Next Article in Journal
Antioxidant Properties and Hyphenated HPLC-PDA-MS Profiling of Chilean Pica Mango Fruits (Mangifera indica L. Cv. piqueño)
Next Article in Special Issue
EGF Receptor-Dependent Mechanism May be Involved in the Tamm–Horsfall Glycoprotein-Enhanced PMN Phagocytosis via Activating Rho Family and MAPK Signaling Pathway
Previous Article in Journal
Synthesis, Anticancer Activity and UPLC Analysis of the Stability of Some New Benzimidazole-4,7-dione Derivatives
 
 
Font Type:
Arial Georgia Verdana
Font Size:
Aa Aa Aa
Line Spacing:
Column Width:
Background:
Article

A New Chemical Approach to Human ABO Histo-Blood Group Type 2 Antigens

1
Department of Applied Bioorganic Chemistry, Faculty of Applied Biological Sciences, Gifu University, 1-1 Yanagido, Gifu-shi, Gifu 501-1193, Japan
2
Institute for Integrated Cell-Material Sciences (WPI-iCeMS), Kyoto University, Yoshida Ushinomiya-cho, Sakyo-ku, Kyoto 606-8501, Japan
*
Author to whom correspondence should be addressed.
Molecules 2014, 19(1), 414-437; https://doi.org/10.3390/molecules19010414
Submission received: 13 December 2013 / Revised: 24 December 2013 / Accepted: 25 December 2013 / Published: 31 December 2013
(This article belongs to the Special Issue Oligosaccharides and Glyco-Conjugates)

Abstract

:
A new chemical approach to synthesizing human ABO histo-blood type 2 antigenic determinants was developed. N-Phthaloyl-protected lactosaminyl thioglycoside derived from lactulose via the Heyns rearrangement was employed to obtain a type 2 core disaccharide. Use of this scheme lowered the overall number of reaction steps. Stereoselective construction of the α-galactosaminide/galactoside found in A- and B-antigens, respectively, was achieved by using a unique di-tert-butylsilylene-directed α-glycosylation method. The proposed synthetic scheme provides an alternative to existing procedures for preparing ABO blood group antigens.

Graphical Abstract

1. Introduction

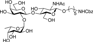
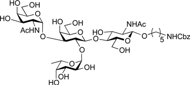
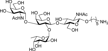
ABO histo-blood group antigens are expressed on red blood cells and are widely distributed in various tissues such as the vascular endothelium, where they are displayed on plasmalemmal glycoproteins and glycolipids by attachment to sugar residues that terminate N-linked, O-linked, and lipid-linked glycans [1,2]. The A, B, and O group antigens are defined by the GalNAcα(1-3)[Fucα(1-2)]Gal, Galα(1-3)[Fucα(1-2)]Gal, and Fucα(1-2)Gal glycan structures, respectively. These antigens can be further divided into six subtypes based on linkage arrangement: type 1, ABO-β(1-3)GlcNAcβ; type 2, ABO-β(1-4)GlcNAcβ; type 3, ABO-β(1-4)GalNAcα; type 4, ABO-β(1-3)GalNAcβ; type 5, ABO-β(1-3)Galβ; and type 6: ABO-β(1-4)Glcβ [3,4]. Since the discovery of ABO antigens over a century ago [5], many biological phenomena associated with them have been found, for example: immune response in blood transfusion and organ transplantation [6,7]; susceptibility to certain diseases in individuals with a particular ABO phenotype [8,9,10]; function as a receptor for pathogens such as Campylobacter jejuni [11], Helicobacter pylori [12], and Norwalk virus [13,14]; and aberrant expression in the oncogenesis of various organs [15,16]. However, little progress has been made in elucidating their physiological behavior at the molecular level because of a lack of pure materials for scientific research. We envisioned that chemically synthesized pure samples would enable a range of studies on the physiological and pathological implications of ABO group antigens. The chemical synthesis of type 1 glycans has been reported by several groups [4,17,18,19,20,21,22,23], but reports on the synthesis of type 2 glycans have been limited [4,24,25,26]. Also, it should be noted that synthetic studies of ABO antigens were first reported by Lemieux's group and they then focused on Lewis antigens [27,28,29,30,31]. The goal of our research is therefore to develop a facile synthetic route to ABO histo-blood group antigens, particularly type 2 glycans. Here we describe a new chemical approach to ABO group type 2 antigens with a pentylamine linker (1‒3; Figure 1), which are expected to be useful in future biological studies.
Figure 1. Structure of the target ABO blood-group type 2 antigens.
Figure 1. Structure of the target ABO blood-group type 2 antigens.
Molecules 19 00414 g001

2. Results and Discussion

The typical procedure for synthesizing ABO blood group antigens is stepwise assembly of the monosaccharide unit, which requires a laborious protection/deprotection strategy for the multistep preparation of both monosaccharide donor and acceptor. To improve accessibility to those antigens, we designed a unique synthetic route to the target ABO group type 2 antigenic oligosaccharides. As shown in Scheme 1, our synthetic strategy involves two key reactions: (1) the Heyns rearrangement for simple preparation of N-acetyl-lactosamine (4-O-β-d-galactopyranosyl-d-N-acetyl-glucosamine), a type 2 core disaccharide; and (2) di-tert-butylsilylene (DTBS)-directed α-galactosaminylation and α-galactosylation for the formation of A and B determinants, respectively.
Scheme 1. Retrosynthetic analysis of target compounds.
Scheme 1. Retrosynthetic analysis of target compounds.
Molecules 19 00414 g002
The Heyns rearrangement is known to be effective for obtaining a lactosamine derivative by simple manipulation starting from lactulose (4-O-β-d-galactopyranosyl-d-fructose). This reaction was originally developed for converting ketoses into the corresponding 2-amino-2-deoxyaldoses [32]. We hoped that the use of lactulose (4) as an alternate starting material would allow us to minimize the number of reaction steps as well as to reduce the time and effort needed. Additionally, lactulose is a relatively inexpensive and commercially available sugar. Recently, Wrodnigg and co-workers reported an improved Heyns rearrangement procedure, which was much more practical than the original procedure [33,34]. Other groups have recently reported even more practical protocols suitable for large-scale synthesis [35,36]. In the present study, we followed these procedures to obtain lactosamine derivative 5 [37] as a key building block. Compound 5 was efficiently prepared in five steps (Scheme 2) by methods in the literature [33,34,35,36]. Conversion of peracetate derivative 5 into thioglycoside form was performed in the presence of ethanethiol and BF3·OEt2 in 1,2-dichloroethane to give ethylthioglycoside 6 in 96% yield. The ethylsulfinyl group was selected in consideration of its solubility in MeOH, which was used in the next step. A phenylsulfinyl group in place of the ethylsulfinyl group resulted in poor solubility in MeOH, leading to a poor results in the deacetylation reaction. After removal of all acetyl groups in 6, hydroxyl groups at the C2 and C3 positions of the galactose residue were simultaneously protected as a butanediacetal (BDA) [38] to afford compound 8. In this reaction, a regioisomer of 8, namely, a 3,4-O-BDA-protected by-product, was formed and these regioisomers were separated by silica gel column chromatography. However, small amounts of impurities could not be separated from 8. Acetylation of 8 along with contaminants and subsequent hydrolysis of the BDA group afforded diol 10 as the sole product in 57% yield over the four operations. The tin-mediated selective acylation developed by Muramatsu [39] was then applied to selectively protect the C3′-OH group by the Troc group, giving the disaccharide acceptor 11 in 84% yield. Another procedure for selective protection of the C3′-OH group by treatment of TrocCl with pyridine in CH2Cl2 at lower temperature (−40 °C) gave 11 in somewhat lower yield (76%). For next glycosylation, the fucosyl N-phenyltrifluoroacetimidate 12 was designed to increase both reactivity and stability as a fucose donor. The previously used fucosyl donor, 2,3,4-tri-O-benzyl-protected fucosyl imidate, could be served as a good fucosyl donor, but was relatively unstable under glycosylation conditions due to its armed feature. Chemo-selectively removable PMB group was chosen as a protecting group at C2 position and electron-withdrawing acetyl groups at C3 and C4 were incorporated to suppress the armed feature by the PMB group, which could lead to stabilization of the donor. Furthermore, a more stable N-phenyltrifluoroacetimidate group compared to a trichloroacetimidate group was used as a leaving group [40,41]. The glycosylation of 11 with 12, which was derived from a known fucose derivative [42] and was promoted by TMSOTf in a mixed solvent system of cyclopentylmethyl ether (CPME)–dichloromethane (1:1) [43] at −80 °C, provided trisaccharide 13. Small amounts of contaminates remained after column chromatography. The mixture containing contaminants was used directly in the next reaction. Removal of the p-methoxybenzyl (PMB) group under acidic conditions allowed for purification of the newly formed trisaccharide, affording 14 with a yield of 88% over two steps. Acetylation of the liberated hydroxyl group afforded compound 15 with a yield of 95%. Next, the coupling reaction of 15 with N-Cbz-protected aminopentanol 16 occurred smoothly in the presence of N-iodosuccinimide (NIS) and TfOH [44,45] in CH2Cl2 at 0 °C to give the desired glycoside 17 in 85% yield. Subsequent deprotection of the Troc group by treatment with zinc and AcOH [46] in 1,2-dichloroethane at 40 °C afforded common trisaccharide derivative 18 with a yield of 90%.
For constructing the A and B antigen skeletons, it is necessary to incorporate galactosamine (for A antigen) and galactose (for B antigen) residues into trisaccharide 18 in α-linked form. Typically, α-d-galactosides are obtained by using ethereal solvents such as diethyl ether and 1,4-dioxane as well as the anomeric effect [47].
Scheme 2. Synthesis of the common trisaccharide unit.
Scheme 2. Synthesis of the common trisaccharide unit.
Molecules 19 00414 g003
However, highly α-selectivity in such galactosylation is generally difficult and strongly dependent on various factors, such as the substrate structure, promoter, and temperature. The stereoisomers formed are often difficult to separate, which presents a serious disadvantage for synthetic studies. In 2003, we developed a reliable method for α-selective galactosidation and galactosaminidation using DTBS-protected glycosyl donors [48,49,50,51]. Notable features of the DTBS-directed α-galactosylation are excellent α-selectivity even in the presence of a neighboring participating group on the C2 oxygen or nitrogen, and the relatively greater difference between the Rf values of the α and β isomers that enables them to be more easily separated. Thus, we decided to utilize DTBS-directed α-galactosylation for the construction of the A and B antigen sequences.
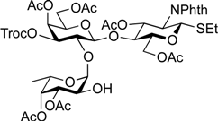
As shown in Scheme 3, trisaccharide acceptor 18 was glycosylated with galactosaminyl donor 19 [48] and galactosyl donor 20 [52] in the presence of NIS and TfOH in CH2Cl2 at 0 °C, giving the corresponding tetrasaccharides 21 and 22 in α-linked form in yields of 82% and 58%, respectively. In these reactions, the recovery of unreacted acceptor 18 was 9% and 22%, when 19 and 20 were used, respectively, despite the use of 2 equiv of donor. However, other possible stereoisomers were not detected and both α-products were easy to isolate by column chromatography. To our surprise, the coupling yield of 22 was moderate. When we attempted to use the armed 2,3-di-O-benzyl-type galactose donor instead of 20, the yield was not improved (41%) and many unidentified by-products were generated. The unexpectedly low reactivity of 18 as a glycosyl acceptor might arise from steric hindrance around 3-OH on the Gal residue.
Scheme 3. Assembly of A and B antigen sequences.
Scheme 3. Assembly of A and B antigen sequences.
Molecules 19 00414 g004
Scheme 4. Global deprotection sequence.
Scheme 4. Global deprotection sequence.
Molecules 19 00414 g005
Reagents and conditions: (a) (i) Zn, AcOH, (CH2Cl)2, 40 °C, (ii) Ac2O, MeOH, r.t.; (b) (i) TBAHF, THF, r.t. (ii) Ac2O, Py, r.t.; (c) (i) NH2NH2·H2O, EtOH, reflux, (ii) Ac2O, MeOH, r.t.; (d) H2, Pd/C, MeOH–H2O (1:1), r.t.; (e) H2, Pd/C, 1,4-dioxane–2% aq. formic acid (1:1), r.t.
On the route to the target compounds, there is a global deprotection sequence (Scheme 4). Selective removal of the Troc groups of 21 by treatment with zinc and AcOH, followed by selective acetylation of the liberated amine of the galactosamine residue at C2 afforded 23 in 84% yield. Then, removal of the DTBS group with tributylamine hydrofluoride (TBAHF) in THF [53] followed by acetylation of the hydroxyl groups provided 24 in 98% yield over two steps. After removal of all acetyl groups on 24, the phthalimide group at C2 of the glucosamine residue was converted to an acetamide group by sequential treatment with hydrazine hydrate in refluxing EtOH followed by selective acetylation of the free amine, affording 25 in 80% yield over three steps. Finally, the Cbz group at the terminus of the linker was removed by hydrogenolysis with Pd/C under hydrogen atmosphere, thus furnishing target 1 (A antigen) in 81% yield. Similarly, the deprotection of compounds 22 and 18 were efficiently carried out to furnish target compounds 2 (B antigen) and 3 (O antigen) in good yields.

3. Experimental

3.1. General Methods

All reactions were carried out under a positive pressure of argon, unless otherwise noted. All chemicals were purchased from commercial suppliers and used without further purification, unless otherwise noted. Molecular sieves were purchased from Nacalai Tesque, Inc. (Kyoto, Japan) and dried at 300 °C for 12 h in a muffle furnace prior to use. Solvents as reaction media such as CH2Cl2, MeOH, THF, DMF, and pyridine, which were tapped off from The Solvent Supply System, were purchased from Kanto Chemical Co., Inc. (Tokyo, Japan) and used without purification. TLC analysis was performed on Merck TLC (silica gel 60F254 on glass plate, Darmstadt, Germany). Compound detection was either by exposure to UV light (2536 Å) or by soak in a solution of 10% H2SO4 in ethanol followed by heating. Silica gel (80 mesh and 300 mesh) manufactured by Fuji Silysia Chemical Ltd. (Kasugai, Japan) was used for flash column chromatography. Quantity of silica gel was usually estimated as 100 to 200-fold weight of sample to be charged. Solvent systems in chromatography were specified in v/v. Evaporation and concentration were carried out in vacuo. 1H-NMR and 13C-NMR spectra were recorded with Bruker Biospin AVANCE III 500/800 spectrometers (Billerica, MA, USA). Chemical shifts in 1H-NMR spectra are expressed in ppm (δ) relative to the signal of Me4Si, adjusted to δ 0.00 ppm. Data are presented as follow: Chemical shift, multiplicity (s = singlet, d = doublet, t = triplet, dd = double of doublet, td = triple doublet, m = multiplet and/or multiple resonances), integration, coupling constant in Hertz (Hz), position of the corresponding proton. COSY methods were used to confirm the NMR peak assignments. High-resolution mass (ESI-TOF MS) spectra were run in a Bruker Daltonics micrOTOF (Billerica, MA, USA). Optical rotations were measured with a ‘Horiba SEPA-300’ high-sensitive polarimeter (Kyoto, Japan).

3.2. Physical Data for All New Compounds

Molecules 19 00414 i001
Ethyl (2,3,4,6-tetra-O-acetyl-β-d-galactopyranosyl)-(1→4)-3,6-di-O-acetyl-2-deoxy-2-phthalimide-1-thio-β-d-glucopyranoside (6). To a mixture of 5 (4.16 g, 5.44 mmol) in (CH2Cl)2 (27.2 mL) were added EtSH (606 µL, 8.16 mmol) and BF3·OEt2 (1.03 mL, 8.16 mmol) at 0 °C. After stirring for 2 h at rt as the reaction was monitored by TLC (3:2 EtOAc–hexane), the reaction was quenched by the addition of crushed ice. The solution was diluted with CHCl3 and subsequently washed with ice-cooled H2O, satd aq Na2CO3, and brine. The organic layer was then dried over Na2SO4, and concentrated. The resulting residue was purified by silica gel column chromatography (1:1 EtOAc–hexane) to give 6 (3.99 g, 96%). Spectroscopic data of 6 were identical to those reported in the literature [54].
Molecules 19 00414 i002
Ethyl (4,6-di-O-acetyl-β-d-galactopyranosyl)-(1→4)-3,6-di-O-acetyl-2-deoxy-2-phthalimide-1-thio-β-d-glucopyranoside (10). To a solution of 6 (1.08 g, 1.41 mmol) in MeOH/CH2Cl2 (2:1, 14.1 mL) was added NaOMe (28% solution in MeOH, 31.9 µL, 141 µmol) at 0 °C. After stirring for 2 h at rt as the reaction was monitored by TLC (3:2 EtOAc–hexane), the reaction was neutralized with AcOH. After concentration, the resulting residue was diluted with CHCl3 and subsequently washed with H2O and brine. The organic layer was dried over Na2SO4, of which solid was filtered through cotton and the filtrate was then evaporated (giving 7). The residue was subjected to next reaction without further purification. The crude product 7 was dissolved in MeOH (28.2 mL). To the solution were added 2,3-butanedione (492 µL, 5.64 mmol), trimethyl orthoformate (1.95 mL, 17.8 mmol), and (±)-10-camphorsulfonic acid (66 mg, 282 µmol) at rt. After stirring for 20 h at reflux as the reaction was monitored by TLC (10:1 CHCl3–MeOH), the reaction was quenched by the addition of triethylamine (218 µmol) and concentrated. The resulting residue was diluted with CHCl3 and subsequently washed with H2O and brine. The organic layer was dried over Na2SO4, filtered, concentrated. The resulting residue was roughly purified by silica gel column chromatography (20:1 CHCl3–MeOH) to give 2,3-O-BDA-protected product 8 along with small amounts of contaminants. The crude mixture (494 mg) was dissolved in pyridine (7.8 mL). To the solution were added Ac2O (890 µL, 9.42 mmol) and a catalytic amount of DMAP at 0 °C. After stirring for 1 h at rt as the reaction was monitored by TLC (3:2 EtOAc–hexane), the mixture was co-evaporated with toluene. The resulting residue was diluted with EtOAc and subsequently washed with 2 M HCl, H2O, satd aq NaHCO3, and brine, dried over Na2SO4, and concentrated. The resulting residue was purified by silica gel column chromatography (2:3 EtOAc–hexane) to give 9 (634 mg), to which suspension in H2O (1.6 mL) was added trifluoroacetic acid (14.4 mL) at 0 °C. After stirring for 2 h at rt as the reaction was monitored by TLC (1:1 CHCl3–acetone), the mixture was diluted with toluene and concentrated. The resulting residue was purified by silica gel column chromatography (7:3 CHCl3–acetone) to give 10 (548 mg, 57% over four steps). [α]D +18.3° (c 1.0, CHCl3); 1H-NMR (500 MHz, CDCl3) δ 7.88–7.74 (m, 4H, Phth), 5.84 (dd, 1H, J3,4 = 8.2 Hz, J2,3 = 11.2 Hz, H-3GlcN), 5.50 (d, 1H, J1,2 = 10.6 Hz, H-1GlcN), 5.28 (d, 1H, J3,4 = 3.3 Hz, H-4Gal), 4.63 (dd, 1H, J5,6a = 1.6 Hz, Jgem = 11.9 Hz, H-6aGlcN), 4.40–4.29 (m, 3H, H-2GlcN, H-6bGlcN, H-1Gal), 4.10–3.98 (m, 2H, H-6aGal, H-6bGal), 3.91–3.80 (m, 3H, H-4GlcN, H-5GlcN, H-5Gal), 3.75–3.73 (m, 1H, H-3Gal), 3.62 (d, 1H, J2,OH = 3.2 Hz, OH), 3.57–3.53 (m, 1H, H-2Gal), 3.21 (d, 1H, J3,OH = 3.1 Hz, OH), 2.73–2.61 (m, 2H, SCH2CH3), 2.18–1.90 (4 s, 12H, Ac), 1.22 (t, 3H, SCH2CH3); 13C-NMR (125 MHz, CDCl3) δ 171.2, 170.9, 170.5, 170.0, 167.7, 167.4, 134.4, 134.2, 131.6, 131.2, 123.7, 123.6, 103.1, 81.1, 72.0, 71.9, 71.7, 71.0, 68.7, 63.1, 61.5, 53.9, 29.7, 29.2, 24.6, 21.0, 20.7, 20.7, 20.6, 14.9. HRMS (ESI) m/z: found [M+Na]+ 706.1776, C30H37NO15S calcd for [M+Na]+ 706.1773.
Molecules 19 00414 i003
Ethyl [4,6-di-O-acetyl-3-O-(2,2,2-trichloroethoxycarbonyl)-β-d-galactopyranosyl]-(1→4)-3,6-di-O-acetyl-2-deoxy-2-phthalimide-1-thio-β-d-glucopyranoside (11). A solution of 10 (103 mg, 151 µmol) and dibutyltin dichloride (4.6 mg, 15.1 µmol) in acetone (3.0 mL) was stirred for 10 min at rt. To the solution were added PEMP (55 µL, 302 µmol) and TrocCl (27 µL, 196 µmol) at 10 °C. After stirring for 20 min at the same temperature as the reaction was monitored by TLC (1:2 EtOAc–toluene, 1:1 CHCl3–acetone), the reaction was quenched by the addition of satd aq NH4Cl and concentrated. The resulting residue was diluted with EtOAc and subsequently washed with H2O and brine. The organic layer was dried over Na2SO4, filtered, concentrated. The resulting residue was purified by silica gel column chromatography (2:7 EtOAc–toluene) to give 11 (108 mg, 84%). [α]D +30.0° (c 1.0, CHCl3); 1H-NMR (500 MHz, CDCl3) δ 7.88–7.74 (m, 4H, Phth), 5.70 (dd, 1H, J3,4 = 8.2 Hz, J2,3 = 10.6 Hz, H-3GlcN), 5.49 (d, 1H, J1,2 = 10.6 Hz, H-1GlcN), 5.46 (d, 1H, J3,4 = 2.9 Hz, H-4Gal), 4.79 (m, 2H, H-3Gal, OCH2CCl3), 4.65 (near dd, 1H, Jgem = 11.4 Hz, H-6aGlcN), 4.44 (d, 1H, J1,2 = 7.7 Hz, H-1Gal), 4.38 (dd, 1H, J5,6b = 4.2 Hz, H-6bGlcN), 4.31 (t, 1H, H-2GlcN), 4.11–4.03 (m, 2H, H-6aGal, H-6bGal), 3.91–3.77 (m, 4H, H-4GlcN, H-5GlcN, H-2Gal, H-5Gal), 3.47 (d, 1H, J2,OH = 5.2 Hz, OH), 2.72–2.62 (m, 2H, SCH2CH3), 2.14–1.91 (4 s, 12H, Ac), 1.22 (t, 3H, SCH2CH3); 13C-NMR (125 MHz, CDCl3) δ 171.2, 170.4, 170.2, 170.2, 167.8, 167.5, 153.2, 134.3, 134.3, 131.8, 131.3, 123.8, 103.3, 94.1, 81.2, 77.7, 77.3, 77.2, 72.2, 70.6, 69.2, 66.2, 63.1, 61.1, 54.0, 29.8, 24.6, 21.0, 20.7, 20.7, 20.6, 15.1. HRMS (ESI) m/z: found [M+Na]+ 880.0823, C33H38Cl3NO17S calcd for [M+Na]+ 880.0818.
Molecules 19 00414 i004
3,4-Di-O-acetyl-2-O-p-methoxybenzyl-l-fucopyranosyl N-phenyl 2,2,2-trifluoroacetimidate (12). To a solution of phenyl 3,4-di-O-acetyl-2-O-p-methoxybenzyl-1-thio-β-l-fucopyranoside [42] (1.21 g, 2.63 mmol) in acetone/H2O (13.1 mL, 96:4) was added NBS (701 mg, 3.94 mmol) at −15 °C. After stirring for 1 h at the same temperature as the reaction was monitored by TLC (1:1 EtOAc–hexane), the reaction was quenched by the addition of satd aq Na2S2O3 and then diluted with EtOAc, washed with H2O and brine. The organic layer was dried over Na2SO4, filtered, concentrated. The resulting residue was purified by silica gel column chromatography (2:3 EtOAc–hexane) to give the corresponding hemiacetal product (969 mg, quant.), which was then dissolved in acetone (52.6 mL). To the solution were added 2,2,2-trifluoro-N-phenylacetimidoyl chloride (853 µL, 5.26 mmol) and K2CO3 (1.82 g, 13.2 mmol) at rt. After stirring for 2.5 h at rt as the reaction was monitored by TLC (1:2 EtOAc–hexane), the reaction mixture was filtered through Celite. The filtrate and washings were concentrated. The resulting residue was purified by silica gel column chromatography (1:4 EtOAc–hexane) to give 12 (1.33 g, 94%, α/β = 1/1). [α]D −81.6° (c 1.0, CHCl3); 13C-NMR (125 MHz, CDCl3) δ 170.3, 170.2, 169.9, 169.8, 159.4, 159.3, 143.5, 143.2, 129.8, 129.7, 129.5, 129.3, 129.1, 128.9, 128.8, 128.6, 128.6, 128.4, 128.4, 124.3, 124.2, 119.3, 119.2, 117.2, 114.9, 114.0, 113.7, 113.7, 97.0, 93.6, 77.6, 77.2, 74.9, 74.7, 72.9, 72.6, 72.2, 70.8, 70.2, 70.0, 69.7, 67.3, 55.2, 55.1, 20.7, 20.6, 20.5, 20.5, 15.9, 15.8. 1H-NMR (500 MHz, CDCl3) α-isomer: δ 7.45–6.71 (m, 9H, Ar), 6.46 (br s, 1H, H-1), 5.35–5.31 (m, 2H, H-3, H-4), 4.75–4.59 (m, 2H, OCH2Ar), 4.27 (br s, 1H, H-5), 3.95 (br d, 1H, H-2), 3.87–3.77 (m, 3H, OMe), 2.16–1.99 (m, 6H, Ac), 1.18–1.14 (m, 3H, H-6). β-isomer: δ 7.45–6.71 (m, 9H, Ar), 5.68 (br s, 1H, H-1), 5.20 (br s, 1H, H-4), 4.98 (br s, 1H, H-3) 4.75–4.59 (m, 2H, OCH2Ar), 3.87–3.77 (m, 5H, H-2, H-5, OMe), 2.16–1.99 (m, 6H, Ac), 1.18–1.14 (m, 3H, H-6). Possible other stereoisomers were not assigned. HRMS (ESI) m/z: found [M+Na]+ 562.1657, C26H28F3NO8 calcd for [M+Na]+ 562.1659.
Molecules 19 00414 i005
Ethyl (3,4-di-O-acetyl-α-l-fucopyranosyl)-(1→2)-[4,6-di-O-acetyl-3-O-(2,2,2-trichloroethoxycarbonyl)-β-d-galactopyranosyl]-(1→4)-3,6-di-O-acetyl-2-deoxy-2-phthalimide-1-thio-β-d-glucopyranoside (14). To a mixture of 11 (1.06 g, 1.24 mmol) and 12 (1.33 g, 2.47 mmol) in CPME/CH2Cl2 (1:1, 74.2 mL) was added 4 Å molecular sieves AW-300 (7.42 g) at rt. After stirring for 30 min, the mixture was cooled to −80 °C. TMSOTf (22 µL, 124 µmol) was then added to the mixture at −80 °C. After stirring for 5.5 h at the same temperature as the reaction was monitored by TLC (1:2 EtOAc–toluene, 1:2 EtOAc–hexane) and MALDI-TOF MS, the reaction was quenched by the addition of satd aq NaHCO3. The reaction mixture was diluted with CHCl3 and filtered through Celite. The filtrate was then washed with satd aq NaHCO3 and H2O. The organic layer was subsequently dried over Na2SO4, and concentrated. The resulting residue was purified by silica gel column chromatography (2:7 EtOAc–toluene) to give 13 with unidentified impurity (1.66 g). The crude mixture was then dissolved in CH2Cl2 (44.6 mL). To the solution was added trifluoroacetic acid (5.0 mL) at 0 °C. After stirring for 40 min at rt as the reaction was monitored by TLC (1:1 EtOAc–hexane), the mixture was co-evaporated with toluene. The residue was diluted with CHCl3 and subsequently washed with satd aq NaHCO3 and H2O. The organic layer was dried over Na2SO4, filtered, concentrated. The resulting residue was purified by silica gel column chromatography (1:2 EtOAc–toluene) to give 14 (1.18 g, 88% over two steps). [α]D −38.1° (c 1.0, CHCl3); 1H-NMR (500 MHz, CDCl3) δ 7.88–7.73 (m, 4H, Phth), 5.80 (t, 1H, J2,3 = J3,4 = 10.6 Hz, H-3GlcN), 5.47–5.45 (m, 2H, H-1GlcN, H-4Gal), 5.29 (d, 1H, J1,2 = 2.5 Hz, H-1Fuc), 5.21 (d, 1H, J3,4 = 3.9 Hz, H-4Fuc), 4.99 (dd, 1H, J2,3 = 10.7 Hz, H-3Fuc), 4.91 (dd, 1H, J3,4 = 3.6 Hz, J2,3 = 10.1 Hz, H-3Gal), 4.75 (s, 2H, OCH2CCl3), 4.51 (dd, 1H, J5,6a = 4.2 Hz, Jgem = 12.0 Hz, H-6aGlcN), 4.33–4.31 (m, 4H, H-2GlcN, H-6bGlcN, H-1Gal, H-5Fuc), 4.17–4.09 (m, 2H, H-6aGal, H-6bGal), 3.95–3.83 (m, 5H, H-4GlcN, H-5GlcN, H-2Gal, H-5Gal, H-2Fuc), 2.74–2.62 (m, 2H, SCH2CH3), 2.16–1.91 (6 s, 18H, Ac), 1.27–1.22 (m, 6H, H-6Fuc, SCH2CH3); 13C-NMR (125 MHz, CDCl3) δ 170.6, 170.5, 170.3, 169.9, 169.8, 167.5, 167.2, 152.8, 134.3, 134.2, 131.6, 131.2, 123.6, 100.1, 99.6, 93.8, 81.4, 77.8, 77.2, 74.9, 73.2, 71.2, 70.7, 70.6, 67.0, 66.6, 65.7, 62.5, 60.9, 53.9, 29.6, 24.8, 20.8, 20.7, 20.6, 20.6, 20.5, 20.4, 15.6, 15.0. HRMS (ESI) m/z: found [M+Na]+ 1110.1609, C43H52Cl3NO23S calcd for [M+Na]+ 1110.1611.
Molecules 19 00414 i006
Ethyl (2,3,4-tri-O-acetyl-α-l-fucopyranosyl)-(1→2)-[4,6-di-O-acetyl-3-O-(2,2,2-trichloroethoxycarbonyl)-β-d-galactopyranosyl]-(1→4)-3,6-di-O-acetyl-2-deoxy-2-phthalimide-1-thio-β-d-glucopyranoside (15). To a solution of 14 (1.06 g, 975 µmol) in pyridine (4.9 mL) was added acetic anhydride (4.9 mL) at 0 °C. After stirring for 2 h at rt as the reaction was monitored by TLC (1:1 EtOAc–hexane), the reaction was quenched by addition of MeOH at 0 °C and then evaporated. The residue was diluted with CHCl3, washed with 2 M HCl, H2O, satd aq NaHCO3, and brine, dried over Na2SO4, concentrated. The residue obtained was purified by silica gel column chromatography (2:3 EtOAc–hexane) to give 15 (1.05 g, 95%). [α]D −39.6° (c 1.0, CHCl3); 1H-NMR (500 MHz, CDCl3) δ 7.86–7.73 (m, 4H, Phth), 5.79 (t, 1H, J2,3 = J3,4 = 10.1 Hz, H-3GlcN), 5.47 (d, 1H, J1,2 = 10.6 Hz, H-1GlcN), 5.43 (d, 1H, J3,4 = 4.3 Hz, H-4Gal), 5.39 (d, 1H, J1,2 = 3.8 Hz, H-1Fuc), 5.34 (d, 1H, J3,4 = 3.9 Hz, H-4Fuc), 5.16 (dd, 1H, J2,3 = 10.9 Hz, H-3Fuc), 5.07 (dd, 1H, H-2Fuc), 4.88 (dd, 1H, J2,3 = 9.8 Hz, H-3Gal), 4.84 (d, 1H, Jgem = 11.7 Hz, OCH2CCl3), 4.63 (d, 1H, OCH2CCl3), 4.51 (dd, 1H, J5,6a = 1.8 Hz, Jgem = 10.8 Hz, H-6aGlcN), 4.47–4.43 (m, 2H, H-1Gal, H-5Fuc), 4.39–4.30 (m, 2H, H-2GlcN, H-6bGlcN), 4.16 (dd, 1H, J5,6a = 6.6 Hz, Jgem = 11.2 Hz, H-6aGal), 4.09 (dd, 1H, H-6bGal), 3.94 (t, 1H, H-4GlcN), 3.89–3.83 (m, 3H, H-5GlcN, H-2Gal, H-5Gal), 2.74–2.62 (m, 2H, SCH2CH3), 2.17–1.91 (7 s, 21H, Ac), 1.26–1.22 (m, 6H, H-6Fuc, SCH2CH3); 13C-NMR (125 MHz, CDCl3) δ 170.6, 170.5, 170.3, 170.1, 169.9, 169.7, 169.7, 167.5, 167.2, 152.7, 134.3, 134.1, 131.6, 131.2, 123.6, 100.0, 96.2, 93.8, 81.4, 77.8, 77.2, 76.9, 74.7, 72.5, 71.1, 70.7, 70.6, 67.9, 67.7, 66.4, 65.3, 62.7, 60.9, 53.8, 29.6, 24.8, 20.8, 20.6, 20.6, 20.5, 20.3, 15.5, 15.1. HRMS (ESI) m/z: found [M+Na]+ 1152.1716, C45H54Cl3NO24S calcd for [M+Na]+ 1152.1714.
Molecules 19 00414 i007
5-Benzyloxycarbonylamino-1-pentyl (2,3,4-tri-O-acetyl-α-l-fucopyranosyl)-(1→2)-[4,6-di-O-acetyl-3-O-(2,2,2-trichloroethoxycarbonyl)-β-d-galactopyranosyl]-(1→4)-3,6-di-O-acetyl-2-deoxy-2-phthalimide-β-d-glucopyranoside (17). A mixture of 15 (372 mg, 329 µmol) and 16 (234 mg, 988 µmol), and NIS (148 mg, 658 µmol) was exposed to high vacuum for 1 h. The mixture was dissolved in CH2Cl2 (13.2 mL), to which 4 Å molecular sieves (1.32 g) was added at rt. After stirring for 30 min at rt and then for 10 min at 0 °C, TfOH (7.1 µL, 65.8 µmol) was added to the mixture. After stirring for 1 h at 0 °C as the reaction was monitored by TLC (1:1 EtOAc–hexane, 2:1 EtOAc–hexane), additional portions of NIS (148 mg, 658 µmol) and TfOH (7.1 µL, 65.8 µmol) were added to the mixture. After 8 h and 16 h, further portions of TfOH (7.1 µL of each) were added to the mixture and the stirring was continued. After stirring for total 30 h, the reaction was quenched by the addition of satd aq NaHCO3. The precipitate was filtered through Celite. The filtrate was diluted with CHCl3, washed with satd aq Na2S2O3 and brine. The organic layer was subsequently dried over Na2SO4, concentrated and the residue was then purified by silica gel column chromatography (1:1 EtOAc–hexane) and gel filtration column chromatography (LH-20, 1:1 CHCl3–MeOH) to give 17 (375 mg, 87%). [α]D −41.1° (c 1.0, CHCl3); 1H-NMR (500 MHz, CDCl3) δ 7.85–7.69 (m, 4H, Phth), 7.47–7.30 (m, 5H, Ph), 5.74 (dd, 1H, J3,4 = 9.0 Hz, J2,3 = 10.8 Hz, H-3GlcN), 5.42 (d, 1H, J3,4 = 3.1 Hz, H-4Gal), 5.40 (d, 1H, J1,2 = 3.8 Hz, H-1Fuc), 5.33 (d, 1H, J3,4 = 3.8 Hz, H-4Fuc), 5.31 (d, 1H, J1,2 = 8.5 Hz, H-1GlcN), 5.17 (dd, 1H, J2,3 = 10.9 Hz, H-3Fuc), 5.07–5.04 (m, 3H, H-2Fuc, OCH2), 4.88 (dd, 1H, J2,3 = 9.8 Hz, H-3Gal), 4.84 (d, 1H, Jgem = 11.6 Hz, OCH2), 4.64–4.62 (m, 2H, OCH2(CH2)3CH2NH, OCH2), 4.55 (dd, 1H, J5,6a = 1.8 Hz, Jgem = 12.1 Hz, H-6aGlcN), 4.47–4.43 (m, 2H, H-1Gal, H-5Fuc), 4.37 (dd, 1H, J5,6b = 5.2 Hz, H-6bGlcN), 4.24 (dd, 1H, H-2GlcN), 4.16 (dd, 1H, J5,6a = 6.7 Hz, Jgem = 11.2 Hz, H-6aGal), 4.09 (dd, 1H, H-6bGal), 3.94 (t, 1H, H-4GlcN), 3.88–3.79 (m, 4H, H-5GlcN, H-2Gal, H-5Gal, OCH2(CH2)3CH2NH), 3.46–3.44 (m, 1H, OCH2(CH2)3CH2NH), 2.95–2.91 (m, 2H, OCH2(CH2)3CH2NH), 2.17–1.91 (7 s, 21H, Ac), 1.51–1.11 (m, 9H, H-6Fuc, OCH2(CH2)3CH2NH); 13C-NMR (125 MHz, CDCl3) δ 170.7, 170.6, 170.3, 170.2, 170.0, 169.8, 156.2, 152.8, 136.7, 134.3, 128.5, 128.1, 128.1, 123.6, 100.1, 98.1, 96.2, 93.8, 77.6, 74.8, 72.9, 72.5, 71.1, 70.6, 70.6, 70.0, 69.8, 67.9, 67.8, 66.5, 66.4, 65.3, 62.3, 61.0, 54.7, 40.8, 29.3, 28.8, 23.0, 20.9, 20.7, 20.6, 20.6, 20.4, 15.5. HRMS (ESI) m/z: found [M+Na]+ 1327.2890, C56H67Cl3N2O27 calcd for [M+Na]+ 1327.2889.
Molecules 19 00414 i008
5-Benzyloxycarbonylamino-1-pentyl (2,3,4-tri-O-acetyl-α-l-fucopyranosyl)-(1→2)-(4,6-di-O-acetyl-β-d-galactopyranosyl)-(1→4)-3,6-di-O-acetyl-2-deoxy-2-phthalimide-β-d-glucopyranoside (18). To a solution of 17 (289 mg, 215 µmol) in AcOH/(CH2Cl)2 (3:1, 14.3 mL) was added Zn powder (2.89 g) at rt. The reaction mixture was stirred for 1 h at 40 °C as the reaction was monitored by TLC (3:1 EtOAc–hexane). The precipitate was filtered through Celite and the filtrate was co-evaporated with toluene. The residue obtained was purified by silica gel column chromatography (3:1 EtOAc–hexane) to give 18 (233 mg, 97%). [α]D −56.6° (c 1.0, CHCl3); 1H-NMR (500 MHz, CDCl3) δ 7.85–7.69 (m, 4H, Phth), 7.38–7.30 (m, 5H, Ph), 5.74 (dd, 1H, J3,4 = 9.0 Hz, J2,3 = 10.8 Hz, H-3GlcN), 5.39 (d, 1H, J3,4 = 3.6 Hz, H-4Gal), 5.33 (d, 1H, J3,4 = 3.8 Hz, H-4Fuc), 5.31 (d, 1H, J1,2 = 8.5 Hz, H-1GlcN), 5.26–5.23 (m, 2H, H-3Fuc, OCH2Ph), 5.16 (dd, 1H, J1,2 = 3.6 Hz, J2,3 = 9.9 Hz, H-2Fuc), 5.07 (m, 2H, H-1Fuc, OCH2Ph), 4.65 (s, 1H, OCH2(CH2)3CH2NH), 4.51 (dd, 1H, J5,6a = 1.8 Hz, Jgem = 12.0 Hz, H-6aGlcN), 4.42–4.37 (m, 2H, H-6bGlcN, H-5Fuc), 4.31 (d, 1H, J1,2 = 7.7 Hz, H-1Gal), 4.23 (dd, 1H, H-2GlcN), 4.11 (m, 2H, H-6aGal, H-6bGal), 3.92 (t, 1H, J4,5 = 9.0 Hz, H-4GlcN), 3.86–3.79 (m, 4H, H-5GlcN, H-3Gal, H-5Gal, OCH2(CH2)3CH2NH), 3.54 (dd, 1H, J2,3 = 9.5 Hz, H-2Gal), 3.47–3.43 (m, 1H, OCH2(CH2)3CH2NH), 2.94–2.90 (m, 2H, OCH2(CH2)3CH2NH), 2.18–1.91 (7 s, 21H, Ac), 1.49–1.11 (m, 9H, H-6Fuc, OCH2(CH2)3CH2NH); 13C-NMR (125 MHz, CDCl3) δ 171.0, 170.7, 170.7, 170.4, 170.1, 170.1, 169.9, 156.2, 136.6, 134.3, 131.4, 128.5, 128.0, 123.5, 100.1, 98.1, 97.8, 74.9, 73.0, 72.4, 71.1, 71.0, 69.9, 69.7, 69.6, 68.2, 67.7, 66.5, 65.2, 62.4, 61.5, 54.8, 40.8, 29.6, 29.3, 28.8, 23.0, 20.8, 20.7, 20.6, 20.6, 20.5, 15.7. HRMS (ESI) m/z: found [M+Na]+ 1153.3847, C53H66N2O25 calcd for [M+Na]+ 1153.3851.
Molecules 19 00414 i009
Phenyl 2-O-benzoyl-3-O-benzyl-4,6-O-di-tert-butylsilylene-1-thio-β-d-galactopyranoside (20). To a solution of Phenyl 3-O-benzyl-1-thio-β-d-galactopyranoside (262 mg, 724 µmol) in pyridine (7.2 mL) was added di-tert-butylsilyl bis(trifluoromethanesulfonate) (260 µL, 796 µmol) at 0 °C. After stirring for 3.5 h at 0 °C as the reaction was monitored by TLC (1:1 EtOAc–hexane), benzoic anhydride (328 mg, 1.45 mmol) was added to the mixture at 0 °C. After stirring for 22 h at rt as the reaction was monitored by TLC (1:3 EtOAc–hexane), the reaction was quenched by the addition of MeOH at 0 °C. The mixture was co-evaporated with toluene. The residue obtained was diluted with EtOAc, washed with 2 M HCl, H2O, satd aq NaHCO3, and brine, dried over Na2SO4, concentrated. The resulting residue was purified by silica gel column chromatography (1:7 EtOAc–hexane) to give 20 (324 mg, 74%). [α]D +66.9° (c 0.6, CHCl3); 1H-NMR (500 MHz, CDCl3) δ 8.06–7.16 (m, 15H, Ph), 5.70 (t, 1H, J1,2 = J2,3 = 9.8 Hz, H-2), 4.79 (d, 1H, H-1), 4.72 (d, 1H, Jgem = 12.8 Hz, OCH2Ph), 4.60–4.57 (m, 2H, H-4, OCH2Ph), 4.30–4.23 (m, 2H, H-6a, H-6b), 3.57 (dd, 1H, H-3), 3.40 (s, 1H, H-5), 1.16–1.08 (2 s, 18H, 2 t-Bu); 13C-NMR (125 MHz, CDCl3) δ 165.4, 137.9, 134.4, 133.0, 132.1, 130.1, 129.9, 128.8, 128.3, 127.6, 127.5, 87.6, 79.3, 75.1, 70.0, 69.8, 69.4, 67.3, 27.6, 23.4, 20.7. HRMS (ESI) m/z: found [M+Na]+ 629.2363, C34H42O6SSi calcd for [M+Na]+ 629.2364.
Molecules 19 00414 i010
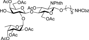
5-Benzyloxycarbonylamino-1-pentyl [2-deoxy-4,6-O-di-tert-butylsilylene-2-(2,2,2-trichloroethoxycarbamoyl)-3-O-(2,2,2-trichloroethoxycarbonyl)-α-d-galactopyranosyl]-(1→3)-[2,3,4-tri-O-acetyl-α-l-fucopyranosyl-(1→2)]-(4,6-di-O-acetyl-β-d-galactopyranosyl)-(1→4)-3,6-di-O-acetyl-2-deoxy-2-phthalimide-β-d-glucopyranoside (21). A mixture of 18 (103 mg, 91.1 µmol) and 19 (138 mg, 182 µmol), and NIS (46 mg, 364 µmol) was exposed to high vacuum for 1 h. The mixture was dissolved in CH2Cl2 (2.7 mL), to which 4 Å molecular sieves (273 mg) was added at rt. After stirring for 30 min at rt and then for 10 min at 0 °C, TfOH (1.9 µL, 18.2 µmol) was added to the mixture. After stirring for 3 h at 0 °C as the reaction was monitored by TLC (3:1 EtOAc–hexane, 1:1 EtOAc–hexane, 1:3 EtOAc–hexane), additional portions of NIS (23 mg) and TfOH (1.0 µL) were added to the mixture and the stirring was continued. After stirring for total 5 h, the reaction was quenched by the addition of satd aq NaHCO3. The precipitate was filtered through Celite. The filtrate was diluted with CHCl3, washed with satd aq Na2S2O3 and brine. The organic layer was subsequently dried over Na2SO4, concentrated and the residue was then purified by silica gel column chromatography (1:1 EtOAc–hexane) to give 21 (132 mg, 82%), and 9.5 mg (9%) of 18 was recovered. [α]D +23.8° (c 1.7, CHCl3); 1H-NMR (500 MHz, CD3CN) δ 7.77–7.70 (m, 4H, Phth), 7.30–7.22 (m, 5H, Ph), 5.74 (d, 1H, JNH,2 = 9.7 Hz, NHGalN), 5.64 (dd, 1H, J3,4 = 9.0 Hz, J2,3 = 11.9 Hz, H-3GlcN), 5.35 (d, 1H, J3,4 = 2.8 Hz, H-4Gal), 5.30 (m, 2H, H-1Fuc, OCH2(CH2)3CH2NH), 5.24 (d, 1H, J3,4 = 2.3 Hz, H-4Fuc), 5.20 (d, 1H, J1,2 = 10.8 Hz, H-1GlcN), 5.08 (d, 1H, J1,2 = 4.0 Hz, H-1GalN), 5.07 (dd, 1H, J1,2 = 3.5 Hz, J2,3 = 11.0 Hz, H-2Fuc), 4.97 (dd, 1H, H-3Fuc), 4.93 (s, 2H, OCH2), 4.86–4.79 (m, 2H, OCH2), 4.78–4.68 (m, 3H, H-3GalN, H-4GalN, OCH2), 4.59 (d, 1H, Jgem = 12.3 Hz, OCH2), 4.41–4.28 (m, 6H, H-6aGlcN, H-1Gal, H-5Fuc, H-2GalN, H-6aGalN, H-6bGalN), 4.09–3.96 (m, 5H, H-2GlcN, H-4GlcN, H-6bGlcN, H-3Gal, H-6aGal), 3.92 (dd, 1H, J5,6b = 6.1 Hz, Jgem = 11.3 Hz, H-6bGal), 3.80–3.75 (m, 3H, H-5GlcN, H-5Gal, H-5GalN), 3.65–3.61 (m, 2H, H-2Gal, OCH2(CH2)3CH2NH), 3.39–3.34 (m, 1H, OCH2(CH2)3CH2NH), 2.71–2.65 (m, 2H, OCH2(CH2)3CH2NH), 2.18–1.80 (7 s, 21H, Ac), 1.31–0.96 (m, 27H, H-6Fuc, 2 t-Bu, OCH2(CH2)3CH2NH); 13C-NMR (125 MHz, CD3CN) δ 171.6, 171.5, 171.3, 171.2, 171.1, 155.5, 154.2, 135.7, 132.3, 129.4, 128.8, 128.7, 118.6, 118.3, 101.2, 98.9, 97.5, 96.6, 95.5, 94.4, 94.4, 79.1, 77.5, 76.6, 75.2, 74.4, 74.1, 73.5, 71.9, 71.5, 71.3, 70.8, 70.4, 69.0, 68.9, 68.6, 67.3, 66.6, 66.5, 65.7, 63.2, 62.2, 55.5, 49.4, 41.3, 30.0, 29.5, 27.9, 27.8, 23.7, 23.7, 21.5, 21.3, 21.2, 21.1, 21.0, 21.0, 20.8, 16.1. HRMS (ESI) m/z: found [M+Na]+ 1802.3642, C73H95Cl6N3O33Si calcd for [M+Na]+ 1802.3640.
Molecules 19 00414 i011
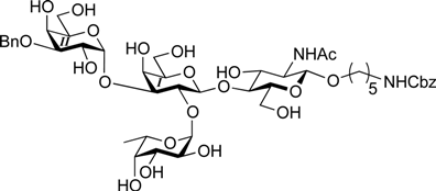
5-Benzyloxycarbonylamino-1-pentyl (2-O-benzoyl-3-O-benzyl-4,6-O-di-tert-butylsilylene-α-d-galactopyranosyl)-(1→3)-[2,3,4-tri-O-acetyl-α-l-fucopyranosyl-(1→2)]-(4,6-di-O-acetyl-β-d-galactopyranosyl)-(1→4)-3,6-di-O-acetyl-2-deoxy-2-phthalimide-β-d-glucopyranoside (22). A mixture of 18 (49.7 mg, 44.0 µmol) and 20 (53.3 mg, 87.9 µmol), and NIS (22.0 mg, 176 µmol) was exposed to high vacuum for 1 h. The mixture was dissolved in CH2Cl2 (1.3 mL), to which 4 Å molecular sieves (132 mg) was added at rt. After stirring for 30 min at rt and then for 10 min at 0 °C, TfOH (1.0 µL, 8.79 µmol) was added to the mixture. After stirring for 1.5 h at 0 °C as the reaction was monitored by TLC (3:1 EtOAc–hexane, 1:1 EtOAc–hexane, 1:3 EtOAc–hexane), additional portion of TfOH (1.0 µL) was added to the mixture and the stirring was continued. After stirring for total 2 h, the reaction was quenched by the addition of satd aq NaHCO3. The precipitate was filtered through Celite. The filtrate was diluted with CHCl3, washed with satd aq Na2S2O3 and brine. The organic layer was subsequently dried over Na2SO4, concentrated and the residue was then purified by silica gel column chromatography (7:8 EtOAc–hexane) to give 22 (41.2 mg, 58%), and 10.8 mg (22%) of 18 was recovered. [α]D +43.5° (c 1.3, CHCl3); 1H-NMR (500 MHz, CDCl3) δ 7.96–7.21 (m, 19H, Ar), 5.70 (dd, 1H, J3,4 = 8.7 Hz, J2,3 = 10.9 Hz, H-3GlcN), 5.64 (dd, 1H, J1,2 = 3.6 Hz, J2,3 = 10.4 Hz, H-2GalII), 5.52 (d, 1H, J3,4 = 2.3 Hz, H-4Fuc), 5.41–5.40 (m, 2H, H-4GalI, H-1GalII), 5.34–5.33 (m, 2H, H-1GlcN, H-1Fuc), 5.13–5.07 (m, 4H, H-2Fuc, H-3Fuc, OCH2Ph), 4.83 (d, 1H, J3,4 = 2.1 Hz, H-4GalII), 4.75 (d, 1H, Jgem = 12.0 Hz, OCH2Ph), 4.63 (br s, 1H, OCH2(CH2)3CH2NH), 4.54 (d, 1H, OCH2Ph), 4.47 (dd, 1H, J5,6a = 3.9 Hz, Jgem = 12.2 Hz, H-6aGlcN), 4.41 (d, 1H, H-6bGlcN), 4.37–4.19 (m, 5H, H-2GlcN, H-1GalI, H-6aGalI, H-6bGalI, H-5Fuc), 4.13 (dd, 1H, J5,6a = 6.7 Hz, Jgem = 11.3 Hz, H-6aGalII), 3.98–3.90 (m, 3H, H-4GlcN, H-3GalII, H-6bGalII), 3.86–3.78 (m, 3H, H-5GlcN, H-3GalI, OCH2(CH2)3CH2NH), 3.69–3.63 (m, 3H, H-2GalI, H-5GalI, H-5GalII), 3.47–3.45 (m, 1H, OCH2(CH2)3CH2NH), 2.93–2.89 (m, 2H, OCH2(CH2)3CH2NH), 2.25–1.81 (6 s, 18H, Ac), 1.47–1.11 (m, 30H, H-6Fuc, 2 t-Bu, Ac, OCH2(CH2)3CH2NH); 13C-NMR (125 MHz, CDCl3) δ 170.6, 170.6, 170.4, 170.1, 170.0, 169.8, 169.2, 169.3, 165.7, 138.4, 136.6, 134.3, 133.0, 131.4, 130.2, 129.8, 128.5, 128.2, 128.1, 128.1, 127.5, 127.4, 123.5, 100.9, 98.1, 95.9, 92.7, 77.6, 74.3, 72.6, 71.1, 70.9, 70.3, 69.9, 69.7, 69.6, 68.6, 68.4, 68.1, 67.8, 66.8, 66.5, 65.4, 64.4, 62.3, 61.2, 54.6, 40.8, 29.7, 29.3, 28.8, 27.7, 27.3, 23.4, 23.0, 20.9, 20.8, 20.7, 20.6, 20.6, 19.5, 15.9. HRMS (ESI) m/z: found [M+Na]+ 1649.6129, C81H102N2O31Si calcd for [M+Na]+ 1649.6128.
Molecules 19 00414 i012
5-Benzyloxycarbonylamino-1-pentyl (2-acetamido-2-deoxy-4,6-O-di-tert-butylsilylene-α-d-galactopyranosyl)-(1→3)-[2,3,4-tri-O-acetyl-α-l-fucopyranosyl-(1→2)]-(4,6-di-O-acetyl-β-d-galactopyranosyl)-(1→4)-3,6-di-O-acetyl-2-deoxy-2-phthalimide-β-d-glucopyranoside (23). To a solution of 21 (45 mg, 25.2 µmol) in CH2Cl2 (1.7 mL) were added AcOH (288 µL, 5.04 mmol) and Zn powder (225 mg, 3.44 mmol) at rt. After stirring for 20 min at rt as the reaction was monitored by TLC (20:1 CHCl3–MeOH), another portion of Zn powder (225 mg) was added to the mixture and the stirring was continued. After 30 min, AcOH (288 µL) and CH2Cl2 (1.7 mL) were added to the mixture. After stirring for total 4 h, the precipitate was filtered through Celite and the filtrate was washed with satd aq NaHCO3. The organic layer was subsequently dried over Na2SO4, concentrated and the residue obtained was then dissolved in CH2Cl2 (2.5 mL). To the mixture was added acetic anhydride (48 µL, 252 µmol) at 0 °C. After stirring for 1 h at rt as the reaction was monitored by TLC (2:1 CHCl3–acetone), the reaction mixture was concentrated. The resulting residue was purified by silica gel column chromatography (2:1 CHCl3–acetone) to give 23 (31 mg, 84%). [α]D +6.3° (c 0.6, CHCl3); 1H-NMR (500 MHz, CDCl3) δ 7.85–7.70 (m, 4H, Phth), 7.38–7.26 (m, 5H, Ph), 5.76–5.69 (m, 2H, H-3GlcN, NHGalN), 5.45–5.43 (m, 2H, H-4Gal, H-4Fuc), 5.36–5.31 (m, 2H, H-1GlcN, H-2Fuc), 5.15–5.07 (m, 5H, H-1Fuc, H-3Fuc, H-1GalN, OCH2), 4.63 (br s, 1H, OCH2(CH2)3CH2NH), 4.50–4.43 (m, 4H, H-2GlcN, H-6aGlcN, H-6bGlcN, H-4GalN), 4.41–4.35 (m, 2H, H-1Gal, H-5Fuc), 4.29 (d, 1H, Jgem = 11.2 Hz, H-6aGalN), 4.25–4.18 (m, 2H, H-2GalN, H-6bGalN), 4.10–4.04 (m, 2H, H-6aGal, H-6bGal), 3.95–3.92 (t, 1H, J3,4 = J4,5 = 9.9 Hz, H-4GlcN), 3.89–3.72 (m, 5H, H-5GlcN, H-2Gal, H-3Gal, H-5Gal, OCH2(CH2)3CH2NH), 3.56–3.45 (m, 3H, H-3GalN, H-5GalN, OCH2(CH2)3CH2NH), 2.94–2.90 (m, 2H, OCH2(CH2)3CH2NH), 2.60 (d, 1H, J3,OH = 11.5 Hz, OHGalN), 2.18–1.88 (8 s, 24H, Ac), 1.51–1.05 (m, 27H, H-6Fuc, 2 t-Bu, OCH2(CH2)3CH2NH); 13C-NMR (125 MHz, CD3CN) δ 170.2, 170.2, 169.9, 169.9, 169.8, 169.7, 169.6, 155.9, 137.3, 134.4, 131.0, 128.1, 127.5, 127.4, 123.1, 117.0, 99.5, 97.6, 95.6, 93.4, 73.8, 73.6, 73.1, 72.6, 72.2, 70.8, 70.4, 69.8, 69.1, 67.8, 67.7, 67.6, 67.5, 66.3, 65.3, 64.8, 64.7, 61.7, 61.1, 54.2, 53.9, 48.6, 40.0, 30.9, 29.0, 28.7, 28.4, 28.3, 26.7, 26.4, 22.5, 22.4, 21.8, 20.2, 19.9, 19.9, 19.8, 19.7, 19.7, 19.6, 19.5, 14.7. HRMS (ESI) m/z: found [M+Na]+ 1496.5661, C69H95N3O30Si calcd for [M+Na]+ 1496.5662.
Molecules 19 00414 i013
5-Benzyloxycarbonylamino-1-pentyl (2-acetamido-3,4,6-tri-O-acetyl-2-deoxy-α-d-galactopyranosyl)-(1→3)-[2,3,4-tri-O-acetyl-α-l-fucopyranosyl-(1→2)]-(4,6-di-O-acetyl-β-d-galactopyranosyl)-(1→4)-3,6-di-O-acetyl-2-deoxy-2-phthalimide-β-d-glucopyranoside (24). To a solution of 23 (31 mg, 21.2 µmol) in THF (1.1 mL) was added TBAHF 1.0 m solution (212 µL) at rt. After stirring for 40 min at rt as the reaction was monitored by TLC (10:1 CHCl3–MeOH), the reaction mixture was diluted with EtOAc and washed with 2 M HCl, H2O, satd aq NaHCO3, and brine. The organic layer was then dried over Na2SO4 and concentrated. The residue obtained was dissolved in pyridine (1.0 mL). To the mixture was added acetic anhydride (1.0 mL) at 0 °C. After stirring for 21 h at rt as the reaction was monitored by TLC (10:1 CHCl3–MeOH), the reaction was quenched by the addition of MeOH at 0 °C. The mixture was co-evaporated with toluene. The residue was diluted with EtOAc and washed with 2 M HCl, H2O, satd aq NaHCO3, and brine. The organic layer was then dried over Na2SO4 and concentrated. The resulting residue was purified by silica gel column chromatography (10:10:1 CHCl3-toluene-MeOH) and gel filtration column chromatography (LH-20, 1:1 CHCl3–MeOH) to give 24 (30 mg, 98% over two steps). [α]D +2.6° (c 1.0, CHCl3); 1H-NMR (500 MHz, CDCl3) δ 7.85–7.70 (m, 4H, Phth), 7.38–7.26 (m, 5H, Ph), 6.32 (br d, 1H, J2,NH = 6.9 Hz, NHGalN), 5.76 (dd, 1H, J2,3 = 10.8 Hz, J3,4 = 9.2 Hz, H-3GlcN), 5.50 (d, 1H, J1,2 = 3.7 Hz, H-1Fuc), 5.42 (d, 1H, J3,4 = 1.5 Hz, H-4GalN), 5.37–5.34 (m, 3H, H-4Gal, H-2Fuc, H-4Fuc), 5.31 (d, 1H, J1,2 = 8.5 Hz, H-1GlcN), 5.22 (d, 1H, J1,2 = 3.2 Hz, H-1GalN), 5.13 (dd, 1H, J3,4 = 3.2 Hz, J2,3 = 11.0 Hz, H-3Fuc), 5.07 (s, 2H, OCH2Ph), 4.97 (dd, 1H, J2,3 = 11.3 Hz, H-3GalN), 4.66 (br s, 1H, OCH2(CH2)3CH2NH), 4.56–4.51 (m, 2H, H-6aGlcN, H-5Fuc), 4.48–4.43 (m, 1H, H-2GalN), 4.40–4.37 (m, 2H, H-6bGlcN, H-1Gal), 4.24 (dd, 1H, H-2GlcN), 4.17–4.14 (m, 2H, H-6aGal, H-6aGalN), 4.11–4.07 (m, 2H, H-6bGal, H-6bGalN), 4.03 (br d, 1H, H-5GalN), 3.96 (t, 1H, J4,5 = 9.2 Hz, H-4GlcN), 3.86–3.74 (m, 5H, H-5GlcN, H-2Gal, H-3Gal, H-5Gal, OCH2(CH2)3CH2NH), 3.48–3.44 (m, 1H, OCH2(CH2)3CH2NH), 2.94–2.90 (m, 2H, OCH2(CH2)3CH2NH), 2.20–1.92 (11 s, 33H, Ac), 1.49–1.05 (m, 9H, H-6Fuc, OCH2(CH2)3CH2NH); 13C-NMR (125 MHz, CDCl3) δ 170.9, 170.6, 170.5, 170.4, 170.3, 170.0, 170.0, 169.9, 136.6, 134.3, 128.5, 128.1, 128.1, 123.6, 100.3, 98.1, 96.6, 77.6, 74.6, 74.5, 72.8, 71.2, 70.6, 69.9, 69.8, 68.6, 67.9, 67.4, 66.9, 66.7, 66.5, 65.3, 62.7, 62.2, 61.0, 54.7, 48.1, 40.8, 29.7, 29.3, 28.8, 23.0, 20.9, 20.7, 20.6, 20.6, 15.6. HRMS (ESI) m/z: found [M+Na]+ 1482.4956, C67H85N3O33Si calcd for [M+Na]+ 1482.4958.
Molecules 19 00414 i014
5-Benzyloxycarbonylamino-1-pentyl (2-acetamido-2-deoxy-α-d-galactopyranosyl)-(1→3)-[α-l-fucopyranosyl-(1→2)]-β-d-galactopyranosyl-(1→4)-2-acetamide-2-deoxy-β-d-glucopyranoside (25). To a solution of 24 (19.8 mg, 13.6 µmol) in MeOH (1.4 mL) was added NaOMe (1m solution in MeOH, 6.8 µL, 6.78 µmol) at 0 °C. After stirring for 4 h at rt as the reaction was monitored by TLC (20:12:1 CHCl3–MeOH–H2O), the reaction was neutralized with Muromac (H+) resin. The resin was filtered out and the filtrate was concentrated. The residue obtained was then dissolved in EtOH (2.8 mL). To the solution was added NH2NH2·H2O (1.0 µL, 27.2 µmol) at rt. The reaction mixture was stirred at reflux as monitored by TLC (5:4:1 CHCl3–MeOH–H2O). Additional portions of NH2NH2·H2O (2.0 µL) was added to the mixture every 15 min (total amounts of NH2NH2·H2O added was 32 µL). After 6.5 h, the reaction mixture was concentrated and exposed to high vacuum for 1 h. The resulting residue was then dissolved in MeOH/CH2Cl2 (3:1, 4.4 mL). To the mixture was added acetic anhydride (26 µL, 272 µmol) at 0 °C. After stirring for 1.5 h at rt as the reaction was monitored by TLC (5:4:1 CHCl3-MeOH-H2O), the reaction mixture was concentrated. The residue obtained was purified by silica gel column chromatography (Iatrobeads, 9:5:0.5 CHCl3–MeOH–H2O) to give 25 (10.3 mg, 80% over three steps). [α]D +4.4° (c 0.3, MeOH); 1H-NMR (500 MHz, CD3OD) δ 7.45–7.43 (m, 5H, Ph), 5.36 (d, 1H, J1,2 = 3.9 Hz, α-anomer H), 5.15 (d, 1H, J1,2 = 3.7 Hz, α-anomer H), 5.06 (s, 2H, OCH2Ph), 4.52 (d, 1H, J1,2 = 7.7 Hz, β-anomer H), 4.39 (d, 1H, J1,2 = 8.4 Hz, β-anomer H), 4.34–4.31 (m, 1H, H-5Fuc), 4.18–3.46 (m, 27H, ring H, OCH2(CH2)3CH2NH), 3.11–3.08 (m, 2H, OCH2(CH2)3CH2NH), 2.00–1.96 (2 s, 6H, Ac), 1.57–1.20 (m, 9H, H-6Fuc, OCH2(CH2)3CH2NH); 13C-NMR (125 MHz, CD3OD) δ 174.5, 173.5, 158.9, 138.5, 129.4, 128.9, 128.8, 102.8, 102.2, 100.3, 93.6, 78.5, 77.9, 77.2, 76.9, 74.2, 73.6, 73.5, 72.7, 71.9, 70.5, 70.5, 70.1, 69.9, 67.7, 67.3, 64.9, 63.4, 62.6, 61.8, 56.9, 51.3, 41.8, 30.5, 30.2, 24.3, 23.0, 22.7, 16.6. HRMS (ESI) m/z: found [M+Na]+ 974.3954, C41H65N3O22 calcd for [M+Na]+ 974.3952.
Molecules 19 00414 i015
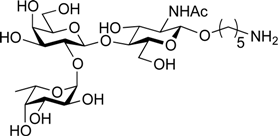
5-Amino-1-pentyl 2-acetamido-2-deoxy-α-d-galactopyranosyl-(1→3)-[α-l-fucopyranosyl-(1→2)]-β-d-galactopyranosyl-(1→4)-2-acetamide-2-deoxy-β-d-glucopyranoside (1). To a solution of 25 (3.2 mg, 3.36 µmol) in MeOH/H2O (1:1, 3.2 mL) was added Pd/C (5 wt. %, 0.5 mg). After stirring for 3.5 h at rt under a hydrogen atmosphere as the reaction was monitored by TLC (5:4:1:1 CHCl3–MeOH–H2O–AcOH), additional portion of Pd/C (0.5 mg) was added to the mixture and the stirring was continued. After 12.5 h, further portion of Pd/C (0.5 mg) was added to the mixture. After stirring for total 21 h, the mixture was filtered through membrane filter. The filtrate was concentrated and the residue obtained was purified by gel filtration column chromatography (LH-20, MeOH) to give 1 (2.2 mg, 96%). [α]D +4.4° (c 0.3, MeOH); 1H-NMR (500 MHz, D2O) δ 5.36 (d, 1H, J1,2 = 4.1 Hz, α-anomer H), 5.16 (d, 1H, J1,2 = 3.9 Hz, α-anomer H), 4.58 (d, 1H, J1,2 = 7.7 Hz, β-anomer H), 4.47 (d, 1H, J1,2 = 8.4 Hz, β-anomer H), 4.31–4.29 (m, 1H, H-5Fuc), 4.23–3.56 (m, 27H, ring H, OCH2(CH2)3CH2NH), 2.98–2.95 (m, 2H, OCH2(CH2)3CH2NH), 2.02 (2 s, 6H, Ac), 1.67–1.22 (m, 9H, H-6Fuc, OCH2(CH2)3CH2NH); 13C-NMR (200 MHz, CD3OD) δ 174.4, 173.6, 103.0, 102.2, 100.3, 93.5, 78.3, 77.8, 77.1, 77.0, 74.1, 73.6, 73.5, 72.7, 71.9, 70.5, 70.3, 70.0, 69.9, 67.7, 64.8, 63.4, 62.6, 61.6, 56.8, 51.2, 40.7, 33.1, 30.8, 30.5, 29.8, 28.3, 24.2, 23.8, 23.0, 22.7, 16.6, 14.5. HRMS (ESI) m/z: found [M+Na]+ 840.3584, C33H59N3O20 calcd for [M+Na]+ 840.3584.
Molecules 19 00414 i016
5-Benzyloxycarbonylamino-1-pentyl (4,6-di-O-acetyl-2-O-benzoyl-3-O-benzyl-α-d-galactopyranosyl)-(1→3)-[2,3,4-tri-O-acetyl-α-l-fucopyranosyl-(1→2)]-(4,6-di-O-acetyl-β-d-galactopyranosyl)-(1→4)-3,6-di-O-acetyl-2-deoxy-2-phthalimide-β-d-glucopyranoside (26). Compound 22 (30.1 mg, 18.5 µmol) was converted into 26 (23.6 mg, 81%) according to the procedure described for 24. [α]D +75.3° (c 0.2, CHCl3); 1H-NMR (500 MHz, CDCl3) δ 7.96–7.16 (m, 19H, Ar), 5.75 (d, 1H, J3,4 = 1.9 Hz, H-4GalII), 5.72 (dd, 1H, J3,4 = 8.2 Hz, J2,3 = 8.8 Hz, H-3GlcN), 5.56 (d, 1H, J3,4 = 2.6 Hz, H-4Fuc), 5.42 (d, 1H, J1,2 = 3.9 Hz, H-1Fuc) 5.41 (d, 1H, J3,4 = 2.3 Hz, H-4GalI), 5.38–5.35 (m, 2H, H-1GalII, H-2GalII), 5.31 (d, 1H, J1,2 = 8.4 Hz, H-1GlcN), 5.22–5.17 (m, 2H, H-2Fuc, H-3Fuc), 5.07 (s, 2H, OCH2Ph), 4.70 (d, 1H, Jgem = 11.8 Hz, OCH2Ph), 4.64 (br s, 1H, OCH2(CH2)3CH2NH), 4.49–4.40 (m, 4H, H-6aGlcN, H-6bGlcN, H-5Fuc, OCH2Ph), 4.30 (d, 1H, J1,2 = 7.4 Hz, H-1GalI), 4.23–4.13 (m, 4H, H-2GlcN, H-5GalII, H-6aGalII, H-6bGalII), 4.08 (dd, 1H, J3,4 = 3.2 Hz, J2,3 = 7.2 Hz, H-3GalII), 4.00 (dd, 1H, J5,6a = 6.7 Hz, Jgem = 11.3 Hz, H-6aGalI), 3.94–3.90 (m, 2H, H-4GlcN, H-6bGalI), 3.86–3.79 (m, 2H, H-5GlcN, OCH2(CH2)3CH2NH), 3.76 (dd, 1H, J2,3 = 7.4 Hz, J3,4 = 2.9 Hz, H-3GalI), 3.65 (t, 1H, H-2GalI), 3.57 (t, 1H, J5,6b = 6.7 Hz, H-5GalI), 3.48–3.43 (m, 1H, OCH2(CH2)3CH2NH), 2.93–2.89 (m, 2H, OCH2(CH2)3CH2NH), 2.24–1.83 (9 s, 27H, Ac), 1.47–1.09 (m, 9H, H-6Fuc, OCH2(CH2)3CH2NH); 13C-NMR (125 MHz, CDCl3) δ 170.6, 170.6, 170.5, 17.3, 170.2, 170.1, 169.9, 169.8, 169.4, 165.6, 156.2, 137.8, 136.6, 134.3, 133.3, 131.4, 129.9, 129.6, 128.5, 128.4, 128.2, 128.1, 128.1, 127.9, 127.5, 123.5, 100.5, 98.1, 96.1, 77.6, 74.2, 72.7, 71.4, 71.3, 70.9, 70.1, 69.8, 69.6, 68.0, 67.8, 67.7, 67.2, 66.5, 65.2, 62.5, 62.3, 61.2, 54.6, 40.8, 29.7, 29.3, 28.8, 23.0, 20.8, 20.8, 20.7, 20.7, 20.7, 20.6, 19.8, 15.8. HRMS (ESI) m/z: found [M+Na]+ 1593.4316, C81H102N2O31Si calcd for [M+Na]+ 1593.4318.
Molecules 19 00414 i017
5-Benzyloxycarbonylamino-1-pentyl (3-O-benzyl-α-d-galactopyranosyl)-(1→3)-[α-l-fucopyranosyl-(1→2)]-β-d-galactopyranosyl-(1→4)-2-acetamide-2-deoxy-β-d-glucopyranoside (27). Compound 26 (23.3 mg, 14.8 µmol) was converted into 27 (14.7 mg, 99%) according to the procedure described for 25. [α]D −6.2° (c 0.3, MeOH); 1H-NMR (500 MHz, CD3OD) δ 7.45–7.26 (m, 10H, Ph), 5.30 (near s, 1H, α-anomer H), 5.15 (d, 1H, J1,2 = 3.9 Hz, α-anomer H), 5.05 (s, 2H, OCH2Ph), 4.75 (d, 1H, Jgem = 11.7 Hz, OCH2Ph), 4.64 (d, 1H, OCH2Ph), 4.53 (d, 1H, J1,2 = 7.5 Hz, β-anomer H), 4.38 (d, 1H, J1,2 = 8.4 Hz, β-anomer H), 4.29–4.28 (m, 1H, H-5Fuc), 4.12–3.45 (m, 27H, ring H, OCH2(CH2)3CH2NH), 3.11–3.08 (m, 2H, OCH2(CH2)3CH2NH), 1.96 (s, 3H, Ac), 1.56–1.21 (m, 9H, H-6Fuc, OCH2(CH2)3CH2NH); 13C-NMR (125 MHz, CD3OD) δ 173.5, 158.9, 139.9, 138.5, 129.4, 129.3, 129.1, 128.9, 128.8, 128.7, 102.8, 102.2, 100.2, 95.9, 79.5, 79.3, 78.6, 77.1, 76.7, 74.1, 73.6, 73.0, 72.6, 71.9, 70.5, 69.9, 69.1, 68.1, 67.6, 67.3, 65.6, 63.3, 62.6, 61.7, 56.7, 41.8, 30.5, 30.2, 24.3, 23.0, 16.6. HRMS (ESI) m/z: found [M+Na]+ 1023.4156, C46H68N2O22 calcd for [M+Na]+ 1023.4156.
Molecules 19 00414 i018
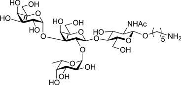
5-Amino-1-pentyl α-d-galactopyranosyl-(1→3)-[α-l-fucopyranosyl-(1→2)]-β-d-galactopyranosyl-(1→4)-2-acetamide-2-deoxy-β-d-glucopyranoside (2). Compound 27 (2.1 mg, 2.10 µmol) was converted into 2 (1.6 mg, quant.) according to the procedure described for 1, except for the use of a mixed solvent (1:1, 1,4-dioxane–2% aq formic acid) as reaction media. [α]D +6.3° (c 0.3, MeOH); 1H-NMR (500 MHz, D2O) δ 5.31 (d, 1H, J1,2 = 4.1 Hz, α-anomer H), 5.22 (d, 1H, J1,2 = 2.5 Hz, α-anomer H), 4.59 (d, 1H, J1,2 = 7.6 Hz, β-anomer H), 4.46 (d, 1H, J1,2 = 8.4 Hz, β-anomer H), 4.30–3.42 (m, 28H, ring H, OCH2(CH2)3CH2NH), 2.98–2.95 (m, 2H, OCH2(CH2)3CH2NH), 2.01 (s, 3H, Ac), 1.67–1.21 (m, 9H, H-6Fuc, OCH2(CH2)3CH2NH); 13C-NMR (200 MHz, CD3OD) δ 173.5, 103.0, 102.2, 100.3, 96.2, 79.9, 78.5, 77.1, 76.7, 74.1, 73.8, 73.6, 73.2, 71.8, 71.4, 71.3, 70.3, 70.0, 69.9, 67.6, 65.8, 63.3, 62.6, 61.7, 56.7, 40.7, 29.8, 28.4, 24.2, 23.0, 16.5. HRMS (ESI) m/z: found [M+Na]+ 779.3320, C31H56N2O20 calcd for [M+Na]+ 779.3319.
Molecules 19 00414 i019
5-Benzyloxycarbonylamino-1-pentyl α-l-fucopyranosyl-(1→2)-β-d-galactopyranosyl-(1→4)-2-acetamide-2-deoxy-β-d-glucopyranoside (28). Compound 18 (19.3 mg, 17.0 µmol) was converted into 28 (12.0 mg, 94%) according to the procedure described for 25. [α]D −110.0° (c 0.2, MeOH); 1H-NMR (500 MHz, CD3OD) δ 7.34–7.28 (m, 5H, Ph), 5.22 (d, 1H, J1,2 = 3.1 Hz, α-anomer H), 5.05 (s, 2H, OCH2Ph), 4.48 (d, 1H, J1,2 = 6.1 Hz, β-anomer H), 4.37 (d, 1H, J1,2 = 8.3 Hz, β-anomer H), 4.18–4.17 (m, 1H, H-5Fuc), 3.96–3.45 (m, 20H, ring H, OCH2(CH2)3CH2NH), 3.11–3.08 (m, 2H, OCH2(CH2)3CH2NH), 1.96 (s, 3H, Ac), 1.57–1.20 (m, 9H, H-6Fuc, OCH2(CH2)3CH2NH); 13C-NMR (125 MHz, CD3OD) δ 173.5, 158.9, 138.5, 129.4, 128.9, 128.8, 102.8, 102.5, 101.8, 79.0, 78.2, 77.1, 77.0, 76.9, 75.3, 74.1, 73.6, 71.7, 70.7, 70.5, 68.3, 67.3, 62.6, 61.6, 56.7, 41.8, 30.5, 30.2, 24.3, 23.0, 16.7. HRMS (ESI) m/z: found [M+Na]+ 771.3156, C33H52N2O17 calcd for [M+Na]+ 771.3158.
Molecules 19 00414 i020
5-Amino-1-pentyl α-l-fucopyranosyl-(1→2)-β-d-galactopyranosyl-(1→4)-2-acetamide-2-deoxy-β-d-glucopyranoside (3). Compound 28 (5.9 mg, 7.88 µmol) was converted into 3 (3.5 mg, 73%) according to the procedure described for 1. [α]D −76.3° (c 0.2, MeOH); 1H-NMR (500 MHz, D2O) δ 5.29 (d, 1H, J1,2 = 3.1 Hz, α-anomer H), 4.52 (d, 1H, J1,2 = 7.8 Hz, β-anomer H), 4.48 (d, 1H, J1,2 = 8.2 Hz, β-anomer H), 4.22–4.20 (m, 1H, H-5Fuc), 3.98–3.42 (m, 18H, ring H, OCH2(CH2)3CH2NH), 2.98–2.95 (m, 2H, OCH2(CH2)3CH2NH), 2.02 (s, 3H, Ac), 1.69–1.21 (m, 9H, H-6Fuc, OCH2(CH2)3CH2NH); 13C-NMR (200 MHz, CD3OD) δ 173.6, 103.0, 102.5, 101.8, 79.0, 78.0, 77.1, 76.9, 75.2, 74.1, 73.6, 71.7, 70.7, 70.7, 70.2, 68.3, 62.7, 61.5, 56.6, 40.6, 39.5, 29.8, 28.2, 24.1, 23.0, 16.8. HRMS (ESI) m/z: found [M+Na]+ 637.2791, C25H46N2O15 calcd for [M+Na]+ 637.2790.

4. Conclusions

We have developed a novel approach to synthesizing human histo-blood group type 2 antigens. A lactosamine derivative served as a key building block and was efficiently prepared from lactulose via the Heyns rearrangement, a strategy that allowed us to lower the overall number of reaction steps. The introduction of galactosamine and galactose in α-linked form into the O-antigen trisaccharide was accomplished by a unique DTBS-directed α-glycosylation to afford type 2 A- and B-antigen tetrasaccharides, respectively. The present synthetic protocol can provide rapid access to various biologically relevant glycoconjugates that contain N-acetyl-lactosamine and ABO blood group antigens. Studies on biological applications using the synthesized antigens will be reported in due course.

Acknowledgments

The iCeMS is supported by World Premier International Research Center Initiative (WPI), MEXT, Japan. This work was financially supported in part by MEXT of Japan (a Grant-in-Aid for Scientific Research (B) No. 22380067 to M.K.). We thank Kiyoko Ito (Gifu University) for providing technical assistance and Yuji O. Kamatari (Division of Instrumental Analysis, Life Science Research Center, Gifu University) for providing technical assistance of NMR mesurement (Bruker Biospin AVANCE III 800).

Conflicts of Interest

The authors declare no conflict of interest.

References and Notes

  1. Stanley, P.; Cummings, R.D. Structures Common to Different Glycans. In Essentials of Glycobiology, 2nd ed.; Varki, A., Cummings, R.D., Esko, J.D., Freeze, H.H., Stanley, P., Bertozzi, C.R., Hart, G.W., Etzler, M.E., Eds.; Cold Spring Harbor: New York, NY, USA, 2009; Chapter 13; pp. 175–198. [Google Scholar]
  2. Ravn, V.; Dabelsteen, E. Tissue distribution of histo-blood group antigens. APMIS 2000, 108, 1–28. [Google Scholar]
  3. Mollicone, R.; Gibaud, A.; Francois, A.; Ratcliffe, M.; Oriol, R. Acceptor specificity and tissue distribution of three human α-3-fucosyltransferases. Eur. J. Biochem. 1990, 191, 169–176. [Google Scholar] [CrossRef]
  4. Meloncelli, P.; Lowary, T.L. Synthesis of ABO histo-blood group type I and II antigens. Carbohydr. Res. 2010, 345, 2305–2322. [Google Scholar] [CrossRef]
  5. Landsteiner, K. Cell Antigens. In The Specificity of Serological Reactions; Landsteiner, K., Ed.; Dover Publications, Inc.: New York, NY, USA, 1936; pp. 75–126. [Google Scholar]
  6. Williamson, L.M.; Lowe, S.; Love, E.M.; Cohen, H.; Soldan, K.; McClelland, D.B.L.; Skacel, P.; Barbara, J.A.J. Serious hazards of transfusion (SHOT) initiative: Analysis of the first two annual reports. BMJ 1999, 319, 16–19. [Google Scholar] [CrossRef]
  7. Cooper, D.K.C. Xenoantigens and xenoantibodies. Xenotransplantation 1998, 5, 6–17. [Google Scholar] [CrossRef]
  8. Reid, M.E.; Bird, G.W.G. Associations between human red cell blood group antigens and disease. Transfus. Med. Rev. 1990, 4, 47–55. [Google Scholar] [CrossRef]
  9. Anstee, D.J. The relationship between blood groups and disease. Blood 2010, 115, 4635–4643. [Google Scholar] [CrossRef]
  10. O’Donnell, J.; Laffan, M.A. The relationship between ABO histo-blood group, factor VIII and von Willebrand factor. Transfus. Med. 2001, 11, 343–351. [Google Scholar] [CrossRef]
  11. Ruiz-Palacios, G.M.; Cervantes, L.E.; Ramos, P.; Chavez-Munguia, B.; Newburg, D.S. Campylobacter jejuni binds intestinal H(O) antigen (Fucα1,2Galβ1,4GlcNAc), and fucosyloligosaccharides of human milk inhibit its binding and infection. J. Biol. Chem. 2003, 278, 14112–14120. [Google Scholar]
  12. Rossez, Y.; Maes, E.; Darroman, T.L.; Gosset, P.; Ecobichon, C.; Curt, M.J.C.; Boneca, I.G.; Michalski, J.-C.; Robbe-Masselot, C. Almost all human gastric mucin O-glycans harbor blood group A, B or H antigens and are potential binding sites for Helicobacter pylori. Glycobiology 2012, 22, 1193–1206. [Google Scholar] [CrossRef]
  13. Lindesmith, L.; Moe, C.; Marionneau, S.; Ruvoen, N.; Jiang, X.; Lindblad, L.; Stewart, P.; LePendu, J.; Baric, R. Human susceptibility and resistance to Norwalk virus infection. Nat. Med. 2003, 9, 548–553. [Google Scholar] [CrossRef]
  14. Tan, M.; Jiang, X. Norovirus and its histo-blood group antigen receptors: An answer to a historical puzzle. Trends Microbiol. 2005, 13, 285–293. [Google Scholar] [CrossRef]
  15. Glinsky, G.V.; Ivanova, A.B.; Welsh, J.; McClelland, M. The role of blood group antigens in malignant progression, Apoptosis resistance, and metastatic behavior. Transfus. Med. Rev. 2000, 14, 326–350. [Google Scholar] [CrossRef]
  16. Pinho, S.S.; Carvalho, S.; Marcos-Pinto, R.; Magalhães, A.; Oliveira, C.; Gu, J.; Dinis-Ribeiro, M.; Carneiro, F.; Seruca, R.; Reis, C.A. Gastric cancer: Adding glycosylation to the equation. Trends Mol. Med. 2013, 19, 664–676. [Google Scholar] [CrossRef]
  17. Paulsen, H.; Kolář, Č. Synthesis of the tetrasaccharide chains of the determinants of blood group substances A and B. Angew. Chem. Int. Ed. 1978, 17, 771. [Google Scholar] [CrossRef]
  18. Korchagina, E.Y.; Ryzhov, I.M.; Byrgazov, K.A.; Popova, I.S.; Pokrovsky, S.N.; Bovin, N.V. Block synthesis of blood group tetrasaccharides B (types 1, 3 and 4). Mendeleev Commun. 2009, 19, 152–154. [Google Scholar] [CrossRef]
  19. Ryzhov, I.M.; Korchagina, E.Y.; Popova, I.S.; Bovin, N.V. Block synthesis of A tetrasaccharides (types 1, 3 and 4) related to the human ABO blood group system. Carbohydr. Res. 2012, 351, 17–25. [Google Scholar] [CrossRef]
  20. Zimmermann, P.; Greilich, U.; Schmidt, R.R. Total synthesis of a hexaosyl ceramide glycolipid acting as a receptor for macrophage migration inhibiton-factor. Tetrahedron Lett. 1990, 31, 1849–1852. [Google Scholar] [CrossRef]
  21. Udodong, U.E.; Rao, C.S.; Fraser-Reid, B. n-Pentenyl glycosides in the efficient assembly of the blood group substance B tetrasaccahride. Tetrahedron 1992, 48, 4713–4724. [Google Scholar] [CrossRef]
  22. Deshpande, P.P.; Kim, H.M.; Zatorski, A.; Park, T.-K.; Ragupathi, G.; Livingston, P.O.; Live, D.; Danishefsky, S.J. Strategy in oligosaccharide synthesis: An application to a concise total synthesis of the KH-1 (adenocarcinoma) antigen. J. Am. Chem. Soc. 1998, 120, 1600–1614. [Google Scholar] [CrossRef]
  23. Bovin, N.V.; Zurabyan, S.É.; Khorlin, A.Y. Stereoselectivity in glycosylation by means of 2-azido-2-desoxy-d-galactopyranose derivatives and the synthesis of the determinative oligosaccharide of blood group A, type 1. Russ. Chem. Bull. 1982, 31, 1023–1030. [Google Scholar] [CrossRef]
  24. Paulsen, H.; Kolář, Č. Synthese der tetrasaccharid-ketten der type 2 der determinanten der blutgruppensubstanzen A und B. Tetrahedron Lett. 1979, 31, 2882–2884. [Google Scholar]
  25. Milat, M.-L.; Sinäy, P. Synthesis of the tetrasaccharide O-α-l-fucopyranosyl-(1→2)-[O-α-d-galactopyranosyl-(1→3)]-O-β-d-galactopyranosyl-(1→4)-2-acetamido-2-deoxy-d-glucopyranose, the antigenic determinant of human blood-group B (type 2). Carbohydr. Res. 1981, 92, 183–189. [Google Scholar] [CrossRef]
  26. Pazynina, G.V.; Tyrtysh, T.V.; Bovin, N.V. Synthesis of histo blood-group antigens A and B (type 2), xenoantigen Galα1-3Galβ1-4GlcNAc and related type 2 backbone oligosaccharides as haptens in spacered form. Mendeleev Commun. 2002, 12, 143–145. [Google Scholar] [CrossRef]
  27. Lemieux, R.U.; Driquez, H. Chemical synthesis of 2-O-(α-l-fucopyranosyl)-3-O-(α-d-galactopyranosyl)-d-galactose. Terminal structure of the blood-group B antigenic determinant. J. Am. Chem. Soc. 1975, 97, 4069–4075. [Google Scholar] [CrossRef]
  28. Lemieux, R.U.; Bock, K.; Delbaere, L.T.J.; Koto, S.; Rao, V.S. The conformations of oligosaccharides related to the ABH and Lewis human blood determinants. Can. J. Chem. 1980, 58, 631–653. [Google Scholar] [CrossRef]
  29. Lemieux, R.U.; Abbas, S.Z.; Burzynska, M.H.; Ratcliffe, R.M. Syntheses of derivatives of N-acetyl-d-lactosamine from d-lactal hexaacetate. Hexa-O-acetyl-2-deoxy-2-phthalimide-β-d-lactosyl chloride. Can. J. Chem. 1982, 60, 63–67. [Google Scholar] [CrossRef]
  30. Lemieux, R.U.; Abbas, S.Z.; Chung, B.Y. Syntheses of core chain trisaccharides related to human blood group antigenic determinants. Can. J. Chem. 1982, 60, 68–75. [Google Scholar] [CrossRef]
  31. Hindsgaul, O.; Norberg, T.; le Pendu, J.; Lemieux, R.U. Synthesis of type 2 human blood-group antigenic determinants. The H, X, and Y haptens and variations of the H type 2 determinant as probes for the combining site of the lectin I of Ulex europaeus. Carbohydr. Res. 1982, 109, 109–142. [Google Scholar] [CrossRef]
  32. Heyns, K.; Meinecke, K.-H. Über bildung und darstellung von d-glucosamin aus fructose und ammoniak. Chem. Ber. 1953, 86, 1453–1462. [Google Scholar] [CrossRef]
  33. Wrodnigg, T.M.; Stütz, A.E. The Heyns rearrangement revisited: An exceptionally simple two-step chemical synthesis of d-lactosamine from lactulose. Angew. Chem. Int. Ed. 1999, 38, 827–828. [Google Scholar] [CrossRef]
  34. Stütz, A.E.; Dekany, G.; Eder, B.; Illaszewicz, C.; Wrodnigg, T.M. An exceptionally simple chemical synthesis of O-glycosylated d-glucosamine derivatives by Heyns rearrangement of the corresponding O-glycosyl fructoses. J. Carbohydr. Chem. 2003, 22, 253–265. [Google Scholar] [CrossRef]
  35. Shan, Y.; Oulaidi, F.; Lahmann, M. Lactosamine from lactulose via the Heyns arrangement: A practical protocol. Tetrahedron Lett. 2013, 54, 3960–3961. [Google Scholar] [CrossRef]
  36. Ohmae, M.; Takada, J.; Murakami, H.; Kimura, S. Rapid access to an orthogonally protected Lewis X derivative: An important building block for synthesis of Lewis antigens. Chem. Lett. 2011, 40, 438–439. [Google Scholar] [CrossRef]
  37. Depré, D.; Düffels, A.; Green, L.G.; Lenz, R.; Ley, S.V.; Wong, C.-H. Synthesis of glycans from the glycodelins: Two undeca-, two deca-, three nona-, an octa- and a heptasaccharide. Chem. Eur. J. 1999, 5, 3326–3340. [Google Scholar] [CrossRef]
  38. Hense, A.; Ley, S.V.; Osborn, H.M.I.; Owen, D.R.; Poisson, J.-F.; Warriner, S.L.; Wesson, K.E. Direct preparation of diacetals from 1,2-diketones and their use as 1,2-diol protecting groups. J. Chem. Soc. Perkin Trans. 1 1997, 2023–2031. [Google Scholar] [CrossRef]
  39. Muramatsu, W. Chemo- and regioselective monosulfonylation of nonprotected carbohydrates catalyzed by organotin dichloride under mild conditions. J. Org. Chem. 2012, 77, 8083–8091. [Google Scholar] [CrossRef]
  40. Yu, B.; Tao, H. Glycosyl trifluoroacetimidates. Part 1: Preparation and application as new glycosyl donors. Tetrahedron Lett. 2001, 42, 2405–2407. [Google Scholar] [CrossRef]
  41. Yu, B.; Sun, J. Glycosylation with glycosyl N-phenyltrifluoroacetimidates (PTFAI) and a perspective of the future development of new glycosylation methods. Chem. Commun. 2010, 46, 4668–4679. [Google Scholar]
  42. Iwayama, Y.; Ando, H.; Tanaka, H.; Ishida, H.; Kiso, M. Synthesis of the glycan moiety of ganglioside HPG-7 with an usual trimer of sialic acid as the inner sugar residue. Chem. Commun. 2011, 47, 9726–9728, The synthetic procedure for compound 12 derived from the known fucose derivative in this literature was described in the Experimental Section. [Google Scholar]
  43. Ishiwata, A.; Munemura, Y.; Ito, Y. Synergistic solvent effect in 1,2-cis-glycoside formation. Tetrahedron 2008, 64, 92–102. [Google Scholar] [CrossRef]
  44. Konradsson, P.; Mootoo, D.R.; McDevitt, R.E.; Fraser-Reid, B. Iodonium ion generated in situ from N-iodosuccimide and trifluoromethanesulphonic acid promotes direct linkage of ‘disarmed’ pent-4-enyl glycosides. J. Chem. Soc. Chem. Commun. 1990, 270–272. [Google Scholar]
  45. Veeneman, G.H.; van Leeuwen, S.H.; van Boom, J.H. Iodonium ion promoted reactions at the anomeric centre. II An efficient thioglycoside mediated approach toward the formation of 1,2-trans linked glycosides and glycosidic esters. Tetrahedron Lett. 1990, 31, 1331–1334. [Google Scholar] [CrossRef]
  46. Imamura, A.; Ando, H.; Ishida, H.; Kiso, M. Ganglioside GQ1b: Efficient total synthesis and the expansion to synthetic derivatives to elucidate its biological roles. J. Org. Chem. 2009, 74, 3009–3023. [Google Scholar] [CrossRef]
  47. Demchenko, A.V. 1,2-cis O-Glycosylation: Methods, strategies, principles. Curr. Org. Chem. 2003, 7, 35–79. [Google Scholar] [CrossRef]
  48. Imamura, A.; Ando, H.; Korogi, S.; Tanabe, G.; Muraoka, O.; Ishida, H.; Kiso, M. Di-tert-butylsilylene (DTBS) group-directed α-selective galactosylation unaffected by C-2 participating functionalities. Tetrahedron Lett. 2003, 44, 6725–6728. [Google Scholar] [CrossRef]
  49. Imamura, A.; Kimura, A.; Ando, H.; Ishida, H.; Kiso, M. Extended applications of di-tert-butylsilylene-directed α-predominant galactosylation compatible with C2-participating groups toward the assembly of various glycosides. Chem. Eur. J. 2006, 12, 8862–8870. [Google Scholar] [CrossRef]
  50. Imamura, A.; Ando, H.; Ishida, H.; Kiso, M. DTBS(di-tert-butylsilylene)-directed α-galactosylation for the synthesis of biologically relevant glycans. Curr. Org. Chem. 2008, 12, 675–689. [Google Scholar] [CrossRef]
  51. Imamura, A.; Ando, H.; Ishida, H.; Kiso, M. DTBS effect: The unique sterically driven director for α-galactosylation. Heterocycles 2008, 76, 883–908. [Google Scholar] [CrossRef]
  52. The synthetic procedure for compound 20 was described in the Experimental Section
  53. Furusawa, K. Removal of cyclic di-t-butylsilanediyl protecting groups using tributylamine hydrofluoride (TBAHF) reagent. Chem. Lett. 1989, 509–510. [Google Scholar] [CrossRef]
  54. Malet, C.; Hindsgaul, O. Generation of molecular diversity on N-acetyllactosamine via O-cyanomethyl ethers. Carbohydr. Res. 1997, 303, 51–65. [Google Scholar] [CrossRef]
  • Sample Availability: Not available.

Share and Cite

MDPI and ACS Style

Hara, A.; Imamura, A.; Ando, H.; Ishida, H.; Kiso, M. A New Chemical Approach to Human ABO Histo-Blood Group Type 2 Antigens. Molecules 2014, 19, 414-437. https://doi.org/10.3390/molecules19010414

AMA Style

Hara A, Imamura A, Ando H, Ishida H, Kiso M. A New Chemical Approach to Human ABO Histo-Blood Group Type 2 Antigens. Molecules. 2014; 19(1):414-437. https://doi.org/10.3390/molecules19010414

Chicago/Turabian Style

Hara, Atsushi, Akihiro Imamura, Hiromune Ando, Hideharu Ishida, and Makoto Kiso. 2014. "A New Chemical Approach to Human ABO Histo-Blood Group Type 2 Antigens" Molecules 19, no. 1: 414-437. https://doi.org/10.3390/molecules19010414

APA Style

Hara, A., Imamura, A., Ando, H., Ishida, H., & Kiso, M. (2014). A New Chemical Approach to Human ABO Histo-Blood Group Type 2 Antigens. Molecules, 19(1), 414-437. https://doi.org/10.3390/molecules19010414

Article Metrics

Back to TopTop