Cytotoxic Prenylated Xanthones from the Pericarps of Garcinia mangostana
Abstract
:1. Introduction

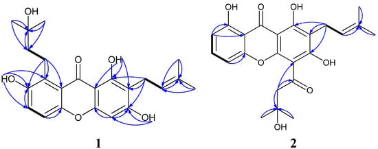
2. Results and Discussion
| Position | 1 | 2 | |||
|---|---|---|---|---|---|
| δH | δC | δH | δC | ||
| 1 | 161.9 | 165.9 | |||
| 2 | 111.1 | 111.8 | |||
| 3 | 163.7 | 170.3 | |||
| 4 | 6.42 s | 93.3 | 105.0 | ||
| 4a | 156.3 | 158.3 | |||
| 5 | 7.23 d (9.2) | 116.8 | 7.70 d (8.0) | 115.9 | |
| 5a | 152.4 | 145.7 | |||
| 6 | 7.33 d (9.2) | 124.5 | 7.37 dd (8.0, 7.6) | 126.2 | |
| 7 | 152.5 | 7.44 d (7.6) | 121.9 | ||
| 8 | 131.1 | 147.4 | |||
| 8a | 119.6 | 122.1 | |||
| 9 | 184.3 | 181.9 | |||
| 9a | 104.3 | 103.0 | |||
| 10 | 3.37 d (7.2) | 22.1 | 3.36 d (7.2) | 21.6 | |
| 11 | 5.29 t (7.2) | 123.6 | 5.26 t (7.2) | 122.3 | |
| 12 | 131.6 | 132.5 | |||
| 13 | 1.79 s | 18.1 | 1.80 s | 18.0 | |
| 14 | 1.65 s | 26.0 | 1.66 s | 25.9 | |
| 15 | 3.49 t (7.6) | 22.6 | 206.1 | ||
| 16 | 1.84 t (7.6) | 44.5 | 3.67 s | 55.3 | |
| 17 | 71.1 | 72.0 | |||
| 18 | 1.30 s | 29.8 | 1.45 s | 30.4 | |
| 19 | 1.30 s | 29.8 | 1.45 s | 30.4 | |
| OH-1 | 13.69 s | 14.33 s a | |||
| OH-3 | 9.68 s | 14.40 s a | |||
| OH-7 | 8.72 s | ||||
| OH-8 | 15.12 s a | ||||
| OH-18 | 3.81 s | 2.81 s | |||

| Cancer cell Lines | 1 | 2 | 3 | 4 | 5 | 6 | 7 | Hirsutanol A |
|---|---|---|---|---|---|---|---|---|
| Human nasopharyngeal carcinoma cell line CNE1 | 1.43 | 2.09 | 0.76 | 16.28 | 6.46 | 15.58 | 1.85 | 10.06 |
| Human nasopharyngeal carcinoma cell line CNE2 | 0.73 | 1.21 | 0.54 | 9.04 | 4.51 | 9.77 | 1.81 | 12.70 |
| Human nasopharyngeal carcinoma cell line SUNE1 | 2.23 | 2.76 | 2.30 | 24.06 | 8.78 | 11.36 | 4.41 | 3.53 |
| Human nasopharyngeal carcinoma cell line HONE1 | – | – | 1.18 | 16.72 | 7.40 | 11.17 | 2.78 | 17.48 |
| Human lung cancer cell line A549 | – | – | 1.97 | 20.17 | – | 15.92 | 3.79 | 12.05 |
| Human lung cancer cell line GLC82 | – | – | – | 15.38 | 5.52 | 16.97 | 3.46 | 10.11 |
| Human breast cancer cell line MCF-7 | – | – | 2.85 | 19.30 | 8.26 | 10.07 | 5.27 | 10.35 |
| Human hepatic cancer cell line Bel–7402 | – | – | 3.32 | 16.73 | 7.78 | 11.38 | 3.66 | 24.80 |
3. Experimental
3.1. General Procedures
3.2. Plant Material
3.3. Extraction and Isolation
3.4. Spectral Data
: + 15.8 (c 0.03, MeOH); UV (MeOH) λmax (ε) 207 nm (9,868), 247 nm (15,547), 287 nm (12,367), 350 nm (2,172); IR vmax 3229, 2964, 2927, 2855, 1642, 1609, 1582, 1485, 1460, 1373, 1319, 1306, 1281, 1231, 1209, 1182, 1161, 1125, 1100, 1083, 1054, 937, 904, 818, 797, 783 cm−1; 1H- and 13C-NMR data, see Table 1; LREIMS m/z 398, 380, 363, 337, 325, 309, 295, 281, 269, 257, 241, 213, 185, 167, 149, 130, 105, 91, 77, 69, 57; HREIMS m/z 398.1725 [M]+ (calcd for C23H26O6, 398.1724).
: + 19.7 (c 0.014, MeOH); UV (MeOH) λmax (ε) 210 nm (34,165), 242 nm (46,002), 264 nm (44,690), 312 nm (25,976), 370 nm (8,733); IR vmax 3466, 3176, 2956, 2926, 2854, 1638, 1600, 1578, 1500, 1464, 1428, 1374, 1356, 1339, 1292, 1238, 1224, 1197, 1167, 1129, 1104, 1170, 964, 847, 789, 779, 748, 723, 661 cm−1; 1H- and 13C-NMR data, see Table 1; LREIMS m/z 412, 394, 379, 354, 339, 323, 311, 299, 283, 271; HREIMS m/z 412.1517 [M]+ (calcd for C23H24O7, 412.1517).3.5. Cytotoxicity Assay
4. Conclusions
Supplementary Materials
Acknowledgments
Conflicts of Interest
References
- Gutierrez-Orozco, F.; Failla, M.L. Biological activities and bioavailability of mangosteen xanthones: A critical review of the current evidence. Nutrients 2013, 5, 3163–3183. [Google Scholar] [CrossRef]
- Pedraza-Chaverri, J.; Cardenas-Rodriguez, N.; Orozco-Ibarra, M.; Perez-Rojas, J.M. Medicinal properties of mangosteen (Garcinia mangostana). Food Chem. Toxicol. 2008, 46, 3227–3239. [Google Scholar]
- Chin, Y.W.; Kinghorn, A.D. Structural characterization, biological effects, and synthetic studies on xanthones from mangosteen (Garcinia mangostana), a popular botanical dietary supplement. Mini Rev. Org. Chem. 2008, 5, 355–364. [Google Scholar] [CrossRef]
- Obolskiy, D.; Pischel, I.; Siriwatanametanon, N.; Heinrich, M. Garcinia mangostana L.: A phytochemical and pharmacological review. Phytother. Res. 2009, 23, 1047–1065. [Google Scholar] [CrossRef]
- Suksamrarn, S.; Komutiban, O.; Ratananukul, P.; Chimnoi, N.; Lartpornmatulee, N.; Suksamrarn, A. Cytotoxic prenylated xanthones from the young fruit of Garcinia mangostana. Chem. Pharm. Bull. 2006, 54, 301–305. [Google Scholar] [CrossRef]
- Vieira, L.M.M.; Kijjoa, A. Naturally-occurring xanthones: Recent developments. Curr. Med. Chem. 2005, 12, 2413–2446. [Google Scholar] [CrossRef]
- Akao, Y.; Nakagawa, Y.; Iinuma, M.; Nozawa, Y. Anti-cancer effects of xanthones from pericarps of mangosteen. Int. J. Mol. Sci. 2008, 9, 355–370. [Google Scholar]
- Sen, A.K.; Sarkar, K.K.; Mazumder, P.C.; Banerji, N.; Uusuvori, R.; Hase, T.A. The structures of garcinones A, B, and C: Three new xanthones from Garcinia mangostana. Phytochemistry 1982, 21, 1747–1750. [Google Scholar] [CrossRef]
- Sen, A.K.; Sarkar, K.K.; Majumder, P.C.; Banerji, N.; Garcinone, D. A new xanthone from Garcinia mangostana Linn. Indian J. Chem. B 1986, 25, 1157–1158. [Google Scholar]
- Parveen, M.; Ud-din Khan, N. Two xanthones from Garcinia mangostana. Phytochemistry 1988, 27, 3694–3696. [Google Scholar] [CrossRef]
- Govindachari, T.R.; Kalyanaraman, P.S.; Muthukumaraswamy, N.; Pai, B.R. Xanthones of Garcinia mangostana Linn. Tetrahedron 1971, 27, 3919–3926. [Google Scholar] [CrossRef]
- Sen, A.K.; Sarkar, K.K.; Mazumder, P.C.; Banerji, N.; Uusvuori, R.; Hase, T.A. A xanthone from Garcinia mangostana. Phytochemistry 1980, 19, 2223–2225. [Google Scholar] [CrossRef]
- Jefferson, A.; Quillinan, A.J.; Scheinmann, F.; Sim, K.Y. Xanthone series. XVIII. Isolation of γ-mangostin from Garcinia mangostana, and preparation of the natural mangostins by selective demethylation. Aust. J. Chem. 1970, 23, 2539–2543. [Google Scholar] [CrossRef]
- Li, H.J.; Lan, W.J.; Lam, C.K.; Yang, F.; Zhu, X.F. Hirsutane sesquiterpenoids from the marine-derived fungus Chondrostereum sp. Chem. Biodivers. 2011, 8, 317–324. [Google Scholar] [CrossRef]
- Sample Availability: Not available.
© 2014 by the authors. Licensee MDPI, Basel, Switzerland. This article is an open access article distributed under the terms and conditions of the Creative Commons Attribution license ( http://creativecommons.org/licenses/by/3.0/).
Share and Cite
Xu, Z.; Huang, L.; Chen, X.-H.; Zhu, X.-F.; Qian, X.-J.; Feng, G.-K.; Lan, W.-J.; Li, H.-J. Cytotoxic Prenylated Xanthones from the Pericarps of Garcinia mangostana. Molecules 2014, 19, 1820-1827. https://doi.org/10.3390/molecules19021820
Xu Z, Huang L, Chen X-H, Zhu X-F, Qian X-J, Feng G-K, Lan W-J, Li H-J. Cytotoxic Prenylated Xanthones from the Pericarps of Garcinia mangostana. Molecules. 2014; 19(2):1820-1827. https://doi.org/10.3390/molecules19021820
Chicago/Turabian StyleXu, Zeng, Lei Huang, Xiao-Hong Chen, Xiao-Feng Zhu, Xiao-Jun Qian, Gong-Kan Feng, Wen-Jian Lan, and Hou-Jin Li. 2014. "Cytotoxic Prenylated Xanthones from the Pericarps of Garcinia mangostana" Molecules 19, no. 2: 1820-1827. https://doi.org/10.3390/molecules19021820
APA StyleXu, Z., Huang, L., Chen, X.-H., Zhu, X.-F., Qian, X.-J., Feng, G.-K., Lan, W.-J., & Li, H.-J. (2014). Cytotoxic Prenylated Xanthones from the Pericarps of Garcinia mangostana. Molecules, 19(2), 1820-1827. https://doi.org/10.3390/molecules19021820
