumarins. Curr. Med. Chem. 2006, 13, 199–222. [Google Scholar] [CrossRef] [PubMed]
- Kang, S.W.; Kim, C.Y.; Song, D.-G.; Pan, C.-H.; Cha, K.H.; Lee, D.-U.; Um, B.-H. Rapid identification of furanocoumarins in Angelica dahurica using the online LC-MMR-MS and their nitric oxide inhibitory activity in RAW 264.7 cells. Phytochem. Anal. PCA 2010, 21, 322–327. [Google Scholar] [CrossRef] [PubMed]
- Huang, G.-J.; Deng, J.-S.; Liao, J.-C.; Hou, W.-C.; Wang, S.-Y.; Sung, P.-J.; Kuo, Y.-H. Inducible nitric oxide synthase and cyclooxygenase-2 participate in anti-inflammatory activity of imperatorin from Glehnia littoralis. J. Agric. Food Chem. 2012, 60, 1673–1681. [Google Scholar] [CrossRef] [PubMed]
- Deng, G.-G.; Wei, W.; Yang, X.-W.; Zhang, Y.-B.; Xu, W.; Gong, N.-B.; Lü, Y.; Wang, F.-F. New coumarins from the roots of Angelica dahurica var. formosana cv. Chuanbaizhi and their inhibition on NO production in LPS-activated RAW264.7 cells. Fitoterapia 2012, 101, 194–200. [Google Scholar] [CrossRef] [PubMed]
- Guo, W.; Sun, J.; Jiang, L.; Duan, L.; Huo, M.; Chen, N.; Zhong, W.; Wassy, L.; Yang, Z.; Feng, H. Imperatorin attenuates LPS-induced inflammation by suppressing NF-κB and MAPKs activation in RAW 264.7 macrophages. Inflammation 2012, 35, 1764–1772. [Google Scholar] [CrossRef] [PubMed]
- Yang, I.J.; Lee, D.U.; Shin, H.M. Anti-inflammatory and antioxidant effects of coumarins isolated from Foeniculum vulgare in lipopolysaccharide-stimulated macrophages and 12-O-tetradecanoylphorbol-13-acetate-stimulated mice. Immunopharmacol. Immunotoxicol. 2015, 37, 308–317. [Google Scholar] [CrossRef] [PubMed]
- Hong, J.; Shin, K.H.; Lim, S.S.; Kwak, J.H.; Zee, O.; Ishihara, K.; Hirasawa, N.; Seyama, T.; Ohuchi, K. Lead compounds for anti-inflammatory drugs isolated from the plants of the traditional oriental medicine in Korea. Inflamm. Allergy Drug Targets 2008, 7, 195–202. [Google Scholar] [CrossRef] [PubMed]
- Jeong, K.-T.; Lee, E.; Park, N.-Y.; Kim, S.-G.; Park, H.-H.; Lee, J.; Lee, Y.J.; Lee, E. Imperatorin Suppresses Degranulation and Eicosanoid Generation in Activated Bone Marrow-Derived Mast Cells. Biomol. Ther. 2015, 23, 421–427. [Google Scholar] [CrossRef] [PubMed]
- Oh, H.-A.; Kim, H.-M.; Jeong, H.-J. Distinct effects of imperatorin on allergic rhinitis: Imperatorin inhibits caspase-1 activity in vivo and in vitro. J. Pharmacol. Exp. Ther. 2011, 339, 72–81. [Google Scholar] [CrossRef] [PubMed]
- Sun, J.; Chi, G.; Soromou, L.W.; Chen, N.; Guan, M.; Wu, Q.; Wang, D.; Li, H. Preventive effect of Imperatorin on acute lung injury induced by lipopolysaccharide in mice. Int. Immunopharmacol. 2012, 14, 369–374. [Google Scholar] [CrossRef] [PubMed]
- Hwang, Y.-L.; Im, M.; Lee, M.-H.; Roh, S.-S.; Choi, B.W.; Kim, S.J.; Sohn, K.-C.; Lee, Y.; Seo, Y.-J.; Lee, J.-H.; et al. Inhibitory effect of imperatorin on insulin-like growth factor-1-induced sebum production in human sebocytes cultured in vitro. Life Sci. 2016, 144, 49–53. [Google Scholar] [CrossRef] [PubMed]
- Lin, C.-L.; Hsiao, G.; Wang, C.-C.; Lee, Y.-L. Imperatorin exerts antiallergic effects in Th2-mediated allergic asthma via induction of IL-10-producing regulatory T cells by modulating the function of dendritic cells. Pharmacol. Res. 2016, 110, 111–121. [Google Scholar] [CrossRef] [PubMed]
- Yang, W.-Q.; Song, Y.-L.; Zhu, Z.-X.; Su, C.; Zhang, X.; Wang, J.; Shi, S.-P.; Tu, P.-F. Anti-inflammatory dimeric furanocoumarins from the roots of Angelica dahurica. Fitoterapia 2015, 105, 187–193. [Google Scholar] [CrossRef] [PubMed]
- Moon, T.C.; Jin, M.; Son, J.K.; Chang, H.W. The effects of isoimperatorin isolated from Angelicae dahuricae on cyclooxygenase-2 and 5-lipoxygenase in mouse bone marrow-derived mast cells. Arch. Pharm. Res. 2008, 31, 210–215. [Google Scholar] [CrossRef] [PubMed]
- Moon, L.; Ha, Y.M.; Jang, H.J.; Kim, H.S.; Jun, M.S.; Kim, Y.M.; Lee, Y.S.; Lee, D.H.; Son, K.H.; Kim, H.J.; et al. Isoimperatorin, cimiside E and 23-O-acetylshengmanol-3-xyloside from Cimicifugae rhizome inhibit TNF-α-induced VCAM-1 expression in human endothelial cells: involvement of PPAR-γ upregulation and PI3K, ERK1/2, and PKC signal pathways. J. Ethnopharmacol. 2011, 133, 336–344. [Google Scholar] [CrossRef] [PubMed]
- Wang, C.C.; Chen, L.G.; Yang, L.L. Inducible nitric oxide synthase inhibitor of the Chinese herb I. Saposhnikovia divaricata (Turcz.) Schischk. Cancer Lett. 1999, 145, 151–157. [Google Scholar] [CrossRef]
- Wang, C.C.; Lai, J.E.; Chen, L.G.; Yen, K.Y.; Yang, L.L. Inducible nitric oxide synthase inhibitors of Chinese herbs. Part 2: naturally occurring furanocoumarins. Bioorg. Med. Chem. 2000, 8, 2701–2707. [Google Scholar] [CrossRef]
- Yang, L.L.; Liang, Y.C.; Chang, C.W.; Lee, W.S.; Kuo, C.T.; Wang, C.C.; Lee, H.M.; Lin, C.H. Effects of sphondin, isolated from Heracleum laciniatum, on IL-1beta-induced cyclooxygenase-2 expression in human pulmonary epithelial cells. Life Sci. 2002, 72, 199–213. [Google Scholar] [CrossRef]
- Tosun, F.; Kızılay, Ç.A.; Erol, K.; Kılıç, F.S.; Kürkçüoğlu, M.; Can Başer, K.H. Anticonvulsant activity of furanocoumarins and the essential oil obtained from the fruits of Heracleum crenatifolium. Food Chem. 2008, 107, 990–993. [Google Scholar] [CrossRef]
- Asgarpanah, J.; Mehrabani, G.D.; Ahmadi, M.; Ranjbar, R.; Ardebily, M.S.-A. Chemistry, pharmacology and medicinal properties of Heracleum persicum Desf. Ex Fischer: A review. J. Med. Plants Res. 2012, 6, 1813–1820. [Google Scholar]
- Lima, V.; Silva, C.B.; Mafezoli, J.; Bezerra, M.M.; Moraes, M.O.; Mourão, G.S.M.M.; Silva, J.N.; Oliveira, M.C.F. Antinociceptive activity of the pyranocoumarin seselin in mice. Fitoterapia 2006, 77, 574–578. [Google Scholar] [CrossRef] [PubMed]
- Khan, S.; Shehzad, O.; Cheng, M.-S.; Li, R.-J.; Kim, Y.S. Pharmacological mechanism underlying anti-inflammatory properties of two structurally divergent coumarins through the inhibition of pro-inflammatory enzymes and cytokines. J. Inflamm. Lond. Engl. 2015, 12, 47. [Google Scholar] [CrossRef] [PubMed]
- Yu, P.-J.; Ci, W.; Wang, G.-F.; Zhang, J.-Y.; Wu, S.-Y.; Xu, W.; Jin, H.; Zhu, Z.-G.; Zhang, J.-J.; Pang, J.-X.; et al. Praeruptorin A inhibits lipopolysaccharide-induced inflammatory response in murine macrophages through inhibition of NF-κB pathway activation. Phytother. Res. PTR 2011, 25, 550–556. [Google Scholar] [CrossRef] [PubMed]
- Lee, J.; Lee, Y.J.; Kim, J.; Bang, O.-S. Pyranocoumarins from Root Extracts of Peucedanum praeruptorum Dunn with Multidrug Resistance Reversal and Anti-Inflammatory Activities. Mol. Basel Switz. 2015, 20, 20967–20978. [Google Scholar] [CrossRef] [PubMed]
- Khan, S.; Shin, E.M.; Choi, R.J.; Jung, Y.H.; Kim, J.; Tosun, A.; Kim, Y.S. Suppression of LPS-induced inflammatory and NF-κB responses by anomalin in RAW 264.7 macrophages. J. Cell. Biochem. 2011, 112, 2179–2188. [Google Scholar] [CrossRef] [PubMed]
- Chun, J.; Tosun, A.; Kim, Y.S. Anti-inflammatory effect of corymbocoumarin from Seseli gummiferum subsp. corymbosum through suppression of NF-κB signaling pathway and induction of HO-1 expression in LPS-stimulated RAW 264.7 cells. Int. Immunopharmacol. 2016, 31, 207–215. [Google Scholar] [CrossRef] [PubMed]
- Shastri, L.A.; Manjunath, G.D.; Kulkarni, M.V. Dual fluorescence and biological evaluation of paracetamol ethers from 4-bromomethylcoumarins. Indian J. Chem. Sect. B 2004, 43B, 2416–2422. [Google Scholar] [CrossRef]
- Bissonnette, E.Y.; Tremblay, G.M.; Turmel, V.; Pirotte, B.; Reboud-Ravaux, M. Coumarinic derivatives show anti-inflammatory effects on alveolar macrophages, but their anti-elastase activity is essential to reduce lung inflammation in vivo. Int. Immunopharmacol. 2009, 9, 49–54. [Google Scholar] [CrossRef] [PubMed]
- Iranshahi, M.; Jabbari, A.; Orafaie, A.; Mehri, R.; Zeraatkar, S.; Ahmadi, T.; Alimardani, M.; Sadeghian, H. Synthesis and SAR studies of mono O-prenylated coumarins as potent 15-lipoxygenase inhibitors. Eur. J. Med. Chem. 2012, 57, 134–142. [Google Scholar] [CrossRef] [PubMed]
- Timonen, J.; Vuolteenaho, K.; Leppänen, T.; Nieminen, R.; Moilanen, E.; Aulaskari, P.; Jänis, J. 7-(2-Oxoalkoxy)coumarins: Synthesis and Anti-Inflammatory Activity of a Series of Substituted Coumarins. J. Heterocycl. Chem. 2015, 52, 1286–1295. [Google Scholar] [CrossRef]
- Victor, E.G.; Silveira, P.C.; Possato, J.C.; da Rosa, G.L.; Munari, U.B.; de Souza, C.T.; Pinho, R.A.; da Silva, L.; Streck, E.L.; Paula, M.M. Pulsed ultrasound associated with gold nanoparticle gel reduces oxidative stress parameters and expression of pro-inflammatory molecules in an animal model of muscle injury. J. Nanobiotechnol. 2012, 10, 11. [Google Scholar] [CrossRef] [PubMed]
- Shah, M.R.; Shamim, A.; White, L.S.; Bertino, M.F.; Mesaik, M.A.; Soomro, S. The anti-inflammatory properties of Au–scopoletin nanoconjugates. New J. Chem. 2014, 38, 5566–5572. [Google Scholar] [CrossRef]
- Nicolaides, D.N.; Gautam, D.R.; Litinas, K.E.; Papamehael, T. Synthesis of some 3,4-dihydro-2H-benzo[f]pyrano[2,3-h]chromen-6-one derivatives. J. Chem. Soc. [Perkin 1] 2002, 1455–1460. [Google Scholar] [CrossRef]
- Nicolaides, D.N.; Gautam, D.R.; Litinas, K.E.; Hadjipavlou-Litina, D.J.; Fylaktakidou, K.C. Synthesis and evaluation of the antioxidant and antiinflammatory activities of some benzo[l]khellactone derivatives and analogues. Eur. J. Med. Chem. 2004, 39, 323–332. [Google Scholar] [CrossRef] [PubMed]
- Tsoukka, M.; Litinas, K.E.; Nicolaides, D.N.; Hadjipavlou-Litina, D.J. Synthesis and biological evaluation of new benzo[f]furo[2,3-h]-and benzo[f]pyrano[2,3-h]coumarin derivatives. J. Heterocycl. Chem. 2007, 44, 529–534. [Google Scholar] [CrossRef]
© 2016 by the authors. Licensee MDPI, Basel, Switzerland. This article is an open access article distributed under the terms and conditions of the Creative Commons Attribution (CC-BY) license ( http://creativecommons.org/licenses/by/4.0/).




