Next Article in Journal
Polyphenolic Content, Antioxidant and Antimicrobial Activities of Lycium barbarum L. and Lycium chinense Mill. Leaves
Previous Article in Journal
Plumbagin Modulates Leukemia Cell Redox Status
 
 
Font Type:
Arial Georgia Verdana
Font Size:
Aa Aa Aa
Line Spacing:
Column Width:
Background:
Article

Facile, Regio- and Diastereoselective Synthesis of Spiro-Pyrrolidine and Pyrrolizine Derivatives and Evaluation of Their Antiproliferative Activities

by
Abdulrahman I. Almansour
1,
Raju Suresh Kumar
1,
Farzana Beevi
2,
Amir Nasrolahi Shirazi
3,6,
Hasnah Osman
4,
Rusli Ismail
7,
Tan Soo Choon
5,
Brian Sullivan
3,
Kellen McCaffrey
3,
Alaa Nahhas
3,
Keykavous Parang
3,6,* and
Mohamed Ashraf Ali
2,5,*
1
Department of Chemistry, College of Science, King Saud University, P.O.Box 2455, Riyadh 11451, Saudi Arabia
2
New Drug Discovery Research, Department of Medicinal Chemistry, Sunrise University, Alwar, Rajasthan-301030, India
3
Department of Biomedical and Pharmaceutical Sciences, College of Pharmacy, University of Rhode Island, Kingston, RI 02881, USA
4
School of Chemical Sciences, Universiti Sains Malaysia, Minden 11800, Penang, Malaysia
5
Institute for Research in Molecular Medicine, Universiti Sains Malaysia, Minden 11800, Penang, Malaysia
6
School of Pharmacy, Chapman University, Irvine, CA 92618, USA
7
Centre of Excellence for Research in AIDS, University Malaya, Kuala Lumpur 50603, Malaysia
*
Authors to whom correspondence should be addressed.
Molecules 2014, 19(7), 10033-10055; https://doi.org/10.3390/molecules190710033
Submission received: 29 May 2014 / Revised: 24 June 2014 / Accepted: 1 July 2014 / Published: 10 July 2014

Abstract

:
A number of novel spiro-pyrrolidines/pyrrolizines derivatives were synthesized through [3+2]-cycloaddition of azomethine ylides with 3,5-bis[(E)-arylmethylidene]tetrahydro-4(1H)-pyridinones 2an. Azomethine ylides were generated in situ from the reaction of 1H-indole-2,3-dione (isatin, 3) with N-methylglycine (sarcosine), phenylglycine, or proline. All compounds (50 μM) were evaluated for their antiproliferative activity against human breast carcinoma (MDA-MB-231), leukemia lymphoblastic (CCRF-CEM), and ovarian carcinoma (SK-OV-3) cells. N-α-Phenyl substituted spiro-pyrrolidine derivatives (5an) showed higher antiproliferative activity in MDA-MB-231 than other cancer cell lines. Among spiro-pyrrolizines 6an, a number of derivatives including 6ac and 6im showed a comparable activity with doxorubicin in all three cell lines. Among all compounds in three classes, 6a, 6b, and 6m, were found to be the most potent derivatives showing 64%, 87%, and 74% antiproliferative activity in MDA-MB-231, SK-OV-3, and CCRF-CEM cells, respectively. Compound 6b showed an IC50 value of 3.6 μM in CCRF-CEM cells. These data suggest the potential antiproliferative activity of spiro-pyrrolidines/pyrrolizines.

Graphical Abstract

1. Introduction

Multicomponent reactions (MCRs) [1,2,3,4,5] constitute an efficient and powerful tool for the synthesis of novel organic compounds. MCRs take advantage of several distinct properties including low cost, accelerated reaction time, and eco-friendly reaction conditions [6,7,8,9], and provide an expeditious and elegant access to libraries of complex structures and diversified compounds. Thus, MCRs are widely used in combinatorial chemistry and complicated synthetic procedures [10,11,12,13,14,15].
Functionalized pyrrolidines and pyrrolizines are the central skeleton of numerous alkaloids and constitute classes of compounds with significant biological properties, such as anticancer activity [16,17,18]. Heterocycles containing piperidine sub-structures display important biological activities, such as anticancer activity as well as being useful as synthons in the construction of alkaloid natural products [19,20,21]. Dimmock et al. reported the synthesis of 3,5-bis[(E)-arylmethyl idene] tetrahydro-4(1H)-pyridinones and their corresponding substituted analogues as potential anticancer agents with modest to high activity [22].
Several spiro-compounds have shown very promising biologically activity with potential applications as anticancer [21,22,23,24,25], antibacterial [26,27], anticonvulsant [28,29,30], anti-tuberculosis [31], and anti-Alzheimer’s disease agents [31]. Spiro compounds have also been recently used as antioxidant agents [32,33].
[3+2]-Cycloaddition of azomethine ylides with olefinic dipolarophiles has been reported as one of the main methods for generating highly functionalized heterocyclic scaffolds as diversified chemical libraries [33,34,35,36,37,38,39]. Inspired by the previously reported biological potency of spiro compounds and as a part of our ongoing research in the construction of novel hybrid heterocycles, herein we report the synthesis of three different classes of spiro-pyrrolidines and spiro-pyrrolizines derivatives by the [3+2]-cycloaddition of azomethine ylides with 3,5-bis[(E)-arylmethylidene]tetrahydro-4(1H)-pyridinones and evaluation of their anticancer activities.

2. Results and Discussion

2.1. Chemistry

The synthesis of the prerequisite 3,5-bis[(E)-arylmethyl idene]tetrahydro-4(1H)-pyridinones 2 was carried out according to the previously reported procedure from the reaction of an appropriate aryl aldehyde (2 mmol) with 4-piperidone hydrochloride monohydrate (1, 1 mmol) in acetic acid [25]. Azomethine ylides were generated in situ from the reaction of 1H-indole-2,3-dione (isatin, 3) with (i) N-methylglycine (sarcosine); (ii) phenylglycine; and (iii) proline. The [3+2]-cycloaddition of azomethine ylides with the exocyclic dipolarophiles (2) afforded the novel N-methyl substituted spiro-pyrrolidines 4an, N-α-phenyl substituted spiro-pyrrolidine derivatives 5an, and spiro-pyrrolizines 6an, respectively, in reasonable yields. All the reactions were performed by heating the mixture of 2an, 1H-indole-2,3-dione (3) and N-methylglycine/phenylglycine/proline in a molar ratio 1:1.1:1.1 under reflux in methanol. All compounds were isolated as in a form of racemic mixtures in 82%–94% (Scheme 1).
Scheme 1. Synthesis of piperidone grafted spiroheterocycles.
Scheme 1. Synthesis of piperidone grafted spiroheterocycles.
Molecules 19 10033 g005
For instance, the synthesis of spiro-pyrrolidine derivatives 4 and 5 by using N-methylglycine or phenylglycine, respectively, was completed within 1 h. In comparison, the reaction with proline took 30 min to afford the corresponding spiro-pyrrolizine derivatives 6. All substrates carrying aromatic rings with electron-withdrawing and electron-donating substituents afforded the product in high to excellent yields within approximately similar time ranges (Table S1, Supporting Information). The cycloaddition reaction worked well regardless of the position and electronic or steric properties of the substituents at the aromatic rings of 2. The reaction of 1H-indole-2,3-dione with N-methylglycine, phenylglycine, or proline afforded the corresponding azomethine ylide, which was added to one of the exocyclic C=C bonds of the bisdipolarophile 2 to form the corresponding cycloadducts 4, 5, or 6, respectively. The structures of cycloadducts 46 were characterized using elemental analysis, FT-IR, 1H, 13C and 2D-NMR spectroscopic analysis.
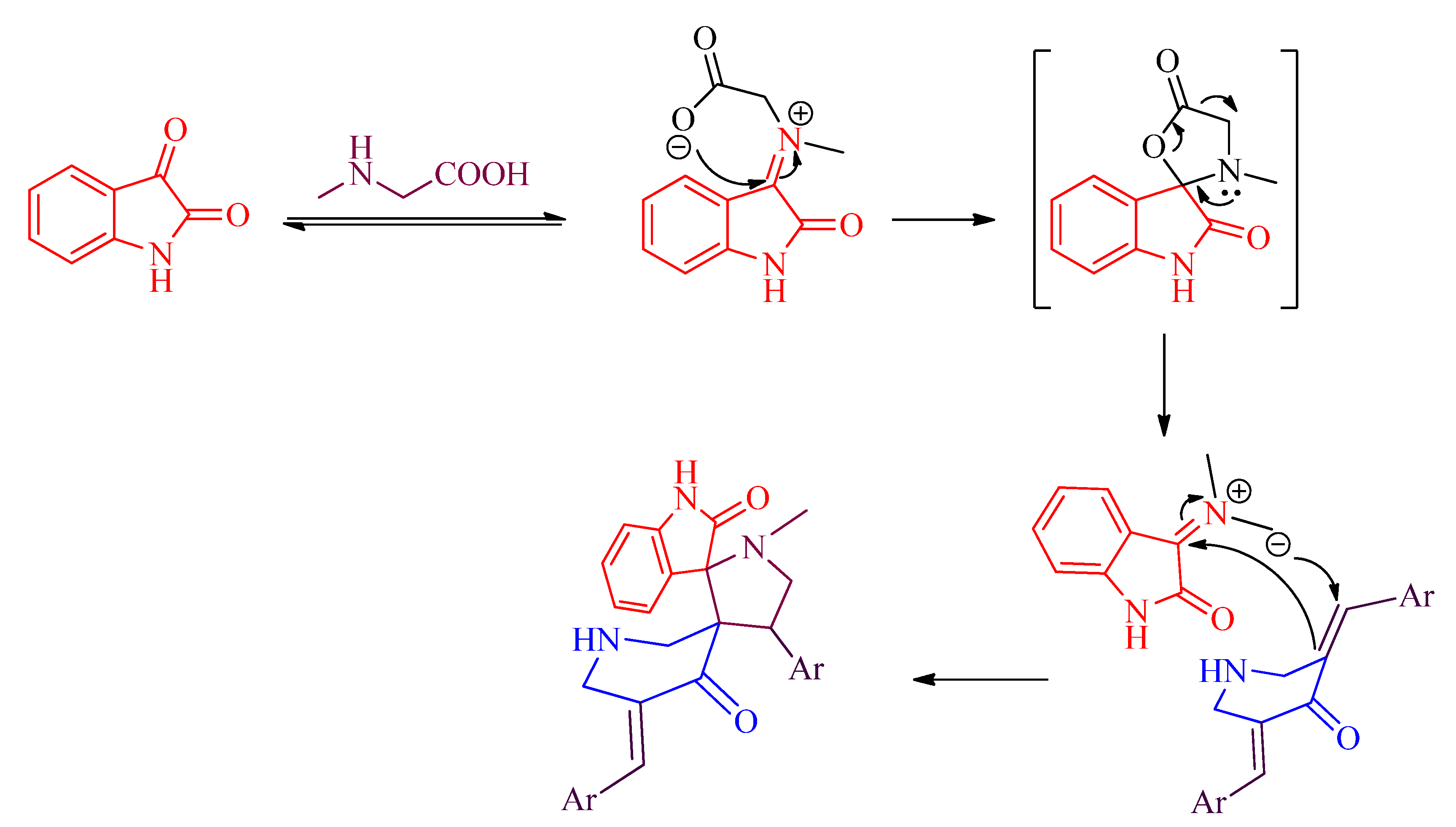
A proposed mechanism for the formation of spiro-pyrrolidines is shown in Scheme 2. It is noteworthy to mention that all reactions proceeded chemoselectively since the dipole addition was occurred only to the available C=C bond rather than C=O functional group of 2. All reactions were also found to be regioselective, which can be viewed as the result of a preferential attack of the nucleophilic carbon of the azomethine ylide to the end of the enone fragment of the dipolarophile 2 to give 4, 5, or 6. Another significant advantage of this method is that all the above reactions proceeded via complete stereoselectivity leading to the production of a single stereoisomer despite the presence of many stereocenters in the cycloadducts.
Scheme 2. Mechanism for the formation of spiro-pyrrolidines.
Scheme 2. Mechanism for the formation of spiro-pyrrolidines.
Molecules 19 10033 g006

2.2. Biological Evaluation

Starting building blocks 2an and three classes of synthesized compounds 3an, 4an, and 6an (50 μM) were evaluated for their effect on proliferation of human ovarian adenocarcinoma (SK-OV-3), breast adenocarcinoma (MDA-MB-231), and lymphoblastic leukemia (CCRF-CEM). Doxorubicin (Dox) and DMSO were used as positive and negative controls, respectively.
The results for cell proliferation at 50 μM after 72 h for 3,5-bis[(E)-arylmethylidene]tetrahydro-4(1H)-pyridinones 2an are shown in Figure 1. Compounds 2ag inhibited the cell proliferation of MDA-MB-231 cells by 85%–88%. The presence of a wide range of substituents on two side aromatic rings was tested. The majority of derivatives containing electron donating groups including methyl and methoxy, showed higher antiproliferative actvity than compounds with electron withdrawing groups e.g., nitro in MDA-MB-231 cells after 72 h incubation. Compounds with substitutions on para positions were exhibited slightly lower inhibition activity. This trend was also observed in SK-OV-3 and CCRF-CEM cells. All the compounds in this class showed higher antiproliferative activity in MDA-MB-231 than CCRF-CEM and SK-OV-3 cells. Thus, MDA-MB-231 cells were found to be the most sensitive cell line to these compounds among the three that have tested.
N-Methyl spiro-pyrrolidine derivatives 4an antiproliferative activities are shown in Figure 2. Among all compounds in this class, 4k, 4n, and 4l showed the highest antiproliferative activity in CCRF-CEM, MDA-MB-231, and SK-OV-3 cells by 58%, 80%, and 70% inhibition, respectively. Most of the compounds showed higher antiproliferative activity in MDA-MB-231 cells than other cancer cell lines. However, some compounds including 4i, 4k, 4l, 4m, and 4n exhibited a consistent potency in all cell lines. The position of substituents on aromatic rings was found to be critical in antiproliferative activity against SK-OV-3 and MDA-MB-231 cells. Compounds 4im with the para substituents on the aromatic rings showed significantly higher activity when compared with compounds 4ah with substituents on the ortho and meta positions.
Figure 1. Antiproliferative activity of 3,5-bis[(E)-arylmethylidene] tetrahydro -4(1H)-pyridinones 2an.
Figure 1. Antiproliferative activity of 3,5-bis[(E)-arylmethylidene] tetrahydro -4(1H)-pyridinones 2an.
Molecules 19 10033 g001
Figure 2. Antiproliferative activity of N-methylspiro-pyrrolidine derivatives 4an.
Figure 2. Antiproliferative activity of N-methylspiro-pyrrolidine derivatives 4an.
Molecules 19 10033 g002
N-α-Phenyl substituted spiro-pyrrolidines derivatives 5an were evaluated for their antiproliferative potency against SK-OV-3, MDA-MB-231, and CCRF-CEM cells. All compounds showed higher antiproliferative potency in MDA-MB-231 than other cancer cell lines (Figure 3).
Figure 3. Antiproliferative activity of N-α-phenyl substituted spiro-pyrrolidines derivatives 5an.
Figure 3. Antiproliferative activity of N-α-phenyl substituted spiro-pyrrolidines derivatives 5an.
Molecules 19 10033 g003
The majority of compounds showed modest to modest antiproliferative activity in MDA-MB-231 cells by inhibiting the proliferation in a range of 59% to 87%. The potency of compound 5g was found to be cell-specific since this compound inhibited the proliferation of MDA-MB-231, CCRF-CEM, and SK-OV-3 by 82%, 44%, and 22%, respectively. In general, the N-α-phenyl substituted spiro-pyrrolidines derivatives 5an showed higher antiproliferative activity when compared with the corresponding N-methyl spiro-pyrrolidine derivatives 4an. For instance, 2-chlorosubstituted 4d did not inhibit the proliferation of SK-OV-3 and MDA-MB-231 cells. However, after the replacement of hydrogen with a phenyl ring at position 5 in the corresponding 2-chlorosubstituted compound 5d, the antiproliferative potency elevated significantly by 52%, 75% in SK-OV-3 and MDA-MB-231, respectively, suggesting that the presence of phenyl group contributes to the improvement of the antiproliferative potency of the compound. Finally, a class of spiro-pyrrolizines derivatives was examined for their antiproliferative activity against SK-OV-3, MDA-MB-231, and CCRF-CEM cells (Figure 4).
A number of derivatives including 6ac and 6im compounds showed a comparable activity with Dox in all three cell lines. Among all derivatives, compound 6m inhibited the proliferation of CCRF-CEM cells by 64%. Similarly, compound 6a inhibited MDA-MB-231 proliferation by 87%. However, compound 6b exhibited higher activity in SK-OV-3 cells by inhibiting their growth up to 74%, respectively. The antiproliferative activity of compounds 6f, 6h and 6n were decreased significantly when compared to their corresponding compounds 5f, 5h and 5n. The other spiro-pyrrolizines derivatives in this class showed comparable or higher antiproliferative activity when compared with spiro-pyrrolidines derivatives, suggesting that the less rigidity of the chemical structure contributes possibly to their antiproliferative activity. Compounds 6a and 6b exhibited IC50 values of 25.2 and 3.6 μM in CCRF-CEM cells and 38.9 and 35.8 μM in SK-OV-3 cells after 72 h incubation.
Figure 4. Antiproliferative activity of 6an.
Figure 4. Antiproliferative activity of 6an.
Molecules 19 10033 g004

3. Experimental

3.1. General Methods

The melting points were measured using open capillary tubes and are uncorrected. 1H, 13C andtwo-dimensional NMR spectra were recorded on a Bruker 500, 400 and 300 MHz instruments in CDCl3, MeOD, and DMSO using TMS as internal standard. Chemical shifts are given in parts per million (-scale) and the coupling constants are given in Hertz. IR spectra were recorded on a JASCO FT IR instrument (KBr pellets). Elemental analyses were performed on a Perkin Elmer 2400 Series II Elemental CHNS analyzer. Column chromatography was performed on silica gel (230–400 mesh) using petroleum ether-ethyl acetate as eluents.

3.2. General Procedure for the Synthesis of 3,5-bis[(E)-Arylmethylidene]tetrahydro-4(1H)-pyridinones 2

Following the literature reported procedure by Dimmock et al., an appropriate aryl aldehyde (2 mmol) was added to a suspension of 4-piperidone hydrochloride monohydrate (1 mmol) in acetic acid (40 mL). Dry hydrogen chloride was passed through this mixture for 30 min during which time a clear solution was obtained and the stirring continued for 24 h. The precipitate obtained was collected and added to a mixture of saturated aqueous potassium carbonate solution and acetone. The resultant mixture was stirred for 30 min, the free base collected was washed with water and dried and crystalized with ethyl acetate to afford 2 in good yield.

3.3. General Procedure for the Synthesis of 1-Methyl-4-(aryl)pyrrolo-(spiro[2.3″]oxindole)-spiro[3.3′]-5′(arylmethylidene)-piperidin-4′-ones 4

A mixture of 3,5-bis[(E)-arylmethylidene]tetrahydro-4(1H)-pyridinone (1 mmol), isatin (1.1 mmol), and sarcosine (1.1 mmol) were dissolved in methanol (5 mL) and heated under reflux for 1 h. After completion of the reaction as evident from TLC, the mixture was poured into water (50 mL). The precipitated solid was filtered and washed with water to obtain the corresponding product 4 in good yield.

3.4. Spectral Data

1-Methyl-4-(phenyl)pyrrolo-(spiro[2.3″]oxindole)-spiro[3.3′]-5′-(phenylmethylidene)-piperidin-4′-one (4a). Obtained as a pale yellow solid, (0.150 g, 92%); mp = 169–171°C; IR (KBr): 1604, 1620, 1703, 3407 cm−1; 1H-NMR (300 MHz, CDCl3): δH 2.05 (d, 1H, J = 13.2 Hz, 2ꞌ-CH2), 2.14 (s, 1H, N-CH3), 3.35 (dd, 1H, J = 7.2, 7.2 Hz, 5-CH2), 3.50–3.58 (m, 2H, 6ꞌ-CH2), 3.64 (d, 1H, J = 13.2 Hz, 2ꞌ-CH2), 3.94 (dd, 1H, J = 9.0, 8.7 Hz, 5-CH2), 4.85 (dd, 1H, J = 7.2, 7.2 Hz, 4-CH), 6.66–7.43 (m, 15H, Ar-H), 8.41 (s, 1H, 1ꞌꞌ-NH). 13C-NMR (75 MHz, CDCl3): δC 35.07, 46.43, 48.66, 50.38, 57.35, 66.75, 76.29, 109.46, 122.55, 127.22, 127.99, 128.29, 128.59, 128.66, 128.97, 129.26, 130.01, 130.24, 135.16, 135.63, 137.75, 138.97, 142.15, 178.69, 199.98. Anal. calcd for C29H27N3O2: C, 77.48; H, 6.05; N, 9.35; found: C, 77.34; H, 6.23; N, 9.28.
1-Methyl-4-(2-methylphenyl)pyrrolo-(spiro[2.3″]oxindole)-spiro[3.3′]-5′-(2-methylphenylmethylidene) piperidin-4′-one (4b). Obtained as a pale yellow solid, (0.140 g, 90%); mp = 163–164 °C; IR (KBr): 1602, 1615, 1711, 3405 cm1; 1H-NMR (400 MHz, CDCl3): δH 2.06–2.09 (m, 1H, 2'-CH2), 2.15 (s, 3H, N-CH3), 2.17 (s, 3H, CH3), 2.32 (s, 3H, CH3), 3.25–3.56 (m, 4H, 5-CH2, 6'-CH2 and 2'-CH2), 4.00 (t, 1H, J = 9.2 Hz, 5-CH2), 4.98 (t, 1H, J = 8.0 Hz, 4-CH), 6.72–7.57 (m, 11H, Ar-H), 7.70 (d, 1H, J = 6.8 Hz, Ar-H), 7.83 (d, 1H, J = 8.0 Hz, Ar-H), 8.23 (s, 1H, 1"-NH). 13C-NMR (100 MHz, CDCl3): δC 20.44, 21.55, 35.06, 42.46, 48.66, 51.44, 58.81, 64.72, 76.04, 109.60, 122.98, 125.69, 126.21, 126.99, 128.38, 128.85, 128.99, 129.18, 129.74, 129.83, 130.47, 130.56, 130.61, 131.15, 134.12, 134.54, 137.53, 138.09, 142.30, 178.21, 199.75. Anal. calcd for C31H31N3O2: C, 77.96; H, 6.54; N, 8.80; found: C, 77.81; H, 6.65; N, 8.69.
1-Methyl-4-(2-methoxyphenyl)pyrrolo-(spiro[2.3″]oxindole)-spiro[3.3′]-5′-(2-methoxyphenylmethylid ene)piperidin-4′-one (4c). Obtained as a white solid, (0.130 g, 86%); mp = 159–160 °C; IR (KBr): 1599, 1617, 1705, 3410 cm1; 1H-NMR (300 MHz, CDCl3): δH 2.15 (s, 3H, N-CH3), 2.30 (d, 1H, J = 13.8 Hz, 2'-CH2), 3.24–3.71 (m, 4H, 5-CH2, 6'-CH2 and 2'-CH2), 3.73 (s, 3H, OCH3), 3.81 (s, 3H, OCH3), 4.10 (dd, 1H, J = 9.3, 9.0 Hz, 5-CH2), 4.93 (dd, 1H, J = 8.1, 7.5 Hz, 4-CH), 6.68–7.65 (m, 13H, Ar-H), 8.37 (s, 1H, 1"-NH). 13C-NMR (75 MHz, CDCl3): δC 35.28, 40.39, 48.42, 55.07, 55.34, 55.71, 56.28, 64.03, 76.44, 109.66, 110.25, 110.94, 120.18, 120.89,122.50, 122.89, 124.90, 126.47, 127.96, 128.72, 128.98, 129.18, 130.48, 130.63, 133.59, 134.32, 142.28, 158.34, 158.48, 178.51, 199.07. Anal. calcd for C31H31N3O4: C, 73.06; H, 6.13; N, 8.25; found: C, 73.28; H, 6.29; N, 8.32.
1-Methyl-4-(2-chlorophenyl)pyrrolo-(spiro[2.3″]oxindole)-spiro[3.3′]-5′-(2-chlorophenylmethylidene)piperidin-4′-one (4d). Obtained as a white solid, (0.137 g, 91%); mp = 168–169 °C; IR (KBr): 1598, 1615, 1706, 3409 cm1; 1H-NMR (400 MHz, CDCl3): δH 2.03 (d, 1H, J = 14.2 Hz, 2'-CH2), 2.13 (s, 3H, N-CH3), 3.25–3.57 (m, 4H, 5-CH2, 6'-CH2 and 2'-CH2), 3.99 (t, 1H, J = 8.8 Hz, 5-CH2), 5.14 (t, 1H, J = 8.8 Hz, 4-CH), 6.72 (d, 1H, J = 7.6 Hz, Ar-H), 6.87–7.31 (m, 8H, Ar-H), 7.34 (d, 2H, J = 8.0 Hz, Ar-H), 7.64 (s, 1H, C=CH), 8.00 (d, 1H, J = 8.0 Hz, Ar-H), 8.31 (s, 1H, 1"-NH). 13C-NMR (100 MHz, CDCl3): δC 35.12, 43.14, 48.52, 50.83, 57.97, 64.01, 77.67, 109.62, 123.54, 126.56, 126.83, 127.12, 128.37, 128.58, 129.32, 129.59, 129.64, 130.10, 130.48, 131.29, 134.06, 135.05, 135.30, 135.61, 136.27, 137.30, 141.98, 178.20, 198.60. Anal. calcd for C29H25Cl2N3O2: C, 67.19; H, 4.86; N, 8.11; found: C, 67.30; H, 4.70; N, 8.04.
1-Methyl-4-(2-bromophenyl)pyrrolo-(spiro[2.3ꞌꞌ]oxindole)-spiro[3.3′]-5′-(2-bromophenylmethylidene)piperidin-4′-one (4e). Obtained as a white solid, (0.126 g, 90%); mp = 143–144 °C; IR (KBr): 1605, 1614, 1702, 3412 cm1; 1H-NMR (400 MHz, CDCl3): δH 1.99 (d, 1H, J = 14.8 Hz, 2'-CH2), 2.13 (s, 3H, N-CH3), 3.24–3.57 (m, 4H, 5-CH2, 6'-CH2 and 2'-CH2), 3.96 (t, 1H, J = 8.8 Hz, 5-CH2), 5.08 (t, 1H, J = 8.4 Hz, 4-CH), 6.74 (d, 1H, J = 7.6 Hz, Ar-H), 6.89 (d, 1H, J = 7.2 Hz, Ar-H), 6.98–7.61 (m, 8H, Ar-H), 7.65 (s, 1H, C=CH), 7.94 (t, 1H, J = 8.8 Hz, Ar-H), 8.05 (d, 1H, J = 7.6 Hz, Ar-H), 8.42 (s, 1H, 1"-NH). 13C-NMR (100 MHz, CDCl3): δC 35.10, 46.09, 48.27, 50.78, 58.47, 63.85, 76.14, 109.68, 123.64, 125.46, 126.81, 127.19, 127.64, 127.70, 128.59, 128.69, 129.33, 130.24, 130.46, 131.73, 132.95, 133.01, 133.35, 135.85, 137.26, 139.08, 142.05, 178.22, 198.58. Anal. calcd for C29H25Br2N3O2: C, 57.35; H, 4.15; N, 6.92; found: C, 57.52; H, 4.01; N, 6.84.
1-Methyl-4-(2-fluorophenyl)pyrrolo-(spiro[2.3″]oxindole)-spiro[3.3′]-5′-(2-fluorophenylmethylidene)piperidin-4′-one (4f). Obtained as a white solid, (0.143 g, 92%); mp = 165–166 °C; IR (KBr): 1603, 1617, 1705, 3408 cm1; 1H-NMR (400 MHz, CDCl3): δH 2.14 (s, 3H, N-CH3), 2.30 (d, 1H, J = 13.6 Hz, 2'-CH2), 3.27–3.55 (m, 4H, 5-CH2, 6'-CH2 and 2'-CH2), 3.98 (t, 1H, J = 9.6 Hz, 5-CH2), 5.08 (t, 1H, J = 9.6 Hz, 4-CH), 6.68 (d, 1H, J = 7.6 Hz, Ar-H), 6.83–7.32 (m, 11H, Ar-H), 7.76 (t, 1H, J = 7.2 Hz, Ar-H), 8.01 (s, 1H, 1"-NH). 13C-NMR (100 MHz, CDCl3): δC 35.07, 38.61, 48.80, 50.68, 56.97, 65.03, 76.89, 109.42, 115.45 (2JCF = 22.6 Hz), 116.00 (2JCF = 21.8 Hz), 122.99, 123.92, 123.96, 126.49, 127.15, 128.25, 128.59, 128.73, 129.15, 129.30, 130.68, 130.79, 130.87, 136.23, 141.90, 160.68, 162.23, 178.20, 198.37. Anal. calcd for C29H25F2N3O2: C, 71.74; H, 5.19; N, 8.65; found: C, 71.95; H, 5.08; N, 8.78.
1-Methyl-4-(2,4-dichlorophenyl)pyrrolo-(spiro[2.3″]oxindole)-spiro[3.3′]-5′-(2,4-dichlorophenylmeth ylidene)piperidin-4′-one (4g). Obtained as a white solid, (0.127 g, 90%); mp = 171–172 °C; IR (KBr): 1600, 1619, 1708, 3406 cm1; 1H-NMR (300 MHz, CDCl3): δH 2.11 (s, 3H, N-CH3), 2.22–2.25 (m, 1H, 2'-CH2), 3.27–3.56 (m, 4H, 6'-CH2,2'-CH2 and 5-CH2), 3.91 (t, 1H, J = 9.0 Hz, 5-CH2), 5.07 (t, 1H, J = 8.7 Hz, 4-CH), 6.69–7.44 (m, 8H, Ar-H), 7.54 (s, 1H, Ar-H), 7.86 (d, 1H, J = 8.4 Hz, Ar-H), 7.95 (d, 1H, J = 8.7 Hz, Ar-H), 8.77 (s, 1H, 1"-NH). 13C-NMR (75 MHz, CDCl3): δC 35.10, 42.65, 48.11, 49.95, 57.10, 63.92, 76.54, 109.20, 123.47, 125.93, 126.55, 127.03, 128.36, 129.34, 129.48, 130.06, 130.87, 132.36, 132.54, 133.46, 133.93, 134.41, 135.45, 135.80, 136.04, 136.78, 142.15, 178.33, 198.39. Anal. calcd for C29H23Cl4N3O2: C, 59.30; H, 3.95; N, 7.15; found: C, 59.45; H, 3.77; N, 7.01.
1-Methyl-4-(3-nitrophenyl)pyrrolo-(spiro[2.3″]oxindole)-spiro[3.3′]-5′-(3-nitrophenylmethylidene)piperidin-4′-one (4h). Obtained as a pale yellow solid, (0.131 g, 89%); mp = 185–186 °C; IR (KBr): 1599, 1617, 1705, 3408 cm−1; 1H-NMR (400 MHz, MeOH): δH 2.09–2.13 (m, 1H, 2'-CH2), 2.17 (s, 3H, N-CH3), 3.44 (t, 1H, J = 7.6 Hz, 5-CH2), 3.51–3.60 (m, 2H, 6'-CH2), 3.64 (d, 1H, J = 12.8 Hz, 2'-CH2) 3.94 (t, 1H, J = 9.6 Hz, 5-CH2), 4.90 (dd, 1H, J = 7.6, 7.2 Hz, 4-CH), 6.74 (d, 1H, J = 7.6 Hz, Ar-H), 6.92–8.12 (m, 11H, Ar-H), 8.34 (s, 1H, 1"-NH). 13C-NMR (100 MHz, MeOH): δC 34.92, 45.92, 48.40, 50.39, 57.54, 66.71, 76.10, 109.75, 122.50, 122.62, 123.56, 124.40, 124.74, 127.41, 128.20, 129.59, 129.68, 129.73, 134.98, 135.67, 136.39, 137.03, 137.12, 141.23, 142.22, 148.50, 148.75, 178.18, 199.03. Anal. calcd for C29H25N5O6: C, 64.56; H, 4.67; N, 12.98; found: C, 64.68; H, 4.59; N, 12.85.
1-Methyl-4-(4-methylphenyl)pyrrolo-(spiro[2.3″]oxindole)-spiro[3.3′]-5′-(4-methylphenylmethylidene)piperidin-4′-one (4i). Obtained as a white solid, (0.146 g, 93%); mp = 180–181 °C; IR (KBr): 1607, 1621, 1710, 3412 cm1; 1H-NMR (400 MHz, CDCl3): δH 2.14 (s, 3H, N-CH3), 2.20 (d, 1H, J = 13.6 Hz,2'-CH2), 2.30 (s, 3H, CH3), 2.31 (s, 3H, CH3), 3.15–3.63 (m, 4H, 5-CH2, 6'-CH2 and 2'-CH2), 3.91 (t, 1H, J = 9.6 Hz, 5-CH2), 4.80 (t, 1H, J = 9.6 Hz, 4-CH), 6.63–7.32 (m, 13H, Ar-H), 8.08 (s, 1H, 1"-NH). 13C-NMR (100 MHz, CDCl3): δC 21.43, 21.69, 35.04, 46.18, 48.73, 50.29, 57.51, 66.51, 76.40, 109.33, 122.55, 128.33, 129.19, 129.54, 129.71, 129.89, 130.16, 130.41, 132.84, 134.38, 135.83, 136.77, 137.80, 139.27, 142.02, 178.64, 200.02. Anal. calcd for C31H31N3O2: C, 77.96; H, 6.54; N, 8.80; found: C, 78.10; H, 6.46; N, 8.73.
1-Methyl-4-(4-methoxyphenyl)pyrrolo-(spiro[2.3″]oxindole)-spiro[3.3′]-5′-(4-methoxyphenylmethylidene)piperidin-4′-one (4j). Obtained as a pale yellow solid, (0.129 g, 85%); mp = 187–188 °C; IR (KBr): 1600, 1615, 1706, 3410 cm1; 1H-NMR (400 MHz, CDCl3): δH 2.14 (s, 3H, N-CH3), 2.21 (d, 1H, J = 13.2 Hz, 2'-CH2), 3.35 (dd, 1H, J = 7.2, 7.2 Hz, 5-CH2), 3.55–3.76 (m, 2H, 6'-CH2), 3.77 (s, 3H, OCH3), 3.78 (s, 3H, OCH3), 3.80–3.91 (m, 2H, 5-CH2 and 2'-CH2), 4.78 (dd, 1H, J = 7.2, 7.2 Hz, 4-CH), 6.65 (d, 1H, J = 7.6 Hz, Ar-H), 6.77–7.09 (m, 8H, Ar-H), 7.13 (d, 2H, J = 7.6 Hz, Ar-H), 7.35 (d, 2H, J = 8.8 Hz, Ar-H), 8.27 (s, 1H, 1"-NH). 13C-NMR (100 MHz, CDCl3): δC 34.61, 45.52, 48.36, 49.82, 55.18, 55.22, 57.37, 65.85, 76.12, 108.86, 113.60, 113.74, 122.05, 127.61, 127.90, 128.71, 130.58, 131.84, 132.37, 132.72, 137.27, 141.66, 158.45, 159.97, 178.22, 199.52. Anal. calcd for C31H31N3O4: C, 73.06; H, 6.13; N, 8.25; found: C, 73.17; H, 6.01; N, 8.34.
1-Methyl-4-(4-chlorophenyl)pyrrolo-(spiro[2.3″]oxindole)-spiro[3.3′]-5′-(4-chlorophenylmethylidene)piperidin-4′-one (4k). Obtained as a pale yellow solid, (0.140 g, 93%); mp = 169–170°C; IR (KBr): 1602, 1617, 1709, 3410 cm1; 1H-NMR (500 MHz, CDCl3): δH 2.07–2.10 (m, 1H, 2'-CH2), 2.13 (s, 3H, N-CH3), 3.34 (t, 1H, J = 8.0 Hz, 5-CH2), 3.48–3.54 (m, 2H, 6'-CH2), 3.60 (d, 1H, J = 13.0 Hz, 2'-CH2), 3.86 (t, 1H, J = 10.0 Hz, 5-CH2), 4.79 (dd, 1H, J = 7.5, 7.5 Hz, 4-CH), 6.67 (d, 1H, J = 8.0 Hz, Ar-H), 6.91 (d, 2H, J = 8.0 Hz, Ar-H), 6.97 (t, 1H, J = 7.5 Hz, Ar-H), 7.00 (s, 1H, C=CH), 7.07–7.13 (m, 2H, Ar-H), 7.21–7.28 (m, 4H, Ar-H), 7.35 (d, 2H, J = 8.5 Hz, Ar-H), 8.45 (s, 1H, 1"-NH). 13C-NMR (125 MHz, CDCl3): δC 34.60, 45.32, 48.21, 49.92, 56.99, 66.17, 75.81, 109.17, 122.15, 127.81, 128.42, 128.53, 128.78, 129.00, 130.97, 131.07, 132.69, 133.50, 134.71, 134.98, 136.16, 137.00, 141.77, 178.30, 199.24. Anal. calcd for C29H25Cl2N3O2: C, 67.19; H, 4.86; N, 8.11; found: C, 67.07; H, 4.73; N, 8.19.
1-Methyl-4-(4-bromophenyl)pyrrolo-(spiro[2.3″]oxindole)-spiro[3.3′]-5′-(4-bromophenylmethylidene)piperidin-4′-one (4l). Obtained as a pale yellow solid, (0.127 g, 91%); mp = 172–173 °C; IR (KBr): 1598, 1619, 1710, 3409 cm1; 1H-NMR (300 MHz, MeOH): δH 2.11 (s, 3H, N-CH3), 2.17 (d, 1H, J = 13.2 Hz, 2'-CH2), 3.32–3.56 (m, 4H, 5-CH2,6'-CH2 and 2'-CH2), 3.90 (dd, 1H, J = 9.0, 9.0 Hz, 5-CH2), 4.64 (s, 1H, 1"-NH), 4.76 (dd, 1H, J = 7.5, 7.2 Hz, 4-CH), 6.72 (d, 1H, J = 7.8 Hz, Ar-H), 6.98–7.18 (m, 6H, Ar-H), 7.34 (d, 2H, J = 8.4 Hz, Ar-H), 7.45–7.48 (m, 4H, Ar-H). 13C-NMR (75 MHz, MeOH): δC 33.86, 45.84, 48.28, 50.01, 57.10, 65.86, 76.31, 109.55, 120.81, 121.91, 122.96, 127.15, 127.74, 129.36, 131.43, 131.56, 131.69, 131.77, 134.43, 135.74, 136.13, 138.06, 143.25, 178.53, 199.78. Anal. calcd for C29H25Br2N3O2: C, 57.35; H, 4.15; N, 6.92; found: C, 57.48; H, 4.27; N, 6.99.
1-Methyl-4-(4-fluorophenyl)pyrrolo-(spiro[2.3″]oxindole)-spiro[3.3′]-5′-(4-fluorophenylmethylidene)piperidin-4′-one (4m). Obtained as a white solid, (0.146 g, 94%); mp = 174–175 °C; IR (KBr): 1601, 1618, 1709, 3411 cm1; 1H-NMR (300 MHz, MeOH): δH 2.10 (s, 3H, N-CH3), 2.18 (d, 1H, J = 13.2 Hz, 2'-CH2), 3.26–3.57 (m, 4H, 5-CH2, 6'-CH2 and 2'-CH2), 3.89 (dd, 1H, J = 9.3, 9.0 Hz, 5-CH2), 4.65 (s, 1H, 1"-NH), 4.78 (dd, 1H, J = 7.5, 7.2 Hz, 4-CH), 6.73 (d, 1H, J = 7.5 Hz, Ar-H), 6.89–7.17 (m, 11H, Ar-H), 7.39–7.44 (m, 1H, Ar-H). 13C-NMR (75 MHz, MeOH): δC 33.90, 45.73, 48.22, 50.02, 57.40, 65.75, 76.42, 109.54, 114.64 (2JCF = 21.2 Hz), 115.30 (2JCF = 21.8 Hz), 121.93, 127.22, 127.75, 129.32, 131.30 (JCF = 77.3 Hz), 131.73 (JCF = 3.3 Hz), 132.25 (JCF = 83.3 Hz), 134.64 (2JCF = 3.2 Hz), 134.87, 136.42, 143.22, 162.32 (1JCF = 242.7 Hz), 163.14 (1JCF = 247.4 Hz), 178.58, 199.98. Anal. calcd for C29H25F2N3O2: C, 71.74; H, 5.19; N, 8.65; found: C, 71.87; H, 5.31; N, 8.59.
1-Methyl-4-(1-naphthyl)pyrrolo-(spiro[2.3″]oxindole)-spiro[3.3′]-5′-(1-naphthylmethylidene)piperidin-4′-one (4n). Obtained as a pale yellow solid, (0.132 g, 90%); mp = 160–161 °C; IR (KBr): 1698, 1620, 1706, 3410 cm−1; 1H-NMR (300 MHz, DMSO): δH 1.66 (d, 1H, J = 12.6 Hz, 2'-CH2), 2.00 (s, 3H, N-CH3), 3.07 (d, 1H, J = 15.8 Hz, 6'-CH2), 3.19 (d, 1H, J = 15.8 Hz, 6'-CH2), 3.35 (t, 1H, J = 7.8 Hz, 5-CH2), 3.55 (d, 1H, J = 12.6 Hz, 2'-CH2), 4.05 (t, 1H, J = 9.3 Hz, 5-CH2), 5.50 (t, 1H, J = 8.4 Hz, 4-CH), 6.66 (d, 1H, J = 6.6 Hz, Ar-H), 7.02–7.96 (m, 17H, Ar-H), 8.12 (d, 1H, J = 8.7 Hz, Ar-H), 10.46 (s, 1H, 1"-NH). 13C-NMR (75 MHz, DMSO): δC 34.95, 40.63, 49.23, 51.52, 58.72, 64.93, 76.59, 109.95, 122.19, 124.48, 125.49, 125.89, 126.17, 126.33, 127.12, 127.32, 127.47, 127.61, 127.79, 128.03, 129.23, 129.36, 129.56, 129.74, 129.80, 131.64, 132.54, 133.63, 133.74, 134.37, 135.14, 135.84, 137.0, 144.41, 177.57, 199.76. Anal. calcd for C37H31N3O2: C, 80.85; H, 5.68; N, 7.64; found: C, 80.96; H, 5.82; N, 7.55.
4,5-Diphenylpyrrolo(spiro[2.3′′]-oxindole)-spiro-[3.3′]-5′-(phenylmethylidene)piperidin-4′-one (5a). Obtained as a white solid, (0.170 g, 93%); mp = 162–163 °C; IR (KBr): 1593, 1613, 1698, 3179, 3344 cm1; 1H-NMR (500 MHz, CDCl3): δH 2 .31 (d, 1H, J = 13.0 Hz, 2'-CH2), 3.52 (dd, 1H, J = 14.5, 2.5 Hz, 6'-CH2), 3.64 (d, 1H, J = 15.0 Hz, 6'-CH2), 3.77 (dd, 1H, J = 13.0, 1.0 Hz, 2'-CH2), 4.73 (d, 1H, J = 11.0 Hz, 4-CH), 5.43 (d, 1H, J = 11.0 Hz, 5-CH), 6.67 (d, 1H, J = 7.5 Hz, Ar-H), 6.98–7.04 (m, 4H, Ar-H), 7.12–7.28 (m, 11H, Ar-H), 7.41 (d, 2H, J = 7.0 Hz, Ar-H), 7.53 (d, 2H, J = 7.5 Hz, Ar-H), 7.99 (s, 1H, 1"-NH). 13C-NMR (125 MHz, CDCl3): δC48.19, 49.74, 56.85, 64.24, 67.34, 71.82, 109.21, 122.20, 126.85, 127.02, 127.57, 127.66, 128.25, 128.33, 128.70, 128.99, 129.21, 129.89, 129.93, 134.86, 135.12, 137.09, 137.38, 140.74, 141.00, 180.91, 200.14. Anal. calcd for C34H29N3O2: C, 79.82; H, 5.71; N, 8.21; found: C, 79.70; H, 5.85; N, 8.15.
4-(2-Methylphenyl)-5-phenylpyrrolo(spiro[2.3″]oxindole)spiro[3.3′]-5′-(2-methylphenylmethylidene) piperidin-4′-one (5b). Obtained as a pale yellow solid, (0.160 g, 90%); mp = 150–151 °C; IR (KBr): 1595, 1618, 1697, 3168, 3340 cm1; 1H-NMR (300 MHz, CDCl3): δH 2.11 (s, 1H, CH3), 2.20 (s, 1H, CH3), 2.27–2.32 (m, 1H, 2'-CH2), 3.41 (d, 1H, J = 15.3 Hz, 6'-CH2), 3.51 (dd, 1H, J = 15.3, 2.4 Hz, 6'-CH2), 3.58 (d, 1H, J = 13.2 Hz, 2'-CH2), 4.90 (d, 1H, J = 9.9 Hz, 4-CH), 5.54 (d, 1H, J = 9.9 Hz, 5-CH), 6.73 (d, 1H, J = 7.5 Hz, Ar-H), 6.82 (d, 1H, J = 7.5 Hz, Ar-H), 6.92–7.55 (m, 15H, Ar-H), 7.63 (s, 1H, C=CH), 8.42 (s, 1H, 1"-NH). 13C-NMR (75 MHz, CDCl3): δC 20.49, 21.44, 48.43, 51.42, 54.54, 65.44, 66.53, 74.25, 109.94, 122.91, 125.80, 125.98, 126.29, 126.98, 127.83, 127.91, 128.81, 128.94, 129.42, 129.64, 130.58, 130.78, 134.36, 134.54, 135.46, 135.60, 136.82, 137.44, 138.21, 138.31, 138.63, 141.79, 180.90, 201.06. Anal. calcd for C36H33N3O2: C, 80.12; H, 6.16; N, 7.79; found: C, 80.28; H, 6.27; N, 7.70.
4-(2-Methoxyphenyl)-5-phenylpyrrolo(spiro[2.3″]oxindole)spiro[3.3′]-5′-(2-methoxyphenylmethylidene)piperidin-4′-one (5c). Obtained as a pale yellow solid, (0.144 g, 85%); mp = 155–156 °C; IR (KBr): 1597, 1614, 1695, 3173, 3342 cm1; 1H-NMR (300 MHz, CDCl3): δH 2.43 (d, 1H, J = 13.8 Hz, 2'-CH2), 3.26–3.62 (m, 3H, 6'-CH2 and 2'-CH2), 3.65 (s, 3H, OCH3), 3.83 (s, 3H, OCH3), 4.89 (d, 1H, J = 9.9 Hz, 4-CH), 5.74 (d, 1H, J = 9.9 Hz, 5-CH), 6.67–7.86 (m, 18H, Ar-H and C=CH), 8.02 (s, 1H, 1"-NH). 13C-NMR (75 MHz, CDCl3): δC 48.50, 49.76, 54.32, 55.41, 55.80, 63.89, 66.56, 74.29, 110.36, 111.05, 111.12, 120.31, 120.51, 121.09, 122.83, 124.72, 127.33, 127.88, 128.07, 128.31, 128.85, 129.29, 130.53, 130.88, 131.03, 133.42, 141.81, 158.23, 158.76, 180.01, 201.03. Anal. calcd for C36H33N3O4: C, 75.64; H, 5.82; N, 7.35; found: C, 75.50; H, 5.97; N, 7.18.
4-(2-Chlorophenyl)-5-phenylpyrrolo(spiro[2.3″]oxindole)spiro[3.3′]-5′-(2-chlorophenylmethylidene)piperidin-4′-one (5d). Obtained as a white solid, (0.155 g, 92%); mp = 151–152 °C; IR (KBr): 1590, 1617, 1692, 3175, 3340 cm1; 1H-NMR (300 MHz, CDCl3): δH 1.97 (br s, 1H, NH), 2.41 (d, 1H, J = 13.8 Hz, 2'-CH2), 3.27 (d, 1H, J = 13.8 Hz, 2'-CH2), 3.42 (d, 1H, J = 15.6 Hz, 6'-CH2), 3.61 (d, 1H, J = 15.6 Hz, 6'-CH2), 5.11 (d, 1H, J = 9.0 Hz, 4-CH), 5.66 (d, 1H, J = 9.0 Hz, 5-CH), 6.69 (d, 1H, J = 7.5 Hz, Ar-H), 6.97–7.39 (m, 12H, Ar-H), 7.58–7.66 (m, 3H, Ar-H), 7.84 (s, 1H, C=CH), 8.15 (d, 1H, J = 7.2 Hz, Ar-H), 8.68 (s, 1H, 1"-NH). 13C-NMR (75 MHz, CDCl3): δC 48.52, 50.71, 55.41, 64.74, 65.74, 75.18, 109.92, 123.44, 126.66, 127.17, 127.29, 127.72, 128.12, 128.18, 128.47, 129.00, 129.51, 129.71, 130.19, 130.32, 130.52, 131.09, 133.87, 135.11, 135.33, 135.58, 136.52, 136.70, 141.22, 141.64, 179.14, 200.63. Anal. calcd for C34H27Cl2N3O2: C, 70.35; H, 4.69; N, 7.24; found: C, 70.47; H, 4.61; N, 7.16.
4-(2-Bromophenyl)-5-phenylpyrrolo(spiro[2.3″]oxindole)spiro[3.3′]-5′-(2-bromophenylmethylidene)piperidin-4′-one (5e). Obtained as a white solid, (0.137 g, 89%); mp = 153–154 °C; IR (KBr): 1590, 1611, 1694, 3184, 3337 cm1; 1H-NMR (300 MHz, CDCl3): δH 1.91 (br s, 1H, NH), 2.45 (d, 1H, J = 13.8 Hz, 2'-CH2), 3.23 (d, 1H, J = 13.8 Hz, 2'-CH2), 3.40 (d, 1H, J = 15.6 Hz, 6'-CH2), 3.62 (dd, 1H, J = 15.6, 2.1 Hz, 6'-CH2), 5.06 (d, 1H, J = 9.3 Hz, 4-CH), 5.67 (d, 1H, J = 9.3 Hz, 5-CH), 6.71 (d, 1H, J = 7.8 Hz, Ar-H), 6.95–7.44 (m, 8H, Ar-H), 7.48 (d, 2H, J = 7.5 Hz, Ar-H), 7.58 (d, 2H, J = 7.2 Hz, Ar-H), 7.67 (d, 2H, J = 7.2 Hz, Ar-H), 7.84 (s, 1H, C=CH), 8.21(d, 1H, J = 7.8 Hz, Ar-H), 8.67 (s, 1H, 1"-NH). 13C-NMR (75 MHz, CDCl3): δC 48.28, 50.66, 58.56, 64.64, 66.37, 75.47, 110.01, 123.57, 125.76, 127.16, 127.32, 127.59, 127.93, 128.13, 128.22, 128.54, 128.83, 129.04, 129.55, 130.54, 131.49, 133.07, 133.45, 135.14, 135.62, 137.38, 138.44, 141.13, 141.68, 178.95, 200.93. Anal. calcd for C34H27Br2N3O2: C, 61.00; H, 4.07; N, 6.28; found: C, 61.13; H, 4.26; N, 6.40.
4-(2-Fluorophenyl)-5-phenylpyrrolo(spiro[2.3″]oxindole)spiro[3.3′]-5′-(2-fluorophenylmethylidene)piperidin-4′-one (5f). Obtained as a white solid, (0.158 g, 90%); mp = 148–149 °C; IR (KBr): 1592, 1618, 1694, 3178, 3345 cm1; 1H-NMR (300 MHz, CDCl3): δH 2.20 (br s, 1H, NH), 2.43 (d, 1H, J = 13.5 Hz, 2'-CH2), 3.31–3.66 (m, 3H, 2'-CH2 and 6'-CH2), 5.00 (d, 1H, J = 9.9 Hz, 4-CH), 5.57 (d, 1H, J = 9.9 Hz, 5-CH), 6.68 (d, 1H, J = 7.5 Hz, Ar-H), 6.90–7.63 (m, 16H, Ar-H), 7.87 (s, 1H, C=CH), 8.65 (s, 1H, 1"-NH). 13C-NMR (75 MHz, CDCl3): δC 48.79, 50.39, 63.10, 64.48, 65.97, 73.65, 109.92, 115.64 (2JCF = 23.3 Hz), 116.08 (2JCF = 21.7 Hz), 122.94, 123.39, 123.57, 124.07 (JCF = 3.0 Hz), 124.48 (JCF = 3.0 Hz), 127.28, 128.01, 128.18, 128.31, 128.92, 129.41, 129.56, 130.16, 130.61, 130.80, 131.16, 136.04, 140.98, 141.59, 161.15 (1JCF = 250.6 Hz), 161.96 (1JCF = 244.1 Hz), 180.24, 199.77. Anal. calcd for C34H27F2N3O2: C, 74.57; H, 4.97; N, 7.67; found: C, 74.45; H, 4.88; N, 7.74.
4-(2,4-Dichlorophenyl)-5-phenylpyrrolo(spiro[2.3″]oxindole)spiro[3.3′]-5′-(2,4-dichlorophenyl methylidenedichlorophenylmethylidene)piperidin-4′-one (5g). Obtained as a white solid, (0.144 g, 92%); mp = 160–161 °C; IR (KBr): 1599, 1618, 1704, 3182, 3338 cm1; 1H-NMR (300 MHz, CDCl3): δH 2.35 (d, 1H, J = 13.5 Hz, 2'-CH2), 3.23–3.42 (m, 2H, 2'-CH2 and 6'-CH2), 3.56 (d, 1H, J = 15.3 Hz, 6'-CH2), 5.04 (d, 1H, J = 9.3 Hz, 4-CH), 5.58 (d, 1H, J = 9.3 Hz, 5-CH), 6.69 (d, 1H, J = 7.2 Hz, Ar-H), 6.88 (d, 1H, J = 8.1 Hz, Ar-H), 6.97 (d, 1H, J = 7.5 Hz, Ar-H), 7.12–7.29 (m, 5H, Ar-H), 7.40 (s, 1H, Ar-H), 7.54 (d, 2H, J = 7.2 Hz, Ar-H), 7.61 (d, 2H, J = 7.8 Hz, Ar-H), 7.76 (s, 1H, C=CH), 7.88 (d, 1H, J = 7.2 Hz, Ar-H), 8.09 (d, 1H, J = 8.1 Hz, Ar-H), 8.90 (s, 1H, 1"-NH). 13C-NMR (75 MHz, CDCl3): δC 48.49, 50.62, 54.85, 64.54, 65.89, 75.09, 110.16, 123.42, 127.13, 127.47, 127.64, 128.02, 128.43, 129.12, 129.42, 129.52, 130.18, 131.16, 131.93, 132.21, 133.64, 134.12, 134.92, 135.27, 135.51, 135.71, 136.34, 137.08, 140.77, 141.75, 179.13, 200.24. Anal. calcd for C34H25Cl4N3O2: C, 62.88; H, 3.88; N, 6.47; found: C, 62.75; H, 3.97; N, 6.40.
4-(3-Nitrophenyl)-5-phenylpyrrolo(spiro[2.3″]oxindole)spiro[3.3′]-5′-(3-nirophenylmethylidene) piperidin-4′-one (5h). Obtained as a white solid, (0.149 g, 91%); mp = 154–155 °C; IR (KBr): 1596, 1612, 1702, 3186, 3336 cm1; 1H-NMR (300 MHz, CDCl3): δH 2.26 (d, 1H, J = 12.9 Hz, 2'-CH2), 3.43–3.85 (m, 3H, 2'-CH2 and 6'-CH2), 4.78 (d, 1H, J = 10.5 Hz, 4-CH), 5.43 (d, 1H, J = 10.5 Hz, 5-CH), 6.70 (m, 11H, Ar-H), 7.80 (s, 1H, C=CH), 7.87–8.13 (m, 4H, Ar-H), 8.20 (s, 1H, Ar-H), 8.35 (s, 1H, Ar-H), 8.76 (s, 1H, 1"-NH). 13C-NMR (75 MHz, CDCl3): δC 48.33, 56.82, 63.88, 65.01, 67.37, 72.16, 110.16, 122.62, 123.71, 124.55, 125.02, 127.31, 127.95, 128.50, 129.01, 129.42, 129.71, 129.84, 130.17, 134.77, 135.81, 136.76, 136.88, 137.20, 140.01, 140.29, 141.81, 148.46, 148.64, 181.44, 199.69. Anal. calcd for C34H27N5O6: C, 67.88; H, 4.52; N, 11.64; found: C, 67.73; H, 4.73; N, 11.46.
4-(4-Methylphenyl)-5-phenylpyrrolo(spiro[2.3″]oxindole)spiro[3.3′]-5′-(4-methylphenylmethylidene) piperidin-4′-one (5i). Obtained as a pale yellow solid, (0.164 g, 92%); mp = 157–158 °C; IR (KBr): 1597, 1615, 1690, 3181, 3340 cm1; 1H-NMR (300 MHz, CDCl3): δH 2.25 (s, 1H, CH3), 2.29 (s, 1H, CH3), 2.34 (d, 1H, J = 13.2 Hz, 2'-CH2), 3.50 (d, 1H, J = 15.0 Hz, 6'-CH2), 3.60 (d, 1H, J = 15.0 Hz, 6'-CH2), 3.70 (d, 1H, J = 13.2 Hz, 2'-CH2), 4.68 (d, 1H, J = 10.5 Hz, 4-CH), 5.40 (d, 1H, J = 10.5 Hz, 5-CH), 6.65 (d, 1H, J = 7.5 Hz, Ar-H), 6.76 (d, 1H, J = 7.8 Hz, Ar-H), 6.91 (d, 2H, J = 8.1 Hz, Ar-H), 6.97–7.30 (m, 12H, Ar-H), 7.52 (d, 2H, J = 6.9 Hz, Ar-H), 8.72 (s, 1H, 1"-NH). 13C-NMR (75 MHz, CDCl3): δC 21.49, 21.77, 48.63, 50.03, 57.33, 64.90, 67.44, 72.62, 109.86, 122.53, 127.31, 127.95, 128.11, 128.76, 129.24, 129.42, 129.46, 130.17, 130.58, 132.73, 134.46, 134.73, 135.52, 136.76, 137.66, 139.52, 141.30, 141.69, 181.55, 200.83. Anal. calcd for C36H33N3O2: C, 80.12; H, 6.16; N, 7.79; found: C, 80.03; H, 6.24; N, 7.85.
4-(4-Methoxyphenyl)-5-phenylpyrrolo(spiro[2.3″]oxindole)spiro[3.3′]-5′-(4-methoxyphenylmethyl idene)piperidin-4′-one (5j). Obtained as a pale yellow solid, (0.146 g, 86%); mp = 159–160 °C; IR (KBr): 1598, 1620, 1710, 3179, 3347 cm1; 1H-NMR (300 MHz, CDCl3): δH 2.44 (d, 1H, J = 13.8 Hz, 2'-CH2), 3.28–3.63 (m, 3H, 6'-CH2 and 2'-CH2), 3.66 (s, 3H, CH3), 3.85 (s, 3H, OCH3), 4.89 (d, 1H, J = 9.9 Hz, 4-CH), 5.74 (d, 1H, J = 9.9 Hz, 5-CH), 6.69–7.87 (m, 18H, Ar-H), 8.20 (s, 1H, 1"-NH). 13C-NMR (75 MHz, CDCl3): δC 48.53, 50.07, 55.42, 55.79, 57.46, 64.93, 67.51, 72.69, 110.35, 111.05, 111.11, 120.30, 120.50, 121.09, 122.86, 124.74, 127.38, 127.87, 128.07, 128.31, 128.84, 129.41, 130.52, 130.85, 131.03, 141.81, 158.52, 158.76, 181.22, 199.93. Anal. calcd for C36H33N3O4: C, 75.64; H, 5.82; N, 7.35; found: C, 75.78; H, 5.93; N, 7.42.
4-(4-Chlorophenyl)-5-phenylpyrrolo(spiro[2.3″]oxindole)spiro[3.3′]-5′-(4-chlorophenylmethylidene)piperidin-4′-one (5k). Obtained as a pale yellow solid, (0.151 g, 90%); mp = 154–155 °C; IR (KBr): 1598, 1618, 1711, 3179, 3338 cm1; 1H-NMR (300 MHz, CDCl3): δH 2.09 (s, 1H, NH), 2.27 (d, 1H, J = 13.2 Hz, 2'-CH2), 3.46–3.60 (m, 2H, 6'-CH2), 3.72 (d, 1H, J = 13.2 Hz, 2'-CH2), 4.67 (d, 1H, J = 10.8 Hz, 4-CH), 5.35 (d, 1H, J = 10.8 Hz, 5-CH), 6.67 (d, 1H, J = 7.2 Hz, Ar-H), 6.77 (d, 1H, J = 7.2 Hz, Ar-H), 6.90–7.54 (m, 16H, Ar-H), 8.49 (s, 1H, 1"-NH). 13C-NMR (75 MHz, CDCl3): δC 48.52, 50.03, 56.65, 64.81, 67.43, 72.25, 109.85, 122.58, 124.35, 127.32, 127.98, 128.34, 128.76, 128.87, 129.00, 129.31, 129.53, 131.57, 132.07, 133.16, 133.79, 135.25, 135.42, 136.33, 140.72, 141.61, 181.42, 200.18. Anal. calcd for C34H27Cl2N3O2: C, 70.35; H, 4.69; N, 7.24; found: C, 70.51; H, 4.80; N, 7.31.
4-(4-Bromophenyl)-5-phenylpyrrolo(spiro[2.3″]oxindole)spiro[3.3′]-5′-(4-bromophenylmethylidene)piperidin-4′-one (5l). Obtained as a white solid, (0.142 g, 92%); mp = 166–167 °C; IR (KBr): 1597, 1615, 1705, 3174, 3340 cm1; 1H-NMR (300 MHz, CDCl3): δH 2.08 (s, 1H, NH), 2.27 (d, 1H, J = 12.9 Hz, 2'-CH2), 3.46–3.79 (m, 3H, 6'-CH2 and 2'-CH2), 4.66 (d, 1H, J = 10.8 Hz, 4-CH), 5.34 (d, 1H, J = 10.8 Hz, 5-CH), 6.66–6.72 (m, 2H, Ar-H), 6.84 (d, 2H, J = 8.1 Hz, Ar-H), 6.93 (s, 1H, C=CH), 6.97–7.51 (m, 13H, Ar-H), 8.39 (s, 1H, 1"-NH). 13C-NMR (75 MHz, CDCl3): δC 48.52, 50.03, 56.67, 64.73, 67.43, 72.21, 109.84, 121.36, 122.59, 123.59, 127.98, 128.24, 128.88, 129.54, 129.77, 130.18, 131.77, 131.85, 131.97, 132.27, 134.23, 135.53, 136.37, 136.79, 140.69, 141.58, 181.33, 200.14. Anal. calcd for C34H27Br2N3O2: C, 61.00; H, 4.07; N, 6.28; found: C, 61.17; H, 4.21; N, 6.35.
4-(4-Fluorophenyl)-5-phenylpyrrolo(spiro[2.3″]oxindole)spiro[3.3′]-5′-(4-fluorophenylmethylidene) piperidin-4′-one (5m). Obtained as a pale yellow solid, (0.164 g, 93%); mp = 159–160 °C; IR (KBr): 1596, 1617, 1700, 3181, 3346 cm−1; 1H-NMR (300 MHz, CDCl3): δH 2.13 (s, 1H, NH), 2.28 (d, 1H,J = 13.2 Hz, 2'-CH2), 3.48 (d, 1H, J = 14.7 Hz, 6'-CH2), 3.58 (d, 1H, J = 14.7 Hz, 6'-CH2), 3.70 (d, 1H, J = 13.2 Hz, 2'-CH2), 4.67 (d, 1H, J = 10.5 Hz, 4-CH), 5.34 (d, 1H, J = 10.5 Hz, 5-CH), 6.68 (d, 2H, J = 7.5 Hz, Ar-H), 6.89–7.55 (m, 16H, Ar-H), 8.58 (s, 1H, 1"-NH). 13C-NMR (75 MHz, CDCl3): δC 48.50, 50.05, 56.79, 65.10, 67.27, 72.40, 109.86, 115.56 (2JCF = 21.0 Hz), 115.88 (2JCF = 21.5 Hz), 122.56, 127.33, 127.99, 128.15, 128.83, 129.41, 129.46, 130.17, 131.76, 132.30, 133.43, 134.77, 136.55, 140.93, 141.65, 162.23 (1JCF = 244.1 Hz), 163.13 (1JCF = 248.9 Hz), 181.43, 200.42. Anal. calcd for C34H27F2N3O2: C, 74.57; H, 4.97; N, 7.67; found: C, 74.69; H, 4.90; N, 7.76.
4-(1-Naphthyl)-5-phenylpyrrolo(spiro[2.3″]oxindole)spiro[3.3′]-5′-(1-naphthylmethylidene)piperidin-4′-one (5n). Obtained as a yellow solid, (0.142 g, 87%); mp = 164–165 °C; IR (KBr): 1590, 1619, 1704, 3174, 3335 cm−1; 1H-NMR (300 MHz, CDCl3): δH 1.94 (s, 1H, NH), 2.07 (d, 1H, J = 12.9 Hz, 2'-CH2), 3.18–3.73 (m, 3H, 6'-CH2 and 2'-CH2), 5.58 (d, 1H, J = 9.9 Hz, 4-CH), 5.80 (d, 1H, J = 9.9 Hz, 5-CH), 6.71–8.06 (m, 24H, Ar-H), 8.50 (s, 1H, 1"-NH). 13C-NMR (75 MHz, CDCl3): δC 48.70, 50.15, 56.53, 64.71, 67.46, 72.20, 109.83, 122.96, 124.46, 125.04, 125.41, 126.45, 126.73, 127.12, 127.24, 127.58, 127.84, 127.98, 128.61, 128.82, 129.05, 129.20, 129.41, 129.99, 130.16, 132.41, 132.64, 133.24, 133.84, 134.84, 135.15, 135.62, 136.91, 137.01, 144.40, 181.38, 200.13. Anal. calcd for C42H33N3O2: C, 82.46; H, 5.44; N, 6.87; found: C, 82.39; H, 5.56; N, 6.80.
Spiro[2.3″]oxindole-spiro[3.3′]-5′-(phenylmethylidene)-tetrahydro-4′(1H)-pyridinone-4-(phenyl) hexahydro-1H-pyrrolizine (6a). Obtained as a white solid, (0.165 g, 94%); mp = 182–188 °C; IR (KBr): 1610, 1618, 1706, 3390 cm−1; 1H-NMR (400 MHz, CDCl3): δH 1.60–1.69 (m, 1H, 5-CH2), 1.82–2.01 (m, 2H, 6-CH2), 2.04–2.14 (m, 1H, 5-CH2), 2.33 (d, 1H, J = 13.2 Hz, 2'-CH2), 2.60 (td, 1H, J = 8.8, 2.4 Hz, 7-CH2), 3.07–3.13 (m, 1H, 7-CH2), 3.39 (d, 1H, J = 14.8 Hz, 6'-CH2), 3.62 (d, 1H, J = 14.8 Hz, 6'-CH2), 3.96 (d, 1H, J = 13.2 Hz, 2'-CH2), 4.38 (d, 1H, J = 11.2 Hz, 4-CH), 4.62–4.70 (m, 1H, 4a-CH), 6.73 (d, 1H, J = 6.8 Hz, Ar-H), 6.94–7.02 (m, 3H, Ar-H), 7.15–7.31 (m, 9H, Ar-H and arylmethylidene), 7.37 (d, 2H, J = 7.6 Hz, Ar-H), 8.87 (s, 1H, 1"-NH). 13C-NMR (100 MHz, CDCl3): δC 26.28, 29.29, 48.13, 48.35, 49.30, 53.64, 66.52, 71.88, 74.81, 109.97, 121.78, 127.23, 128.62, 128.69, 128.93, 129.36, 129.39, 130.03, 130.14, 135.58, 136.18, 136.30, 137.95, 142.06, 180.06, 200.63. Anal. calcd for C31H29N3O2: C, 78.29; H, 6.15; N, 8.84%; found: C, 78.12; H, 6.33; N, 8.95%.
Spiro[2.3″]oxindole-spiro[3.3′]-5′-(2-methylphenylmethylidene)tetrahydro-4′(1H)-pyridinone-4-(2-methylphenyl)hexahydro-1H-pyrrolizine (6b). Obtained as a white solid, (0.154 g, 93%); mp = 184–185 °C; IR (KBr): 1605, 1622, 1705, 3387 cm−1; 1H-NMR (300 MHz, CDCl3): δH 1.58–1.70 (m, 1H, 5-CH2), 1.78–2.04 (m, 3H, 6-CH2 and 5-CH2), 2.30 (s, 3H, CH3), 2.31 (s, 3H, CH3), 2.42 (d, 1H, J = 12.9 Hz, 2'-CH2), 2.64 (td, 1H, J = 8.1, 3.0 Hz, 7-CH2), 3.09–3.17 (m, 1H, 7-CH2), 3.61 (dd, 1H, J = 15.0, 2.1 Hz, 6'-CH2), 3.97 (d, 1H, J = 15.0 Hz, 6'-CH2), 4.19 (d, 1H, J = 12.9 Hz, 2'-CH2), 4.62 (d, 1H, J = 10.8 Hz, 4-CH), 4.82–4.86 (m, 1H, 4a-CH), 6.62 (d, 1H, J = 7.5 Hz, Ar-H), 6.87–7.25 (m, 10H, Ar-H), 7.53–7.63 (m, 2H, Ar-H and arylmethylidene), 8.03 (s, 1H, 1"-NH). 13C-NMR (75 MHz, CDCl3): δC 20.39, 21.12, 26.08, 28.59, 47.19, 48.92, 49.22, 53.22, 65.83, 70.05, 74.73, 110.12, 122.47, 125.78, 125.95, 127.34, 128.61, 129.30, 129.42, 129.59, 130.62, 130.80, 131.13, 133.45, 134.52, 135.11, 136.61, 138.26, 138.77, 141.61, 180.74, 202.27. Anal. calcd for C33H33N3O2: C, 78.70; H, 6.60; N, 8.34%; found: C, 78.59; H, 6.76; N, 8.25%.
Spiro[2.3″]oxindole-spiro[3.3′]-5′-(2-methoxyphenylmethylidene)tetrahydro-4′(1H)-pyridinone-4-(2-methoxyphenyl)hexahydro-1H-pyrrolizine (6c). Obtained as a brown solid, (0.140 g, 88%); mp = 187–188 °C; IR (KBr): 1603, 1619, 1702, 3389 cm−1; 1H-NMR (300 MHz, CDCl3): δH 1.69–2.00 (m, 4H, 5-CH2 and 6-CH2), 2.62 (d, 1H, J = 12.9 Hz, 2'-CH2), 2.83 (td, 1H, J = 8.1, 3.0 Hz, 7-CH2), 3.30–3.43 (m, 1H, 7-CH2), 3.65 (s, 3H, OCH3), 3.71–3.81 (m, 1H, 6'-CH2), 3.85 (s, 3H, OCH3), 3.99–4.15 (m, 2H, 6'-CH2 and 2'-CH2), 4.64 (d, 1H, J = 10.8 Hz, 4-CH), 4.82–4.87 (m, 1H, 4a-CH), 6.62–7.37 (m, 12H, Ar-H and arylmethylidene), 7.51 (d, 1H, J = 7.2 Hz, Ar-H), 8.02 (s, 1H, 1"-NH). 13C-NMR (75 MHz, CDCl3): δC 25.31, 27.97, 48.65, 49.36, 50.51, 54.02, 54.97, 55.88, 65.45, 70.05, 74.18, 110.51, 111.11, 111.17, 120.49, 120.90, 122.44, 125.24, 126.17, 128.17, 128.33, 129.61, 130.69, 130.84, 131.03, 132.16, 135.25, 135.58, 142.01, 158.02, 158.79, 180.27, 201.51. Anal. calcd for C33H33N3O4: C, 74.00; H, 6.21; N, 7.84%; found: C, 74.21; H, 6.10; N, 7.98%.
Spiro[2.3″]oxindole-spiro[3.3′]-5′-(2-chlorophenylmethylidene)tetrahydro-4′(1H)-pyridinone-4-(2-chlorophenyl)hexahydro-1H-pyrrolizine (6d). Obtained as a pale yellow solid, (0.145 g, 92%); mp = 172–173 °C; IR (KBr): 1605, 1618, 1702, 3389 cm−1; 1H-NMR (300 MHz, CDCl3): δH 1.79–2.19 (m, 4H, 5-CH2 and 6-CH2), 2.39 (d, 1H, J = 12.9 Hz, 2'-CH2), 2.59–2.64 (m, 1H, 7-CH2), 3.22–3.28 (m, 1H, 7-CH2), 3.45–3.66 (m, 2H, 6'-CH2), 3.95 (d, 1H, J = 12.9 Hz, 2'-CH2), 4.55–4.60 (m, 1H, 4-CH), 4.82–4.87 (m, 1H, 4a-CH), 6.61–7.74 (m, 13H, Ar-H and arylmethylidene), 8.72 (s, 1H, 1"-NH). 13C-NMR (75 MHz, CDCl3): δC 25.81, 28.35, 48.10, 48.27, 48.81, 52.20, 64.19, 70.19, 74.78, 110.10, 122.62, 126.78, 126.86, 127.54, 128.74, 130.14, 130.54, 130.85, 131.06, 132.04, 132.92, 133.34, 133.60, 133.85, 135.47, 136.42, 136.66, 137.46, 141.69, 180.46, 201.23. Anal. calcd for C31H27Cl2N3O2: C, 68.38; H, 5.00; N, 7.72%; found: C, 68.23; H, 5.17; N, 7.61%.
Spiro[2.3″]oxindole-spiro[3.3′]-5′-(2-bromophenylmethylidene)tetrahydro-4′(1H)-pyridinone-4-(2-bromophenyl)hexahydro-1H-pyrrolizine (6e). Obtained as a light brown solid, (0.134 g, 92%); mp = 164–165 °C; IR (KBr): 1604, 1619, 1700, 3391 cm−1; 1H-NMR (300 MHz, CDCl3): δH 1.67–2.14 (m, 4H, 5-CH2 and 6-CH2), 2.24–2.28 (m, 1H, 2'-CH2), 2.52–2.65 (m, 1H, 7-CH2), 3.22–3.29 (m, 1H, 7-CH2), 3.46–3.61 (m, 2H, 6'-CH2), 3.92 (d, 1H, J = 12.9 Hz, 2'-CH2), 4.55–4.60 (m, 1H, 4-CH), 4.80–4.90 (m, 1H, 4a-CH), 6.60 (d, 1H, J = 7.2 Hz, Ar-H), 6.76–7.655 (m, 11H, Ar-H and arylmethylidene), 7.75 (d, 1H, J = 7.2 Hz, Ar-H), 8.99 (s, 1H, 1"-NH). 13C-NMR (75 MHz, CDCl3): δC 25.75, 28.46, 47.89, 48.09, 48.61, 51.55, 64.19, 70.91, 75.32, 110.23, 122.47, 125.66, 127.39, 127.50, 127.61, 129.09, 130.68, 130.87, 131.06, 133.32, 133.54, 134.05, 134.64, 135.58, 135.68, 135.93, 136.27, 137.16, 141.84, 180.50, 201.21. Anal. calcd for C31H27Br2N3O2: C, 58.79; H, 4.30; N, 6.63%; found: C, 58.93; H, 4.12; N, 6.75%.
Spiro[2.3″]oxindole-spiro[3.3′]-5′-(2-fluorophenylmethylidene)-tetrahydro-4′(1H)-pyridinone-4-(2-fluorophenyl)hexahydro-1H-pyrrolizine (6f). Obtained as a white solid; mp = 198–199 °C; IR (KBr): 1606, 1620, 1703, 3392 cm−1; 1H-NMR (500 MHz, CDCl3): δH 1.65–1.72 (m, 1H, 5-CH2), 1.82–1.88 (m, 1H, 6-CH2), 1.99–2.13 (m, 2H, 6-CH2 and 5-CH2), 2.35 (d, 1H, J = 13.0 Hz, 2'-CH2), 2.62 (td, 1H, J = 8.0, 2.0 Hz, 7-CH2), 3.31–3.36 (m, 1H, 7-CH2), 3.42–3.50 (m, 2H, 6'-CH2), 3.87 (d, 1H, J = 13.0 Hz, 2'-CH2), 4.64 (d, 1H, J = 10.5 Hz, 4-CH), 4.81–4.85 (m, 1H, 4a-CH), 6.72 (d, 1H, J = 7.5 Hz, Ar-H), 6.88 (t, 1H, J = 7.0 Hz, Ar-H), 6.96–7.04 (m, 4H, Ar-H), 7.12 (d, 1H, J = 8.0 Hz, Ar-H), 7.15 (d, 1H, J = 8.0 Hz, Ar-H), 7.18 (s, 1H, arylmethylidene), 7.20–7.25 (m, 3H, Ar-H), 7.29 (d, 1H, J = 8.0 Hz, Ar-H), 7.59 (t, 1H, J = 7.0 Hz, Ar-H), 8.74 (s, 1H, 1"-NH). 13C-NMR (125 MHz, CDCl3): δC 25.16, 28.59, 47.30, 47.87, 48.32, 49.88, 65.78, 69.35, 74.86, 109.50, 115.45 (2JCF = 18.0 Hz), 115.59 (2JCF = 17.0 Hz), 121.73, 123.10 (JCF = 10.0 Hz), 123.58 (JCF = 3.0 Hz), 123.96 (JCF = 3.0 Hz), 124.87 (JCF = 12.0 Hz), 126.08, 128.36 (123.10 (JCF = 7.0 Hz), 128.95, 129.22, 129.65 (JCF = 3.0 Hz), 130.36 (JCF =2.0 Hz), 130.48 (JCF =8.0 Hz), 130.76 (JCF = 4.0 Hz), 136.29, 141.62, 160.60 (1JCF = 200.0 Hz), 161.86 (1JCF = 196.0 Hz), 179.57, 199.06. Anal. calcd for C31H27F2N3O2: C, 72.78; H, 5.32; N, 8.21%; found: C, 72.96; H, 5.51; N, 8.09%.
Spiro[2.3″]oxindole-spiro[3.3′]-5′-(2,4-chlorophenylmethylidene)tetrahydro-4′(1H)-pyridinone-4-(2,4-chlorophenyl)hexahydro-1H-pyrrolizine (6g). Obtained as a pale yellow solid, (0.141 g, 95%); mp = 210–211 °C; IR (KBr): 1604, 1620, 1702, 3391 cm−1; 1H-NMR (300 MHz, CDCl3): δH 1.73–2.29 (m, 4H, 5-CH2 and 6-CH2), 2.60 (d, 1H, J = 12.3 Hz, 2'-CH2), 2.64–2.79 (m, 1H, 7-CH2), 3.21–3.30 (m, 1H, 7-CH2), 3.52–3.68 (m, 1H, 6'-CH2), 3.97 (d, 1H, J = 15.6 Hz, 6'-CH2), 4.14 (d, 1H, J = 12.3 Hz, 2'-CH2), 4.54–4.60 (m, 1H, 4-CH), 4.83–4.89 (m, 1H, 4a-CH), 6.62–7.92 (m, 11H, Ar-H and arylmethylidene), 8.75 (s, 1H, 1"-NH). 13C-NMR (75 MHz, CDCl3): δC 25.82, 28.51, 48.14, 48.54, 49.25, 52.23, 65.17, 70.21, 74.73, 110.29, 122.77, 127.23, 127.31, 128.37, 130.10, 130.30, 130.73, 130.87, 131.48, 131.68, 132.26, 132.59, 133.93, 135.49, 135.90, 136.34, 137.15, 141.75, 180.37, 201.14. Anal. calcd for C31H25Cl4N3O2: C, 60.70; H, 4.11; N, 6.85%; found: C, 60.87; H, 4.23; N, 6.64%.
Spiro[2.3″]oxindole-spiro[3.3′]-5′-(3-nitrophenylmethylidene)tetrahydro-4′(1H)-pyridinone-4-(3-nitrophenyl)hexahydro-1H-pyrrolizine (6h). Obtained as a pale yellow solid, (0.144 g, 93%); mp = 204–205 °C; IR (KBr): 1608, 1621, 1707, 3386 cm−1; 1H-NMR (300 MHz, CDCl3): δH 1.58–2.02 (m, 4H, 5-CH2 and 6-CH2), 2.27 (d, 1H, J = 12.6 Hz, 2'-CH2), 2.60–2.63 (m, 1H, 7-CH2), 3.06–3.15 (m, 1H, 7-CH2), 3.46–3.51 (m, 1H, 6'-CH2), 3.62 (d, 1H, J = 14.7 Hz, 6'-CH2), 4.01 (d, 1H, J = 12.6 Hz, 2'-CH2), 4.48 (d, 1H, J = 10.8 Hz, 4-CH), 4.65–4.73 (m, 1H, 4a-CH), 6.70–8.25 (m, 13H, Ar-H and arylmethylidene), 9.10 (s, 1H, 1"-NH). 13C-NMR (75 MHz, CDCl3): δC 26.10, 29.10, 48.13, 48.86, 49.07, 51.06, 63.20, 71.89, 74.04, 110.72, 122.78, 123.02, 123.99, 124.68, 125.03, 125.41, 125.90, 127.47, 129.68, 130.04, 133.91, 135.68, 136.30, 136.93, 137.33, 137.90, 141.92, 148.45, 148.61, 180.54, 201.06. Anal. calcd for C31H27N5O6: C, 65.83; H, 4.81; N, 12.38%; found: C, 65.69; H, 4.94; N, 12.47%.
Spiro[2.3″]oxindole-spiro[3.3′]-5′-(4-methylphenylmethylidene)tetrahydro-4′(1H)-pyridinone-4-(4-methylphenyl)hexahydro-1H-pyrrolizine (6i). Obtained as a brown solid, (0.156 g, 94%); mp = 168–169 °C; IR (KBr): 1611, 1623, 1704, 3392 cm−1; 1H-NMR (300 MHz, CDCl3): δH 1.60–2.03 (m, 4H, 5-CH2 and 6-CH2), 2.29 (d, 1H, J = 12.9 Hz, 2'-CH2), 2.36 (s, 3H, CH3), 2.38 (s, 3H, CH3), 2.58–2.63 (m, 1H, 7-CH2), 3.10–3.16 (m, 1H, 7-CH2), 3.49 (d, 1H, J = 15.3 Hz, 6'-CH2), 3.78 (d, 1H, J = 15.3 Hz, 6'-CH2), 3.99–4.03 (m, 1H, 2'-CH2), 4.36 (d, 1H, J = 11.7 Hz, 4-CH), 4.50–4.55 (m, 1H, 4a-CH), 6.66 (d, 1H, J = 7.5 Hz, Ar-H), 6.84–7.54 (m, 12H, Ar-H and arylmethylidene), 8.56 (s, 1H, 1"-NH). 13C-NMR (75 MHz, CDCl3): δC 21.3, 21.8, 26.07, 28.83, 48.50, 48.78, 49.35, 53.42, 65.96, 71.84, 74.06, 110.25, 122.61, 126.02, 129.33, 129.66, 129.74, 130.51, 131.01, 131.04, 132.11, 132.78, 135.12, 136.49, 136.97, 139.82, 141.96, 181.00, 202.06. Anal. calcd for C33H33N3O2: C, 78.70; H, 6.60; N, 8.34%; found: C, 78.84; H, 6.42; N, 8.42%.
Spiro[2.3″]oxindole-spiro[3.3′]-5′-(4-methoxyphenylmethylidene)tetrahydro-4′(1H)-pyridinone-4-(4-methoxyphenyl)hexahydro-1H-pyrrolizine (6j). Obtained as a brown solid, (0.135 g, 85%); mp = 204–205 °C; IR (KBr): 1610, 1623, 1703, 3394 cm−1; 1H-NMR (300 MHz, CDCl3): δH 1.58–2.05 (m, 4H, 5-CH2 and 6-CH2), 2.32 (d, 1H, J = 12.6 Hz, 2'-CH2), 2.57–2.65 (m, 1H, 7-CH2), 3.08–3.15 (m, 1H, 7-CH2), 3.48 (d, 1H, J = 15.3 Hz, 6'-CH2), 3.62 (s, 3H, OCH3), 3.69 (s, 3H, OCH3), 3.82 (d, 1H, J = 15.3 Hz, 6'-CH2), 3.97–4.06 (m, 1H, 2'-CH2), 4.38 (d, 1H, J = 11.4 Hz, 4-CH), 4.52–4.56 (m, 1H, 4a-CH), 6.65–7.54 (m, 13H, Ar-H and arylmethylidene), 8.52 (s, 1H, 1"-NH). 13C-NMR (75 MHz, CDCl3): δC 26.12, 28.86, 47.50, 48.18, 49.63, 53.13, 55.20, 55.31, 64.41, 70.34, 74.39, 110.12, 113.45, 113.92, 122.64, 127.42, 127.86, 129.51, 130.57, 132.21, 132.98, 137.44, 141.53, 158.33, 159.85, 181.03, 201.06. Anal. calcd for C33H33N3O4: C, 74.00; H, 6.21; N, 7.84%; found: C, 74.26; H, 6.14; N, 7.76%.
Spiro[2.3″]oxindole-spiro[3.3′]-5′-(4-chlorophenylmethylidene)tetrahydro-4′(1H)-pyridinone-4-(4-chlorophenyl)hexahydro-1H-pyrrolizine (6k). Obtained as a pale yellow solid, (0.150 g, 95%); mp = 175–176 °C; IR (KBr): 1610, 1621, 1703, 3387 cm−1; 1H-NMR (300 MHz, CDCl3): δH 1.56–2.04 (m, 4H, 5-CH2 and 6-CH2), 2.29 (d, 1H, J = 12.9 Hz, 2'-CH2), 2.58–2.62 (m, 1H, 7-CH2), 3.07–3.15 (m, 1H, 7-CH2), 3.49 (d, 1H, J = 15.6 Hz, 6'-CH2), 3.76 (dd, 1H, J = 15.6, 2.1 Hz, 6'-CH2), 4.05–4.16 (m, 1H, 2'-CH2), 4.35 (d, 1H, J = 11.4 Hz, 4-CH), 4.51–4.56 (m, 1H, 4a-CH), 6.68 (d, 1H, J = 7.8 Hz, Ar-H), 6.88–7.55 (m, 12H, Ar-H and arylmethylidene), 8.66 (s, 1H, 1"-NH). 13C-NMR (75 MHz, CDCl3): δC 26.08, 28.96, 48.29, 48.85, 49.20, 53.41, 63.99, 71.86, 74.04, 110.43, 122.84, 125.96, 128.03, 128.82, 129.21, 129.29, 131.73, 132.07, 132.11, 133.63, 133.88, 135.37, 135.49, 136.05, 141.85, 180.74, 201.55. Anal. calcd for C31H27Cl2N3O2: C, 68.38; H, 5.00; N, 7.72%; found: C, 68.59; H, 5.15; N, 7.60%.
Spiro[2.3″]oxindole-spiro[3.3′]-5′-(4-bromophenylmethylidene)tetrahydro-4′(1H)-pyridinone-4-(4-bromophenyl)hexahydro-1H-pyrrolizine (6l). Obtained as a pale yellow solid, (0.136 g, 93%); mp = 207–208 °C; IR (KBr): 1612, 1619, 1702, 3389 cm−1; 1H-NMR (300 MHz, CDCl3): δH 1.52–2.07 (m, 4H, 5-CH2 and 6-CH2), 2.29 (d, 1H, J = 13.2 Hz, 2'-CH2), 2.58–2.62 (m, 1H, 7-CH2), 3.06–3.14 (m, 1H, 7-CH2), 3.47 (d, 1H, J = 15.6 Hz, 6'-CH2), 3.75 (dd, 1H, J = 15.6, 2.1 Hz, 6'-CH2), 4.05–4.15 (m, 1H, 2'-CH2), 4.33 (d, 1H, J = 11.1 Hz, 4-CH), 4.51–4.56 (m, 1H, 4a-CH), 6.69 (d, 1H, J = 7.8 Hz, Ar-H), 6.81–7.55 (m, 12H, Ar-H and arylmethylidene), 8.60 (s, 1H, 1"-NH). 13C-NMR (75 MHz, CDCl3): δC 26.10, 28.98, 48.35, 48.76, 49.25, 53.28, 64.98, 71.85, 74.12, 110.41, 121.80, 122.84, 123.92, 128.06, 129.83, 131.64, 131.77, 131.92, 132.17, 132.25, 132.39, 134.32, 135.44, 136.23, 141.81, 180.70, 201.52. Anal. calcd for C31H27Br2N3O2: C, 58.79; H, 4.30; N, 6.63%; found: C, 58.96; H, 4.47; N, 6.51%.
Spiro[2.3″]oxindole-spiro[3.3′]-5′-(4-fluorophenylmethylidene)tetrahydro-4′(1H)-pyridinone-4-(4-fluorophenyl)hexahydro-1H-pyrrolizine (6m). Obtained as a pale yellow solid, (0.154 g, 94%); mp = 192–193 °C; IR (KBr): 1611, 1620, 1701, 3390 cm−1; 1H-NMR (500 MHz, CDCl3): δH 1.50–2.03 (m, 4H, 5-CH2 and 6-CH2), 2.30 (d, 1H, J = 13.5 Hz, 2'-CH2), 2.57–2.65 (m, 1H, 7-CH2), 3.03–3.12 (m, 1H, 7-CH2), 3.37 (d, 1H, J = 15.0 Hz, 6'-CH2), 3.77 (d, 1H, J = 15.0, 2.1 Hz, 6'-CH2), 4.06–4.13 (m, 1H, 2'-CH2), 4.36 (d, 1H, J = 11.0 Hz, 4-CH), 4.52–4.55 (m, 1H, 4a-CH), 6.61–7.54 (m, 13H, Ar-H and arylmethylidene), 8.62 (s, 1H, 1"-NH). 13C-NMR (125 MHz, CDCl3): δC 25.67, 28.54, 47.84, 48.47, 48.70, 52.83, 64.51, 69.60, 74.93, 109.99, 115.12 (2JCF = 20.0 Hz), 115.80 (2JCF = 21.25 Hz), 122.41, 125.59, 127.73, 128.70, 130.40, 131.71, 132.13, 132.52, 133.61, 135.17, 141.52, 161.95 (1JCF = 245.0 Hz), 163.01 (1JCF =250.0 Hz), 180.62, 201.19. Anal. calcd for C31H27F2N3O2: C, 72.78; H, 5.32; N, 8.21%; found: C, 72.92; H, 5.54; N, 8.04%.
Spiro[2.3″]oxindole-spiro[3.3′]-5′-(1-naphthylmethylidene)tetrahydro-4′(1H)-pyridinone-4-(1-naphthyl)hexahydro-1H-pyrrolizine (6n). Obtained as a yellow solid, (0.139 g, 91%); mp = 158–159 °C; IR (KBr): 1607, 1619, 1705, 3391 cm−1; 1H-NMR (300 MHz, CDCl3): δH 1.82–2.09 (m, 4H, 5-CH2 and 6-CH2), 2.65–2.68 (m, 1H, 7-CH2), 2.78 (d, 1H, J = 12.9 Hz, 2'-CH2), 3.30–3.35 (m, 1H, 7-CH2), 3.44 (d, 1H, J = 15.6 Hz, 6'-CH2), 3.87 (d, 1H, J = 15.6 Hz, 6'-CH2), 4.22 (d, 1H, J = 12.6 Hz, 2'-CH2), 4.44–4.50 (m, 1H, 4-CH), 4.68–4.73 (m, 1H, 4a-CH), 6.27 (s, 1H, arylmethylidene), 6.41–8.07 (m, 18H, Ar-H), 9.02 (s, 1H, 1"-NH). 13C-NMR (75 MHz, CDCl3): δC 25.99, 28.74, 48.00, 48.68, 49.30, 51.14, 64.58, 70.98, 75.04, 110.30, 122.63, 124.62, 125.05, 125.30, 125.45, 125.75, 126.77, 127.16, 127.59, 127.91, 128.20, 128.85, 129.08, 129.22, 129.39, 129.64, 130.05, 132.45, 132.48, 133.64, 133.70, 133.96, 134.46, 134.90, 136.90, 137.73, 138.82, 141.09, 181.13, 202.63. Anal. calcd for C39H33N3O2: C, 81.37; H, 5.78; N, 7.30%; found: C, 81.59; H, 5.60; N, 7.43%.

3.5. Cell Culture and Cell Proliferation Assay

3.5.1. Cell Culture

Human ovarian adenocarcinoma cell line (SK-OV-3, ATCC no. HTB-77), human breast carcinoma (MDA-MB-231, ATCC no. HTB-26), and human lymphoblastic leukemia cell line (CCRF-CEM, ATCC no. CCL-119) obtained from American Type Culture Collection. The cells were grown on 75 cm2 cell culture flasks with RPMI-16 medium for CCRF-CEM cells and EMEM (Eagle’s minimum essential medium) for SK-OV-3 and MDA-MB-231 cells, and supplemented with 10% fetal bovine serum, and 1% penicillin/streptomycin solution (10,000 units of penicillin and 10 mg of streptomycin in 0.9% NaCl) in a humidified atmosphere of 5% CO2, 95% air at 37 °C.

3.5.2. Cell Proliferation Assay

The cell proliferation assay was carried out using CellTiter 96 aqueous one solution cell proliferation assay kit (Promega, Madison, WI, USA). Briefly, upon reaching about 75%–80% confluency, SK-OV-3 (5,000 cells/well), MDA-MB-231 (5,000 cells/well), or CCRF-CEM (40,000 cells/well) were plated in 96-well microplate in 100 µL media. After seeding for 24 h, the cells were treated with 50 µM compound in triplicate. Doxorubicin (10 µM) was used as the positive control. At the end of the sample exposure period (72 h), CellTiter 96 aqueous solution (20 µL) was added. The plate was returned to the incubator for 1 h in a humidified atmosphere at 37 °C. The absorbance of the formazan product was measured at 490 nm using a microplate reader. The blank control was recorded by measuring the absorbance at 490 nm with wells containing medium mixed with CellTiter 96 aqueous solution but no cells. Results were expressed as the percentage of the control (without compound set at 100%). The percentage of cell survival was calculated as [OD value of cells treated with the test compound − OD value of culture medium]/[(OD value of control cells − OD value of culture medium)] × 100%.

3.5.3. IC50 Determination Assay

IC50 determination assay was performed by CellTiter 96 aqueous one solution cell proliferation assay kit (Promega). Briefly, SK-OV-3 (5,000 cells/well) and CCRF-CEM (40,000 cells/well) were seeded in 96-well plate in media (100 µL). After 24 h, the cells were treated with various concentrations of compounds (1–100 µM) in triplicate. After 72 h of incubation, 20 µL CellTiter 96 aqueous solution was added to wells. The plate was kept in the incubator for 1 h in a humidified atmosphere at 37 °C. The absorbance of the formazan product was measured at 490 nm using microplate reader. The blank control was recorded by measuring the absorbance at 490 nm with wells containing medium mixed with CellTiter 96 aqueous solution but no cells. The IC50 values were extrapolated from concentration–effect curves using non-linear regression analysis in GraphPad Prism®, version 5.03.

4. Conclusions

In conclusion, azomethine ylides generated via an in situ reaction between 1H-indole-2,3-dione with N-methylglycine, phenylglycine, or proline underwent [3+2]-cycloaddition with 3,5-bis[(E)-arylmethylidene]tetrahydro-4(1H)-pyridinones to afford different classes of spiropyrrolidines/pyrrolizines. A number of compounds exhibited antiproliferative activity against MDA-MB-231, CCRF-CEM, and SK-OV-3 cells. In general, most of the spiro-pyrrolizines derivatives showed higher antiproliferative activity when compared with N-methyl spiro-pyrrolidines and N-α-phenyl substituted spiro-pyrrolidines derivatives. Compounds 6a, 6b, and 6m were found to be the most potent derivatives showing 64%, 87%, and 74% antiproliferative activity in MDA-MB-231, SK-OV-3, and CCRF-CEM cells, respectively. These lead compounds will be studied for their stereochemistry properties and have the potential as antiproliferative agents after further optimization.

Supplementary Materials

Supplementary materials can be accessed at: https://www.mdpi.com/1420-3049/19/7/10033/s1.

Acknowledgments

We thank National Center for Research Resources, NIH, and Grant Number and Grant Number 8 P20 GM103430-12 for sponsoring the core facility. The authors acknowledge the Deanship of Scientific Research at King Saud University for the Research Grant RGP-VPP-026.

Author Contributions

The contributions of the respective authors are as follows: R.K., F.B., H.O., R.I., T.S.C.,A.I.A., AND M.A.A. design and synthesis of compounds and A.S., B.S., K.M., A.N., and K.P. performed cell-based assays and provide SAR. The manuscript was written by K.P., M.A.A., and A. S.

Conflicts of Interest

The authors declare no conflict of interest.

References

  1. Domling, A.; Ugi, I. Multicomponent reactions with isocyanides. Angew. Chem. Int. Ed. 2000, 39, 3168–3210. [Google Scholar] [CrossRef]
  2. Orru, R.V.A.; de Greef, M. Recent advances in solution-phase multicomponent methodology for the synthesis of heterocyclic compounds. Synthesis 2003, 10, 1471–1499. [Google Scholar] [CrossRef]
  3. Zhu, J. Recent developments in the isonitrile-based multicomponent synthesis of heterocycles. Eur. J. Org. Chem. 2003, 7, 1133–1144. [Google Scholar] [CrossRef]
  4. Guillena, G.; Ramon, D.J.; Yus, M. Organocatalytic enantioselective multicomponent reactions (OEMCRs). Tetrahedron: Asymmetry 2007, 18, 693–700. [Google Scholar] [CrossRef]
  5. Estevez, V.; Villacampa, M.; Menendez, J.C. Multicomponent reactions for the synthesis of pyrroles. Chem. Soc. Rev. 2010, 39, 4402–4421. [Google Scholar] [CrossRef]
  6. Wender, P.A.; Verma, V.A.; Paxton, T.J.; Pillow, T.H. Function-oriented synthesis, step economy, and drug design. Accounts Chem. Res. 2008, 41, 40–49. [Google Scholar]
  7. Trost, B.M. On inventing reactions for atom economy. Accounts Chem. Res. 2002, 35, 695–705. [Google Scholar] [CrossRef]
  8. Burns, N.Z.; Baran, P.S.; Hoffmann, R.W. Redox economy in organic synthesis. Angew. Chem. Int. Ed. 2009, 48, 2854–2867. [Google Scholar] [CrossRef]
  9. Newhouse, T.; Baran, P.S.; Hoffmann, R.W. The economies of synthesis. Chem. Soc. Rev. 2009, 38, 3010–3021. [Google Scholar] [CrossRef]
  10. Hulme, C.; Gore, V. “Multi-component reactions: Emerging chemistry in drug discovery” ‘from xylocain to crixivan’. Curr. Med. Chem. 2003, 10, 51–80. [Google Scholar]
  11. Schreiber, S.L. Target-oriented and diversity-oriented organic synthesis in drug discovery. Science 2000, 287, 1964–1969. [Google Scholar] [CrossRef]
  12. Spring, D.R. Diversity-oriented synthesis; A challenge for synthetic chemists. Org. Biomol. Chem. 2003, 1, 3867–3870. [Google Scholar] [CrossRef]
  13. Burke, M.D.; Berger, E.M.; Schreiber, S.L. Generating diverse skeletons of small molecules combinatorially. Science 2003, 302, 613–618. [Google Scholar] [CrossRef]
  14. Burke, M.D.; Schreiber, S.L. A planning strategy for diversity-oriented synthesis. Angew. Chem. Int. Ed. 2004, 43, 46–58. [Google Scholar] [CrossRef]
  15. Spandl, R.J.; Bender, A.; Spring, D.R. Diversity-oriented synthesis; a spectrum of approaches and results. Org. Biomol. Chem. 2008, 6, 1149–1158. [Google Scholar] [CrossRef]
  16. Padwa, A. 1,3-Dipolar Cycloaddition Chemistry; Wiley: New York, NY, USA, 1984; Volumes 1 and 2. [Google Scholar]
  17. Grigg, R.; Sridharan, V. Advances in Cycloaddition; Curran, D.P., Ed.; Jai: London, UK, 1993; Volume 3, pp. 161–204. [Google Scholar]
  18. Gothelf, K.; Jorgensen, K.A. Asymmetric 1,3-dipolar cycloaddition reactions. Chem. Rev. 1998, 98, 863–910. [Google Scholar] [CrossRef]
  19. Monlineux, R.J. Alkaloids: Chemical and Biological Perspective; Pelletier, S.W., Ed.; Wiley: New York, NY, USA, 1987. [Google Scholar]
  20. Tsukamoto, K.; Uno, A.; Shimada, S.; Imokaw, G. Nojirimycin Inhibits Pulmonary Metastasis of B16-F10 Murine Melanoma-Cells, G. Clin. Res. 1989, 37A, 722. [Google Scholar]
  21. El-Subbagh, H.I.; Abu-Zaid, S.M.; Mahran, M.A.; Badria, F.A.; Al-Obaid, A.M. Synthesis and biological evaluation of certain alpha, beta-unsaturated ketones and their corresponding fused pyridines as antiviral and cytotoxic agents. J. Med. Chem. 2000, 43, 2915–2921. [Google Scholar] [CrossRef]
  22. Dimmock, J.R.; Padmanilayam, M.P.; Puthucode, R.N.; Nazarali, A.J.; Motaganahalli, N.L.; Zello, G.A.; Quail, J.W.; Oloo, E.O.; Kraatz, H.B.; Prisciak, J.S.; et al. A conformational and structure-activity relationship study of cytotoxic 3,5-bis(arylidene)-4-piperidones and related N-acryloyl analogues. J. Med. Chem. 2001, 44, 586–593. [Google Scholar] [CrossRef]
  23. Kumar, R.J.; Perumal, S.; Senthilkumar, P.; Yogeeswari, P.; Sriram, D. Discovery of antimycobacterial spiro-piperidin-4-ones: An atom economic, stereoselective synthesis, and biological intervention. J. Med. Chem. 2008, 51, 5731–5735. [Google Scholar] [CrossRef]
  24. Govind, M.M.; Selvanayagam, S.; Velmurugan, D.; Ravikumar, K.; Sridhar, G.; Raghunathan, R. 5''-Benzy-lidene-1'-methyl-4'-phenylindole-3-spiro-2'-pyrrolidine-3'-spiro-3''-piperidine2 (3H), 4''dione. Acta Crystalorg. E 2003, 59, 1878–1880. [Google Scholar] [CrossRef]
  25. Girgis, A.S. Regioselective synthesis and stereochemical structure of anti-tumor active dispiro[3H-indole-3,2'-pyrrolidine-3',3''-piperidine]-2(1H),4''-diones. Eur. J. Med. Chem. 2009, 44, 1257–1264. [Google Scholar] [CrossRef]
  26. Lee, H.K.; Chun, J.S.; Pak, C.S. Facile transformation of 3,4-disubstituted 2-azetidinones to chiral 5,6-dihydro-2-pyridones. Tetrahedron Lett. 2001, 42, 3483–3486. [Google Scholar] [CrossRef]
  27. Young-Won, C.; Angela, S.; Bao-Ning, S.; Quiwen, M.; Hee-Byung, C.; Soedarsono, R.; Leonardus, K.; Agus, R.; Norman, F.; Steven, S.; et al. Potential anticancer activity of naturally occurring and semisynthetic derivatives of aculeatins A and B from Amomum aculeatum. J. Nat. Prod. 2008, 71, 390–395. [Google Scholar] [CrossRef]
  28. Wang, W.-L.; Zhu, T.-J.; Tao, H.-W.; Lu, Z.-Y.; Fang, Y.-C.; Gu, Q.-Q.; Zhu, W.-M. Three novel, structurally unique spirocyclic alkaloids from the halotolerant B-17 fungal strain of Aspergillus variecolor. Chem. Biodivers. 2007, 4, 2913–2919. [Google Scholar] [CrossRef]
  29. Van-Der-Sar, S.; Blunt, J.; Munro, M. Spiro-Mamakone A: A unique relative of the spirobisnaphthalene class of compounds. Org. Lett. 2006, 8, 2059–2061. [Google Scholar] [CrossRef]
  30. Hyeong-Beom, P.; Hyun, J.N.; Hee, H.J.; Hoon, C.J.; Hoon, C.J.; Jung-Hyuck, C.; Ho, Y.K.; Chang-Hyun, O. Synthesis and in-vitro activity of novel 1beta-methylcarbapenems having spiro[2,4]heptane moieties. Arch. Pharm. 2007, 340, 530–537. [Google Scholar] [CrossRef]
  31. Krzysztof, K.; Jolanta, O.; Malgorzata, D. Synthesis, physicochemical and anticonvulsant properties of new N-phenylamino derivatives of 2-azaspiro[4.4]nonane- and [4.5]decane-1,3-diones: Part V. Eur. J. Med. Chem. 2008, 43, 53–61. [Google Scholar]
  32. Jolanta, O.; Krzysztof, K. Synthesis and anticonvulsant properties of new N-phenylamino derivatives of 2-azaspiro[4.4]nonane,2-azaspiro[4.5]decane-1,3-dione and 3-cyclohexyl pyrrolidine-2,5-dione. Part IV. Acta Pol. Pharm. 2006, 6, 101–108. [Google Scholar]
  33. Jolanta, O.; Krzysztof, K.; Ewa, T. Impact of aromatic substitution on the anticonvulsant activity of new N-(4-arylpiperazin-1-yl)-alkyl-2-azaspiro[4,5]decane-1,3-dione derivatives. Pharmacol. Rep. 2006, 58, 207–214. [Google Scholar]
  34. Wei, A.C.; Ali, M.A.; Yoon, Y.K.; Ismail, R.; Choon, T.S.; Kumar, R.S.; Arumugam, N.; Almansour, A.I.; Osman, H. Antimycobacterial activity: A facile three-component [3+2]-cycloaddition for the regioselective synthesis of highly functionalised dispiropyrrolidines. Biol. Med. Chem. Lett. 2012, 22, 4930–4933. [Google Scholar] [CrossRef]
  35. Ali, M.A.; Samy, J.G.; Manogaran, E.; Sellappan, V.; Hasan, M.Z.; Ahsan, M.J.; Pandian, S.; ShaharYar, M. Synthesis and antimycobacterial evaluation of novel 5,6-dimethoxy-1-oxo-2,5-dihydro-1H-2-indenyl-5,4-substituted phenyl methanone analogues. Biol. Med. Chem. Lett. 2009, 19, 7000–7002. [Google Scholar] [CrossRef]
  36. Ashraf Ali, M.; Ismail, R.; Choon, T.S.; Suresh Kumar, R.; Osman, H.; Arumugam, N.; Almansour, A.I.; Elumalai, K.; Singh, A. AChE inhibitor: A regio- and stereo-selective 1,3-dipolar cycloaddition for the synthesis of novel substituted 5,6-dimethoxy spiro[5.3′]-oxindole-spiro-[6.3″]-2,3-dihydro-1H-inden-1″-one-7-(substitutedaryl)-tetrahydro-1H-pyrrolo[1,2-c][1,3] thiazole. Biol. Med. Chem. Lett. 2012, 22, 508–512. [Google Scholar] [CrossRef]
  37. Wei, A.C.; Ali, M.A.; Yoon, Y.K.; Ismail, R.; Choon, T.S.; Kumar, R.S. A facile three-component [3+2]-cycloaddition for the regioselective synthesis of highly functionalised dispiropyrrolidines acting as antimycobacterial agents. Biol. Med. Chem. Lett. 2013, 23, 1383–1386. [Google Scholar] [CrossRef]
  38. Sarma, B.K.; Manna, D.; Minoura, M.; Mugesh, G. Synthesis, structure, spirocyclization mechanism, and glutathione peroxidase-like antioxidant activity of stable spirodiazaselenurane and spirodiazatellurane. J. Am. Chem. Soc. 2010, 132, 5364–5374. [Google Scholar] [CrossRef]
  39. Shimakawa, S.; Yoshida, Y.; Niki, E. Antioxidant action of a lipophilic nitroxyl radical, cyclohexane-1-spiro-2'-(4'-oxyimidazolidine-1'-oxyl)-5'-spiro-1"-cyclohexane, against lipid peroxidation under hypoxic conditions. Lipids 2003, 38, 225–231. [Google Scholar] [CrossRef]
  • Sample Availability: Samples of the compounds are available from the authors for a short period of time.

Share and Cite

MDPI and ACS Style

Almansour, A.I.; Kumar, R.S.; Beevi, F.; Shirazi, A.N.; Osman, H.; Ismail, R.; Choon, T.S.; Sullivan, B.; McCaffrey, K.; Nahhas, A.; et al. Facile, Regio- and Diastereoselective Synthesis of Spiro-Pyrrolidine and Pyrrolizine Derivatives and Evaluation of Their Antiproliferative Activities. Molecules 2014, 19, 10033-10055. https://doi.org/10.3390/molecules190710033

AMA Style

Almansour AI, Kumar RS, Beevi F, Shirazi AN, Osman H, Ismail R, Choon TS, Sullivan B, McCaffrey K, Nahhas A, et al. Facile, Regio- and Diastereoselective Synthesis of Spiro-Pyrrolidine and Pyrrolizine Derivatives and Evaluation of Their Antiproliferative Activities. Molecules. 2014; 19(7):10033-10055. https://doi.org/10.3390/molecules190710033

Chicago/Turabian Style

Almansour, Abdulrahman I., Raju Suresh Kumar, Farzana Beevi, Amir Nasrolahi Shirazi, Hasnah Osman, Rusli Ismail, Tan Soo Choon, Brian Sullivan, Kellen McCaffrey, Alaa Nahhas, and et al. 2014. "Facile, Regio- and Diastereoselective Synthesis of Spiro-Pyrrolidine and Pyrrolizine Derivatives and Evaluation of Their Antiproliferative Activities" Molecules 19, no. 7: 10033-10055. https://doi.org/10.3390/molecules190710033

APA Style

Almansour, A. I., Kumar, R. S., Beevi, F., Shirazi, A. N., Osman, H., Ismail, R., Choon, T. S., Sullivan, B., McCaffrey, K., Nahhas, A., Parang, K., & Ali, M. A. (2014). Facile, Regio- and Diastereoselective Synthesis of Spiro-Pyrrolidine and Pyrrolizine Derivatives and Evaluation of Their Antiproliferative Activities. Molecules, 19(7), 10033-10055. https://doi.org/10.3390/molecules190710033

Article Metrics

Back to TopTop